Последно актуализиране :
27/04/2026
Антибиотик   Tobramycin sulfate  
Инжекция/Инжекционен
Аерозол Капки за очи Орален разтвор
Стабилност на разтвори Стабилност на смеси Фактори, повлияващи стабилността Съвместимост Път на въвеждане Библиография Pdf
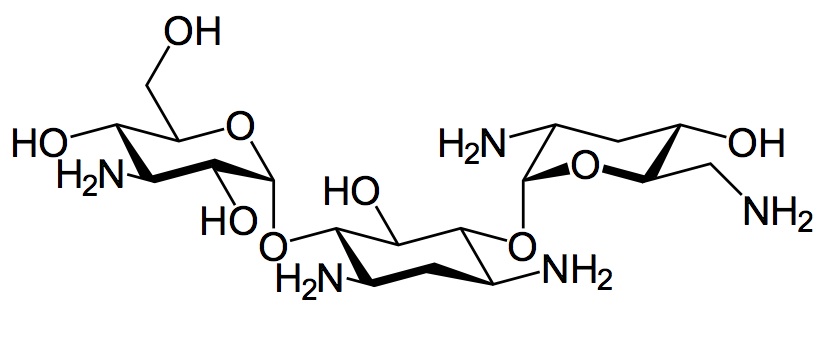
   Химична структура  

Търговско наименование   Търговско наименование     

Търговските имена са примерни и съставът на помощните вещества може да бъде различен в зависимост от държавата и лабораториите

Bactob Индия
Beltob Индия
Bramicil Италия
Brulamycin Малайзия, Словения, Унгария
Eltol Индия
Fytobra Индия
Gernebcin Германия
Komitob Индия
Nebcin Великобритания, Гърция, Египет, нова Зеландия, Обединени арабски емирства, Саудитска Арабия
Nebcina Дания, Мароко, Норвегия, Швеция
Nebcine Мароко, Словения, Франция
Nebicina Италия
Obracin Белгия, Люксенбург, Холандия, Швейцария
Tobracin Бразилия, Египет, Саудитска Арабия
Tobramicina Аржентина, Бразилия, Еквадор, Испания, Италия, Колумбия, Португалия, Чили
Tobramina Бразилия
Tobramycin Австралия, Великобритания, Германия, Ирландия, Канада, Норвегия, Саудитска Арабия, Съединени Американски щати / САЩ
Tobramycine Ирландия, Франция, Холандия
Tobrasix Австрия
Tobrazid Германия
Съвместимост   Инжекция/Инжекционен   Съвместимост : Tobramycin sulfate              
Този екран показва съвместимостта или несъвместимостта с, в този случай, вида на несъвместимостта (утаяване, промяна на цвета, модификация на емулсия и др.). Показаните тук съвместимости са предимно физически, като рядко се оценява химическата стабилност на всяка молекула. Оценката на тези смеси беше проучена, за да се разгледа възможността за приложение на Y-място на пациента. Тези данни не могат да се използват за предварително приготвяне на смеси в торбички или спринцовки. Този тип информация е достъпна на екрана "Стабилност в сместа".
Състав / молекула Разтворител Библиография
съвместим
Инжекция/Инжекционен Tobramycin sulfate 1.6 mg/ml
Инжекция/Инжекционен Aciclovir sodium 5 mg/ml
Glucose 5% 336
Валежи след 1 час Несъвместим
Инжекция/Инжекционен Tobramycin sulfate 5 mg/ml
Инжекция/Инжекционен Allopurinol sodium 3 mg/ml
Sodium chloride 0,9% 307
съвместим
Инжекция/Инжекционен Tobramycin sulfate 1 mg/ml
Инжекция/Инжекционен Alprostadil 15 µg/ml
3201
съвместим
Инжекция/Инжекционен Tobramycin sulfate 5 mg/ml
Инжекция/Инжекционен Amifostine 10 mg/ml
Glucose 5% 3
съвместим
Инжекция/Инжекционен Tobramycin sulfate 5 mg/ml
Инжекция/Инжекционен Amiodarone hydrochloride 6 mg/ml
Glucose 5% 1611
съвместим
Инжекция/Инжекционен Tobramycin sulfate 0.8 mg/ml
Инжекция/Инжекционен Amiodarone hydrochloride 4 mg/ml
Sodium chloride 0,9% 385
съвместим
Инжекция/Инжекционен Tobramycin sulfate 0.8 mg/ml
Инжекция/Инжекционен Amiodarone hydrochloride 4 mg/ml
Glucose 5% 385
Химическа нестабилност Несъвместим
Инжекция/Инжекционен Tobramycin sulfate
Инжекция/Инжекционен Amoxicillin sodium
3527
Неопределена несъвместимост Несъвместим
Инжекция/Инжекционен Tobramycin sulfate
Инжекция/Инжекционен Amoxicillin sodium / clavulanic acid
3545
съвместим
Инжекция/Инжекционен Tobramycin sulfate 40 mg/ml
Инжекция/Инжекционен Amoxicillin sodium / clavulanic acid 100/10 mg/ml
3824
Незабавни валежи Несъвместим
Инжекция/Инжекционен Tobramycin sulfate 5 mg/ml
Инжекция/Инжекционен Amphotericin B cholesteryl sulfate complex 0.83 mg/ml
Glucose 5% 921
съвместим
Инжекция/Инжекционен Tobramycin sulfate 5 mg/ml
Инжекция/Инжекционен Amsacrine 1 mg/ml
Glucose 5% 253
съвместим
Инжекция/Инжекционен Tobramycin sulfate 5 mg/ml
Инжекция/Инжекционен Anidulafungin 0.5 mg/ml
Glucose 5% 1982
Незабавни валежи Несъвместим
Инжекция/Инжекционен Tobramycin sulfate 21 mg/ml
Инжекция/Инжекционен Azithromycine 2 mg/ml
Sodium chloride 0,9% 1800
съвместим
Инжекция/Инжекционен Tobramycin sulfate 0.2 & 0.8 mg/ml
Инжекция/Инжекционен Aztreonam 10 & 20 mg/ml
Glucose 5% 19
съвместим
Инжекция/Инжекционен Tobramycin sulfate 0.2 & 0.8 mg/ml
Инжекция/Инжекционен Aztreonam 10 & 20 mg/ml
Sodium chloride 0,9% 19
съвместим
Инжекция/Инжекционен Tobramycin sulfate 5 mg/ml
Инжекция/Инжекционен Aztreonam 40 mg/ml
Glucose 5% 99
съвместим
Инжекция/Инжекционен Tobramycin sulfate 5 mg/ml
Инжекция/Инжекционен Bivalirudin 5 mg/ml
Glucose 5% 1713
съвместим
Инжекция/Инжекционен Tobramycin sulfate 40 mg/ml
Инжекция/Инжекционен Caffeine 10 mg/ml
Няма 3964
Несъвместим
Инжекция/Инжекционен Tobramycin sulfate
Инжекция/Инжекционен Calcium gluconate
4964
Неопределена несъвместимост Несъвместим
Инжекция/Инжекционен Tobramycin sulfate
Инжекция/Инжекционен Calcium gluconate
3644
съвместим
Инжекция/Инжекционен Tobramycin sulfate 1 mg/ml
Инжекция/Инжекционен Calcium gluconate 33 mg/ml
Glucose 5% 503
съвместим
Инжекция/Инжекционен Tobramycin sulfate 5 mg/ml
Инжекция/Инжекционен Calcium gluconate 16 mg/ml
Glucose 5% 503
съвместим
Инжекция/Инжекционен Tobramycin sulfate 5 mg/ml
Инжекция/Инжекционен Caspofungin acetate 0,7 mg/ml
Sodium chloride 0,9% 2247
Незабавни валежи Несъвместим
Инжекция/Инжекционен Tobramycin sulfate
Инжекция/Инжекционен Cefamandole nafate 2 >> 100 mg/ml
Sodium chloride 0,9% 612
Незабавни валежи Несъвместим
Инжекция/Инжекционен Tobramycin sulfate
Инжекция/Инжекционен Cefamandole nafate 2 >> 100 mg/ml
Glucose 5% 612
Неопределена несъвместимост Несъвместим
Инжекция/Инжекционен Tobramycin sulfate
Инжекция/Инжекционен Cefamandole nafate
3546
съвместим
Инжекция/Инжекционен Tobramycin sulfate 6 mg/ml
Инжекция/Инжекционен Cefepime dihydrochloride 125 mg/ml
Вода за инжекции 2141
Неопределена несъвместимост Несъвместим
Инжекция/Инжекционен Tobramycin sulfate
Инжекция/Инжекционен Cefepime dihydrochloride
3548
Незабавни валежи Несъвместим
Инжекция/Инжекционен Tobramycin sulfate 10 mg/ml
Инжекция/Инжекционен Cefiderocol sulfate tosylate 20 mg/mL
Glucose 5% 4528
Незабавни валежи Несъвместим
Инжекция/Инжекционен Tobramycin sulfate 10 mg/ml
Инжекция/Инжекционен Cefiderocol sulfate tosylate 20 mg/mL
Sodium chloride 0,9% 4528
Незабавни валежи Несъвместим
Инжекция/Инжекционен Tobramycin sulfate 0.8 mg/ml
Инжекция/Инжекционен Cefoperazone sodium 10 & 40 mg/ml
Glucose 5% 1206
Неопределена несъвместимост Несъвместим
Инжекция/Инжекционен Tobramycin sulfate
Инжекция/Инжекционен Cefoperazone sodium
3544
Неопределена несъвместимост Несъвместим
Инжекция/Инжекционен Tobramycin sulfate
Инжекция/Инжекционен Cefpirome sulfate
3677
съвместим
Инжекция/Инжекционен Tobramycin sulfate 5 mg/ml
Инжекция/Инжекционен Ceftaroline fosamil 2,22 mg/ml
Sodium chloride 0,9% 3249
съвместим
Инжекция/Инжекционен Tobramycin sulfate 5 mg/ml
Инжекция/Инжекционен Ceftaroline fosamil 2,22 mg/ml
Glucose 5% 3249
съвместим
Инжекция/Инжекционен Tobramycin sulfate 5 mg/ml
Инжекция/Инжекционен Ceftaroline fosamil 2,22 mg/ml
Ринтер лактат 3249
съвместим
Инжекция/Инжекционен Tobramycin sulfate 6 mg/ml
Инжекция/Инжекционен Ceftazidime 83.3 mg/ml
1759
Неопределена несъвместимост Несъвместим
Инжекция/Инжекционен Tobramycin sulfate
Инжекция/Инжекционен Ceftazidime
3543
съвместим
Инжекция/Инжекционен Tobramycin sulfate 0.008 mg/ml
Инжекция/Инжекционен Ceftazidime 0.125 mg/ml
Dianéal® PD2 2.5% glucose (Baxter) 2369
Неопределена несъвместимост Несъвместим
Инжекция/Инжекционен Tobramycin sulfate
Инжекция/Инжекционен Ceftazidime
3883
съвместим
Инжекция/Инжекционен Tobramycin sulfate 6 mg/ml
Инжекция/Инжекционен Ceftazidime 125 mg/ml
Вода за инжекции 2141
Незабавни валежи Несъвместим
Инжекция/Инжекционен Tobramycin sulfate 5 mg/ml
Инжекция/Инжекционен Ceftobiprole medocaril sodium 2 mg/ml
Ринтер лактат 2269
Неопределена несъвместимост Несъвместим
Инжекция/Инжекционен Tobramycin sulfate
Инжекция/Инжекционен Ceftobiprole medocaril sodium
4650
Незабавни валежи Несъвместим
Инжекция/Инжекционен Tobramycin sulfate 5 mg/ml
Инжекция/Инжекционен Ceftobiprole medocaril sodium 2 mg/ml
Glucose 5% 2269
Незабавни валежи Несъвместим
Инжекция/Инжекционен Tobramycin sulfate 5 mg/ml
Инжекция/Инжекционен Ceftobiprole medocaril sodium 2 mg/ml
Sodium chloride 0,9% 2269
съвместим
Инжекция/Инжекционен Tobramycin sulfate 5 mg/ml
Инжекция/Инжекционен Ceftolozane / tazobactam 10/5 mg/ml
Glucose 5% 3828
съвместим
Инжекция/Инжекционен Tobramycin sulfate 5 mg/ml
Инжекция/Инжекционен Ceftolozane / tazobactam 10/5 mg/ml
Sodium chloride 0,9% 3828
Неопределена несъвместимост Несъвместим
Инжекция/Инжекционен Tobramycin sulfate
Инжекция/Инжекционен Ceftriaxone disodium
3523
Неопределена несъвместимост Несъвместим
Инжекция/Инжекционен Tobramycin sulfate
Инжекция/Инжекционен Cefuroxime sodium
3687
съвместим
Инжекция/Инжекционен Tobramycin sulfate 1.6 mg/ml
Инжекция/Инжекционен Ciprofloxacin lactate 2 mg/ml
Glucose 5% 285
съвместим
Инжекция/Инжекционен Tobramycin sulfate 1 mg/ml
Инжекция/Инжекционен Ciprofloxacin lactate 1.5 mg/ml
Glucose 5% 434
съвместим
Инжекция/Инжекционен Tobramycin sulfate 1 mg/ml
Инжекция/Инжекционен Ciprofloxacin lactate 1.5 mg/ml
Sodium chloride 0,9% 434
съвместим
Инжекция/Инжекционен Tobramycin sulfate 1,6 mg/ml
Инжекция/Инжекционен Ciprofloxacin lactate 1 mg/ml
Glucose 5% 500
съвместим
Инжекция/Инжекционен Tobramycin sulfate 1,6 mg/ml
Инжекция/Инжекционен Ciprofloxacin lactate 1 mg/ml
Sodium chloride 0,9% 500
съвместим
Инжекция/Инжекционен Tobramycin sulfate 5 mg/ml
Инжекция/Инжекционен Cisatracurium besylate 0.1 >> 5 mg/ml
Glucose 5% 299
Химическа нестабилност Несъвместим
Инжекция/Инжекционен Tobramycin sulfate
Инжекция/Инжекционен Cisplatin
3578
съвместим
Инжекция/Инжекционен Tobramycin sulfate
Инжекция/Инжекционен Clindamycin phosphate
Glucose 5% 3526
съвместим
Инжекция/Инжекционен Tobramycin sulfate
Инжекция/Инжекционен Clindamycin phosphate
Sodium chloride 0,9% 3526
Незабавни валежи Несъвместим
Инжекция/Инжекционен Tobramycin sulfate 12 mg/ml
Инжекция/Инжекционен Clindamycin phosphate 90 mg/ml
Sodium chloride 0,9% 639
Незабавни валежи Несъвместим
Инжекция/Инжекционен Tobramycin sulfate 40 mg/ml
Инжекция/Инжекционен Cloxacillin sodium 100 mg/ml
Вода за инжекции 3012
Незабавни валежи Несъвместим
Инжекция/Инжекционен Tobramycin sulfate 10 mg/ml
Инжекция/Инжекционен Defibrotide 8 mg/ml
Sodium chloride 0,9% 3728
съвместим
Инжекция/Инжекционен Tobramycin sulfate 5 mg/ml
Инжекция/Инжекционен Dexmedetomidine 4 µg/ml
Sodium chloride 0,9% 1712
съвместим
Инжекция/Инжекционен Tobramycin sulfate 2.4 & 40 mg/ml
Инжекция/Инжекционен Diltiazem hydrochloride 5 mg/ml
Sodium chloride 0,9% 198
съвместим
Инжекция/Инжекционен Tobramycin sulfate
Инжекция/Инжекционен Dimenhydrinate
2087
съвместим
Инжекция/Инжекционен Tobramycin sulfate 5 mg/ml
Инжекция/Инжекционен Docetaxel 0.9 mg/ml
Glucose 5% 1754
съвместим
Инжекция/Инжекционен Tobramycin sulfate 40 mg/ml
Парентерално хранене (с липиди) 673
съвместим
Инжекция/Инжекционен Tobramycin sulfate 10 mg/ml
Парентерално хранене (липидите безплатно) 316
съвместим
Инжекция/Инжекционен Tobramycin sulfate 5 mg/ml
Парентерално хранене (с липиди) 1415
съвместим
Инжекция/Инжекционен Tobramycin sulfate 5 mg/ml
Инжекция/Инжекционен Doripenem 5 mg/ml
Glucose 5% 2262
съвместим
Инжекция/Инжекционен Tobramycin sulfate 0,05 mg/ml
Парентерално хранене (липидите безплатно) 4445
съвместим
Инжекция/Инжекционен Tobramycin sulfate 5 mg/ml
Инжекция/Инжекционен Doripenem 5 mg/ml
Sodium chloride 0,9% 2262
съвместим
Инжекция/Инжекционен Tobramycin sulfate 5 mg/ml
Инжекция/Инжекционен Doxorubicin hydrochloride liposome peg 0.4 mg/ml
Glucose 5% 251
съвместим
Инжекция/Инжекционен Tobramycin sulfate 5 mg/ml
Инжекция/Инжекционен Eravacycline 0,6 mg/ml
Sodium chloride 0,9% 4434
съвместим
Инжекция/Инжекционен Tobramycin sulfate 5 mg/ml
Инжекция/Инжекционен Fenoldopam mesylate 80 µg/ml
Sodium chloride 0,9% 1803
съвместим
Инжекция/Инжекционен Tobramycin sulfate 10 mg/ml
Инжекция/Инжекционен Fentanyl citrate 50 µg/ml
Glucose 5% 63
съвместим
Инжекция/Инжекционен Tobramycin sulfate 10 & 40 mg/ml
Парентерално хранене (липидите безплатно) 999
съвместим
Инжекция/Инжекционен Tobramycin sulfate 0.8 mg/ml
Инжекция/Инжекционен Enalaprilate 0.05 mg/ml
Sodium chloride 0,9% 1315
Неопределена несъвместимост Несъвместим
Инжекция/Инжекционен Tobramycin sulfate
Инжекция/Инжекционен Erythromycin lactobionate
3674
съвместим
Инжекция/Инжекционен Tobramycin sulfate 0.8 mg/ml
Инжекция/Инжекционен Esmolol hydrochloride 10 mg/ml
Glucose 5% 384
съвместим
Инжекция/Инжекционен Tobramycin sulfate 1.6 mg/ml
Инжекция/Инжекционен Filgrastim 40 µg/ml
Glucose 5% 104
съвместим
Инжекция/Инжекционен Tobramycin sulfate 5 mg/ml
Парентерално хранене (липидите безплатно) 301
съвместим
Инжекция/Инжекционен Tobramycin sulfate 5 mg/ml
Инжекция/Инжекционен Etoposide phosphate 5 mg/ml
Glucose 5% 1410
съвместим
Инжекция/Инжекционен Tobramycin sulfate 5 mg/ml
Инжекция/Инжекционен Filgrastim 30 µg/ml
Glucose 5% 244
съвместим
Инжекция/Инжекционен Tobramycin sulfate 40 mg/ml
Ринтер лактат 4603
Незабавни валежи Несъвместим
Инжекция/Инжекционен Tobramycin sulfate
Инжекция/Инжекционен Flucloxacillin sodium
3522
Валежи след 7 часа Несъвместим
Инжекция/Инжекционен Tobramycin sulfate 8 mg/ml
Инжекция/Инжекционен Flucloxacillin sodium 20 mg/ml
Sodium chloride 0,9% 1232
съвместим
Инжекция/Инжекционен Tobramycin sulfate 40 mg/ml
Инжекция/Инжекционен Fluconazole 2 mg/ml
Sodium chloride 0,9% 496
съвместим
Инжекция/Инжекционен Tobramycin sulfate 5 mg/ml
Инжекция/Инжекционен Fludarabine phosphate 1 mg/ml
Glucose 5% 492
съвместим
Инжекция/Инжекционен Tobramycin sulfate 40 mg/ml
Инжекция/Инжекционен Foscarnet sodium 24 mg/ml
Няма 73
съвместим
Инжекция/Инжекционен Tobramycin sulfate 5 mg/ml
Инжекция/Инжекционен Fosfomycin 30 mg/ml
Glucose 5% 4055
Валежи след 7 часа Несъвместим
Инжекция/Инжекционен Tobramycin sulfate 8 mg/ml
Инжекция/Инжекционен Furosemide 1 mg/ml
Sodium chloride 0,9% 1232
Незабавни валежи Несъвместим
Инжекция/Инжекционен Tobramycin sulfate 1,6 mg/ml
Инжекция/Инжекционен Furosemide 0,8 mg/ml
Glucose 5% 367
Незабавни валежи Несъвместим
Инжекция/Инжекционен Tobramycin sulfate 1,6 mg/ml
Инжекция/Инжекционен Furosemide 0,8 mg/ml
Sodium chloride 0,9% 367
Неопределена несъвместимост Несъвместим
Инжекция/Инжекционен Tobramycin sulfate 0.8 mg/ml
Инжекция/Инжекционен Heparin sodium 50 UI/ml
Няма 317
Неопределена несъвместимост Несъвместим
Инжекция/Инжекционен Tobramycin sulfate
Инжекция/Инжекционен Heparin sodium
3540
съвместим
Инжекция/Инжекционен Tobramycin sulfate
Glucose 5% 5086
съвместим
Инжекция/Инжекционен Tobramycin sulfate 5 mg/ml
Инжекция/Инжекционен Fosfomycin 30 mg/ml
Sodium chloride 0,9% 4055
съвместим
Инжекция/Инжекционен Tobramycin sulfate 5 mg/ml
Инжекция/Инжекционен Gemcitabine hydrochloride 10 mg/ml
Sodium chloride 0,9% 1423
съвместим
Инжекция/Инжекционен Tobramycin sulfate 5 mg/ml
Инжекция/Инжекционен Granisetron hydrochloride 0.05 mg/ml
Glucose 5% 182
съвместим
Инжекция/Инжекционен Tobramycin sulfate 5 mg/ml
Инжекция/Инжекционен Hetastarch 60 mg/ml
Специфична разтворител 1721
Незабавни валежи Несъвместим
Инжекция/Инжекционен Tobramycin sulfate 0.8 mg/ml
Инжекция/Инжекционен Hetastarch 60 mg/ml
Sodium chloride 0,9% 472
съвместим
Инжекция/Инжекционен Tobramycin sulfate 0.8 mg/ml
Инжекция/Инжекционен Hydromorphone hydrochloride 0.2 mg/ml
Glucose 5% 405
Валежи след 15 минути Несъвместим
Инжекция/Инжекционен Tobramycin sulfate 1 mg/ml
Инжекция/Инжекционен Indomethacin sodium trihydrate 0,5 & 1 mg/ml
Glucose 5% 1745
Незабавни валежи Несъвместим
Инжекция/Инжекционен Tobramycin sulfate 1 mg/ml
Инжекция/Инжекционен Indomethacin sodium trihydrate 0,5 & 1 mg/ml
Glucose 5% 494
съвместим
Инжекция/Инжекционен Tobramycin sulfate 1.6 & 2 mg/ml
Инжекция/Инжекционен Insulin 0.2 UI/ml
Sodium chloride 0,9% 129
съвместим
Инжекция/Инжекционен Tobramycin sulfate 5 mg/ml
Инжекция/Инжекционен Isavuconazonium sulfate 1.5 mg/ml
Glucose 5% 3829
съвместим
Инжекция/Инжекционен Tobramycin sulfate 5 mg/ml
Инжекция/Инжекционен Isavuconazonium sulfate 1.5 mg/ml
Sodium chloride 0,9% 3829
съвместим
Инжекция/Инжекционен Tobramycin sulfate 40 mg/ml
Инжекция/Инжекционен Ketamine hydrochloride 50 mg/ml
2109
съвместим
Инжекция/Инжекционен Tobramycin sulfate 0.8 mg/ml
Инжекция/Инжекционен Labetalol hydrochloride 1 mg/ml
Glucose 5% 386
Промяна на цвета след 4 часа Несъвместим
Инжекция/Инжекционен Tobramycin sulfate 5 mg/ml
Инжекция/Инжекционен Lansoprazole 0.55 mg/ml
Sodium chloride 0,9% 1625
съвместим
Инжекция/Инжекционен Tobramycin sulfate 5 mg/ml
Инжекция/Инжекционен Linezolid 2 mg/ml
Няма 1925
съвместим
Инжекция/Инжекционен Tobramycin sulfate 0,80 mg/ml
Инжекция/Инжекционен Linezolid 1,80 mg/ml
2353
съвместим
Инжекция/Инжекционен Tobramycin sulfate 0.8 mg/ml
Инжекция/Инжекционен Magnesium sulfate 16.67 >> 100 mg/ml
Glucose 5% 1047
съвместим
Инжекция/Инжекционен Tobramycin sulfate 5 mg/ml
Инжекция/Инжекционен Melphalan 0.1 mg/ml
Sodium chloride 0,9% 169
съвместим
Инжекция/Инжекционен Tobramycin sulfate 40 mg/ml
Инжекция/Инжекционен Meropenem 50 mg/ml
Вода за инжекции 4319
съвместим
Инжекция/Инжекционен Tobramycin sulfate 40 mg/ml
Инжекция/Инжекционен Meropenem 50 mg/ml
4389
съвместим
Инжекция/Инжекционен Tobramycin sulfate 0.8 mg/ml
Инжекция/Инжекционен Metronidazole 5 mg/ml
Няма 1035
съвместим
Инжекция/Инжекционен Tobramycin sulfate
Инжекция/Инжекционен Metronidazole
3594
съвместим
Инжекция/Инжекционен Tobramycin sulfate 10 mg/ml
Инжекция/Инжекционен Midazolam hydrochloride 1 mg/ml
Glucose 5% 176
съвместим
Инжекция/Инжекционен Tobramycin sulfate 1.6 >> 2.4 mg/ml
Инжекция/Инжекционен Morphine sulfate 1 mg/ml
Sodium chloride 0,9% 406
съвместим
Инжекция/Инжекционен Tobramycin sulfate 0.8 mg/ml
Инжекция/Инжекционен Morphine sulfate 1 mg/ml
Glucose 5% 405
съвместим
Инжекция/Инжекционен Tobramycin sulfate 40 mg/ml
Инжекция/Инжекционен Naloxone hydrochloride 0.4 mg/ml
Няма 3408
съвместим
Инжекция/Инжекционен Tobramycin sulfate 0.8 mg/ml
Инжекция/Инжекционен Nicardipine hydrochloride 0.1 mg/ml
Sodium chloride 0,9% 1490
съвместим
Инжекция/Инжекционен Tobramycin sulfate 0.8 mg/ml
Инжекция/Инжекционен Nicardipine hydrochloride 0.1 mg/ml
Glucose 5% 1490
съвместим
Инжекция/Инжекционен Tobramycin sulfate 0,8 mg/ml
Инжекция/Инжекционен Ofloxacin 2 mg/ml
Няма 889
съвместим
Инжекция/Инжекционен Tobramycin sulfate 5 mg/ml
Инжекция/Инжекционен Oritavancin 0.8 >>2 mg/ml
Glucose 5% 3152
Незабавни валежи Несъвместим
Инжекция/Инжекционен Tobramycin sulfate
Инжекция/Инжекционен Pantoprazole sodium
2090
съвместим
Инжекция/Инжекционен Tobramycin sulfate 40 mg/ml
Инжекция/Инжекционен Paracetamol 10 mg/ml
4742
Незабавни валежи Несъвместим
Инжекция/Инжекционен Tobramycin sulfate 5 mg/ml
Инжекция/Инжекционен Pemetrexed disodium 20 mg/ml
Sodium chloride 0,9% 1953
съвместим
Инжекция/Инжекционен Tobramycin sulfate 0.8 mg/ml
Инжекция/Инжекционен Pethidine hydrochloride 10 mg/ml
Glucose 5% 405
съвместим
Инжекция/Инжекционен Tobramycin sulfate 1.6 >> 2.4 mg/ml
Инжекция/Инжекционен Pethidine hydrochloride 10 mg/ml
Sodium chloride 0,9% 406
Химическа нестабилност Несъвместим
Инжекция/Инжекционен Tobramycin sulfate
Инжекция/Инжекционен Piperacillin sodium
1168
Химическа нестабилност Несъвместим
Инжекция/Инжекционен Tobramycin sulfate
Инжекция/Инжекционен Piperacillin sodium / tazobactam
3586
Непосредствена нестабилност на емулсията Несъвместим
Инжекция/Инжекционен Tobramycin sulfate 2 mg/ml
Инжекция/Инжекционен Propofol
660
Незабавни валежи Несъвместим
Инжекция/Инжекционен Tobramycin sulfate 5 mg/ml
Инжекция/Инжекционен Propofol 10 mg/ml
Няма 300
съвместим
Инжекция/Инжекционен Tobramycin sulfate 5 mg/ml
Инжекция/Инжекционен Remifentanil hydrochloride 25 & 250 µg/ml
Sodium chloride 0,9% 59
Незабавни валежи Несъвместим
Инжекция/Инжекционен Tobramycin sulfate 40 mg/ml
Инжекция/Инжекционен Salbutamol sulfate 1 mg/ml
Няма 3216
Валежи след 4 часа Несъвместим
Инжекция/Инжекционен Tobramycin sulfate 5 mg/ml
Инжекция/Инжекционен Sargramostim 10 µg/ml
Sodium chloride 0,9% 335
съвместим
Инжекция/Инжекционен Tobramycin sulfate 2,4 mg/ml
Инжекция/Инжекционен Sodium bicarbonate 40 mg/ml
Няма 3122
съвместим
Инжекция/Инжекционен Tobramycin sulfate 5 mg/ml
Инжекция/Инжекционен Sulbactam/durlobactam 15/15 mg/ml
Sodium chloride 0,9% 4801
съвместим
Инжекция/Инжекционен Tobramycin sulfate 40 mg/ml
Инжекция/Инжекционен Tacrolimus 1000 µg/ml
Sodium chloride 0,9% 479
Незабавна мътност Несъвместим
Инжекция/Инжекционен Tobramycin sulfate 5 mg/ml
Инжекция/Инжекционен Tedizolid phosphate 0.8 mg/ml
Sodium chloride 0,9% 3827
Неопределена несъвместимост Несъвместим
Инжекция/Инжекционен Tobramycin sulfate
Инжекция/Инжекционен Teicoplanine
3656
съвместим
Инжекция/Инжекционен Tobramycin sulfate 5 mg/ml
Инжекция/Инжекционен Telavancin hydrochloride 7.5 mg/ml
Sodium chloride 0,9% 3254
съвместим
Инжекция/Инжекционен Tobramycin sulfate 5 mg/ml
Инжекция/Инжекционен Telavancin hydrochloride 7.5 mg/ml
Glucose 5% 3254
съвместим
Инжекция/Инжекционен Tobramycin sulfate 6 mg/ml
Инжекция/Инжекционен Temocilline 83.33 mg/ml
Вода за инжекции 2231
Неопределена несъвместимост Несъвместим
Инжекция/Инжекционен Tobramycin sulfate
Инжекция/Инжекционен Temocilline
2296
съвместим
Инжекция/Инжекционен Tobramycin sulfate 5 mg/ml
Инжекция/Инжекционен Teniposide 0.1 mg/ml
Glucose 5% 905
съвместим
Инжекция/Инжекционен Tobramycin sulfate 0.8 mg/ml
Инжекция/Инжекционен Theophylline 4 mg/ml
Няма 317
Незабавни валежи Несъвместим
Инжекция/Инжекционен Tobramycin sulfate 40 mg/ml
Инжекция/Инжекционен Thiopental sodium 25 mg/ml
Sodium chloride 0,9% 3767
съвместим
Инжекция/Инжекционен Tobramycin sulfate 5 mg/ml
Инжекция/Инжекционен Thiotepa 1 mg/ml
Glucose 5% 249
съвместим
Инжекция/Инжекционен Tobramycin sulfate
Sodium chloride 0,9% 5086
Химическа нестабилност Несъвместим
Инжекция/Инжекционен Tobramycin sulfate
Инжекция/Инжекционен Ticarcillin / clavulanic acid
3587
съвместим
Инжекция/Инжекционен Tobramycin sulfate
Инжекция/Инжекционен Tigecycline
Sodium chloride 0,9% 3332
съвместим
Инжекция/Инжекционен Tobramycin sulfate 6 mg/ml
Инжекция/Инжекционен Vancomycin hydrochloride 10 mg/ml
Glucose 5% 3385
съвместим
Инжекция/Инжекционен Tobramycin sulfate 0.16 mg/ml
Инжекция/Инжекционен Verapamil hydrochloride 0.08 mg/ml
Sodium chloride 0,9% 1057
съвместим
Инжекция/Инжекционен Tobramycin sulfate 0.16 mg/ml
Инжекция/Инжекционен Verapamil hydrochloride 0.08 mg/ml
Glucose 5% 1057
съвместим
Инжекция/Инжекционен Tobramycin sulfate 5 mg/ml
Инжекция/Инжекционен Vinorelbine tartrate 1 mg/ml
Sodium chloride 0,9% 84
съвместим
Инжекция/Инжекционен Tobramycin sulfate 2 mg/ml
Инжекция/Инжекционен Zidovudine 4 mg/ml
Glucose 5% 337

  Mentions Légales