Utolsó frissítés :
27/04/2026
Antibiotikum   Tobramycin sulfate  
Injekció
aeroszol belsőleges oldat Szemcsepp
Az oldatok stabilitása A keverékek stabilitása Stabilitást befolyásoló tényezők Kompatibilitás Az alkalmazás módja Irodalom pdf
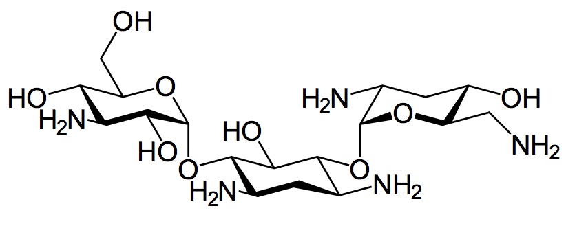
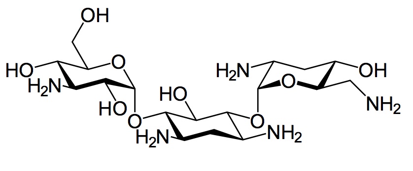
   Kémiai szerkezet   

Kereskedelmi név   Kereskedelmi név     

A kereskedelmi név meghatározó jelentőségű: a készítmények összetétele országonként, előállítóként eltérő lehet

Bactob India
Beltob India
Bramicil Olaszország
Brulamycin Magyarország, Malaysia, Szlovénia
Eltol India
Fytobra India
Gernebcin Németország
Komitob India
Nebcin Egyesült Arab Emírségek, Egyiptom, Görögország, Nagy-Britannia, Szaúd-Arábiában, új-Zéland
Nebcina Dánia, Marokkó, Norvégia, Svédország
Nebcine Franciaország, Marokkó, Szlovénia
Nebicina Olaszország
Obracin Belgium, Hollandia, Luxemburg, Svájc
Tobracin Brazília, Egyiptom, Szaúd-Arábiában
Tobramicina Argentína, Brazília, Chile, Colombia, Ecuador, Olaszország, Portugália, Spanyolország
Tobramina Brazília
Tobramycin Amerikai Egyesült Államok, Ausztrália, Írország, Kanada, Nagy-Britannia, Németország, Norvégia, Szaúd-Arábiában
Tobramycine Franciaország, Hollandia, Írország
Tobrasix Ausztria
Tobrazid Németország
Kompatibilitás   Injekció   Kompatibilitás : Tobramycin sulfate              
Ovdje su prikazane kompatibilnosti ili nekompatibilnosti s tipom nekompatibilnosti (taloženje, promjena boje, modifikacija emulzije itd.) u ovom slučaju. Kompatibilnosti prikazane ovdje najčešće su fizikalne dok se kemijska stabilnost molekule rijetko procjenjuje. Procjena ovih mikstura je proučavana kako bi se razmotrila mogućnost primjene lijeka putem Y-mjesta. Ovi se podaci ne smiju koristiti za pripremu mikstura unaprijed u vrećicama ili štrcaljkama. Ova vrsta informacije se može pronaći u odjeljku « stabilnost u miksturama ».
Vegyület Oldószer Irodalom
Összeegyeztethető
Injekció Tobramycin sulfate 1.6 mg/ml
Injekció Aciclovir sodium 5 mg/ml
5% glükóz 336
Csapadék 1 óra után Összeegyeztethetetlen
Injekció Tobramycin sulfate 5 mg/ml
Injekció Allopurinol sodium 3 mg/ml
0,9% nátrium-klorid 307
Összeegyeztethető
Injekció Tobramycin sulfate 1 mg/ml
Injekció Alprostadil 15 µg/ml
3201
Összeegyeztethető
Injekció Tobramycin sulfate 5 mg/ml
Injekció Amifostine 10 mg/ml
5% glükóz 3
Összeegyeztethető
Injekció Tobramycin sulfate 5 mg/ml
Injekció Amiodarone hydrochloride 6 mg/ml
5% glükóz 1611
Összeegyeztethető
Injekció Tobramycin sulfate 0.8 mg/ml
Injekció Amiodarone hydrochloride 4 mg/ml
0,9% nátrium-klorid 385
Összeegyeztethető
Injekció Tobramycin sulfate 0.8 mg/ml
Injekció Amiodarone hydrochloride 4 mg/ml
5% glükóz 385
Kémiai instabilitás Összeegyeztethetetlen
Injekció Tobramycin sulfate
Injekció Amoxicillin sodium
3527
Meghatározatlan összeférhetetlenség Összeegyeztethetetlen
Injekció Tobramycin sulfate
Injekció Amoxicillin sodium / clavulanic acid
3545
Összeegyeztethető
Injekció Tobramycin sulfate 40 mg/ml
Injekció Amoxicillin sodium / clavulanic acid 100/10 mg/ml
3824
Azonnali csapadék Összeegyeztethetetlen
Injekció Tobramycin sulfate 5 mg/ml
Injekció Amphotericin B cholesteryl sulfate complex 0.83 mg/ml
5% glükóz 921
Összeegyeztethető
Injekció Tobramycin sulfate 5 mg/ml
Injekció Amsacrine 1 mg/ml
5% glükóz 253
Összeegyeztethető
Injekció Tobramycin sulfate 5 mg/ml
Injekció Anidulafungin 0.5 mg/ml
5% glükóz 1982
Azonnali csapadék Összeegyeztethetetlen
Injekció Tobramycin sulfate 21 mg/ml
Injekció Azithromycine 2 mg/ml
0,9% nátrium-klorid 1800
Összeegyeztethető
Injekció Tobramycin sulfate 0.2 & 0.8 mg/ml
Injekció Aztreonam 10 & 20 mg/ml
5% glükóz 19
Összeegyeztethető
Injekció Tobramycin sulfate 0.2 & 0.8 mg/ml
Injekció Aztreonam 10 & 20 mg/ml
0,9% nátrium-klorid 19
Összeegyeztethető
Injekció Tobramycin sulfate 5 mg/ml
Injekció Aztreonam 40 mg/ml
5% glükóz 99
Összeegyeztethető
Injekció Tobramycin sulfate 5 mg/ml
Injekció Bivalirudin 5 mg/ml
5% glükóz 1713
Összeegyeztethető
Injekció Tobramycin sulfate 40 mg/ml
Injekció Caffeine 10 mg/ml
Egy sem 3964
Összeegyeztethetetlen
Injekció Tobramycin sulfate
Injekció Calcium gluconate
4964
Meghatározatlan összeférhetetlenség Összeegyeztethetetlen
Injekció Tobramycin sulfate
Injekció Calcium gluconate
3644
Összeegyeztethető
Injekció Tobramycin sulfate 1 mg/ml
Injekció Calcium gluconate 33 mg/ml
5% glükóz 503
Összeegyeztethető
Injekció Tobramycin sulfate 5 mg/ml
Injekció Calcium gluconate 16 mg/ml
5% glükóz 503
Összeegyeztethető
Injekció Tobramycin sulfate 5 mg/ml
Injekció Caspofungin acetate 0,7 mg/ml
0,9% nátrium-klorid 2247
Azonnali csapadék Összeegyeztethetetlen
Injekció Tobramycin sulfate
Injekció Cefamandole nafate 2 >> 100 mg/ml
0,9% nátrium-klorid 612
Azonnali csapadék Összeegyeztethetetlen
Injekció Tobramycin sulfate
Injekció Cefamandole nafate 2 >> 100 mg/ml
5% glükóz 612
Meghatározatlan összeférhetetlenség Összeegyeztethetetlen
Injekció Tobramycin sulfate
Injekció Cefamandole nafate
3546
Összeegyeztethető
Injekció Tobramycin sulfate 6 mg/ml
Injekció Cefepime dihydrochloride 125 mg/ml
Injekcióhoz való víz 2141
Meghatározatlan összeférhetetlenség Összeegyeztethetetlen
Injekció Tobramycin sulfate
Injekció Cefepime dihydrochloride
3548
Azonnali csapadék Összeegyeztethetetlen
Injekció Tobramycin sulfate 10 mg/ml
Injekció Cefiderocol sulfate tosylate 20 mg/mL
5% glükóz 4528
Azonnali csapadék Összeegyeztethetetlen
Injekció Tobramycin sulfate 10 mg/ml
Injekció Cefiderocol sulfate tosylate 20 mg/mL
0,9% nátrium-klorid 4528
Azonnali csapadék Összeegyeztethetetlen
Injekció Tobramycin sulfate 0.8 mg/ml
Injekció Cefoperazone sodium 10 & 40 mg/ml
5% glükóz 1206
Meghatározatlan összeférhetetlenség Összeegyeztethetetlen
Injekció Tobramycin sulfate
Injekció Cefoperazone sodium
3544
Meghatározatlan összeférhetetlenség Összeegyeztethetetlen
Injekció Tobramycin sulfate
Injekció Cefpirome sulfate
3677
Összeegyeztethető
Injekció Tobramycin sulfate 5 mg/ml
Injekció Ceftaroline fosamil 2,22 mg/ml
0,9% nátrium-klorid 3249
Összeegyeztethető
Injekció Tobramycin sulfate 5 mg/ml
Injekció Ceftaroline fosamil 2,22 mg/ml
5% glükóz 3249
Összeegyeztethető
Injekció Tobramycin sulfate 5 mg/ml
Injekció Ceftaroline fosamil 2,22 mg/ml
Ringer-laktát oldat 3249
Összeegyeztethető
Injekció Tobramycin sulfate 6 mg/ml
Injekció Ceftazidime 83.3 mg/ml
1759
Meghatározatlan összeférhetetlenség Összeegyeztethetetlen
Injekció Tobramycin sulfate
Injekció Ceftazidime
3543
Összeegyeztethető
Injekció Tobramycin sulfate 0.008 mg/ml
Injekció Ceftazidime 0.125 mg/ml
Dianéal® PD2 2.5% glucose (Baxter) 2369
Meghatározatlan összeférhetetlenség Összeegyeztethetetlen
Injekció Tobramycin sulfate
Injekció Ceftazidime
3883
Összeegyeztethető
Injekció Tobramycin sulfate 6 mg/ml
Injekció Ceftazidime 125 mg/ml
Injekcióhoz való víz 2141
Azonnali csapadék Összeegyeztethetetlen
Injekció Tobramycin sulfate 5 mg/ml
Injekció Ceftobiprole medocaril sodium 2 mg/ml
Ringer-laktát oldat 2269
Meghatározatlan összeférhetetlenség Összeegyeztethetetlen
Injekció Tobramycin sulfate
Injekció Ceftobiprole medocaril sodium
4650
Azonnali csapadék Összeegyeztethetetlen
Injekció Tobramycin sulfate 5 mg/ml
Injekció Ceftobiprole medocaril sodium 2 mg/ml
5% glükóz 2269
Azonnali csapadék Összeegyeztethetetlen
Injekció Tobramycin sulfate 5 mg/ml
Injekció Ceftobiprole medocaril sodium 2 mg/ml
0,9% nátrium-klorid 2269
Összeegyeztethető
Injekció Tobramycin sulfate 5 mg/ml
Injekció Ceftolozane / tazobactam 10/5 mg/ml
5% glükóz 3828
Összeegyeztethető
Injekció Tobramycin sulfate 5 mg/ml
Injekció Ceftolozane / tazobactam 10/5 mg/ml
0,9% nátrium-klorid 3828
Meghatározatlan összeférhetetlenség Összeegyeztethetetlen
Injekció Tobramycin sulfate
Injekció Ceftriaxone disodium
3523
Meghatározatlan összeférhetetlenség Összeegyeztethetetlen
Injekció Tobramycin sulfate
Injekció Cefuroxime sodium
3687
Összeegyeztethető
Injekció Tobramycin sulfate 1.6 mg/ml
Injekció Ciprofloxacin lactate 2 mg/ml
5% glükóz 285
Összeegyeztethető
Injekció Tobramycin sulfate 1 mg/ml
Injekció Ciprofloxacin lactate 1.5 mg/ml
5% glükóz 434
Összeegyeztethető
Injekció Tobramycin sulfate 1 mg/ml
Injekció Ciprofloxacin lactate 1.5 mg/ml
0,9% nátrium-klorid 434
Összeegyeztethető
Injekció Tobramycin sulfate 1,6 mg/ml
Injekció Ciprofloxacin lactate 1 mg/ml
5% glükóz 500
Összeegyeztethető
Injekció Tobramycin sulfate 1,6 mg/ml
Injekció Ciprofloxacin lactate 1 mg/ml
0,9% nátrium-klorid 500
Összeegyeztethető
Injekció Tobramycin sulfate 5 mg/ml
Injekció Cisatracurium besylate 0.1 >> 5 mg/ml
5% glükóz 299
Kémiai instabilitás Összeegyeztethetetlen
Injekció Tobramycin sulfate
Injekció Cisplatin
3578
Összeegyeztethető
Injekció Tobramycin sulfate
Injekció Clindamycin phosphate
5% glükóz 3526
Összeegyeztethető
Injekció Tobramycin sulfate
Injekció Clindamycin phosphate
0,9% nátrium-klorid 3526
Azonnali csapadék Összeegyeztethetetlen
Injekció Tobramycin sulfate 12 mg/ml
Injekció Clindamycin phosphate 90 mg/ml
0,9% nátrium-klorid 639
Azonnali csapadék Összeegyeztethetetlen
Injekció Tobramycin sulfate 40 mg/ml
Injekció Cloxacillin sodium 100 mg/ml
Injekcióhoz való víz 3012
Azonnali csapadék Összeegyeztethetetlen
Injekció Tobramycin sulfate 10 mg/ml
Injekció Defibrotide 8 mg/ml
0,9% nátrium-klorid 3728
Összeegyeztethető
Injekció Tobramycin sulfate 5 mg/ml
Injekció Dexmedetomidine 4 µg/ml
0,9% nátrium-klorid 1712
Összeegyeztethető
Injekció Tobramycin sulfate 2.4 & 40 mg/ml
Injekció Diltiazem hydrochloride 5 mg/ml
0,9% nátrium-klorid 198
Összeegyeztethető
Injekció Tobramycin sulfate
Injekció Dimenhydrinate
2087
Összeegyeztethető
Injekció Tobramycin sulfate 5 mg/ml
Injekció Docetaxel 0.9 mg/ml
5% glükóz 1754
Összeegyeztethető
Injekció Tobramycin sulfate 40 mg/ml
Parenterális táplálás (lipid) 673
Összeegyeztethető
Injekció Tobramycin sulfate 10 mg/ml
Parenterális táplálás (lipid-mentes) 316
Összeegyeztethető
Injekció Tobramycin sulfate 5 mg/ml
Parenterális táplálás (lipid) 1415
Összeegyeztethető
Injekció Tobramycin sulfate 5 mg/ml
Injekció Doripenem 5 mg/ml
5% glükóz 2262
Összeegyeztethető
Injekció Tobramycin sulfate 0,05 mg/ml
Parenterális táplálás (lipid-mentes) 4445
Összeegyeztethető
Injekció Tobramycin sulfate 5 mg/ml
Injekció Doripenem 5 mg/ml
0,9% nátrium-klorid 2262
Összeegyeztethető
Injekció Tobramycin sulfate 5 mg/ml
Injekció Doxorubicin hydrochloride liposome peg 0.4 mg/ml
5% glükóz 251
Összeegyeztethető
Injekció Tobramycin sulfate 5 mg/ml
Injekció Eravacycline 0,6 mg/ml
0,9% nátrium-klorid 4434
Összeegyeztethető
Injekció Tobramycin sulfate 5 mg/ml
Injekció Fenoldopam mesylate 80 µg/ml
0,9% nátrium-klorid 1803
Összeegyeztethető
Injekció Tobramycin sulfate 10 mg/ml
Injekció Fentanyl citrate 50 µg/ml
5% glükóz 63
Összeegyeztethető
Injekció Tobramycin sulfate 10 & 40 mg/ml
Parenterális táplálás (lipid-mentes) 999
Összeegyeztethető
Injekció Tobramycin sulfate 0.8 mg/ml
Injekció Enalaprilate 0.05 mg/ml
0,9% nátrium-klorid 1315
Meghatározatlan összeférhetetlenség Összeegyeztethetetlen
Injekció Tobramycin sulfate
Injekció Erythromycin lactobionate
3674
Összeegyeztethető
Injekció Tobramycin sulfate 0.8 mg/ml
Injekció Esmolol hydrochloride 10 mg/ml
5% glükóz 384
Összeegyeztethető
Injekció Tobramycin sulfate 1.6 mg/ml
Injekció Filgrastim 40 µg/ml
5% glükóz 104
Összeegyeztethető
Injekció Tobramycin sulfate 5 mg/ml
Parenterális táplálás (lipid-mentes) 301
Összeegyeztethető
Injekció Tobramycin sulfate 5 mg/ml
Injekció Etoposide phosphate 5 mg/ml
5% glükóz 1410
Összeegyeztethető
Injekció Tobramycin sulfate 5 mg/ml
Injekció Filgrastim 30 µg/ml
5% glükóz 244
Összeegyeztethető
Injekció Tobramycin sulfate 40 mg/ml
Ringer-laktát oldat 4603
Azonnali csapadék Összeegyeztethetetlen
Injekció Tobramycin sulfate
Injekció Flucloxacillin sodium
3522
Csapadék 7 óra után Összeegyeztethetetlen
Injekció Tobramycin sulfate 8 mg/ml
Injekció Flucloxacillin sodium 20 mg/ml
0,9% nátrium-klorid 1232
Összeegyeztethető
Injekció Tobramycin sulfate 40 mg/ml
Injekció Fluconazole 2 mg/ml
0,9% nátrium-klorid 496
Összeegyeztethető
Injekció Tobramycin sulfate 5 mg/ml
Injekció Fludarabine phosphate 1 mg/ml
5% glükóz 492
Összeegyeztethető
Injekció Tobramycin sulfate 40 mg/ml
Injekció Foscarnet sodium 24 mg/ml
Egy sem 73
Összeegyeztethető
Injekció Tobramycin sulfate 5 mg/ml
Injekció Fosfomycin 30 mg/ml
5% glükóz 4055
Csapadék 7 óra után Összeegyeztethetetlen
Injekció Tobramycin sulfate 8 mg/ml
Injekció Furosemide 1 mg/ml
0,9% nátrium-klorid 1232
Azonnali csapadék Összeegyeztethetetlen
Injekció Tobramycin sulfate 1,6 mg/ml
Injekció Furosemide 0,8 mg/ml
5% glükóz 367
Azonnali csapadék Összeegyeztethetetlen
Injekció Tobramycin sulfate 1,6 mg/ml
Injekció Furosemide 0,8 mg/ml
0,9% nátrium-klorid 367
Meghatározatlan összeférhetetlenség Összeegyeztethetetlen
Injekció Tobramycin sulfate 0.8 mg/ml
Injekció Heparin sodium 50 UI/ml
Egy sem 317
Meghatározatlan összeférhetetlenség Összeegyeztethetetlen
Injekció Tobramycin sulfate
Injekció Heparin sodium
3540
Összeegyeztethető
Injekció Tobramycin sulfate
5% glükóz 5086
Összeegyeztethető
Injekció Tobramycin sulfate 5 mg/ml
Injekció Fosfomycin 30 mg/ml
0,9% nátrium-klorid 4055
Összeegyeztethető
Injekció Tobramycin sulfate 5 mg/ml
Injekció Gemcitabine hydrochloride 10 mg/ml
0,9% nátrium-klorid 1423
Összeegyeztethető
Injekció Tobramycin sulfate 5 mg/ml
Injekció Granisetron hydrochloride 0.05 mg/ml
5% glükóz 182
Összeegyeztethető
Injekció Tobramycin sulfate 5 mg/ml
Injekció Hetastarch 60 mg/ml
egyedi oldószer 1721
Azonnali csapadék Összeegyeztethetetlen
Injekció Tobramycin sulfate 0.8 mg/ml
Injekció Hetastarch 60 mg/ml
0,9% nátrium-klorid 472
Összeegyeztethető
Injekció Tobramycin sulfate 0.8 mg/ml
Injekció Hydromorphone hydrochloride 0.2 mg/ml
5% glükóz 405
15 perc múlva csapadék Összeegyeztethetetlen
Injekció Tobramycin sulfate 1 mg/ml
Injekció Indomethacin sodium trihydrate 0,5 & 1 mg/ml
5% glükóz 1745
Azonnali csapadék Összeegyeztethetetlen
Injekció Tobramycin sulfate 1 mg/ml
Injekció Indomethacin sodium trihydrate 0,5 & 1 mg/ml
5% glükóz 494
Összeegyeztethető
Injekció Tobramycin sulfate 1.6 & 2 mg/ml
Injekció Insulin 0.2 UI/ml
0,9% nátrium-klorid 129
Összeegyeztethető
Injekció Tobramycin sulfate 5 mg/ml
Injekció Isavuconazonium sulfate 1.5 mg/ml
5% glükóz 3829
Összeegyeztethető
Injekció Tobramycin sulfate 5 mg/ml
Injekció Isavuconazonium sulfate 1.5 mg/ml
0,9% nátrium-klorid 3829
Összeegyeztethető
Injekció Tobramycin sulfate 40 mg/ml
Injekció Ketamine hydrochloride 50 mg/ml
2109
Összeegyeztethető
Injekció Tobramycin sulfate 0.8 mg/ml
Injekció Labetalol hydrochloride 1 mg/ml
5% glükóz 386
Színváltozás 4 óra után Összeegyeztethetetlen
Injekció Tobramycin sulfate 5 mg/ml
Injekció Lansoprazole 0.55 mg/ml
0,9% nátrium-klorid 1625
Összeegyeztethető
Injekció Tobramycin sulfate 5 mg/ml
Injekció Linezolid 2 mg/ml
Egy sem 1925
Összeegyeztethető
Injekció Tobramycin sulfate 0,80 mg/ml
Injekció Linezolid 1,80 mg/ml
2353
Összeegyeztethető
Injekció Tobramycin sulfate 0.8 mg/ml
Injekció Magnesium sulfate 16.67 >> 100 mg/ml
5% glükóz 1047
Összeegyeztethető
Injekció Tobramycin sulfate 5 mg/ml
Injekció Melphalan 0.1 mg/ml
0,9% nátrium-klorid 169
Összeegyeztethető
Injekció Tobramycin sulfate 40 mg/ml
Injekció Meropenem 50 mg/ml
Injekcióhoz való víz 4319
Összeegyeztethető
Injekció Tobramycin sulfate 40 mg/ml
Injekció Meropenem 50 mg/ml
4389
Összeegyeztethető
Injekció Tobramycin sulfate 0.8 mg/ml
Injekció Metronidazole 5 mg/ml
Egy sem 1035
Összeegyeztethető
Injekció Tobramycin sulfate
Injekció Metronidazole
3594
Összeegyeztethető
Injekció Tobramycin sulfate 10 mg/ml
Injekció Midazolam hydrochloride 1 mg/ml
5% glükóz 176
Összeegyeztethető
Injekció Tobramycin sulfate 1.6 >> 2.4 mg/ml
Injekció Morphine sulfate 1 mg/ml
0,9% nátrium-klorid 406
Összeegyeztethető
Injekció Tobramycin sulfate 0.8 mg/ml
Injekció Morphine sulfate 1 mg/ml
5% glükóz 405
Összeegyeztethető
Injekció Tobramycin sulfate 40 mg/ml
Injekció Naloxone hydrochloride 0.4 mg/ml
Egy sem 3408
Összeegyeztethető
Injekció Tobramycin sulfate 0.8 mg/ml
Injekció Nicardipine hydrochloride 0.1 mg/ml
0,9% nátrium-klorid 1490
Összeegyeztethető
Injekció Tobramycin sulfate 0.8 mg/ml
Injekció Nicardipine hydrochloride 0.1 mg/ml
5% glükóz 1490
Összeegyeztethető
Injekció Tobramycin sulfate 0,8 mg/ml
Injekció Ofloxacin 2 mg/ml
Egy sem 889
Összeegyeztethető
Injekció Tobramycin sulfate 5 mg/ml
Injekció Oritavancin 0.8 >>2 mg/ml
5% glükóz 3152
Azonnali csapadék Összeegyeztethetetlen
Injekció Tobramycin sulfate
Injekció Pantoprazole sodium
2090
Összeegyeztethető
Injekció Tobramycin sulfate 40 mg/ml
Injekció Paracetamol 10 mg/ml
4742
Azonnali csapadék Összeegyeztethetetlen
Injekció Tobramycin sulfate 5 mg/ml
Injekció Pemetrexed disodium 20 mg/ml
0,9% nátrium-klorid 1953
Összeegyeztethető
Injekció Tobramycin sulfate 0.8 mg/ml
Injekció Pethidine hydrochloride 10 mg/ml
5% glükóz 405
Összeegyeztethető
Injekció Tobramycin sulfate 1.6 >> 2.4 mg/ml
Injekció Pethidine hydrochloride 10 mg/ml
0,9% nátrium-klorid 406
Kémiai instabilitás Összeegyeztethetetlen
Injekció Tobramycin sulfate
Injekció Piperacillin sodium
1168
Kémiai instabilitás Összeegyeztethetetlen
Injekció Tobramycin sulfate
Injekció Piperacillin sodium / tazobactam
3586
Az emulzió azonnali instabilitása Összeegyeztethetetlen
Injekció Tobramycin sulfate 2 mg/ml
Injekció Propofol
660
Azonnali csapadék Összeegyeztethetetlen
Injekció Tobramycin sulfate 5 mg/ml
Injekció Propofol 10 mg/ml
Egy sem 300
Összeegyeztethető
Injekció Tobramycin sulfate 5 mg/ml
Injekció Remifentanil hydrochloride 25 & 250 µg/ml
0,9% nátrium-klorid 59
Azonnali csapadék Összeegyeztethetetlen
Injekció Tobramycin sulfate 40 mg/ml
Injekció Salbutamol sulfate 1 mg/ml
Egy sem 3216
Csapadék 4 óra után Összeegyeztethetetlen
Injekció Tobramycin sulfate 5 mg/ml
Injekció Sargramostim 10 µg/ml
0,9% nátrium-klorid 335
Összeegyeztethető
Injekció Tobramycin sulfate 2,4 mg/ml
Injekció Sodium bicarbonate 40 mg/ml
Egy sem 3122
Összeegyeztethető
Injekció Tobramycin sulfate 5 mg/ml
Injekció Sulbactam/durlobactam 15/15 mg/ml
0,9% nátrium-klorid 4801
Összeegyeztethető
Injekció Tobramycin sulfate 40 mg/ml
Injekció Tacrolimus 1000 µg/ml
0,9% nátrium-klorid 479
Azonnali zavarosság Összeegyeztethetetlen
Injekció Tobramycin sulfate 5 mg/ml
Injekció Tedizolid phosphate 0.8 mg/ml
0,9% nátrium-klorid 3827
Meghatározatlan összeférhetetlenség Összeegyeztethetetlen
Injekció Tobramycin sulfate
Injekció Teicoplanine
3656
Összeegyeztethető
Injekció Tobramycin sulfate 5 mg/ml
Injekció Telavancin hydrochloride 7.5 mg/ml
0,9% nátrium-klorid 3254
Összeegyeztethető
Injekció Tobramycin sulfate 5 mg/ml
Injekció Telavancin hydrochloride 7.5 mg/ml
5% glükóz 3254
Összeegyeztethető
Injekció Tobramycin sulfate 6 mg/ml
Injekció Temocilline 83.33 mg/ml
Injekcióhoz való víz 2231
Meghatározatlan összeférhetetlenség Összeegyeztethetetlen
Injekció Tobramycin sulfate
Injekció Temocilline
2296
Összeegyeztethető
Injekció Tobramycin sulfate 5 mg/ml
Injekció Teniposide 0.1 mg/ml
5% glükóz 905
Összeegyeztethető
Injekció Tobramycin sulfate 0.8 mg/ml
Injekció Theophylline 4 mg/ml
Egy sem 317
Azonnali csapadék Összeegyeztethetetlen
Injekció Tobramycin sulfate 40 mg/ml
Injekció Thiopental sodium 25 mg/ml
0,9% nátrium-klorid 3767
Összeegyeztethető
Injekció Tobramycin sulfate 5 mg/ml
Injekció Thiotepa 1 mg/ml
5% glükóz 249
Összeegyeztethető
Injekció Tobramycin sulfate
0,9% nátrium-klorid 5086
Kémiai instabilitás Összeegyeztethetetlen
Injekció Tobramycin sulfate
Injekció Ticarcillin / clavulanic acid
3587
Összeegyeztethető
Injekció Tobramycin sulfate
Injekció Tigecycline
0,9% nátrium-klorid 3332
Összeegyeztethető
Injekció Tobramycin sulfate 6 mg/ml
Injekció Vancomycin hydrochloride 10 mg/ml
5% glükóz 3385
Összeegyeztethető
Injekció Tobramycin sulfate 0.16 mg/ml
Injekció Verapamil hydrochloride 0.08 mg/ml
0,9% nátrium-klorid 1057
Összeegyeztethető
Injekció Tobramycin sulfate 0.16 mg/ml
Injekció Verapamil hydrochloride 0.08 mg/ml
5% glükóz 1057
Összeegyeztethető
Injekció Tobramycin sulfate 5 mg/ml
Injekció Vinorelbine tartrate 1 mg/ml
0,9% nátrium-klorid 84
Összeegyeztethető
Injekció Tobramycin sulfate 2 mg/ml
Injekció Zidovudine 4 mg/ml
5% glükóz 337

  Mentions Légales