Última actualização :
27/04/2026
antibiótico   Tobramycin sulfate  
injetável
aerossol solução oftálmica Solução Oral
Estabilidade em soluções simples Estabilidade em misturas Factores que afectam a sua estabilidade Compatibilidade Método de administração Bibliografía pdf
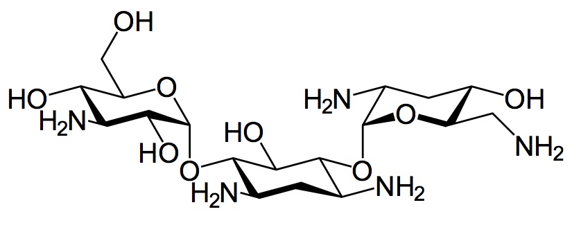
   estrutura química  

Nomes comerciais nos diversos países   Nomes comerciais nos diversos países     

OS NOMES COMERCIAIS SÃO INDICATIVOS E OS EXCIPIENTES DA FORMULAÇÃO PODEM SER DIFERENTES CONFORME O PAÍS E FABRICANTE.

Bactob Índia
Beltob Índia
Bramicil Itália
Brulamycin Eslovenia, Hungria, Malásia
Eltol Índia
Fytobra Índia
Gernebcin Alemanha
Komitob Índia
Nebcin Arábia Saudita, Egipto, Emirados Árabes Unidos, Gran-bretanha, Grècia, nova Zelândia
Nebcina Dinamarca, Marrocos, Noruega, Suècia
Nebcine Eslovenia, França, Marrocos
Nebicina Itália
Obracin Bélgica, Luxemburgo, Países Baixos, Suicia
Tobracin Arábia Saudita, Brasil, Egipto
Tobramicina Argentina, Brasil, Chilli, Colômbia, Equator, Espanha, Itália, Portugal
Tobramina Brasil
Tobramycin Alemanha, Arábia Saudita, Australia, Canadá, Estados Unidos de América, Gran-bretanha, Irlanda, Noruega
Tobramycine França, Irlanda, Países Baixos
Tobrasix Austria
Tobrazid Alemanha
Compatibilidade   injetável   Compatibilidade : Tobramycin sulfate              
Este ecrã indica as compatibilidades ou incompatibilidades com, neste caso, o tipo de incompatibilidade (precipitação, mudança de cor, modificação de uma emulsão, etc.). As compatibilidades mostradas aqui são principalmente físicas, com a estabilidade química de cada molécula raramente sendo avaliada. A avaliação dessas misturas foi estudada para considerar a possibilidade de administração do local Y ao paciente. Estes dados não podem ser usados para fazer misturas antecipadamente em sacos ou seringas. Este tipo de informação está disponível na tela “Estabilidade na mistura».
molécula Solvente Bibliografia
Compatível
injetável Tobramycin sulfate 1.6 mg/ml
injetável Aciclovir sodium 5 mg/ml
Glucose 5% 336
Precipitação após 1 hora Incompatível
injetável Tobramycin sulfate 5 mg/ml
injetável Allopurinol sodium 3 mg/ml
cloreto de sódio 0,9% 307
Compatível
injetável Tobramycin sulfate 1 mg/ml
injetável Alprostadil 15 µg/ml
3201
Compatível
injetável Tobramycin sulfate 5 mg/ml
injetável Amifostine 10 mg/ml
Glucose 5% 3
Compatível
injetável Tobramycin sulfate 5 mg/ml
injetável Amiodarone hydrochloride 6 mg/ml
Glucose 5% 1611
Compatível
injetável Tobramycin sulfate 0.8 mg/ml
injetável Amiodarone hydrochloride 4 mg/ml
cloreto de sódio 0,9% 385
Compatível
injetável Tobramycin sulfate 0.8 mg/ml
injetável Amiodarone hydrochloride 4 mg/ml
Glucose 5% 385
Instabilidade química Incompatível
injetável Tobramycin sulfate
injetável Amoxicillin sodium
3527
Incompatibilidade não especificada Incompatível
injetável Tobramycin sulfate
injetável Amoxicillin sodium / clavulanic acid
3545
Compatível
injetável Tobramycin sulfate 40 mg/ml
injetável Amoxicillin sodium / clavulanic acid 100/10 mg/ml
3824
Precipitação imediata Incompatível
injetável Tobramycin sulfate 5 mg/ml
injetável Amphotericin B cholesteryl sulfate complex 0.83 mg/ml
Glucose 5% 921
Compatível
injetável Tobramycin sulfate 5 mg/ml
injetável Amsacrine 1 mg/ml
Glucose 5% 253
Compatível
injetável Tobramycin sulfate 5 mg/ml
injetável Anidulafungin 0.5 mg/ml
Glucose 5% 1982
Precipitação imediata Incompatível
injetável Tobramycin sulfate 21 mg/ml
injetável Azithromycine 2 mg/ml
cloreto de sódio 0,9% 1800
Compatível
injetável Tobramycin sulfate 0.2 & 0.8 mg/ml
injetável Aztreonam 10 & 20 mg/ml
Glucose 5% 19
Compatível
injetável Tobramycin sulfate 0.2 & 0.8 mg/ml
injetável Aztreonam 10 & 20 mg/ml
cloreto de sódio 0,9% 19
Compatível
injetável Tobramycin sulfate 5 mg/ml
injetável Aztreonam 40 mg/ml
Glucose 5% 99
Compatível
injetável Tobramycin sulfate 5 mg/ml
injetável Bivalirudin 5 mg/ml
Glucose 5% 1713
Compatível
injetável Tobramycin sulfate 40 mg/ml
injetável Caffeine 10 mg/ml
nenhum 3964
Incompatível
injetável Tobramycin sulfate
injetável Calcium gluconate
4964
Incompatibilidade não especificada Incompatível
injetável Tobramycin sulfate
injetável Calcium gluconate
3644
Compatível
injetável Tobramycin sulfate 1 mg/ml
injetável Calcium gluconate 33 mg/ml
Glucose 5% 503
Compatível
injetável Tobramycin sulfate 5 mg/ml
injetável Calcium gluconate 16 mg/ml
Glucose 5% 503
Compatível
injetável Tobramycin sulfate 5 mg/ml
injetável Caspofungin acetate 0,7 mg/ml
cloreto de sódio 0,9% 2247
Precipitação imediata Incompatível
injetável Tobramycin sulfate
injetável Cefamandole nafate 2 >> 100 mg/ml
cloreto de sódio 0,9% 612
Precipitação imediata Incompatível
injetável Tobramycin sulfate
injetável Cefamandole nafate 2 >> 100 mg/ml
Glucose 5% 612
Incompatibilidade não especificada Incompatível
injetável Tobramycin sulfate
injetável Cefamandole nafate
3546
Compatível
injetável Tobramycin sulfate 6 mg/ml
injetável Cefepime dihydrochloride 125 mg/ml
Agua para injectaveis 2141
Incompatibilidade não especificada Incompatível
injetável Tobramycin sulfate
injetável Cefepime dihydrochloride
3548
Precipitação imediata Incompatível
injetável Tobramycin sulfate 10 mg/ml
injetável Cefiderocol sulfate tosylate 20 mg/mL
Glucose 5% 4528
Precipitação imediata Incompatível
injetável Tobramycin sulfate 10 mg/ml
injetável Cefiderocol sulfate tosylate 20 mg/mL
cloreto de sódio 0,9% 4528
Precipitação imediata Incompatível
injetável Tobramycin sulfate 0.8 mg/ml
injetável Cefoperazone sodium 10 & 40 mg/ml
Glucose 5% 1206
Incompatibilidade não especificada Incompatível
injetável Tobramycin sulfate
injetável Cefoperazone sodium
3544
Incompatibilidade não especificada Incompatível
injetável Tobramycin sulfate
injetável Cefpirome sulfate
3677
Compatível
injetável Tobramycin sulfate 5 mg/ml
injetável Ceftaroline fosamil 2,22 mg/ml
cloreto de sódio 0,9% 3249
Compatível
injetável Tobramycin sulfate 5 mg/ml
injetável Ceftaroline fosamil 2,22 mg/ml
Glucose 5% 3249
Compatível
injetável Tobramycin sulfate 5 mg/ml
injetável Ceftaroline fosamil 2,22 mg/ml
Ringer lactato 3249
Compatível
injetável Tobramycin sulfate 6 mg/ml
injetável Ceftazidime 83.3 mg/ml
1759
Incompatibilidade não especificada Incompatível
injetável Tobramycin sulfate
injetável Ceftazidime
3543
Compatível
injetável Tobramycin sulfate 0.008 mg/ml
injetável Ceftazidime 0.125 mg/ml
Dianéal® PD2 2.5% glucose (Baxter) 2369
Incompatibilidade não especificada Incompatível
injetável Tobramycin sulfate
injetável Ceftazidime
3883
Compatível
injetável Tobramycin sulfate 6 mg/ml
injetável Ceftazidime 125 mg/ml
Agua para injectaveis 2141
Precipitação imediata Incompatível
injetável Tobramycin sulfate 5 mg/ml
injetável Ceftobiprole medocaril sodium 2 mg/ml
Ringer lactato 2269
Incompatibilidade não especificada Incompatível
injetável Tobramycin sulfate
injetável Ceftobiprole medocaril sodium
4650
Precipitação imediata Incompatível
injetável Tobramycin sulfate 5 mg/ml
injetável Ceftobiprole medocaril sodium 2 mg/ml
Glucose 5% 2269
Precipitação imediata Incompatível
injetável Tobramycin sulfate 5 mg/ml
injetável Ceftobiprole medocaril sodium 2 mg/ml
cloreto de sódio 0,9% 2269
Compatível
injetável Tobramycin sulfate 5 mg/ml
injetável Ceftolozane / tazobactam 10/5 mg/ml
Glucose 5% 3828
Compatível
injetável Tobramycin sulfate 5 mg/ml
injetável Ceftolozane / tazobactam 10/5 mg/ml
cloreto de sódio 0,9% 3828
Incompatibilidade não especificada Incompatível
injetável Tobramycin sulfate
injetável Ceftriaxone disodium
3523
Incompatibilidade não especificada Incompatível
injetável Tobramycin sulfate
injetável Cefuroxime sodium
3687
Compatível
injetável Tobramycin sulfate 1.6 mg/ml
injetável Ciprofloxacin lactate 2 mg/ml
Glucose 5% 285
Compatível
injetável Tobramycin sulfate 1 mg/ml
injetável Ciprofloxacin lactate 1.5 mg/ml
Glucose 5% 434
Compatível
injetável Tobramycin sulfate 1 mg/ml
injetável Ciprofloxacin lactate 1.5 mg/ml
cloreto de sódio 0,9% 434
Compatível
injetável Tobramycin sulfate 1,6 mg/ml
injetável Ciprofloxacin lactate 1 mg/ml
Glucose 5% 500
Compatível
injetável Tobramycin sulfate 1,6 mg/ml
injetável Ciprofloxacin lactate 1 mg/ml
cloreto de sódio 0,9% 500
Compatível
injetável Tobramycin sulfate 5 mg/ml
injetável Cisatracurium besylate 0.1 >> 5 mg/ml
Glucose 5% 299
Instabilidade química Incompatível
injetável Tobramycin sulfate
injetável Cisplatin
3578
Compatível
injetável Tobramycin sulfate
injetável Clindamycin phosphate
Glucose 5% 3526
Compatível
injetável Tobramycin sulfate
injetável Clindamycin phosphate
cloreto de sódio 0,9% 3526
Precipitação imediata Incompatível
injetável Tobramycin sulfate 12 mg/ml
injetável Clindamycin phosphate 90 mg/ml
cloreto de sódio 0,9% 639
Precipitação imediata Incompatível
injetável Tobramycin sulfate 40 mg/ml
injetável Cloxacillin sodium 100 mg/ml
Agua para injectaveis 3012
Precipitação imediata Incompatível
injetável Tobramycin sulfate 10 mg/ml
injetável Defibrotide 8 mg/ml
cloreto de sódio 0,9% 3728
Compatível
injetável Tobramycin sulfate 5 mg/ml
injetável Dexmedetomidine 4 µg/ml
cloreto de sódio 0,9% 1712
Compatível
injetável Tobramycin sulfate 2.4 & 40 mg/ml
injetável Diltiazem hydrochloride 5 mg/ml
cloreto de sódio 0,9% 198
Compatível
injetável Tobramycin sulfate
injetável Dimenhydrinate
2087
Compatível
injetável Tobramycin sulfate 5 mg/ml
injetável Docetaxel 0.9 mg/ml
Glucose 5% 1754
Compatível
injetável Tobramycin sulfate 40 mg/ml
Nutrição parenteral (com lípidos) 673
Compatível
injetável Tobramycin sulfate 10 mg/ml
Nutrição parenterica (mistura binária) 316
Compatível
injetável Tobramycin sulfate 5 mg/ml
Nutrição parenteral (com lípidos) 1415
Compatível
injetável Tobramycin sulfate 5 mg/ml
injetável Doripenem 5 mg/ml
Glucose 5% 2262
Compatível
injetável Tobramycin sulfate 0,05 mg/ml
Nutrição parenterica (mistura binária) 4445
Compatível
injetável Tobramycin sulfate 5 mg/ml
injetável Doripenem 5 mg/ml
cloreto de sódio 0,9% 2262
Compatível
injetável Tobramycin sulfate 5 mg/ml
injetável Doxorubicin hydrochloride liposome peg 0.4 mg/ml
Glucose 5% 251
Compatível
injetável Tobramycin sulfate 5 mg/ml
injetável Eravacycline 0,6 mg/ml
cloreto de sódio 0,9% 4434
Compatível
injetável Tobramycin sulfate 5 mg/ml
injetável Fenoldopam mesylate 80 µg/ml
cloreto de sódio 0,9% 1803
Compatível
injetável Tobramycin sulfate 10 mg/ml
injetável Fentanyl citrate 50 µg/ml
Glucose 5% 63
Compatível
injetável Tobramycin sulfate 10 & 40 mg/ml
Nutrição parenterica (mistura binária) 999
Compatível
injetável Tobramycin sulfate 0.8 mg/ml
injetável Enalaprilate 0.05 mg/ml
cloreto de sódio 0,9% 1315
Incompatibilidade não especificada Incompatível
injetável Tobramycin sulfate
injetável Erythromycin lactobionate
3674
Compatível
injetável Tobramycin sulfate 0.8 mg/ml
injetável Esmolol hydrochloride 10 mg/ml
Glucose 5% 384
Compatível
injetável Tobramycin sulfate 1.6 mg/ml
injetável Filgrastim 40 µg/ml
Glucose 5% 104
Compatível
injetável Tobramycin sulfate 5 mg/ml
Nutrição parenterica (mistura binária) 301
Compatível
injetável Tobramycin sulfate 5 mg/ml
injetável Etoposide phosphate 5 mg/ml
Glucose 5% 1410
Compatível
injetável Tobramycin sulfate 5 mg/ml
injetável Filgrastim 30 µg/ml
Glucose 5% 244
Compatível
injetável Tobramycin sulfate 40 mg/ml
Ringer lactato 4603
Precipitação imediata Incompatível
injetável Tobramycin sulfate
injetável Flucloxacillin sodium
3522
Precipitação após 7 horas Incompatível
injetável Tobramycin sulfate 8 mg/ml
injetável Flucloxacillin sodium 20 mg/ml
cloreto de sódio 0,9% 1232
Compatível
injetável Tobramycin sulfate 40 mg/ml
injetável Fluconazole 2 mg/ml
cloreto de sódio 0,9% 496
Compatível
injetável Tobramycin sulfate 5 mg/ml
injetável Fludarabine phosphate 1 mg/ml
Glucose 5% 492
Compatível
injetável Tobramycin sulfate 40 mg/ml
injetável Foscarnet sodium 24 mg/ml
nenhum 73
Compatível
injetável Tobramycin sulfate 5 mg/ml
injetável Fosfomycin 30 mg/ml
Glucose 5% 4055
Precipitação após 7 horas Incompatível
injetável Tobramycin sulfate 8 mg/ml
injetável Furosemide 1 mg/ml
cloreto de sódio 0,9% 1232
Precipitação imediata Incompatível
injetável Tobramycin sulfate 1,6 mg/ml
injetável Furosemide 0,8 mg/ml
Glucose 5% 367
Precipitação imediata Incompatível
injetável Tobramycin sulfate 1,6 mg/ml
injetável Furosemide 0,8 mg/ml
cloreto de sódio 0,9% 367
Incompatibilidade não especificada Incompatível
injetável Tobramycin sulfate 0.8 mg/ml
injetável Heparin sodium 50 UI/ml
nenhum 317
Incompatibilidade não especificada Incompatível
injetável Tobramycin sulfate
injetável Heparin sodium
3540
Compatível
injetável Tobramycin sulfate
Glucose 5% 5086
Compatível
injetável Tobramycin sulfate 5 mg/ml
injetável Fosfomycin 30 mg/ml
cloreto de sódio 0,9% 4055
Compatível
injetável Tobramycin sulfate 5 mg/ml
injetável Gemcitabine hydrochloride 10 mg/ml
cloreto de sódio 0,9% 1423
Compatível
injetável Tobramycin sulfate 5 mg/ml
injetável Granisetron hydrochloride 0.05 mg/ml
Glucose 5% 182
Compatível
injetável Tobramycin sulfate 5 mg/ml
injetável Hetastarch 60 mg/ml
solvente específico 1721
Precipitação imediata Incompatível
injetável Tobramycin sulfate 0.8 mg/ml
injetável Hetastarch 60 mg/ml
cloreto de sódio 0,9% 472
Compatível
injetável Tobramycin sulfate 0.8 mg/ml
injetável Hydromorphone hydrochloride 0.2 mg/ml
Glucose 5% 405
Precipitação após 15 minutos Incompatível
injetável Tobramycin sulfate 1 mg/ml
injetável Indomethacin sodium trihydrate 0,5 & 1 mg/ml
Glucose 5% 1745
Precipitação imediata Incompatível
injetável Tobramycin sulfate 1 mg/ml
injetável Indomethacin sodium trihydrate 0,5 & 1 mg/ml
Glucose 5% 494
Compatível
injetável Tobramycin sulfate 1.6 & 2 mg/ml
injetável Insulin 0.2 UI/ml
cloreto de sódio 0,9% 129
Compatível
injetável Tobramycin sulfate 5 mg/ml
injetável Isavuconazonium sulfate 1.5 mg/ml
Glucose 5% 3829
Compatível
injetável Tobramycin sulfate 5 mg/ml
injetável Isavuconazonium sulfate 1.5 mg/ml
cloreto de sódio 0,9% 3829
Compatível
injetável Tobramycin sulfate 40 mg/ml
injetável Ketamine hydrochloride 50 mg/ml
2109
Compatível
injetável Tobramycin sulfate 0.8 mg/ml
injetável Labetalol hydrochloride 1 mg/ml
Glucose 5% 386
Mudança de cor após 4 horas Incompatível
injetável Tobramycin sulfate 5 mg/ml
injetável Lansoprazole 0.55 mg/ml
cloreto de sódio 0,9% 1625
Compatível
injetável Tobramycin sulfate 5 mg/ml
injetável Linezolid 2 mg/ml
nenhum 1925
Compatível
injetável Tobramycin sulfate 0,80 mg/ml
injetável Linezolid 1,80 mg/ml
2353
Compatível
injetável Tobramycin sulfate 0.8 mg/ml
injetável Magnesium sulfate 16.67 >> 100 mg/ml
Glucose 5% 1047
Compatível
injetável Tobramycin sulfate 5 mg/ml
injetável Melphalan 0.1 mg/ml
cloreto de sódio 0,9% 169
Compatível
injetável Tobramycin sulfate 40 mg/ml
injetável Meropenem 50 mg/ml
Agua para injectaveis 4319
Compatível
injetável Tobramycin sulfate 40 mg/ml
injetável Meropenem 50 mg/ml
4389
Compatível
injetável Tobramycin sulfate 0.8 mg/ml
injetável Metronidazole 5 mg/ml
nenhum 1035
Compatível
injetável Tobramycin sulfate
injetável Metronidazole
3594
Compatível
injetável Tobramycin sulfate 10 mg/ml
injetável Midazolam hydrochloride 1 mg/ml
Glucose 5% 176
Compatível
injetável Tobramycin sulfate 1.6 >> 2.4 mg/ml
injetável Morphine sulfate 1 mg/ml
cloreto de sódio 0,9% 406
Compatível
injetável Tobramycin sulfate 0.8 mg/ml
injetável Morphine sulfate 1 mg/ml
Glucose 5% 405
Compatível
injetável Tobramycin sulfate 40 mg/ml
injetável Naloxone hydrochloride 0.4 mg/ml
nenhum 3408
Compatível
injetável Tobramycin sulfate 0.8 mg/ml
injetável Nicardipine hydrochloride 0.1 mg/ml
cloreto de sódio 0,9% 1490
Compatível
injetável Tobramycin sulfate 0.8 mg/ml
injetável Nicardipine hydrochloride 0.1 mg/ml
Glucose 5% 1490
Compatível
injetável Tobramycin sulfate 0,8 mg/ml
injetável Ofloxacin 2 mg/ml
nenhum 889
Compatível
injetável Tobramycin sulfate 5 mg/ml
injetável Oritavancin 0.8 >>2 mg/ml
Glucose 5% 3152
Precipitação imediata Incompatível
injetável Tobramycin sulfate
injetável Pantoprazole sodium
2090
Compatível
injetável Tobramycin sulfate 40 mg/ml
injetável Paracetamol 10 mg/ml
4742
Precipitação imediata Incompatível
injetável Tobramycin sulfate 5 mg/ml
injetável Pemetrexed disodium 20 mg/ml
cloreto de sódio 0,9% 1953
Compatível
injetável Tobramycin sulfate 0.8 mg/ml
injetável Pethidine hydrochloride 10 mg/ml
Glucose 5% 405
Compatível
injetável Tobramycin sulfate 1.6 >> 2.4 mg/ml
injetável Pethidine hydrochloride 10 mg/ml
cloreto de sódio 0,9% 406
Instabilidade química Incompatível
injetável Tobramycin sulfate
injetável Piperacillin sodium
1168
Instabilidade química Incompatível
injetável Tobramycin sulfate
injetável Piperacillin sodium / tazobactam
3586
Instabilidade imediata da emulsão Incompatível
injetável Tobramycin sulfate 2 mg/ml
injetável Propofol
660
Precipitação imediata Incompatível
injetável Tobramycin sulfate 5 mg/ml
injetável Propofol 10 mg/ml
nenhum 300
Compatível
injetável Tobramycin sulfate 5 mg/ml
injetável Remifentanil hydrochloride 25 & 250 µg/ml
cloreto de sódio 0,9% 59
Precipitação imediata Incompatível
injetável Tobramycin sulfate 40 mg/ml
injetável Salbutamol sulfate 1 mg/ml
nenhum 3216
Precipitação após 4 horas Incompatível
injetável Tobramycin sulfate 5 mg/ml
injetável Sargramostim 10 µg/ml
cloreto de sódio 0,9% 335
Compatível
injetável Tobramycin sulfate 2,4 mg/ml
injetável Sodium bicarbonate 40 mg/ml
nenhum 3122
Compatível
injetável Tobramycin sulfate 5 mg/ml
injetável Sulbactam/durlobactam 15/15 mg/ml
cloreto de sódio 0,9% 4801
Compatível
injetável Tobramycin sulfate 40 mg/ml
injetável Tacrolimus 1000 µg/ml
cloreto de sódio 0,9% 479
Turvação imediata Incompatível
injetável Tobramycin sulfate 5 mg/ml
injetável Tedizolid phosphate 0.8 mg/ml
cloreto de sódio 0,9% 3827
Incompatibilidade não especificada Incompatível
injetável Tobramycin sulfate
injetável Teicoplanine
3656
Compatível
injetável Tobramycin sulfate 5 mg/ml
injetável Telavancin hydrochloride 7.5 mg/ml
cloreto de sódio 0,9% 3254
Compatível
injetável Tobramycin sulfate 5 mg/ml
injetável Telavancin hydrochloride 7.5 mg/ml
Glucose 5% 3254
Compatível
injetável Tobramycin sulfate 6 mg/ml
injetável Temocilline 83.33 mg/ml
Agua para injectaveis 2231
Incompatibilidade não especificada Incompatível
injetável Tobramycin sulfate
injetável Temocilline
2296
Compatível
injetável Tobramycin sulfate 5 mg/ml
injetável Teniposide 0.1 mg/ml
Glucose 5% 905
Compatível
injetável Tobramycin sulfate 0.8 mg/ml
injetável Theophylline 4 mg/ml
nenhum 317
Precipitação imediata Incompatível
injetável Tobramycin sulfate 40 mg/ml
injetável Thiopental sodium 25 mg/ml
cloreto de sódio 0,9% 3767
Compatível
injetável Tobramycin sulfate 5 mg/ml
injetável Thiotepa 1 mg/ml
Glucose 5% 249
Compatível
injetável Tobramycin sulfate
cloreto de sódio 0,9% 5086
Instabilidade química Incompatível
injetável Tobramycin sulfate
injetável Ticarcillin / clavulanic acid
3587
Compatível
injetável Tobramycin sulfate
injetável Tigecycline
cloreto de sódio 0,9% 3332
Compatível
injetável Tobramycin sulfate 6 mg/ml
injetável Vancomycin hydrochloride 10 mg/ml
Glucose 5% 3385
Compatível
injetável Tobramycin sulfate 0.16 mg/ml
injetável Verapamil hydrochloride 0.08 mg/ml
cloreto de sódio 0,9% 1057
Compatível
injetável Tobramycin sulfate 0.16 mg/ml
injetável Verapamil hydrochloride 0.08 mg/ml
Glucose 5% 1057
Compatível
injetável Tobramycin sulfate 5 mg/ml
injetável Vinorelbine tartrate 1 mg/ml
cloreto de sódio 0,9% 84
Compatível
injetável Tobramycin sulfate 2 mg/ml
injetável Zidovudine 4 mg/ml
Glucose 5% 337

  Mentions Légales