zadnja posodobitev :
27/04/2026
Antibiotik   Clindamycin phosphate  
Brizgalka
Stabilnost raztopine Stabilnost mešanice Faktorji, ki vplivajo na stabilnost Kompatibilnost način aplikacije Viri pdf
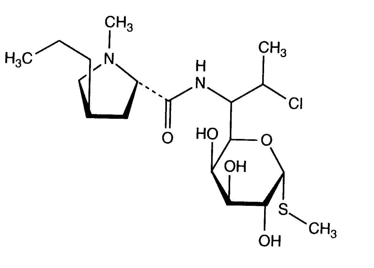
   Kemična formula  

Lastniško ime   Lastniško ime     

Sestava pomožnih snovi je med paralelami lahko različna

Biodaclin Mehika
Camyda Indija
Cinbiot Mehika
Cleocin Avstrija, Turčija, Združene države Amerike
Clinamsa Mehika
Clinbac Kolumbija, Peru
Clincina Portugalska
Clinda-Saar Nemčija
Clindacid Venezuela
Clindacin Malezija
Clindalaf Argentina
Clindamicina Argentina, Brazilija, Čile, Ekvador, Italija, Kolumbija, Mehika, Peru, Portugalska, Španija, Venezuela
Clindamycin Avstrija, Iran, Kanada, Nemčija, Norveška, Romunija, Savdska Arabija, Švedska, Združene države Amerike
Clindamycin-Hameln Nemčija
Clindamycine Belgija, Francija, Nizozemska, Tunizija
Clindanovag Argentina
Clindarix Brazilija
Clindasol Nemčija
Clindaval Venezuela
Clindazyn Mehika
Clindo Poljska
Clysvic Mehika
Daclin Čile
Dalacin Avstralija, Belgija, Čile, Danska, Egipt, Ekvador, Finska, Grčija, Indija, Iran, Irska, Islandija, Italija, Kanada, Kolumbija, Luksemburg, Madžarska, Malezija, Mehika, Nizozemska, Norveška, nova Zelandija, Poljska, Savdska Arabija, Švedska, Švica, Tunizija, Velika Britanija, Venezuela, Združeni arabski emirati
Dalacine Francija, Tunizija
Daladic Iran
Dalcinex Indija
Damclid Indija
Damicin Kolumbija, Mehika
Damicine Kolumbija
Dolarclin Kolumbija
Euroclin Ekvador, Kolumbija
Gynasafe Indija
Indamid Mehika
Klimicin Poljska
Klindan Turčija
Klindaver Turčija
Lanacine Avstrija
Lincocin Malezija
Lincosa Malezija
Meneklin Turčija
Sobelin Nemčija
Tidact Malezija
Kompatibilnost   Brizgalka   Kompatibilnost : Clindamycin phosphate              
Ta zaslon prikazuje združljivost ali nezdružljivost s, v tem primeru, vrsto nezdružljivosti (padavine, sprememba barve, sprememba emulzije itd.). Tu prikazane združljivosti so večinoma samo fizične, pri čemer se kemijska stabilnost vsake molekule redko ocenjuje. Vrednotenje teh zmesi so preučevali, da bi preučili možnost pacientovega dajanja na mestu Y. Teh podatkov ni mogoče uporabiti za pripravo mešanic v vrečkah ali brizgah. Ta vrsta informacij je na voljo na zaslonu "Obstojnost v mešanici".
Sestava Topilo Viri
Združljivo
Brizgalka Clindamycin phosphate 12 mg/ml
Brizgalka Aciclovir sodium 5 mg/ml
Glukoza 5% 336
Takoj padavine Nezdružljivo
Brizgalka Clindamycin phosphate 10 mg/ml
Brizgalka Allopurinol sodium 3 mg/ml
Natrijev klorid 0,9% 307
Združljivo
Brizgalka Clindamycin phosphate 10 mg/ml
Brizgalka Amifostine 10 mg/ml
Glukoza 5% 3
Združljivo
Brizgalka Clindamycin phosphate
Brizgalka Amikacin sulfate
Natrijev klorid 0,9% 3526
Združljivo
Brizgalka Clindamycin phosphate 9 mg/ml
Brizgalka Amikacin sulfate 4 mg/ml
Natrijev klorid 0,9% 565
Združljivo
Brizgalka Clindamycin phosphate 9 mg/ml
Brizgalka Amikacin sulfate 4 mg/ml
Glukoza 5% 565
Združljivo
Brizgalka Clindamycin phosphate
Brizgalka Amikacin sulfate
Glukoza 5% 3526
Združljivo
Brizgalka Clindamycin phosphate 90 mg/ml
Brizgalka Amikacin sulfate 75 mg/ml
Natrijev klorid 0,9% 639
Nedoločena nezdružljivost Nezdružljivo
Brizgalka Clindamycin phosphate
Brizgalka Aminophylline
3526
Združljivo
Brizgalka Clindamycin phosphate 6 mg/ml
Brizgalka Amiodarone hydrochloride 4 mg/ml
Natrijev klorid 0,9% 385
Združljivo
Brizgalka Clindamycin phosphate 6 mg/ml
Brizgalka Amiodarone hydrochloride 4 mg/ml
Glukoza 5% 385
Motnost v eni uri Nezdružljivo
Brizgalka Clindamycin phosphate 150 mg/ml
Brizgalka Amoxicillin sodium / clavulanic acid 100/10 mg/ml
3824
Združljivo
Brizgalka Clindamycin phosphate 10 mg/ml
Brizgalka Amphotericin B cholesteryl sulfate complex 0.83 mg/ml
Glukoza 5% 921
Nedoločena nezdružljivost Nezdružljivo
Brizgalka Clindamycin phosphate
Brizgalka Ampicillin sodium
3526
Združljivo
Brizgalka Clindamycin phosphate
Glukoza 5% 3526
Nedoločena nezdružljivost Nezdružljivo
Brizgalka Clindamycin phosphate
Brizgalka Amobarbital sodium
3526
Združljivo
Brizgalka Clindamycin phosphate 10 mg/ml
Brizgalka Amsacrine 1 mg/ml
Glukoza 5% 253
Združljivo
Brizgalka Clindamycin phosphate 10 mg/ml
Brizgalka Anidulafungin 0.5 mg/ml
Glukoza 5% 1982
Sprememba pH> 1 pH enota Nezdružljivo
Brizgalka Clindamycin phosphate 9 mg/ml
Brizgalka Atosiban 0,75 mg/ml
4642
Združljivo
Brizgalka Clindamycin phosphate 6 mg/ml
Brizgalka Aztreonam 10 mg/ml
Glukoza 5% 419
Združljivo
Brizgalka Clindamycin phosphate 9 mg/ml
Brizgalka Aztreonam 20 mg/ml
Glukoza 5% 432
Združljivo
Brizgalka Clindamycin phosphate 60 mg/ml
Brizgalka Aztreonam 200 mg/ml
Natrijev klorid 0,9% 644
Združljivo
Brizgalka Clindamycin phosphate
Brizgalka Aztreonam
Natrijev klorid 0,9% 3526
Združljivo
Brizgalka Clindamycin phosphate 3 mg/ml
Brizgalka Aztreonam 10 mg/ml
Glukoza 5% 419
Združljivo
Brizgalka Clindamycin phosphate
Brizgalka Aztreonam
Glukoza 5% 3526
Združljivo
Brizgalka Clindamycin phosphate 24 mg/ml
Parenteralna prehrana (binarno zmes) 3379
Takoj padavine Nezdružljivo
Brizgalka Clindamycin phosphate 30 mg/ml
Brizgalka Azithromycine 2 mg/ml
Natrijev klorid 0,9% 1800
Združljivo
Brizgalka Clindamycin phosphate 3 mg/ml
Parenteralna prehrana (binarno zmes) 1055
Združljivo
Brizgalka Clindamycin phosphate 6 mg/ml
Brizgalka Aztreonam 20 mg/ml
Natrijev klorid 0,9% 419
Združljivo
Brizgalka Clindamycin phosphate 3 mg/ml
Brizgalka Aztreonam 20 mg/ml
Natrijev klorid 0,9% 419
Združljivo
Brizgalka Clindamycin phosphate 3 mg/ml
Brizgalka Aztreonam 20 mg/ml
Glukoza 5% 419
Združljivo
Brizgalka Clindamycin phosphate 6 mg/ml
Brizgalka Aztreonam 20 mg/ml
Glukoza 5% 419
Združljivo
Brizgalka Clindamycin phosphate 10 mg/ml
Brizgalka Aztreonam 40 mg/ml
Glukoza 5% 99
Združljivo
Brizgalka Clindamycin phosphate 3 mg/ml
Brizgalka Aztreonam 10 mg/ml
Natrijev klorid 0,9% 419
Združljivo
Brizgalka Clindamycin phosphate 6 mg/ml
Brizgalka Aztreonam 10 mg/ml
Natrijev klorid 0,9% 419
Združljivo
Brizgalka Clindamycin phosphate 9 mg/ml
Brizgalka Aztreonam 20 mg/ml
Natrijev klorid 0,9% 432
Združljivo
Brizgalka Clindamycin phosphate 10 mg/ml
Brizgalka Bivalirudin 5 mg/ml
Glukoza 5% 1713
Združljivo
Brizgalka Clindamycin phosphate 150 mg/ml
Brizgalka Caffeine 10 mg/ml
Nobeden 3964
Nedoločena nezdružljivost Nezdružljivo
Brizgalka Clindamycin phosphate
Brizgalka Calcium gluconate
3644
Nedoločena nezdružljivost Nezdružljivo
Brizgalka Clindamycin phosphate
Brizgalka Calcium gluconate
3526
Nezdružljivo
Brizgalka Clindamycin phosphate
Brizgalka Calcium gluconate
4964
Takoj padavine Nezdružljivo
Brizgalka Clindamycin phosphate 10 mg/ml
Brizgalka Caspofungin acetate 0,7 mg/ml
Natrijev klorid 0,9% 2247
Takoj padavine Nezdružljivo
Brizgalka Clindamycin phosphate 60 mg/ml
Brizgalka Caspofungin acetate 0.5 mg/ml
Natrijev klorid 0,9% 2233
Združljivo
Brizgalka Clindamycin phosphate 9 mg/ml
Brizgalka Cefamandole nafate 10 mg/ml
Glukoza 5% 418
Združljivo
Brizgalka Clindamycin phosphate
Brizgalka Cefamandole nafate
Natrijev klorid 0,9% 3526
Združljivo
Brizgalka Clindamycin phosphate 9 mg/ml
Brizgalka Cefamandole nafate 10 mg/ml
Natrijev klorid 0,9% 418
Združljivo
Brizgalka Clindamycin phosphate
Brizgalka Cefamandole nafate
Glukoza 5% 3526
Združljivo
Brizgalka Clindamycin phosphate 9 mg/ml
Brizgalka Cefazolin sodium 10 mg/ml
Natrijev klorid 0,9% 418
Združljivo
Brizgalka Clindamycin phosphate
Brizgalka Cefazolin sodium
Natrijev klorid 0,9% 3526
Združljivo
Brizgalka Clindamycin phosphate 9 mg/ml
Brizgalka Cefazolin sodium 10 mg/ml
Glukoza 5% 418
Združljivo
Brizgalka Clindamycin phosphate 0,25 & 6 mg/ml
Brizgalka Cefepime dihydrochloride 4 & 40 mg/ml
Glukoza 5% 3548
Združljivo
Brizgalka Clindamycin phosphate 10 mg/ml
Brizgalka Cefiderocol sulfate tosylate 20 mg/mL
Glukoza 5% 4528
Združljivo
Brizgalka Clindamycin phosphate 12 mg/ml
Brizgalka Cefoperazone sodium 20 mg/ml
Glukoza 5% 644
Nedoločena nezdružljivost Nezdružljivo
Brizgalka Clindamycin phosphate
NaHCO3 3526
Združljivo
Brizgalka Clindamycin phosphate 12 mg/ml
Brizgalka Cefonicid sodium 10 mg/ml
Natrijev klorid 0,9% 644
Združljivo
Brizgalka Clindamycin phosphate 10 mg/ml
Parenteralna prehrana (binarno zmes) 301
Združljivo
Brizgalka Clindamycin phosphate
Brizgalka Cefazolin sodium
Glukoza 5% 3526
Združljivo
Brizgalka Clindamycin phosphate 0,25 & 6 mg/ml
Brizgalka Cefepime dihydrochloride 4 & 40 mg/ml
Natrijev klorid 0,9% 3548
Združljivo
Brizgalka Clindamycin phosphate 10 mg/ml
Brizgalka Cefiderocol sulfate tosylate 20 mg/mL
Natrijev klorid 0,9% 4528
Združljivo
Brizgalka Clindamycin phosphate 12 mg/ml
Brizgalka Cefonicid sodium 10 mg/ml
Glukoza 5% 644
Združljivo
Brizgalka Clindamycin phosphate 12 mg/ml
Brizgalka Cefoperazone sodium 20 mg/ml
Natrijev klorid 0,9% 644
Združljivo
Brizgalka Clindamycin phosphate 150 mg/ml
Parenteralna prehrana (binarno zmes) 999
Združljivo
Brizgalka Clindamycin phosphate
Brizgalka Cefotaxime sodium
Glukoza 5% 3526
Združljivo
Brizgalka Clindamycin phosphate 9 mg/ml
Brizgalka Cefotaxime sodium 20 mg/ml
Glukoza 5% 421
Združljivo
Brizgalka Clindamycin phosphate 9 mg/ml
Brizgalka Cefotaxime sodium 20 mg/ml
Natrijev klorid 0,9% 421
Združljivo
Brizgalka Clindamycin phosphate
Brizgalka Cefotaxime sodium
Natrijev klorid 0,9% 3526
Združljivo
Brizgalka Clindamycin phosphate
Brizgalka Cefoxitin sodium
Natrijev klorid 0,9% 3526
Združljivo
Brizgalka Clindamycin phosphate 9 mg/ml
Brizgalka Cefoxitin sodium 20 mg/ml
Glukoza 5% 418
Združljivo
Brizgalka Clindamycin phosphate 9 mg/ml
Brizgalka Cefoxitin sodium 20 mg/ml
Natrijev klorid 0,9% 418
Združljivo
Brizgalka Clindamycin phosphate
Brizgalka Cefoxitin sodium
Glukoza 5% 3526
Združljivo
Brizgalka Clindamycin phosphate 12 mg/ml
Brizgalka Cefpirome sulfate 50 mg/ml
Natrijev klorid 0,9% 280
Združljivo
Brizgalka Clindamycin phosphate 12 mg/ml
Brizgalka Cefpirome sulfate 50 mg/ml
Natrijev klorid 0,45% 280
Združljivo
Brizgalka Clindamycin phosphate 12 mg/ml
Brizgalka Cefpirome sulfate 50 mg/ml
Glukoza 5% 280
Združljivo
Brizgalka Clindamycin phosphate 12 mg/ml
Brizgalka Cefpirome sulfate 50 mg/ml
Ringerjev laktat 280
Združljivo
Brizgalka Clindamycin phosphate 10 mg/ml
Brizgalka Ceftaroline fosamil 2,22 mg/ml
Ringerjev laktat 3249
Združljivo
Brizgalka Clindamycin phosphate
Brizgalka Ceftazidime
Glukoza 5% 3526
Združljivo
Brizgalka Clindamycin phosphate 9 mg/ml
Brizgalka Ceftizoxime sodium 20 mg/ml
Natrijev klorid 0,9% 418
Združljivo
Brizgalka Clindamycin phosphate
Brizgalka Ceftizoxime sodium
Glukoza 5% 3526
Združljivo
Brizgalka Clindamycin phosphate 10 mg/ml
Brizgalka Ceftobiprole medocaril sodium 2 mg/ml
Natrijev klorid 0,9% 2269
Združljivo
Brizgalka Clindamycin phosphate 10 mg/ml
Brizgalka Ceftobiprole medocaril sodium 2 mg/ml
Glukoza 5% 2269
Združljivo
Brizgalka Clindamycin phosphate 10 mg/ml
Brizgalka Ceftobiprole medocaril sodium 2 mg/ml
Ringerjev laktat 2269
Združljivo
Brizgalka Clindamycin phosphate 5,77 mg/ml
Parenteralna prehrana (z lipidi) 4440
Združljivo
Brizgalka Clindamycin phosphate 1.2 mg/ml
Brizgalka Cimetidine hydrochloride 1.2 & 5 mg/ml
Glukoza 5% 1201
Združljivo
Brizgalka Clindamycin phosphate 1.2 mg/ml
Brizgalka Cimetidine hydrochloride 1.2 & 5 mg/ml
Natrijev klorid 0,9% 1201
Takoj padavine Nezdružljivo
Brizgalka Clindamycin phosphate 7 mg/ml
Brizgalka Ciprofloxacin lactate 1.5 mg/ml
Glukoza 5% 434
Združljivo
Brizgalka Clindamycin phosphate 10 mg/ml
Brizgalka Cisatracurium besylate 0.1 >> 5 mg/ml
Glukoza 5% 299
Združljivo
Brizgalka Clindamycin phosphate 150 mg/ml
Brizgalka Cloxacillin sodium 100 mg/ml
Voda za injekcije 3012
Združljivo
Brizgalka Clindamycin phosphate 10 mg/ml
Brizgalka Docetaxel 0.9 mg/ml
Glukoza 5% 1754
Proizvodnja plinskih mehurčkov Nezdružljivo
Brizgalka Clindamycin phosphate 10 mg/ml
Brizgalka Doxapram hydrochloride 2 mg/ml
Glukoza 5% 1802
Združljivo
Brizgalka Clindamycin phosphate 10 mg/ml
Brizgalka Doxorubicin hydrochloride liposome peg 0.4 mg/ml
Glukoza 5% 251
Združljivo
Brizgalka Clindamycin phosphate 9 mg/ml
Brizgalka Esmolol hydrochloride 10 mg/ml
Glukoza 5% 384
Združljivo
Brizgalka Clindamycin phosphate 9 mg/ml
Brizgalka Fentanyl citrate 50 µg/ml
Glukoza 5% 63
Združljivo
Brizgalka Clindamycin phosphate 10 mg/ml
Parenteralna prehrana (z lipidi) 3967
Združljivo
Brizgalka Clindamycin phosphate 10 mg/ml
Brizgalka Ceftaroline fosamil 2,22 mg/ml
Glukoza 5% 3249
Združljivo
Brizgalka Clindamycin phosphate 10 mg/ml
Brizgalka Ceftaroline fosamil 2,22 mg/ml
Natrijev klorid 0,9% 3249
Združljivo
Brizgalka Clindamycin phosphate 9 mg/ml
Brizgalka Ceftazidime 20 mg/ml
Glukoza 5% 432
Združljivo
Brizgalka Clindamycin phosphate
Brizgalka Ceftazidime
Natrijev klorid 0,9% 3526
Združljivo
Brizgalka Clindamycin phosphate 9 mg/ml
Brizgalka Ceftazidime 20 mg/ml
Natrijev klorid 0,9% 432
Združljivo
Brizgalka Clindamycin phosphate 10 mg/ml
Parenteralna prehrana (z lipidi) 1415
Združljivo
Brizgalka Clindamycin phosphate 9 mg/ml
Brizgalka Ceftizoxime sodium 20 mg/ml
Glukoza 5% 418
Združljivo
Brizgalka Clindamycin phosphate
Brizgalka Ceftizoxime sodium
Natrijev klorid 0,9% 3526
Kemijska nestabilnost Nezdružljivo
Brizgalka Clindamycin phosphate 12 mg/ml
Brizgalka Ceftriaxone disodium 20 mg/ml
Glukoza 5% 432
Nedoločena nezdružljivost Nezdružljivo
Brizgalka Clindamycin phosphate
Brizgalka Ceftriaxone disodium
3526
Kemijska nestabilnost Nezdružljivo
Brizgalka Clindamycin phosphate 12 mg/ml
Brizgalka Ceftriaxone disodium 20 mg/ml
Natrijev klorid 0,9% 432
Združljivo
Brizgalka Clindamycin phosphate 9 mg/ml
Brizgalka Cefuroxime sodium 15 mg/ml
Natrijev klorid 0,9% 644
Združljivo
Brizgalka Clindamycin phosphate 9 mg/ml
Brizgalka Cefuroxime sodium 15 mg/ml
Glukoza 5% 644
Takoj padavine Nezdružljivo
Brizgalka Clindamycin phosphate 7 mg/ml
Brizgalka Ciprofloxacin lactate 1.5 mg/ml
Natrijev klorid 0,9% 434
Nedoločena nezdružljivost Nezdružljivo
Brizgalka Clindamycin phosphate
Brizgalka Ciprofloxacin lactate
3526
Združljivo
Brizgalka Clindamycin phosphate 10 mg/ml
Brizgalka Dexmedetomidine 4 µg/ml
Natrijev klorid 0,9% 1712
Združljivo
Brizgalka Clindamycin phosphate 12 & 150 mg/ml
Brizgalka Diltiazem hydrochloride 5 mg/ml
Natrijev klorid 0,9% 198
Združljivo
Brizgalka Clindamycin phosphate
Brizgalka Dimenhydrinate
2087
Združljivo
Brizgalka Clindamycin phosphate 9 mg/ml
Brizgalka Enalaprilate 0.05 mg/ml
Natrijev klorid 0,9% 1315
Združljivo
Brizgalka Clindamycin phosphate 10 mg/ml
Brizgalka Etoposide phosphate 5 mg/ml
Glukoza 5% 1410
Združljivo
Brizgalka Clindamycin phosphate 10 mg/ml
Brizgalka Fenoldopam mesylate 80 µg/ml
Natrijev klorid 0,9% 1803
Takoj padavine Nezdružljivo
Brizgalka Clindamycin phosphate 10 mg/ml
Brizgalka Filgrastim 30 µg/ml
Glukoza 5% 244
Združljivo
Brizgalka Clindamycin phosphate 12 mg/ml
Brizgalka Fluconazole 2 mg/ml
Nobeden 256
Takoj padavine Nezdružljivo
Brizgalka Clindamycin phosphate 24 mg/ml
Brizgalka Fluconazole 2 mg/ml
Natrijev klorid 0,9% 496
Združljivo
Brizgalka Clindamycin phosphate 10 mg/ml
Brizgalka Fludarabine phosphate 1 mg/ml
Glukoza 5% 492
Združljivo
Brizgalka Clindamycin phosphate 12 mg/ml
Brizgalka Foscarnet sodium 24 mg/ml
Glukoza 5% 1135
Združljivo
Brizgalka Clindamycin phosphate 24 mg/ml
Brizgalka Foscarnet sodium 24 mg/ml
Nobeden 73
Združljivo
Brizgalka Clindamycin phosphate 12 mg/ml
Brizgalka Foscarnet sodium 24 mg/ml
Natrijev klorid 0,9% 1135
Združljivo
Brizgalka Clindamycin phosphate 10 mg/ml
Brizgalka Gemcitabine hydrochloride 10 mg/ml
Natrijev klorid 0,9% 1423
Združljivo
Brizgalka Clindamycin phosphate
Brizgalka Gentamicin sulfate
Glukoza 5% 3526
Združljivo
Brizgalka Clindamycin phosphate 90 mg/ml
Brizgalka Gentamicin sulfate 12 mg/ml
Natrijev klorid 0,9% 639
Združljivo
Brizgalka Clindamycin phosphate 6 mg/ml
Brizgalka Gentamicin sulfate 0.67 mg/ml
Glukoza 5% 423
Združljivo
Brizgalka Clindamycin phosphate
Brizgalka Gentamicin sulfate
Natrijev klorid 0,9% 3526
Združljivo
Brizgalka Clindamycin phosphate 10 mg/ml
Brizgalka Granisetron hydrochloride 0.05 mg/ml
Glukoza 5% 182
Združljivo
Brizgalka Clindamycin phosphate 12 mg/ml
Brizgalka Heparin sodium 50 UI/ml
Nobeden 317
Združljivo
Brizgalka Clindamycin phosphate 10 mg/ml
Brizgalka Hetastarch 60 mg/ml
Posebni topila 1721
Združljivo
Brizgalka Clindamycin phosphate 12 mg/ml
Brizgalka Hydromorphone hydrochloride 0.2 mg/ml
Glukoza 5% 405
Nedoločena nezdružljivost Nezdružljivo
Brizgalka Clindamycin phosphate
Brizgalka Idarubicin hydrochloride
3526
Takoj padavine Nezdružljivo
Brizgalka Clindamycin phosphate 12 mg/ml
Brizgalka Idarubicin hydrochloride 1 mg/ml
Natrijev klorid 0,9% 491
Združljivo
Brizgalka Clindamycin phosphate 150 mg/ml
Brizgalka Ketamine hydrochloride 50 mg/ml
2109
Združljivo
Brizgalka Clindamycin phosphate 9 mg/ml
Brizgalka Labetalol hydrochloride 1 mg/ml
Glukoza 5% 386
Takoj padavine Nezdružljivo
Brizgalka Clindamycin phosphate 10 mg/ml
Brizgalka Lansoprazole 0.55 mg/ml
Natrijev klorid 0,9% 1625
Združljivo
Brizgalka Clindamycin phosphate 150 mg/ml
Brizgalka Levofloxacine 5 mg/ml
Glukoza 5% 1072
Združljivo
Brizgalka Clindamycin phosphate 10 mg/ml
Brizgalka Linezolid 2 mg/ml
Nobeden 1925
Nedoločena nezdružljivost Nezdružljivo
Brizgalka Clindamycin phosphate
Brizgalka Magnesium chloride
5012
Nedoločena nezdružljivost Nezdružljivo
Brizgalka Clindamycin phosphate
Brizgalka Magnesium sulfate
3838
Združljivo
Brizgalka Clindamycin phosphate 12 mg/ml
Brizgalka Magnesium sulfate 16.67 >> 100 mg/ml
Glukoza 5% 1047
Nedoločena nezdružljivost Nezdružljivo
Brizgalka Clindamycin phosphate
Brizgalka Magnesium sulfate
3526
Združljivo
Brizgalka Clindamycin phosphate 10 mg/ml
Brizgalka Melphalan 0.1 mg/ml
Natrijev klorid 0,9% 169
Združljivo
Brizgalka Clindamycin phosphate 150 mg/ml
Brizgalka Meropenem 50 mg/ml
Voda za injekcije 4319
Nedoločena nezdružljivost Nezdružljivo
Brizgalka Clindamycin phosphate
Brizgalka Methohexital sodium
3526
Združljivo
Brizgalka Clindamycin phosphate 10 mg/ml
Brizgalka Metronidazole 5 mg/ml
Nobeden 1035
Združljivo
Brizgalka Clindamycin phosphate
Brizgalka Metronidazole
3594
Združljivo
Brizgalka Clindamycin phosphate 9 mg/ml
Brizgalka Midazolam hydrochloride 1 mg/ml
Glukoza 5% 176
Združljivo
Brizgalka Clindamycin phosphate 12 mg/ml
Brizgalka Morphine sulfate 1 mg/ml
Glukoza 5% 405
Združljivo
Brizgalka Clindamycin phosphate 150 mg/ml
Brizgalka N-acetylcysteine 200 mg/ml
Nobeden 3766
Združljivo
Brizgalka Clindamycin phosphate 150 mg/ml
Brizgalka Naloxone hydrochloride 0.4 mg/ml
Nobeden 3408
Združljivo
Brizgalka Clindamycin phosphate
Brizgalka Netilmicin sulfate
Natrijev klorid 0,9% 3526
Združljivo
Brizgalka Clindamycin phosphate 9 mg/ml
Brizgalka Netilmicin sulfate 3 mg/ml
Glukoza 5% 421
Združljivo
Brizgalka Clindamycin phosphate 9 mg/ml
Brizgalka Netilmicin sulfate 3 mg/ml
Natrijev klorid 0,9% 421
Združljivo
Brizgalka Clindamycin phosphate
Brizgalka Netilmicin sulfate
Glukoza 5% 3526
Združljivo
Brizgalka Clindamycin phosphate 9 mg/ml
Brizgalka Nicardipine hydrochloride 0.1 mg/ml
Natrijev klorid 0,9% 1490
Združljivo
Brizgalka Clindamycin phosphate 9 mg/ml
Brizgalka Nicardipine hydrochloride 0.1 mg/ml
Glukoza 5% 1490
Združljivo
Brizgalka Clindamycin phosphate 6 mg/ml
Brizgalka Ofloxacin 2 mg/ml
Nobeden 889
Združljivo
Brizgalka Clindamycin phosphate 10 mg/ml
Brizgalka Ondansetron hydrochloride 1 mg/ml
Natrijev klorid 0,9% 334
Padavine po 1 uri Nezdružljivo
Brizgalka Clindamycin phosphate 12 mg/ml
Brizgalka Oritavancin 0.8 >>2 mg/ml
Glukoza 5% 3152
Padavine po 1 uri Nezdružljivo
Brizgalka Clindamycin phosphate
Brizgalka Pantoprazole sodium
2090
Združljivo
Brizgalka Clindamycin phosphate 150 mg/ml
Brizgalka Paracetamol 10 mg/ml
4742
Združljivo
Brizgalka Clindamycin phosphate 10 mg/ml
Brizgalka Paracetamol 10 mg/ml
Nobeden 3571
Združljivo
Brizgalka Clindamycin phosphate 10 mg/ml
Brizgalka Pemetrexed disodium 20 mg/ml
Natrijev klorid 0,9% 1953
Nedoločena nezdružljivost Nezdružljivo
Brizgalka Clindamycin phosphate
Brizgalka Pentobarbital sodium
3526
Združljivo
Brizgalka Clindamycin phosphate 12 mg/ml
Brizgalka Pethidine hydrochloride 10 mg/ml
Glukoza 5% 405
Nedoločena nezdružljivost Nezdružljivo
Brizgalka Clindamycin phosphate
Brizgalka Phenobarbital sodium
3526
Nedoločena nezdružljivost Nezdružljivo
Brizgalka Clindamycin phosphate
Brizgalka Phenytoin sodium
3526
Združljivo
Brizgalka Clindamycin phosphate 18 mg/ml
Brizgalka Phloroglucinol 2,5 mg/ml
3791
Združljivo
Brizgalka Clindamycin phosphate
Brizgalka Piperacillin sodium
Glukoza 5% 3526
Združljivo
Brizgalka Clindamycin phosphate
Brizgalka Piperacillin sodium
Natrijev klorid 0,9% 3526
Združljivo
Brizgalka Clindamycin phosphate 9 mg/ml
Brizgalka Piperacillin sodium 40 mg/ml
Glukoza 5% 432
Združljivo
Brizgalka Clindamycin phosphate 9 mg/ml
Brizgalka Piperacillin sodium 40 mg/ml
Natrijev klorid 0,9% 432
Združljivo
Brizgalka Clindamycin phosphate 10 mg/ml
Brizgalka Piperacillin sodium / tazobactam 40/5 mg/ml
Glukoza 5% 81
Takojšnja motnost Nezdružljivo
Brizgalka Clindamycin phosphate 150 mg/ml
Brizgalka Salbutamol sulfate 1 mg/ml
Nobeden 3216
Nedoločena nezdružljivost Nezdružljivo
Brizgalka Clindamycin phosphate
Brizgalka Sodium bicarbonate
3526
Takoj padavine Nezdružljivo
Brizgalka Clindamycin phosphate 12 mg/ml
Brizgalka Temocilline 83.33 mg/ml
Voda za injekcije 2231
Združljivo
Brizgalka Clindamycin phosphate 10 mg/ml
Brizgalka Teniposide 0.1 mg/ml
Glukoza 5% 905
Nedoločena nezdružljivost Nezdružljivo
Brizgalka Clindamycin phosphate
Brizgalka Thiopental sodium
3526
Združljivo
Brizgalka Clindamycin phosphate
Natrijev klorid 0,9% 3526
Združljivo
Brizgalka Clindamycin phosphate 10 mg/ml
Brizgalka Propofol 10 mg/ml
Nobeden 300
Nedoločena nezdružljivost Nezdružljivo
Brizgalka Clindamycin phosphate
Brizgalka Ranitidine hydrochloride
3526
Združljivo
Brizgalka Clindamycin phosphate 10 mg/ml
Brizgalka Remifentanil hydrochloride 25 & 250 µg/ml
Natrijev klorid 0,9% 59
Združljivo
Brizgalka Clindamycin phosphate 10 mg/ml
Brizgalka Sargramostim 10 µg/ml
Natrijev klorid 0,9% 335
Združljivo
Brizgalka Clindamycin phosphate 12 mg/ml
Brizgalka Tacrolimus 1000 µg/ml
Natrijev klorid 0,9% 479
Združljivo
Brizgalka Clindamycin phosphate 12 mg/ml
Brizgalka Theophylline 4 mg/ml
Nobeden 317
Takoj padavine Nezdružljivo
Brizgalka Clindamycin phosphate 150 mg/ml
Brizgalka Thiopental sodium 25 mg/ml
Natrijev klorid 0,9% 3767
Združljivo
Brizgalka Clindamycin phosphate 10 mg/ml
Brizgalka Thiotepa 1 mg/ml
Glukoza 5% 249
Združljivo
Brizgalka Clindamycin phosphate
Brizgalka Tobramycin sulfate
Natrijev klorid 0,9% 3526
Takoj padavine Nezdružljivo
Brizgalka Clindamycin phosphate 90 mg/ml
Brizgalka Tobramycin sulfate 12 mg/ml
Natrijev klorid 0,9% 639
Združljivo
Brizgalka Clindamycin phosphate
Brizgalka Tobramycin sulfate
Glukoza 5% 3526
Padavine po 2 urah Nezdružljivo
Brizgalka Clindamycin phosphate 6 mg/ml
Brizgalka Tramadol hydrochloride 0,4 mg/ml
Natrijev klorid 0,9% 2002
Združljivo
Brizgalka Clindamycin phosphate 1.2 mg/ml
Brizgalka Verapamil hydrochloride 0.08 mg/ml
Natrijev klorid 0,9% 1057
Združljivo
Brizgalka Clindamycin phosphate 1.2 mg/ml
Brizgalka Verapamil hydrochloride 0.08 mg/ml
Glukoza 5% 1057
Združljivo
Brizgalka Clindamycin phosphate 10 mg/ml
Brizgalka Vinorelbine tartrate 1 mg/ml
Natrijev klorid 0,9% 84
Združljivo
Brizgalka Clindamycin phosphate 12 mg/ml
Brizgalka Zidovudine 4 mg/ml
Glukoza 5% 337

  Mentions Légales