Viimeisin päivitys :
17/12/2025
Antibiootit   Clindamycin phosphate  
Injektioneste
Stabilius liuoksessa Stabilius seoksissa Tekijät, jotka vaikuttavat stabiliuteen Yhteensopivuus Antotapa Viitteet pdf
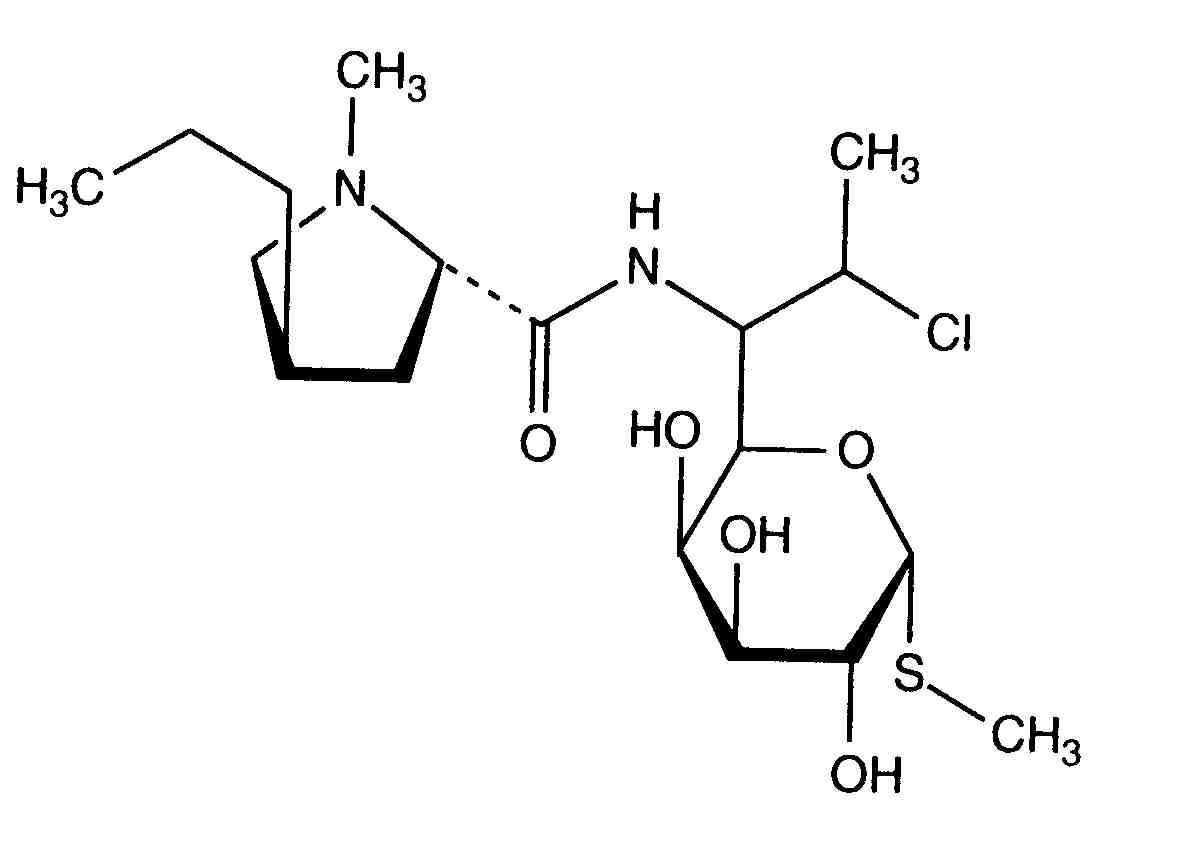
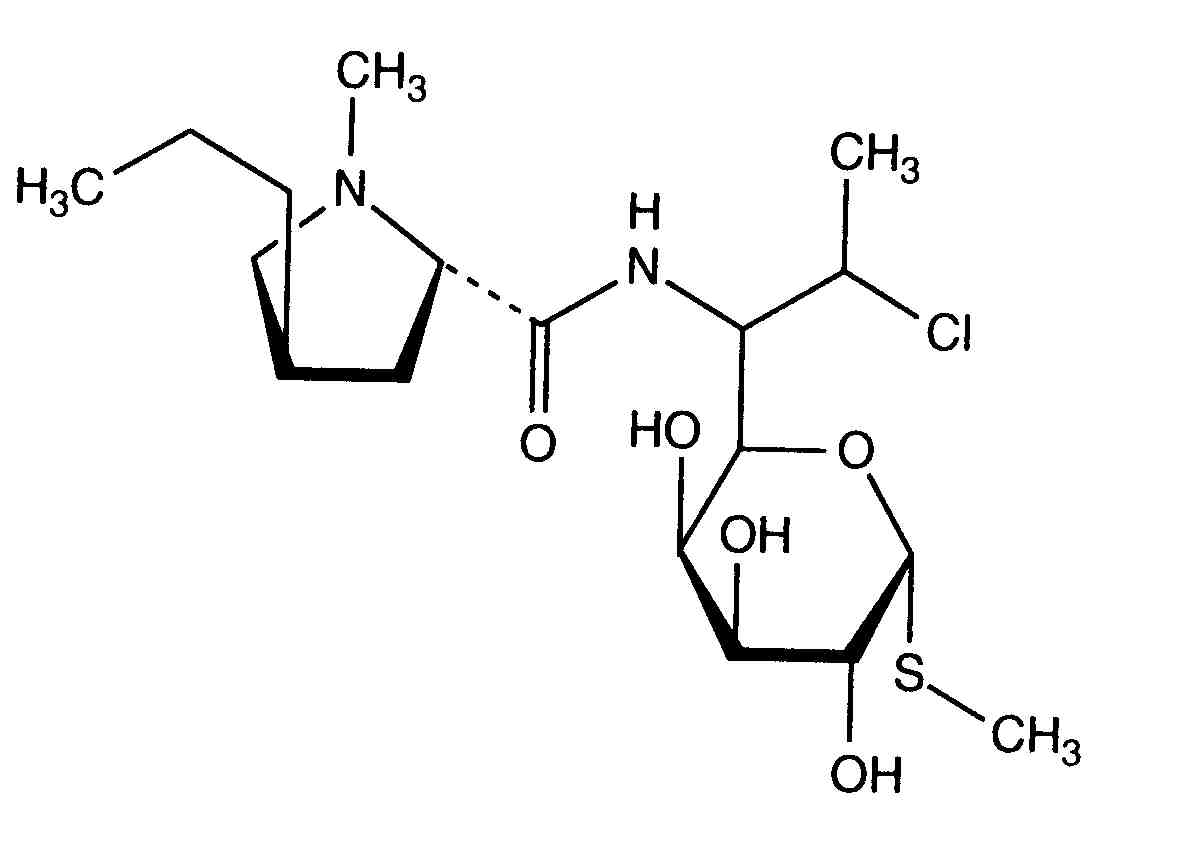
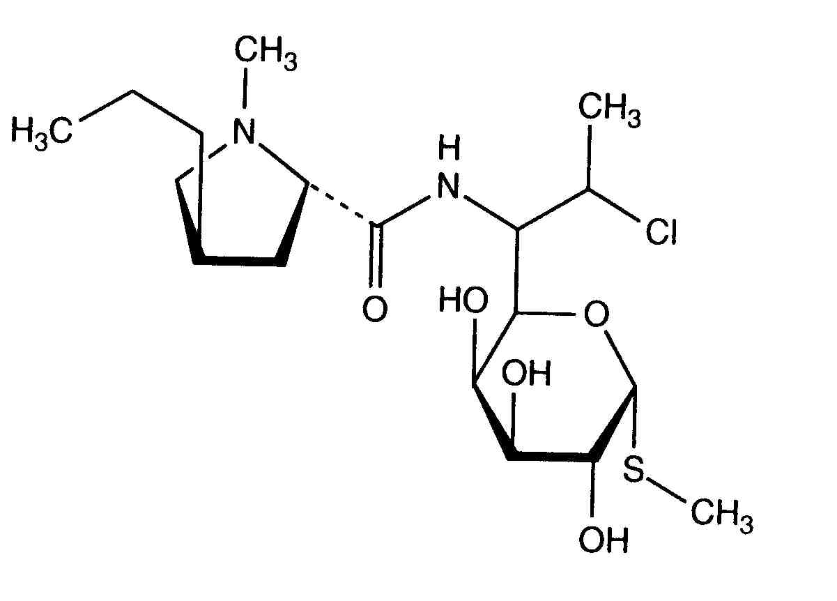
   Kemiallinen rakenne  

Kauppanimi   Kauppanimi     

Trade names are indicative and excipients composition can be different depending on the country and manufacturers

Biodaclin Meksiko
Camyda Intia
Cinbiot Meksiko
Cleocin Itävalta, Turkki, Yhdysvallat
Clinamsa Meksiko
Clinbac Kolumbia, Marokko
Clincina Portugali
Clinda-Saar Saksa
Clindacid Venezuela
Clindacin Malesia
Clindalaf Argentiina
Clindamicina Argentiina, Brasilia, Chile, Ecuador, Espanja, Italia, Kolumbia, Marokko, Meksiko, Portugali, Venezuela
Clindamycin Iran, Itävalta, Kanada, Norja, Romania, Ruotsi, Saksa, Saudi-Arabia, Yhdysvallat
Clindamycin-Hameln Saksa
Clindamycine Belgia, Hollanti, Ranska, Tunisia
Clindanovag Argentiina
Clindarix Brasilia
Clindasol Saksa
Clindaval Venezuela
Clindazyn Meksiko
Clindo Puola
Clysvic Meksiko
Daclin Chile
Dalacin Australia, Belgia, Chile, Ecuador, Egypti, Hollanti, Intia, Iran, Irlanti, Islanti, Iso-Britannia, Italia, Kanada, Kolumbia, Kreikka, Luxemburg, Malesia, Meksiko, New Zealand, Norja, Puola, Ruotsi, Saudi-Arabia, Suomi, Sveitsi, Tanska, Tunisia, Unkari, Venezuela, Yhdistyneet arabiemiirikunnat
Dalacine Ranska, Tunisia
Daladic Iran
Dalcinex Intia
Damclid Intia
Damicin Kolumbia, Meksiko
Damicine Kolumbia
Dolarclin Kolumbia
Euroclin Ecuador, Kolumbia
Gynasafe Intia
Indamid Meksiko
Klimicin Puola
Klindan Turkki
Klindaver Turkki
Lanacine Itävalta
Lincocin Malesia
Lincosa Malesia
Meneklin Turkki
Sobelin Saksa
Tidact Malesia
Yhteensopivuus   Injektioneste   Yhteensopivuus : Clindamycin phosphate              
Tämä näyttö osoittaa yhteensopivuuden tai yhteensopimattomuuden yhteensopimattomuuden tyypin kanssa (saostuminen, värinmuutos, emulsiomuutos jne.). Tässä esitetty yhteensopivuus on useimmissa tapauksissa vain fysikaalinen, ja kunkin molekyylin kemiallista stabiilisuutta arvioidaan harvoin. Näiden seosten arviointia tutkittiin mahdollisuuden antaa Y-kohta potilaalle. Näitä tietoja ei voida käyttää seosten valmistamiseen etukäteen pusseissa tai ruiskuissa. Tämäntyyppiset tiedot ovat saatavilla "Stabiilisuus seoksessa" -näytössä.
Yhdiste Liuotin Viitteet
Yhteensopiva
Injektioneste Clindamycin phosphate 12 mg/ml
Injektioneste Aciclovir sodium 5 mg/ml
Glukoosi 5% 336
Välittömät sateet yhteensopimaton
Injektioneste Clindamycin phosphate 10 mg/ml
Injektioneste Allopurinol sodium 3 mg/ml
Natriumkloridi 0,9% 307
Yhteensopiva
Injektioneste Clindamycin phosphate 10 mg/ml
Injektioneste Amifostine 10 mg/ml
Glukoosi 5% 3
Yhteensopiva
Injektioneste Clindamycin phosphate
Injektioneste Amikacin sulfate
Natriumkloridi 0,9% 3526
Yhteensopiva
Injektioneste Clindamycin phosphate 9 mg/ml
Injektioneste Amikacin sulfate 4 mg/ml
Natriumkloridi 0,9% 565
Yhteensopiva
Injektioneste Clindamycin phosphate 9 mg/ml
Injektioneste Amikacin sulfate 4 mg/ml
Glukoosi 5% 565
Yhteensopiva
Injektioneste Clindamycin phosphate
Injektioneste Amikacin sulfate
Glukoosi 5% 3526
Yhteensopiva
Injektioneste Clindamycin phosphate 90 mg/ml
Injektioneste Amikacin sulfate 75 mg/ml
Natriumkloridi 0,9% 639
Määrittelemätön yhteensopimattomuus yhteensopimaton
Injektioneste Clindamycin phosphate
Injektioneste Aminophylline
3526
Yhteensopiva
Injektioneste Clindamycin phosphate 6 mg/ml
Injektioneste Amiodarone hydrochloride 4 mg/ml
Natriumkloridi 0,9% 385
Yhteensopiva
Injektioneste Clindamycin phosphate 6 mg/ml
Injektioneste Amiodarone hydrochloride 4 mg/ml
Glukoosi 5% 385
Sameus tunnissa yhteensopimaton
Injektioneste Clindamycin phosphate 150 mg/ml
Injektioneste Amoxicillin sodium / clavulanic acid 100/10 mg/ml
3824
Yhteensopiva
Injektioneste Clindamycin phosphate 10 mg/ml
Injektioneste Amphotericin B cholesteryl sulfate complex 0.83 mg/ml
Glukoosi 5% 921
Määrittelemätön yhteensopimattomuus yhteensopimaton
Injektioneste Clindamycin phosphate
Injektioneste Ampicillin sodium
3526
Yhteensopiva
Injektioneste Clindamycin phosphate
Glukoosi 5% 3526
Määrittelemätön yhteensopimattomuus yhteensopimaton
Injektioneste Clindamycin phosphate
Injektioneste Amobarbital sodium
3526
Yhteensopiva
Injektioneste Clindamycin phosphate 10 mg/ml
Injektioneste Amsacrine 1 mg/ml
Glukoosi 5% 253
Yhteensopiva
Injektioneste Clindamycin phosphate 10 mg/ml
Injektioneste Anidulafungin 0.5 mg/ml
Glukoosi 5% 1982
PH: n muuttaminen> 1 pH-yksikkö yhteensopimaton
Injektioneste Clindamycin phosphate 9 mg/ml
Injektioneste Atosiban 0,75 mg/ml
4642
Yhteensopiva
Injektioneste Clindamycin phosphate 6 mg/ml
Injektioneste Aztreonam 10 mg/ml
Glukoosi 5% 419
Yhteensopiva
Injektioneste Clindamycin phosphate 9 mg/ml
Injektioneste Aztreonam 20 mg/ml
Glukoosi 5% 432
Yhteensopiva
Injektioneste Clindamycin phosphate 60 mg/ml
Injektioneste Aztreonam 200 mg/ml
Natriumkloridi 0,9% 644
Yhteensopiva
Injektioneste Clindamycin phosphate
Injektioneste Aztreonam
Natriumkloridi 0,9% 3526
Yhteensopiva
Injektioneste Clindamycin phosphate 3 mg/ml
Injektioneste Aztreonam 10 mg/ml
Glukoosi 5% 419
Yhteensopiva
Injektioneste Clindamycin phosphate
Injektioneste Aztreonam
Glukoosi 5% 3526
Yhteensopiva
Injektioneste Clindamycin phosphate 24 mg/ml
Parenteraalisesti (rasva-free) 3379
Välittömät sateet yhteensopimaton
Injektioneste Clindamycin phosphate 30 mg/ml
Injektioneste Azithromycine 2 mg/ml
Natriumkloridi 0,9% 1800
Yhteensopiva
Injektioneste Clindamycin phosphate 3 mg/ml
Parenteraalisesti (rasva-free) 1055
Yhteensopiva
Injektioneste Clindamycin phosphate 6 mg/ml
Injektioneste Aztreonam 20 mg/ml
Natriumkloridi 0,9% 419
Yhteensopiva
Injektioneste Clindamycin phosphate 3 mg/ml
Injektioneste Aztreonam 20 mg/ml
Natriumkloridi 0,9% 419
Yhteensopiva
Injektioneste Clindamycin phosphate 3 mg/ml
Injektioneste Aztreonam 20 mg/ml
Glukoosi 5% 419
Yhteensopiva
Injektioneste Clindamycin phosphate 6 mg/ml
Injektioneste Aztreonam 20 mg/ml
Glukoosi 5% 419
Yhteensopiva
Injektioneste Clindamycin phosphate 10 mg/ml
Injektioneste Aztreonam 40 mg/ml
Glukoosi 5% 99
Yhteensopiva
Injektioneste Clindamycin phosphate 3 mg/ml
Injektioneste Aztreonam 10 mg/ml
Natriumkloridi 0,9% 419
Yhteensopiva
Injektioneste Clindamycin phosphate 6 mg/ml
Injektioneste Aztreonam 10 mg/ml
Natriumkloridi 0,9% 419
Yhteensopiva
Injektioneste Clindamycin phosphate 9 mg/ml
Injektioneste Aztreonam 20 mg/ml
Natriumkloridi 0,9% 432
Yhteensopiva
Injektioneste Clindamycin phosphate 10 mg/ml
Injektioneste Bivalirudin 5 mg/ml
Glukoosi 5% 1713
Yhteensopiva
Injektioneste Clindamycin phosphate 150 mg/ml
Injektioneste Caffeine 10 mg/ml
Ei mikään 3964
Määrittelemätön yhteensopimattomuus yhteensopimaton
Injektioneste Clindamycin phosphate
Injektioneste Calcium gluconate
3644
Määrittelemätön yhteensopimattomuus yhteensopimaton
Injektioneste Clindamycin phosphate
Injektioneste Calcium gluconate
3526
yhteensopimaton
Injektioneste Clindamycin phosphate
Injektioneste Calcium gluconate
4964
Välittömät sateet yhteensopimaton
Injektioneste Clindamycin phosphate 10 mg/ml
Injektioneste Caspofungin acetate 0,7 mg/ml
Natriumkloridi 0,9% 2247
Välittömät sateet yhteensopimaton
Injektioneste Clindamycin phosphate 60 mg/ml
Injektioneste Caspofungin acetate 0.5 mg/ml
Natriumkloridi 0,9% 2233
Yhteensopiva
Injektioneste Clindamycin phosphate 9 mg/ml
Injektioneste Cefamandole nafate 10 mg/ml
Glukoosi 5% 418
Yhteensopiva
Injektioneste Clindamycin phosphate
Injektioneste Cefamandole nafate
Natriumkloridi 0,9% 3526
Yhteensopiva
Injektioneste Clindamycin phosphate 9 mg/ml
Injektioneste Cefamandole nafate 10 mg/ml
Natriumkloridi 0,9% 418
Yhteensopiva
Injektioneste Clindamycin phosphate
Injektioneste Cefamandole nafate
Glukoosi 5% 3526
Yhteensopiva
Injektioneste Clindamycin phosphate 9 mg/ml
Injektioneste Cefazolin sodium 10 mg/ml
Natriumkloridi 0,9% 418
Yhteensopiva
Injektioneste Clindamycin phosphate
Injektioneste Cefazolin sodium
Natriumkloridi 0,9% 3526
Yhteensopiva
Injektioneste Clindamycin phosphate 9 mg/ml
Injektioneste Cefazolin sodium 10 mg/ml
Glukoosi 5% 418
Yhteensopiva
Injektioneste Clindamycin phosphate 0,25 & 6 mg/ml
Injektioneste Cefepime dihydrochloride 4 & 40 mg/ml
Glukoosi 5% 3548
Yhteensopiva
Injektioneste Clindamycin phosphate 10 mg/ml
Injektioneste Cefiderocol sulfate tosylate 20 mg/mL
Glukoosi 5% 4528
Yhteensopiva
Injektioneste Clindamycin phosphate 12 mg/ml
Injektioneste Cefoperazone sodium 20 mg/ml
Glukoosi 5% 644
Määrittelemätön yhteensopimattomuus yhteensopimaton
Injektioneste Clindamycin phosphate
NaHCO3 3526
Yhteensopiva
Injektioneste Clindamycin phosphate 12 mg/ml
Injektioneste Cefonicid sodium 10 mg/ml
Natriumkloridi 0,9% 644
Yhteensopiva
Injektioneste Clindamycin phosphate 10 mg/ml
Parenteraalisesti (rasva-free) 301
Yhteensopiva
Injektioneste Clindamycin phosphate
Injektioneste Cefazolin sodium
Glukoosi 5% 3526
Yhteensopiva
Injektioneste Clindamycin phosphate 0,25 & 6 mg/ml
Injektioneste Cefepime dihydrochloride 4 & 40 mg/ml
Natriumkloridi 0,9% 3548
Yhteensopiva
Injektioneste Clindamycin phosphate 10 mg/ml
Injektioneste Cefiderocol sulfate tosylate 20 mg/mL
Natriumkloridi 0,9% 4528
Yhteensopiva
Injektioneste Clindamycin phosphate 12 mg/ml
Injektioneste Cefonicid sodium 10 mg/ml
Glukoosi 5% 644
Yhteensopiva
Injektioneste Clindamycin phosphate 12 mg/ml
Injektioneste Cefoperazone sodium 20 mg/ml
Natriumkloridi 0,9% 644
Yhteensopiva
Injektioneste Clindamycin phosphate 150 mg/ml
Parenteraalisesti (rasva-free) 999
Yhteensopiva
Injektioneste Clindamycin phosphate
Injektioneste Cefotaxime sodium
Glukoosi 5% 3526
Yhteensopiva
Injektioneste Clindamycin phosphate 9 mg/ml
Injektioneste Cefotaxime sodium 20 mg/ml
Glukoosi 5% 421
Yhteensopiva
Injektioneste Clindamycin phosphate 9 mg/ml
Injektioneste Cefotaxime sodium 20 mg/ml
Natriumkloridi 0,9% 421
Yhteensopiva
Injektioneste Clindamycin phosphate
Injektioneste Cefotaxime sodium
Natriumkloridi 0,9% 3526
Yhteensopiva
Injektioneste Clindamycin phosphate
Injektioneste Cefoxitin sodium
Natriumkloridi 0,9% 3526
Yhteensopiva
Injektioneste Clindamycin phosphate 9 mg/ml
Injektioneste Cefoxitin sodium 20 mg/ml
Glukoosi 5% 418
Yhteensopiva
Injektioneste Clindamycin phosphate 9 mg/ml
Injektioneste Cefoxitin sodium 20 mg/ml
Natriumkloridi 0,9% 418
Yhteensopiva
Injektioneste Clindamycin phosphate
Injektioneste Cefoxitin sodium
Glukoosi 5% 3526
Yhteensopiva
Injektioneste Clindamycin phosphate 12 mg/ml
Injektioneste Cefpirome sulfate 50 mg/ml
Natriumkloridi 0,9% 280
Yhteensopiva
Injektioneste Clindamycin phosphate 12 mg/ml
Injektioneste Cefpirome sulfate 50 mg/ml
Natriumkloridi 0,45% 280
Yhteensopiva
Injektioneste Clindamycin phosphate 12 mg/ml
Injektioneste Cefpirome sulfate 50 mg/ml
Glukoosi 5% 280
Yhteensopiva
Injektioneste Clindamycin phosphate 12 mg/ml
Injektioneste Cefpirome sulfate 50 mg/ml
Ringerlaktaattiliuos 280
Yhteensopiva
Injektioneste Clindamycin phosphate 10 mg/ml
Injektioneste Ceftaroline fosamil 2,22 mg/ml
Ringerlaktaattiliuos 3249
Yhteensopiva
Injektioneste Clindamycin phosphate
Injektioneste Ceftazidime
Glukoosi 5% 3526
Yhteensopiva
Injektioneste Clindamycin phosphate 9 mg/ml
Injektioneste Ceftizoxime sodium 20 mg/ml
Natriumkloridi 0,9% 418
Yhteensopiva
Injektioneste Clindamycin phosphate
Injektioneste Ceftizoxime sodium
Glukoosi 5% 3526
Yhteensopiva
Injektioneste Clindamycin phosphate 10 mg/ml
Injektioneste Ceftobiprole medocaril sodium 2 mg/ml
Natriumkloridi 0,9% 2269
Yhteensopiva
Injektioneste Clindamycin phosphate 10 mg/ml
Injektioneste Ceftobiprole medocaril sodium 2 mg/ml
Glukoosi 5% 2269
Yhteensopiva
Injektioneste Clindamycin phosphate 10 mg/ml
Injektioneste Ceftobiprole medocaril sodium 2 mg/ml
Ringerlaktaattiliuos 2269
Yhteensopiva
Injektioneste Clindamycin phosphate 5,77 mg/ml
Parenteraalinen (lipidien) 4440
Yhteensopiva
Injektioneste Clindamycin phosphate 1.2 mg/ml
Injektioneste Cimetidine hydrochloride 1.2 & 5 mg/ml
Glukoosi 5% 1201
Yhteensopiva
Injektioneste Clindamycin phosphate 1.2 mg/ml
Injektioneste Cimetidine hydrochloride 1.2 & 5 mg/ml
Natriumkloridi 0,9% 1201
Välittömät sateet yhteensopimaton
Injektioneste Clindamycin phosphate 7 mg/ml
Injektioneste Ciprofloxacin lactate 1.5 mg/ml
Glukoosi 5% 434
Yhteensopiva
Injektioneste Clindamycin phosphate 10 mg/ml
Injektioneste Cisatracurium besylate 0.1 >> 5 mg/ml
Glukoosi 5% 299
Yhteensopiva
Injektioneste Clindamycin phosphate 150 mg/ml
Injektioneste Cloxacillin sodium 100 mg/ml
Injektionesteisiin käytettävä vesi 3012
Yhteensopiva
Injektioneste Clindamycin phosphate 10 mg/ml
Injektioneste Docetaxel 0.9 mg/ml
Glukoosi 5% 1754
Kaasukuplien tuotanto yhteensopimaton
Injektioneste Clindamycin phosphate 10 mg/ml
Injektioneste Doxapram hydrochloride 2 mg/ml
Glukoosi 5% 1802
Yhteensopiva
Injektioneste Clindamycin phosphate 10 mg/ml
Injektioneste Doxorubicin hydrochloride liposome peg 0.4 mg/ml
Glukoosi 5% 251
Yhteensopiva
Injektioneste Clindamycin phosphate 9 mg/ml
Injektioneste Esmolol hydrochloride 10 mg/ml
Glukoosi 5% 384
Yhteensopiva
Injektioneste Clindamycin phosphate 9 mg/ml
Injektioneste Fentanyl citrate 50 µg/ml
Glukoosi 5% 63
Yhteensopiva
Injektioneste Clindamycin phosphate 10 mg/ml
Parenteraalinen (lipidien) 3967
Yhteensopiva
Injektioneste Clindamycin phosphate 10 mg/ml
Injektioneste Ceftaroline fosamil 2,22 mg/ml
Glukoosi 5% 3249
Yhteensopiva
Injektioneste Clindamycin phosphate 10 mg/ml
Injektioneste Ceftaroline fosamil 2,22 mg/ml
Natriumkloridi 0,9% 3249
Yhteensopiva
Injektioneste Clindamycin phosphate 9 mg/ml
Injektioneste Ceftazidime 20 mg/ml
Glukoosi 5% 432
Yhteensopiva
Injektioneste Clindamycin phosphate
Injektioneste Ceftazidime
Natriumkloridi 0,9% 3526
Yhteensopiva
Injektioneste Clindamycin phosphate 9 mg/ml
Injektioneste Ceftazidime 20 mg/ml
Natriumkloridi 0,9% 432
Yhteensopiva
Injektioneste Clindamycin phosphate 10 mg/ml
Parenteraalinen (lipidien) 1415
Yhteensopiva
Injektioneste Clindamycin phosphate 9 mg/ml
Injektioneste Ceftizoxime sodium 20 mg/ml
Glukoosi 5% 418
Yhteensopiva
Injektioneste Clindamycin phosphate
Injektioneste Ceftizoxime sodium
Natriumkloridi 0,9% 3526
Kemiallinen epävakaus yhteensopimaton
Injektioneste Clindamycin phosphate 12 mg/ml
Injektioneste Ceftriaxone disodium 20 mg/ml
Glukoosi 5% 432
Määrittelemätön yhteensopimattomuus yhteensopimaton
Injektioneste Clindamycin phosphate
Injektioneste Ceftriaxone disodium
3526
Kemiallinen epävakaus yhteensopimaton
Injektioneste Clindamycin phosphate 12 mg/ml
Injektioneste Ceftriaxone disodium 20 mg/ml
Natriumkloridi 0,9% 432
Yhteensopiva
Injektioneste Clindamycin phosphate 9 mg/ml
Injektioneste Cefuroxime sodium 15 mg/ml
Natriumkloridi 0,9% 644
Yhteensopiva
Injektioneste Clindamycin phosphate 9 mg/ml
Injektioneste Cefuroxime sodium 15 mg/ml
Glukoosi 5% 644
Välittömät sateet yhteensopimaton
Injektioneste Clindamycin phosphate 7 mg/ml
Injektioneste Ciprofloxacin lactate 1.5 mg/ml
Natriumkloridi 0,9% 434
Määrittelemätön yhteensopimattomuus yhteensopimaton
Injektioneste Clindamycin phosphate
Injektioneste Ciprofloxacin lactate
3526
Yhteensopiva
Injektioneste Clindamycin phosphate 10 mg/ml
Injektioneste Dexmedetomidine 4 µg/ml
Natriumkloridi 0,9% 1712
Yhteensopiva
Injektioneste Clindamycin phosphate 12 & 150 mg/ml
Injektioneste Diltiazem hydrochloride 5 mg/ml
Natriumkloridi 0,9% 198
Yhteensopiva
Injektioneste Clindamycin phosphate
Injektioneste Dimenhydrinate
2087
Yhteensopiva
Injektioneste Clindamycin phosphate 9 mg/ml
Injektioneste Enalaprilate 0.05 mg/ml
Natriumkloridi 0,9% 1315
Yhteensopiva
Injektioneste Clindamycin phosphate 10 mg/ml
Injektioneste Etoposide phosphate 5 mg/ml
Glukoosi 5% 1410
Yhteensopiva
Injektioneste Clindamycin phosphate 10 mg/ml
Injektioneste Fenoldopam mesylate 80 µg/ml
Natriumkloridi 0,9% 1803
Välittömät sateet yhteensopimaton
Injektioneste Clindamycin phosphate 10 mg/ml
Injektioneste Filgrastim 30 µg/ml
Glukoosi 5% 244
Yhteensopiva
Injektioneste Clindamycin phosphate 12 mg/ml
Injektioneste Fluconazole 2 mg/ml
Ei mikään 256
Välittömät sateet yhteensopimaton
Injektioneste Clindamycin phosphate 24 mg/ml
Injektioneste Fluconazole 2 mg/ml
Natriumkloridi 0,9% 496
Yhteensopiva
Injektioneste Clindamycin phosphate 10 mg/ml
Injektioneste Fludarabine phosphate 1 mg/ml
Glukoosi 5% 492
Yhteensopiva
Injektioneste Clindamycin phosphate 12 mg/ml
Injektioneste Foscarnet sodium 24 mg/ml
Glukoosi 5% 1135
Yhteensopiva
Injektioneste Clindamycin phosphate 24 mg/ml
Injektioneste Foscarnet sodium 24 mg/ml
Ei mikään 73
Yhteensopiva
Injektioneste Clindamycin phosphate 12 mg/ml
Injektioneste Foscarnet sodium 24 mg/ml
Natriumkloridi 0,9% 1135
Yhteensopiva
Injektioneste Clindamycin phosphate 10 mg/ml
Injektioneste Gemcitabine hydrochloride 10 mg/ml
Natriumkloridi 0,9% 1423
Yhteensopiva
Injektioneste Clindamycin phosphate
Injektioneste Gentamicin sulfate
Glukoosi 5% 3526
Yhteensopiva
Injektioneste Clindamycin phosphate 90 mg/ml
Injektioneste Gentamicin sulfate 12 mg/ml
Natriumkloridi 0,9% 639
Yhteensopiva
Injektioneste Clindamycin phosphate 6 mg/ml
Injektioneste Gentamicin sulfate 0.67 mg/ml
Glukoosi 5% 423
Yhteensopiva
Injektioneste Clindamycin phosphate
Injektioneste Gentamicin sulfate
Natriumkloridi 0,9% 3526
Yhteensopiva
Injektioneste Clindamycin phosphate 10 mg/ml
Injektioneste Granisetron hydrochloride 0.05 mg/ml
Glukoosi 5% 182
Yhteensopiva
Injektioneste Clindamycin phosphate 12 mg/ml
Injektioneste Heparin sodium 50 UI/ml
Ei mikään 317
Yhteensopiva
Injektioneste Clindamycin phosphate 10 mg/ml
Injektioneste Hetastarch 60 mg/ml
spesifiseen liuottimeen 1721
Yhteensopiva
Injektioneste Clindamycin phosphate 12 mg/ml
Injektioneste Hydromorphone hydrochloride 0.2 mg/ml
Glukoosi 5% 405
Määrittelemätön yhteensopimattomuus yhteensopimaton
Injektioneste Clindamycin phosphate
Injektioneste Idarubicin hydrochloride
3526
Välittömät sateet yhteensopimaton
Injektioneste Clindamycin phosphate 12 mg/ml
Injektioneste Idarubicin hydrochloride 1 mg/ml
Natriumkloridi 0,9% 491
Yhteensopiva
Injektioneste Clindamycin phosphate 150 mg/ml
Injektioneste Ketamine hydrochloride 50 mg/ml
2109
Yhteensopiva
Injektioneste Clindamycin phosphate 9 mg/ml
Injektioneste Labetalol hydrochloride 1 mg/ml
Glukoosi 5% 386
Välittömät sateet yhteensopimaton
Injektioneste Clindamycin phosphate 10 mg/ml
Injektioneste Lansoprazole 0.55 mg/ml
Natriumkloridi 0,9% 1625
Yhteensopiva
Injektioneste Clindamycin phosphate 150 mg/ml
Injektioneste Levofloxacine 5 mg/ml
Glukoosi 5% 1072
Yhteensopiva
Injektioneste Clindamycin phosphate 10 mg/ml
Injektioneste Linezolid 2 mg/ml
Ei mikään 1925
Määrittelemätön yhteensopimattomuus yhteensopimaton
Injektioneste Clindamycin phosphate
Injektioneste Magnesium chloride
5012
Määrittelemätön yhteensopimattomuus yhteensopimaton
Injektioneste Clindamycin phosphate
Injektioneste Magnesium sulfate
3838
Yhteensopiva
Injektioneste Clindamycin phosphate 12 mg/ml
Injektioneste Magnesium sulfate 16.67 >> 100 mg/ml
Glukoosi 5% 1047
Määrittelemätön yhteensopimattomuus yhteensopimaton
Injektioneste Clindamycin phosphate
Injektioneste Magnesium sulfate
3526
Yhteensopiva
Injektioneste Clindamycin phosphate 10 mg/ml
Injektioneste Melphalan 0.1 mg/ml
Natriumkloridi 0,9% 169
Yhteensopiva
Injektioneste Clindamycin phosphate 150 mg/ml
Injektioneste Meropenem 50 mg/ml
Injektionesteisiin käytettävä vesi 4319
Määrittelemätön yhteensopimattomuus yhteensopimaton
Injektioneste Clindamycin phosphate
Injektioneste Methohexital sodium
3526
Yhteensopiva
Injektioneste Clindamycin phosphate 10 mg/ml
Injektioneste Metronidazole 5 mg/ml
Ei mikään 1035
Yhteensopiva
Injektioneste Clindamycin phosphate
Injektioneste Metronidazole
3594
Yhteensopiva
Injektioneste Clindamycin phosphate 9 mg/ml
Injektioneste Midazolam hydrochloride 1 mg/ml
Glukoosi 5% 176
Yhteensopiva
Injektioneste Clindamycin phosphate 12 mg/ml
Injektioneste Morphine sulfate 1 mg/ml
Glukoosi 5% 405
Yhteensopiva
Injektioneste Clindamycin phosphate 150 mg/ml
Injektioneste N-acetylcysteine 200 mg/ml
Ei mikään 3766
Yhteensopiva
Injektioneste Clindamycin phosphate 150 mg/ml
Injektioneste Naloxone hydrochloride 0.4 mg/ml
Ei mikään 3408
Yhteensopiva
Injektioneste Clindamycin phosphate
Injektioneste Netilmicin sulfate
Natriumkloridi 0,9% 3526
Yhteensopiva
Injektioneste Clindamycin phosphate 9 mg/ml
Injektioneste Netilmicin sulfate 3 mg/ml
Glukoosi 5% 421
Yhteensopiva
Injektioneste Clindamycin phosphate 9 mg/ml
Injektioneste Netilmicin sulfate 3 mg/ml
Natriumkloridi 0,9% 421
Yhteensopiva
Injektioneste Clindamycin phosphate
Injektioneste Netilmicin sulfate
Glukoosi 5% 3526
Yhteensopiva
Injektioneste Clindamycin phosphate 9 mg/ml
Injektioneste Nicardipine hydrochloride 0.1 mg/ml
Natriumkloridi 0,9% 1490
Yhteensopiva
Injektioneste Clindamycin phosphate 9 mg/ml
Injektioneste Nicardipine hydrochloride 0.1 mg/ml
Glukoosi 5% 1490
Yhteensopiva
Injektioneste Clindamycin phosphate 6 mg/ml
Injektioneste Ofloxacin 2 mg/ml
Ei mikään 889
Yhteensopiva
Injektioneste Clindamycin phosphate 10 mg/ml
Injektioneste Ondansetron hydrochloride 1 mg/ml
Natriumkloridi 0,9% 334
Sade 1 tunnin kuluttua yhteensopimaton
Injektioneste Clindamycin phosphate 12 mg/ml
Injektioneste Oritavancin 0.8 >>2 mg/ml
Glukoosi 5% 3152
Sade 1 tunnin kuluttua yhteensopimaton
Injektioneste Clindamycin phosphate
Injektioneste Pantoprazole sodium
2090
Yhteensopiva
Injektioneste Clindamycin phosphate 150 mg/ml
Injektioneste Paracetamol 10 mg/ml
4742
Yhteensopiva
Injektioneste Clindamycin phosphate 10 mg/ml
Injektioneste Paracetamol 10 mg/ml
Ei mikään 3571
Yhteensopiva
Injektioneste Clindamycin phosphate 10 mg/ml
Injektioneste Pemetrexed disodium 20 mg/ml
Natriumkloridi 0,9% 1953
Määrittelemätön yhteensopimattomuus yhteensopimaton
Injektioneste Clindamycin phosphate
Injektioneste Pentobarbital sodium
3526
Yhteensopiva
Injektioneste Clindamycin phosphate 12 mg/ml
Injektioneste Pethidine hydrochloride 10 mg/ml
Glukoosi 5% 405
Määrittelemätön yhteensopimattomuus yhteensopimaton
Injektioneste Clindamycin phosphate
Injektioneste Phenobarbital sodium
3526
Määrittelemätön yhteensopimattomuus yhteensopimaton
Injektioneste Clindamycin phosphate
Injektioneste Phenytoin sodium
3526
Yhteensopiva
Injektioneste Clindamycin phosphate 18 mg/ml
Injektioneste Phloroglucinol 2,5 mg/ml
3791
Yhteensopiva
Injektioneste Clindamycin phosphate
Injektioneste Piperacillin sodium
Glukoosi 5% 3526
Yhteensopiva
Injektioneste Clindamycin phosphate
Injektioneste Piperacillin sodium
Natriumkloridi 0,9% 3526
Yhteensopiva
Injektioneste Clindamycin phosphate 9 mg/ml
Injektioneste Piperacillin sodium 40 mg/ml
Glukoosi 5% 432
Yhteensopiva
Injektioneste Clindamycin phosphate 9 mg/ml
Injektioneste Piperacillin sodium 40 mg/ml
Natriumkloridi 0,9% 432
Yhteensopiva
Injektioneste Clindamycin phosphate 10 mg/ml
Injektioneste Piperacillin sodium / tazobactam 40/5 mg/ml
Glukoosi 5% 81
Välitön sameus yhteensopimaton
Injektioneste Clindamycin phosphate 150 mg/ml
Injektioneste Salbutamol sulfate 1 mg/ml
Ei mikään 3216
Määrittelemätön yhteensopimattomuus yhteensopimaton
Injektioneste Clindamycin phosphate
Injektioneste Sodium bicarbonate
3526
Välittömät sateet yhteensopimaton
Injektioneste Clindamycin phosphate 12 mg/ml
Injektioneste Temocilline 83.33 mg/ml
Injektionesteisiin käytettävä vesi 2231
Yhteensopiva
Injektioneste Clindamycin phosphate 10 mg/ml
Injektioneste Teniposide 0.1 mg/ml
Glukoosi 5% 905
Määrittelemätön yhteensopimattomuus yhteensopimaton
Injektioneste Clindamycin phosphate
Injektioneste Thiopental sodium
3526
Yhteensopiva
Injektioneste Clindamycin phosphate
Natriumkloridi 0,9% 3526
Yhteensopiva
Injektioneste Clindamycin phosphate 10 mg/ml
Injektioneste Propofol 10 mg/ml
Ei mikään 300
Määrittelemätön yhteensopimattomuus yhteensopimaton
Injektioneste Clindamycin phosphate
Injektioneste Ranitidine hydrochloride
3526
Yhteensopiva
Injektioneste Clindamycin phosphate 10 mg/ml
Injektioneste Remifentanil hydrochloride 25 & 250 µg/ml
Natriumkloridi 0,9% 59
Yhteensopiva
Injektioneste Clindamycin phosphate 10 mg/ml
Injektioneste Sargramostim 10 µg/ml
Natriumkloridi 0,9% 335
Yhteensopiva
Injektioneste Clindamycin phosphate 12 mg/ml
Injektioneste Tacrolimus 1000 µg/ml
Natriumkloridi 0,9% 479
Yhteensopiva
Injektioneste Clindamycin phosphate 12 mg/ml
Injektioneste Theophylline 4 mg/ml
Ei mikään 317
Välittömät sateet yhteensopimaton
Injektioneste Clindamycin phosphate 150 mg/ml
Injektioneste Thiopental sodium 25 mg/ml
Natriumkloridi 0,9% 3767
Yhteensopiva
Injektioneste Clindamycin phosphate 10 mg/ml
Injektioneste Thiotepa 1 mg/ml
Glukoosi 5% 249
Yhteensopiva
Injektioneste Clindamycin phosphate
Injektioneste Tobramycin sulfate
Natriumkloridi 0,9% 3526
Välittömät sateet yhteensopimaton
Injektioneste Clindamycin phosphate 90 mg/ml
Injektioneste Tobramycin sulfate 12 mg/ml
Natriumkloridi 0,9% 639
Yhteensopiva
Injektioneste Clindamycin phosphate
Injektioneste Tobramycin sulfate
Glukoosi 5% 3526
Sade 2 tunnin kuluttua yhteensopimaton
Injektioneste Clindamycin phosphate 6 mg/ml
Injektioneste Tramadol hydrochloride 0,4 mg/ml
Natriumkloridi 0,9% 2002
Yhteensopiva
Injektioneste Clindamycin phosphate 1.2 mg/ml
Injektioneste Verapamil hydrochloride 0.08 mg/ml
Natriumkloridi 0,9% 1057
Yhteensopiva
Injektioneste Clindamycin phosphate 1.2 mg/ml
Injektioneste Verapamil hydrochloride 0.08 mg/ml
Glukoosi 5% 1057
Yhteensopiva
Injektioneste Clindamycin phosphate 10 mg/ml
Injektioneste Vinorelbine tartrate 1 mg/ml
Natriumkloridi 0,9% 84
Yhteensopiva
Injektioneste Clindamycin phosphate 12 mg/ml
Injektioneste Zidovudine 4 mg/ml
Glukoosi 5% 337

  Mentions Légales