最新更新 :
27/04/2026
抗菌薬   Tobramycin sulfate  
注射薬
エアロゾル 点眼薬 経口液
溶媒内の安定性 混合時の安定性 安定性に影響する因子 互換性 投与経路 引用文献 PDF
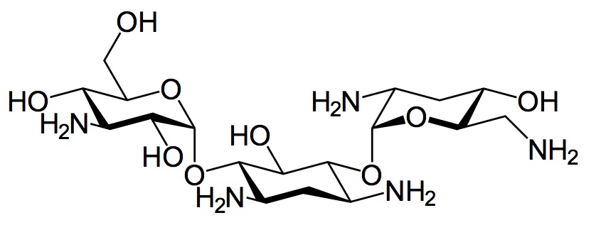
   化学構造  

商品名   商品名     

商品名、賦形剤は国、製薬会社ごとに異なることがあります

Bactob インド
Beltob インド
Bramicil イタリア
Brulamycin スロベニア, ハンガリー, マレーシア
Eltol インド
Fytobra インド
Gernebcin ドイツ
Komitob インド
Nebcin アラブ首長国連邦, イギリス, エジプト, ギリシア, サウジアラビア, ニュージーランド
Nebcina スウェーデン, デンマーク, ノルウェー, モロッコ
Nebcine スロベニア, フランス, モロッコ
Nebicina イタリア
Obracin オランダ, スイス, ベルギー, ルクセンブルグ
Tobracin エジプト, サウジアラビア, ブラジル
Tobramicina アルゼンチン, イタリア, エクアドル, コロンビア, スペイン, チリ, ブラジル, ポルトガル
Tobramina ブラジル
Tobramycin アイルランド, アメリカ, アーストラリア, イギリス, カナダ, サウジアラビア, ドイツ, ノルウェー
Tobramycine アイルランド, オランダ, フランス
Tobrasix オーストリア
Tobrazid ドイツ
互換性   注射薬   互換性 : Tobramycin sulfate              
This screen indicates the compatibilities or incompatibilities with, in this case, the type of incompatibility (precipitation, color change, modification of an emulsion, etc.). The compatibilities shown here are mostly physical only, with the chemical stability of each molecule rarely being assessed. The evaluation of these mixtures was studied to consider the possibility of Y-site administration to the patient. These data cannot be used for making mixtures in advance in bags or syringes. This type of information is available in the screen "Stability in mixture ».
化合物 溶媒 引用文献
対応
注射薬 Tobramycin sulfate 1.6 mg/ml
注射薬 Aciclovir sodium 5 mg/ml
グルコース5% 336
1時間後の降水 非互換
注射薬 Tobramycin sulfate 5 mg/ml
注射薬 Allopurinol sodium 3 mg/ml
NaCl 0,9% 307
対応
注射薬 Tobramycin sulfate 1 mg/ml
注射薬 Alprostadil 15 µg/ml
3201
対応
注射薬 Tobramycin sulfate 5 mg/ml
注射薬 Amifostine 10 mg/ml
グルコース5% 3
対応
注射薬 Tobramycin sulfate 5 mg/ml
注射薬 Amiodarone hydrochloride 6 mg/ml
グルコース5% 1611
対応
注射薬 Tobramycin sulfate 0.8 mg/ml
注射薬 Amiodarone hydrochloride 4 mg/ml
NaCl 0,9% 385
対応
注射薬 Tobramycin sulfate 0.8 mg/ml
注射薬 Amiodarone hydrochloride 4 mg/ml
グルコース5% 385
化学的不安定性 非互換
注射薬 Tobramycin sulfate
注射薬 Amoxicillin sodium
3527
不特定の非互換性 非互換
注射薬 Tobramycin sulfate
注射薬 Amoxicillin sodium / clavulanic acid
3545
対応
注射薬 Tobramycin sulfate 40 mg/ml
注射薬 Amoxicillin sodium / clavulanic acid 100/10 mg/ml
3824
即時降水 非互換
注射薬 Tobramycin sulfate 5 mg/ml
注射薬 Amphotericin B cholesteryl sulfate complex 0.83 mg/ml
グルコース5% 921
対応
注射薬 Tobramycin sulfate 5 mg/ml
注射薬 Amsacrine 1 mg/ml
グルコース5% 253
対応
注射薬 Tobramycin sulfate 5 mg/ml
注射薬 Anidulafungin 0.5 mg/ml
グルコース5% 1982
即時降水 非互換
注射薬 Tobramycin sulfate 21 mg/ml
注射薬 Azithromycine 2 mg/ml
NaCl 0,9% 1800
対応
注射薬 Tobramycin sulfate 0.2 & 0.8 mg/ml
注射薬 Aztreonam 10 & 20 mg/ml
グルコース5% 19
対応
注射薬 Tobramycin sulfate 0.2 & 0.8 mg/ml
注射薬 Aztreonam 10 & 20 mg/ml
NaCl 0,9% 19
対応
注射薬 Tobramycin sulfate 5 mg/ml
注射薬 Aztreonam 40 mg/ml
グルコース5% 99
対応
注射薬 Tobramycin sulfate 5 mg/ml
注射薬 Bivalirudin 5 mg/ml
グルコース5% 1713
対応
注射薬 Tobramycin sulfate 40 mg/ml
注射薬 Caffeine 10 mg/ml
なし 3964
非互換
注射薬 Tobramycin sulfate
注射薬 Calcium gluconate
4964
不特定の非互換性 非互換
注射薬 Tobramycin sulfate
注射薬 Calcium gluconate
3644
対応
注射薬 Tobramycin sulfate 1 mg/ml
注射薬 Calcium gluconate 33 mg/ml
グルコース5% 503
対応
注射薬 Tobramycin sulfate 5 mg/ml
注射薬 Calcium gluconate 16 mg/ml
グルコース5% 503
対応
注射薬 Tobramycin sulfate 5 mg/ml
注射薬 Caspofungin acetate 0,7 mg/ml
NaCl 0,9% 2247
即時降水 非互換
注射薬 Tobramycin sulfate
注射薬 Cefamandole nafate 2 >> 100 mg/ml
NaCl 0,9% 612
即時降水 非互換
注射薬 Tobramycin sulfate
注射薬 Cefamandole nafate 2 >> 100 mg/ml
グルコース5% 612
不特定の非互換性 非互換
注射薬 Tobramycin sulfate
注射薬 Cefamandole nafate
3546
対応
注射薬 Tobramycin sulfate 6 mg/ml
注射薬 Cefepime dihydrochloride 125 mg/ml
注射用水 2141
不特定の非互換性 非互換
注射薬 Tobramycin sulfate
注射薬 Cefepime dihydrochloride
3548
即時降水 非互換
注射薬 Tobramycin sulfate 10 mg/ml
注射薬 Cefiderocol sulfate tosylate 20 mg/mL
グルコース5% 4528
即時降水 非互換
注射薬 Tobramycin sulfate 10 mg/ml
注射薬 Cefiderocol sulfate tosylate 20 mg/mL
NaCl 0,9% 4528
即時降水 非互換
注射薬 Tobramycin sulfate 0.8 mg/ml
注射薬 Cefoperazone sodium 10 & 40 mg/ml
グルコース5% 1206
不特定の非互換性 非互換
注射薬 Tobramycin sulfate
注射薬 Cefoperazone sodium
3544
不特定の非互換性 非互換
注射薬 Tobramycin sulfate
注射薬 Cefpirome sulfate
3677
対応
注射薬 Tobramycin sulfate 5 mg/ml
注射薬 Ceftaroline fosamil 2,22 mg/ml
NaCl 0,9% 3249
対応
注射薬 Tobramycin sulfate 5 mg/ml
注射薬 Ceftaroline fosamil 2,22 mg/ml
グルコース5% 3249
対応
注射薬 Tobramycin sulfate 5 mg/ml
注射薬 Ceftaroline fosamil 2,22 mg/ml
乳酸リンゲル 3249
対応
注射薬 Tobramycin sulfate 6 mg/ml
注射薬 Ceftazidime 83.3 mg/ml
1759
不特定の非互換性 非互換
注射薬 Tobramycin sulfate
注射薬 Ceftazidime
3543
対応
注射薬 Tobramycin sulfate 0.008 mg/ml
注射薬 Ceftazidime 0.125 mg/ml
Dianéal® PD2 2.5% glucose (Baxter) 2369
不特定の非互換性 非互換
注射薬 Tobramycin sulfate
注射薬 Ceftazidime
3883
対応
注射薬 Tobramycin sulfate 6 mg/ml
注射薬 Ceftazidime 125 mg/ml
注射用水 2141
即時降水 非互換
注射薬 Tobramycin sulfate 5 mg/ml
注射薬 Ceftobiprole medocaril sodium 2 mg/ml
乳酸リンゲル 2269
不特定の非互換性 非互換
注射薬 Tobramycin sulfate
注射薬 Ceftobiprole medocaril sodium
4650
即時降水 非互換
注射薬 Tobramycin sulfate 5 mg/ml
注射薬 Ceftobiprole medocaril sodium 2 mg/ml
グルコース5% 2269
即時降水 非互換
注射薬 Tobramycin sulfate 5 mg/ml
注射薬 Ceftobiprole medocaril sodium 2 mg/ml
NaCl 0,9% 2269
対応
注射薬 Tobramycin sulfate 5 mg/ml
注射薬 Ceftolozane / tazobactam 10/5 mg/ml
グルコース5% 3828
対応
注射薬 Tobramycin sulfate 5 mg/ml
注射薬 Ceftolozane / tazobactam 10/5 mg/ml
NaCl 0,9% 3828
不特定の非互換性 非互換
注射薬 Tobramycin sulfate
注射薬 Ceftriaxone disodium
3523
不特定の非互換性 非互換
注射薬 Tobramycin sulfate
注射薬 Cefuroxime sodium
3687
対応
注射薬 Tobramycin sulfate 1.6 mg/ml
注射薬 Ciprofloxacin lactate 2 mg/ml
グルコース5% 285
対応
注射薬 Tobramycin sulfate 1 mg/ml
注射薬 Ciprofloxacin lactate 1.5 mg/ml
グルコース5% 434
対応
注射薬 Tobramycin sulfate 1 mg/ml
注射薬 Ciprofloxacin lactate 1.5 mg/ml
NaCl 0,9% 434
対応
注射薬 Tobramycin sulfate 1,6 mg/ml
注射薬 Ciprofloxacin lactate 1 mg/ml
グルコース5% 500
対応
注射薬 Tobramycin sulfate 1,6 mg/ml
注射薬 Ciprofloxacin lactate 1 mg/ml
NaCl 0,9% 500
対応
注射薬 Tobramycin sulfate 5 mg/ml
注射薬 Cisatracurium besylate 0.1 >> 5 mg/ml
グルコース5% 299
化学的不安定性 非互換
注射薬 Tobramycin sulfate
注射薬 Cisplatin
3578
対応
注射薬 Tobramycin sulfate
注射薬 Clindamycin phosphate
グルコース5% 3526
対応
注射薬 Tobramycin sulfate
注射薬 Clindamycin phosphate
NaCl 0,9% 3526
即時降水 非互換
注射薬 Tobramycin sulfate 12 mg/ml
注射薬 Clindamycin phosphate 90 mg/ml
NaCl 0,9% 639
即時降水 非互換
注射薬 Tobramycin sulfate 40 mg/ml
注射薬 Cloxacillin sodium 100 mg/ml
注射用水 3012
即時降水 非互換
注射薬 Tobramycin sulfate 10 mg/ml
注射薬 Defibrotide 8 mg/ml
NaCl 0,9% 3728
対応
注射薬 Tobramycin sulfate 5 mg/ml
注射薬 Dexmedetomidine 4 µg/ml
NaCl 0,9% 1712
対応
注射薬 Tobramycin sulfate 2.4 & 40 mg/ml
注射薬 Diltiazem hydrochloride 5 mg/ml
NaCl 0,9% 198
対応
注射薬 Tobramycin sulfate
注射薬 Dimenhydrinate
2087
対応
注射薬 Tobramycin sulfate 5 mg/ml
注射薬 Docetaxel 0.9 mg/ml
グルコース5% 1754
対応
注射薬 Tobramycin sulfate 40 mg/ml
非経口的栄養(脂肪含む) 673
対応
注射薬 Tobramycin sulfate 10 mg/ml
非経口的栄養(二元混合物) 316
対応
注射薬 Tobramycin sulfate 5 mg/ml
非経口的栄養(脂肪含む) 1415
対応
注射薬 Tobramycin sulfate 5 mg/ml
注射薬 Doripenem 5 mg/ml
グルコース5% 2262
対応
注射薬 Tobramycin sulfate 0,05 mg/ml
非経口的栄養(二元混合物) 4445
対応
注射薬 Tobramycin sulfate 5 mg/ml
注射薬 Doripenem 5 mg/ml
NaCl 0,9% 2262
対応
注射薬 Tobramycin sulfate 5 mg/ml
注射薬 Doxorubicin hydrochloride liposome peg 0.4 mg/ml
グルコース5% 251
対応
注射薬 Tobramycin sulfate 5 mg/ml
注射薬 Eravacycline 0,6 mg/ml
NaCl 0,9% 4434
対応
注射薬 Tobramycin sulfate 5 mg/ml
注射薬 Fenoldopam mesylate 80 µg/ml
NaCl 0,9% 1803
対応
注射薬 Tobramycin sulfate 10 mg/ml
注射薬 Fentanyl citrate 50 µg/ml
グルコース5% 63
対応
注射薬 Tobramycin sulfate 10 & 40 mg/ml
非経口的栄養(二元混合物) 999
対応
注射薬 Tobramycin sulfate 0.8 mg/ml
注射薬 Enalaprilate 0.05 mg/ml
NaCl 0,9% 1315
不特定の非互換性 非互換
注射薬 Tobramycin sulfate
注射薬 Erythromycin lactobionate
3674
対応
注射薬 Tobramycin sulfate 0.8 mg/ml
注射薬 Esmolol hydrochloride 10 mg/ml
グルコース5% 384
対応
注射薬 Tobramycin sulfate 1.6 mg/ml
注射薬 Filgrastim 40 µg/ml
グルコース5% 104
対応
注射薬 Tobramycin sulfate 5 mg/ml
非経口的栄養(二元混合物) 301
対応
注射薬 Tobramycin sulfate 5 mg/ml
注射薬 Etoposide phosphate 5 mg/ml
グルコース5% 1410
対応
注射薬 Tobramycin sulfate 5 mg/ml
注射薬 Filgrastim 30 µg/ml
グルコース5% 244
対応
注射薬 Tobramycin sulfate 40 mg/ml
乳酸リンゲル 4603
即時降水 非互換
注射薬 Tobramycin sulfate
注射薬 Flucloxacillin sodium
3522
7時間後の降水 非互換
注射薬 Tobramycin sulfate 8 mg/ml
注射薬 Flucloxacillin sodium 20 mg/ml
NaCl 0,9% 1232
対応
注射薬 Tobramycin sulfate 40 mg/ml
注射薬 Fluconazole 2 mg/ml
NaCl 0,9% 496
対応
注射薬 Tobramycin sulfate 5 mg/ml
注射薬 Fludarabine phosphate 1 mg/ml
グルコース5% 492
対応
注射薬 Tobramycin sulfate 40 mg/ml
注射薬 Foscarnet sodium 24 mg/ml
なし 73
対応
注射薬 Tobramycin sulfate 5 mg/ml
注射薬 Fosfomycin 30 mg/ml
グルコース5% 4055
7時間後の降水 非互換
注射薬 Tobramycin sulfate 8 mg/ml
注射薬 Furosemide 1 mg/ml
NaCl 0,9% 1232
即時降水 非互換
注射薬 Tobramycin sulfate 1,6 mg/ml
注射薬 Furosemide 0,8 mg/ml
グルコース5% 367
即時降水 非互換
注射薬 Tobramycin sulfate 1,6 mg/ml
注射薬 Furosemide 0,8 mg/ml
NaCl 0,9% 367
不特定の非互換性 非互換
注射薬 Tobramycin sulfate 0.8 mg/ml
注射薬 Heparin sodium 50 UI/ml
なし 317
不特定の非互換性 非互換
注射薬 Tobramycin sulfate
注射薬 Heparin sodium
3540
対応
注射薬 Tobramycin sulfate
グルコース5% 5086
対応
注射薬 Tobramycin sulfate 5 mg/ml
注射薬 Fosfomycin 30 mg/ml
NaCl 0,9% 4055
対応
注射薬 Tobramycin sulfate 5 mg/ml
注射薬 Gemcitabine hydrochloride 10 mg/ml
NaCl 0,9% 1423
対応
注射薬 Tobramycin sulfate 5 mg/ml
注射薬 Granisetron hydrochloride 0.05 mg/ml
グルコース5% 182
対応
注射薬 Tobramycin sulfate 5 mg/ml
注射薬 Hetastarch 60 mg/ml
特定の溶媒 1721
即時降水 非互換
注射薬 Tobramycin sulfate 0.8 mg/ml
注射薬 Hetastarch 60 mg/ml
NaCl 0,9% 472
対応
注射薬 Tobramycin sulfate 0.8 mg/ml
注射薬 Hydromorphone hydrochloride 0.2 mg/ml
グルコース5% 405
15分後の沈殿 非互換
注射薬 Tobramycin sulfate 1 mg/ml
注射薬 Indomethacin sodium trihydrate 0,5 & 1 mg/ml
グルコース5% 1745
即時降水 非互換
注射薬 Tobramycin sulfate 1 mg/ml
注射薬 Indomethacin sodium trihydrate 0,5 & 1 mg/ml
グルコース5% 494
対応
注射薬 Tobramycin sulfate 1.6 & 2 mg/ml
注射薬 Insulin 0.2 UI/ml
NaCl 0,9% 129
対応
注射薬 Tobramycin sulfate 5 mg/ml
注射薬 Isavuconazonium sulfate 1.5 mg/ml
グルコース5% 3829
対応
注射薬 Tobramycin sulfate 5 mg/ml
注射薬 Isavuconazonium sulfate 1.5 mg/ml
NaCl 0,9% 3829
対応
注射薬 Tobramycin sulfate 40 mg/ml
注射薬 Ketamine hydrochloride 50 mg/ml
2109
対応
注射薬 Tobramycin sulfate 0.8 mg/ml
注射薬 Labetalol hydrochloride 1 mg/ml
グルコース5% 386
4時間後の色の変化 非互換
注射薬 Tobramycin sulfate 5 mg/ml
注射薬 Lansoprazole 0.55 mg/ml
NaCl 0,9% 1625
対応
注射薬 Tobramycin sulfate 5 mg/ml
注射薬 Linezolid 2 mg/ml
なし 1925
対応
注射薬 Tobramycin sulfate 0,80 mg/ml
注射薬 Linezolid 1,80 mg/ml
2353
対応
注射薬 Tobramycin sulfate 0.8 mg/ml
注射薬 Magnesium sulfate 16.67 >> 100 mg/ml
グルコース5% 1047
対応
注射薬 Tobramycin sulfate 5 mg/ml
注射薬 Melphalan 0.1 mg/ml
NaCl 0,9% 169
対応
注射薬 Tobramycin sulfate 40 mg/ml
注射薬 Meropenem 50 mg/ml
注射用水 4319
対応
注射薬 Tobramycin sulfate 40 mg/ml
注射薬 Meropenem 50 mg/ml
4389
対応
注射薬 Tobramycin sulfate 0.8 mg/ml
注射薬 Metronidazole 5 mg/ml
なし 1035
対応
注射薬 Tobramycin sulfate
注射薬 Metronidazole
3594
対応
注射薬 Tobramycin sulfate 10 mg/ml
注射薬 Midazolam hydrochloride 1 mg/ml
グルコース5% 176
対応
注射薬 Tobramycin sulfate 1.6 >> 2.4 mg/ml
注射薬 Morphine sulfate 1 mg/ml
NaCl 0,9% 406
対応
注射薬 Tobramycin sulfate 0.8 mg/ml
注射薬 Morphine sulfate 1 mg/ml
グルコース5% 405
対応
注射薬 Tobramycin sulfate 40 mg/ml
注射薬 Naloxone hydrochloride 0.4 mg/ml
なし 3408
対応
注射薬 Tobramycin sulfate 0.8 mg/ml
注射薬 Nicardipine hydrochloride 0.1 mg/ml
NaCl 0,9% 1490
対応
注射薬 Tobramycin sulfate 0.8 mg/ml
注射薬 Nicardipine hydrochloride 0.1 mg/ml
グルコース5% 1490
対応
注射薬 Tobramycin sulfate 0,8 mg/ml
注射薬 Ofloxacin 2 mg/ml
なし 889
対応
注射薬 Tobramycin sulfate 5 mg/ml
注射薬 Oritavancin 0.8 >>2 mg/ml
グルコース5% 3152
即時降水 非互換
注射薬 Tobramycin sulfate
注射薬 Pantoprazole sodium
2090
対応
注射薬 Tobramycin sulfate 40 mg/ml
注射薬 Paracetamol 10 mg/ml
4742
即時降水 非互換
注射薬 Tobramycin sulfate 5 mg/ml
注射薬 Pemetrexed disodium 20 mg/ml
NaCl 0,9% 1953
対応
注射薬 Tobramycin sulfate 0.8 mg/ml
注射薬 Pethidine hydrochloride 10 mg/ml
グルコース5% 405
対応
注射薬 Tobramycin sulfate 1.6 >> 2.4 mg/ml
注射薬 Pethidine hydrochloride 10 mg/ml
NaCl 0,9% 406
化学的不安定性 非互換
注射薬 Tobramycin sulfate
注射薬 Piperacillin sodium
1168
化学的不安定性 非互換
注射薬 Tobramycin sulfate
注射薬 Piperacillin sodium / tazobactam
3586
エマルジョンの即時の不安定性 非互換
注射薬 Tobramycin sulfate 2 mg/ml
注射薬 Propofol
660
即時降水 非互換
注射薬 Tobramycin sulfate 5 mg/ml
注射薬 Propofol 10 mg/ml
なし 300
対応
注射薬 Tobramycin sulfate 5 mg/ml
注射薬 Remifentanil hydrochloride 25 & 250 µg/ml
NaCl 0,9% 59
即時降水 非互換
注射薬 Tobramycin sulfate 40 mg/ml
注射薬 Salbutamol sulfate 1 mg/ml
なし 3216
4時間後の降水 非互換
注射薬 Tobramycin sulfate 5 mg/ml
注射薬 Sargramostim 10 µg/ml
NaCl 0,9% 335
対応
注射薬 Tobramycin sulfate 2,4 mg/ml
注射薬 Sodium bicarbonate 40 mg/ml
なし 3122
対応
注射薬 Tobramycin sulfate 5 mg/ml
注射薬 Sulbactam/durlobactam 15/15 mg/ml
NaCl 0,9% 4801
対応
注射薬 Tobramycin sulfate 40 mg/ml
注射薬 Tacrolimus 1000 µg/ml
NaCl 0,9% 479
すぐに濁り 非互換
注射薬 Tobramycin sulfate 5 mg/ml
注射薬 Tedizolid phosphate 0.8 mg/ml
NaCl 0,9% 3827
不特定の非互換性 非互換
注射薬 Tobramycin sulfate
注射薬 Teicoplanine
3656
対応
注射薬 Tobramycin sulfate 5 mg/ml
注射薬 Telavancin hydrochloride 7.5 mg/ml
NaCl 0,9% 3254
対応
注射薬 Tobramycin sulfate 5 mg/ml
注射薬 Telavancin hydrochloride 7.5 mg/ml
グルコース5% 3254
対応
注射薬 Tobramycin sulfate 6 mg/ml
注射薬 Temocilline 83.33 mg/ml
注射用水 2231
不特定の非互換性 非互換
注射薬 Tobramycin sulfate
注射薬 Temocilline
2296
対応
注射薬 Tobramycin sulfate 5 mg/ml
注射薬 Teniposide 0.1 mg/ml
グルコース5% 905
対応
注射薬 Tobramycin sulfate 0.8 mg/ml
注射薬 Theophylline 4 mg/ml
なし 317
即時降水 非互換
注射薬 Tobramycin sulfate 40 mg/ml
注射薬 Thiopental sodium 25 mg/ml
NaCl 0,9% 3767
対応
注射薬 Tobramycin sulfate 5 mg/ml
注射薬 Thiotepa 1 mg/ml
グルコース5% 249
対応
注射薬 Tobramycin sulfate
NaCl 0,9% 5086
化学的不安定性 非互換
注射薬 Tobramycin sulfate
注射薬 Ticarcillin / clavulanic acid
3587
対応
注射薬 Tobramycin sulfate
注射薬 Tigecycline
NaCl 0,9% 3332
対応
注射薬 Tobramycin sulfate 6 mg/ml
注射薬 Vancomycin hydrochloride 10 mg/ml
グルコース5% 3385
対応
注射薬 Tobramycin sulfate 0.16 mg/ml
注射薬 Verapamil hydrochloride 0.08 mg/ml
NaCl 0,9% 1057
対応
注射薬 Tobramycin sulfate 0.16 mg/ml
注射薬 Verapamil hydrochloride 0.08 mg/ml
グルコース5% 1057
対応
注射薬 Tobramycin sulfate 5 mg/ml
注射薬 Vinorelbine tartrate 1 mg/ml
NaCl 0,9% 84
対応
注射薬 Tobramycin sulfate 2 mg/ml
注射薬 Zidovudine 4 mg/ml
グルコース5% 337

  Mentions Légales