Seneste opdatering :
27/04/2026
Antibiotisk   Clindamycin phosphate  
Injektion
Stabilitet i (vandige) opløsninger Stabilitet i blandinger Faktorer der påvirker stabiliteten Kompatibilitet Administrationsvej Bibliografi pdf
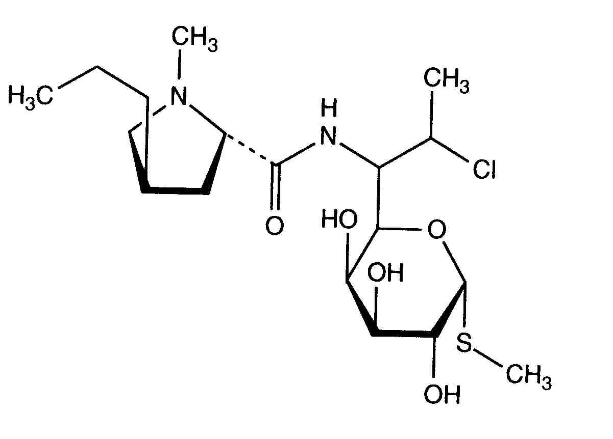
   Kemisk struktur  

Handelsnavn   Handelsnavn     

Handel navne er vejledende og hjælpestoffer sammensætning kan være forskellig afhængigt af landet og laboratorier

Biodaclin Mexico
Camyda Indien
Cinbiot Mexico
Cleocin Tyrkiet, USA, Østrig
Clinamsa Mexico
Clinbac Colombia, Marokko
Clincina Portugal
Clinda-Saar Tyskland
Clindacid Venezuela
Clindacin Malaysia
Clindalaf Argentina
Clindamicina Argentina, Brasilien, Chile, Colombia, Ecuador, Italien, Marokko, Mexico, Portugal, Spanien, Venezuela
Clindamycin Canada, Iran, Norge, Rumænien, Saudi-Arabien, Sverige, Tyskland, USA, Østrig
Clindamycin-Hameln Tyskland
Clindamycine Belgien, Frankrig, Holland, Tunesien
Clindanovag Argentina
Clindarix Brasilien
Clindasol Tyskland
Clindaval Venezuela
Clindazyn Mexico
Clindo Polen
Clysvic Mexico
Daclin Chile
Dalacin Australien, Belgien, Canada, Chile, Colombia, Danmark, Ecuador, Finland, Forenede Arabiske Emirater, Grækenland, Holland, Indien, Iran, Irland, Island, Italien, Luxemborg, Malaysia, Mexico, New Zealand, Norge, Polen, Saudi-Arabien, Schweiz, Storbritanien, Sverige, Tunesien, Ungarn, Venezuela, Ægypten
Dalacine Frankrig, Tunesien
Daladic Iran
Dalcinex Indien
Damclid Indien
Damicin Colombia, Mexico
Damicine Colombia
Dolarclin Colombia
Euroclin Colombia, Ecuador
Gynasafe Indien
Indamid Mexico
Klimicin Polen
Klindan Tyrkiet
Klindaver Tyrkiet
Lanacine Østrig
Lincocin Malaysia
Lincosa Malaysia
Meneklin Tyrkiet
Sobelin Tyskland
Tidact Malaysia
Kompatibilitet   Injektion   Kompatibilitet : Clindamycin phosphate              
Denne skærm viser kompatibilitet eller uforenelighed med, i dette tilfælde typen af inkompatibilitet (udfældning, farveændring, ændring af en emulsion osv.). Kompatibiliteterne vist her er for det meste kun fysiske, idet den kemiske stabilitet af hvert molekyle sjældent vurderes. Evalueringen af disse blandinger blev undersøgt for at overveje muligheden for Y-sted-administration til patienten. Disse data kan ikke bruges til at fremstille blandinger på forhånd i poser eller sprøjter. Denne type information findes på skærmen "Stabilitet i blanding".
Molekyle Opløsningsmiddel Bibliografi
Kompatibel
Injektion Clindamycin phosphate 12 mg/ml
Injektion Aciclovir sodium 5 mg/ml
5 % Glukose 336
Umiddelbar nedbør Uforenelig
Injektion Clindamycin phosphate 10 mg/ml
Injektion Allopurinol sodium 3 mg/ml
0,9 % Natriumklorid 307
Kompatibel
Injektion Clindamycin phosphate 10 mg/ml
Injektion Amifostine 10 mg/ml
5 % Glukose 3
Kompatibel
Injektion Clindamycin phosphate
Injektion Amikacin sulfate
0,9 % Natriumklorid 3526
Kompatibel
Injektion Clindamycin phosphate 9 mg/ml
Injektion Amikacin sulfate 4 mg/ml
0,9 % Natriumklorid 565
Kompatibel
Injektion Clindamycin phosphate 9 mg/ml
Injektion Amikacin sulfate 4 mg/ml
5 % Glukose 565
Kompatibel
Injektion Clindamycin phosphate
Injektion Amikacin sulfate
5 % Glukose 3526
Kompatibel
Injektion Clindamycin phosphate 90 mg/ml
Injektion Amikacin sulfate 75 mg/ml
0,9 % Natriumklorid 639
Uspecificeret inkompatibilitet Uforenelig
Injektion Clindamycin phosphate
Injektion Aminophylline
3526
Kompatibel
Injektion Clindamycin phosphate 6 mg/ml
Injektion Amiodarone hydrochloride 4 mg/ml
0,9 % Natriumklorid 385
Kompatibel
Injektion Clindamycin phosphate 6 mg/ml
Injektion Amiodarone hydrochloride 4 mg/ml
5 % Glukose 385
Turbiditet på en time Uforenelig
Injektion Clindamycin phosphate 150 mg/ml
Injektion Amoxicillin sodium / clavulanic acid 100/10 mg/ml
3824
Kompatibel
Injektion Clindamycin phosphate 10 mg/ml
Injektion Amphotericin B cholesteryl sulfate complex 0.83 mg/ml
5 % Glukose 921
Uspecificeret inkompatibilitet Uforenelig
Injektion Clindamycin phosphate
Injektion Ampicillin sodium
3526
Kompatibel
Injektion Clindamycin phosphate
5 % Glukose 3526
Uspecificeret inkompatibilitet Uforenelig
Injektion Clindamycin phosphate
Injektion Amobarbital sodium
3526
Kompatibel
Injektion Clindamycin phosphate 10 mg/ml
Injektion Amsacrine 1 mg/ml
5 % Glukose 253
Kompatibel
Injektion Clindamycin phosphate 10 mg/ml
Injektion Anidulafungin 0.5 mg/ml
5 % Glukose 1982
Ændring af pH> 1 pH-enhed Uforenelig
Injektion Clindamycin phosphate 9 mg/ml
Injektion Atosiban 0,75 mg/ml
4642
Kompatibel
Injektion Clindamycin phosphate 6 mg/ml
Injektion Aztreonam 10 mg/ml
5 % Glukose 419
Kompatibel
Injektion Clindamycin phosphate 9 mg/ml
Injektion Aztreonam 20 mg/ml
5 % Glukose 432
Kompatibel
Injektion Clindamycin phosphate 60 mg/ml
Injektion Aztreonam 200 mg/ml
0,9 % Natriumklorid 644
Kompatibel
Injektion Clindamycin phosphate
Injektion Aztreonam
0,9 % Natriumklorid 3526
Kompatibel
Injektion Clindamycin phosphate 3 mg/ml
Injektion Aztreonam 10 mg/ml
5 % Glukose 419
Kompatibel
Injektion Clindamycin phosphate
Injektion Aztreonam
5 % Glukose 3526
Kompatibel
Injektion Clindamycin phosphate 24 mg/ml
Parenteral ernæring (lipid-fri) 3379
Umiddelbar nedbør Uforenelig
Injektion Clindamycin phosphate 30 mg/ml
Injektion Azithromycine 2 mg/ml
0,9 % Natriumklorid 1800
Kompatibel
Injektion Clindamycin phosphate 3 mg/ml
Parenteral ernæring (lipid-fri) 1055
Kompatibel
Injektion Clindamycin phosphate 6 mg/ml
Injektion Aztreonam 20 mg/ml
0,9 % Natriumklorid 419
Kompatibel
Injektion Clindamycin phosphate 3 mg/ml
Injektion Aztreonam 20 mg/ml
0,9 % Natriumklorid 419
Kompatibel
Injektion Clindamycin phosphate 3 mg/ml
Injektion Aztreonam 20 mg/ml
5 % Glukose 419
Kompatibel
Injektion Clindamycin phosphate 6 mg/ml
Injektion Aztreonam 20 mg/ml
5 % Glukose 419
Kompatibel
Injektion Clindamycin phosphate 10 mg/ml
Injektion Aztreonam 40 mg/ml
5 % Glukose 99
Kompatibel
Injektion Clindamycin phosphate 3 mg/ml
Injektion Aztreonam 10 mg/ml
0,9 % Natriumklorid 419
Kompatibel
Injektion Clindamycin phosphate 6 mg/ml
Injektion Aztreonam 10 mg/ml
0,9 % Natriumklorid 419
Kompatibel
Injektion Clindamycin phosphate 9 mg/ml
Injektion Aztreonam 20 mg/ml
0,9 % Natriumklorid 432
Kompatibel
Injektion Clindamycin phosphate 10 mg/ml
Injektion Bivalirudin 5 mg/ml
5 % Glukose 1713
Kompatibel
Injektion Clindamycin phosphate 150 mg/ml
Injektion Caffeine 10 mg/ml
Ingen 3964
Uspecificeret inkompatibilitet Uforenelig
Injektion Clindamycin phosphate
Injektion Calcium gluconate
3644
Uspecificeret inkompatibilitet Uforenelig
Injektion Clindamycin phosphate
Injektion Calcium gluconate
3526
Uforenelig
Injektion Clindamycin phosphate
Injektion Calcium gluconate
4964
Umiddelbar nedbør Uforenelig
Injektion Clindamycin phosphate 10 mg/ml
Injektion Caspofungin acetate 0,7 mg/ml
0,9 % Natriumklorid 2247
Umiddelbar nedbør Uforenelig
Injektion Clindamycin phosphate 60 mg/ml
Injektion Caspofungin acetate 0.5 mg/ml
0,9 % Natriumklorid 2233
Kompatibel
Injektion Clindamycin phosphate 9 mg/ml
Injektion Cefamandole nafate 10 mg/ml
5 % Glukose 418
Kompatibel
Injektion Clindamycin phosphate
Injektion Cefamandole nafate
0,9 % Natriumklorid 3526
Kompatibel
Injektion Clindamycin phosphate 9 mg/ml
Injektion Cefamandole nafate 10 mg/ml
0,9 % Natriumklorid 418
Kompatibel
Injektion Clindamycin phosphate
Injektion Cefamandole nafate
5 % Glukose 3526
Kompatibel
Injektion Clindamycin phosphate 9 mg/ml
Injektion Cefazolin sodium 10 mg/ml
0,9 % Natriumklorid 418
Kompatibel
Injektion Clindamycin phosphate
Injektion Cefazolin sodium
0,9 % Natriumklorid 3526
Kompatibel
Injektion Clindamycin phosphate 9 mg/ml
Injektion Cefazolin sodium 10 mg/ml
5 % Glukose 418
Kompatibel
Injektion Clindamycin phosphate 0,25 & 6 mg/ml
Injektion Cefepime dihydrochloride 4 & 40 mg/ml
5 % Glukose 3548
Kompatibel
Injektion Clindamycin phosphate 10 mg/ml
Injektion Cefiderocol sulfate tosylate 20 mg/mL
5 % Glukose 4528
Kompatibel
Injektion Clindamycin phosphate 12 mg/ml
Injektion Cefoperazone sodium 20 mg/ml
5 % Glukose 644
Uspecificeret inkompatibilitet Uforenelig
Injektion Clindamycin phosphate
NaHCO3 3526
Kompatibel
Injektion Clindamycin phosphate 12 mg/ml
Injektion Cefonicid sodium 10 mg/ml
0,9 % Natriumklorid 644
Kompatibel
Injektion Clindamycin phosphate 10 mg/ml
Parenteral ernæring (lipid-fri) 301
Kompatibel
Injektion Clindamycin phosphate
Injektion Cefazolin sodium
5 % Glukose 3526
Kompatibel
Injektion Clindamycin phosphate 0,25 & 6 mg/ml
Injektion Cefepime dihydrochloride 4 & 40 mg/ml
0,9 % Natriumklorid 3548
Kompatibel
Injektion Clindamycin phosphate 10 mg/ml
Injektion Cefiderocol sulfate tosylate 20 mg/mL
0,9 % Natriumklorid 4528
Kompatibel
Injektion Clindamycin phosphate 12 mg/ml
Injektion Cefonicid sodium 10 mg/ml
5 % Glukose 644
Kompatibel
Injektion Clindamycin phosphate 12 mg/ml
Injektion Cefoperazone sodium 20 mg/ml
0,9 % Natriumklorid 644
Kompatibel
Injektion Clindamycin phosphate 150 mg/ml
Parenteral ernæring (lipid-fri) 999
Kompatibel
Injektion Clindamycin phosphate
Injektion Cefotaxime sodium
5 % Glukose 3526
Kompatibel
Injektion Clindamycin phosphate 9 mg/ml
Injektion Cefotaxime sodium 20 mg/ml
5 % Glukose 421
Kompatibel
Injektion Clindamycin phosphate 9 mg/ml
Injektion Cefotaxime sodium 20 mg/ml
0,9 % Natriumklorid 421
Kompatibel
Injektion Clindamycin phosphate
Injektion Cefotaxime sodium
0,9 % Natriumklorid 3526
Kompatibel
Injektion Clindamycin phosphate
Injektion Cefoxitin sodium
0,9 % Natriumklorid 3526
Kompatibel
Injektion Clindamycin phosphate 9 mg/ml
Injektion Cefoxitin sodium 20 mg/ml
5 % Glukose 418
Kompatibel
Injektion Clindamycin phosphate 9 mg/ml
Injektion Cefoxitin sodium 20 mg/ml
0,9 % Natriumklorid 418
Kompatibel
Injektion Clindamycin phosphate
Injektion Cefoxitin sodium
5 % Glukose 3526
Kompatibel
Injektion Clindamycin phosphate 12 mg/ml
Injektion Cefpirome sulfate 50 mg/ml
0,9 % Natriumklorid 280
Kompatibel
Injektion Clindamycin phosphate 12 mg/ml
Injektion Cefpirome sulfate 50 mg/ml
0,45 % Natriumklorid 280
Kompatibel
Injektion Clindamycin phosphate 12 mg/ml
Injektion Cefpirome sulfate 50 mg/ml
5 % Glukose 280
Kompatibel
Injektion Clindamycin phosphate 12 mg/ml
Injektion Cefpirome sulfate 50 mg/ml
Ringer laktat 280
Kompatibel
Injektion Clindamycin phosphate 10 mg/ml
Injektion Ceftaroline fosamil 2,22 mg/ml
Ringer laktat 3249
Kompatibel
Injektion Clindamycin phosphate
Injektion Ceftazidime
5 % Glukose 3526
Kompatibel
Injektion Clindamycin phosphate 9 mg/ml
Injektion Ceftizoxime sodium 20 mg/ml
0,9 % Natriumklorid 418
Kompatibel
Injektion Clindamycin phosphate
Injektion Ceftizoxime sodium
5 % Glukose 3526
Kompatibel
Injektion Clindamycin phosphate 10 mg/ml
Injektion Ceftobiprole medocaril sodium 2 mg/ml
0,9 % Natriumklorid 2269
Kompatibel
Injektion Clindamycin phosphate 10 mg/ml
Injektion Ceftobiprole medocaril sodium 2 mg/ml
5 % Glukose 2269
Kompatibel
Injektion Clindamycin phosphate 10 mg/ml
Injektion Ceftobiprole medocaril sodium 2 mg/ml
Ringer laktat 2269
Kompatibel
Injektion Clindamycin phosphate 5,77 mg/ml
Parenteral ernæring (lipider) 4440
Kompatibel
Injektion Clindamycin phosphate 1.2 mg/ml
Injektion Cimetidine hydrochloride 1.2 & 5 mg/ml
5 % Glukose 1201
Kompatibel
Injektion Clindamycin phosphate 1.2 mg/ml
Injektion Cimetidine hydrochloride 1.2 & 5 mg/ml
0,9 % Natriumklorid 1201
Umiddelbar nedbør Uforenelig
Injektion Clindamycin phosphate 7 mg/ml
Injektion Ciprofloxacin lactate 1.5 mg/ml
5 % Glukose 434
Kompatibel
Injektion Clindamycin phosphate 10 mg/ml
Injektion Cisatracurium besylate 0.1 >> 5 mg/ml
5 % Glukose 299
Kompatibel
Injektion Clindamycin phosphate 150 mg/ml
Injektion Cloxacillin sodium 100 mg/ml
Vand til injektion 3012
Kompatibel
Injektion Clindamycin phosphate 10 mg/ml
Injektion Docetaxel 0.9 mg/ml
5 % Glukose 1754
Produktion af gasbobler Uforenelig
Injektion Clindamycin phosphate 10 mg/ml
Injektion Doxapram hydrochloride 2 mg/ml
5 % Glukose 1802
Kompatibel
Injektion Clindamycin phosphate 10 mg/ml
Injektion Doxorubicin hydrochloride liposome peg 0.4 mg/ml
5 % Glukose 251
Kompatibel
Injektion Clindamycin phosphate 9 mg/ml
Injektion Esmolol hydrochloride 10 mg/ml
5 % Glukose 384
Kompatibel
Injektion Clindamycin phosphate 9 mg/ml
Injektion Fentanyl citrate 50 µg/ml
5 % Glukose 63
Kompatibel
Injektion Clindamycin phosphate 10 mg/ml
Parenteral ernæring (lipider) 3967
Kompatibel
Injektion Clindamycin phosphate 10 mg/ml
Injektion Ceftaroline fosamil 2,22 mg/ml
5 % Glukose 3249
Kompatibel
Injektion Clindamycin phosphate 10 mg/ml
Injektion Ceftaroline fosamil 2,22 mg/ml
0,9 % Natriumklorid 3249
Kompatibel
Injektion Clindamycin phosphate 9 mg/ml
Injektion Ceftazidime 20 mg/ml
5 % Glukose 432
Kompatibel
Injektion Clindamycin phosphate
Injektion Ceftazidime
0,9 % Natriumklorid 3526
Kompatibel
Injektion Clindamycin phosphate 9 mg/ml
Injektion Ceftazidime 20 mg/ml
0,9 % Natriumklorid 432
Kompatibel
Injektion Clindamycin phosphate 10 mg/ml
Parenteral ernæring (lipider) 1415
Kompatibel
Injektion Clindamycin phosphate 9 mg/ml
Injektion Ceftizoxime sodium 20 mg/ml
5 % Glukose 418
Kompatibel
Injektion Clindamycin phosphate
Injektion Ceftizoxime sodium
0,9 % Natriumklorid 3526
Kemisk ustabilitet Uforenelig
Injektion Clindamycin phosphate 12 mg/ml
Injektion Ceftriaxone disodium 20 mg/ml
5 % Glukose 432
Uspecificeret inkompatibilitet Uforenelig
Injektion Clindamycin phosphate
Injektion Ceftriaxone disodium
3526
Kemisk ustabilitet Uforenelig
Injektion Clindamycin phosphate 12 mg/ml
Injektion Ceftriaxone disodium 20 mg/ml
0,9 % Natriumklorid 432
Kompatibel
Injektion Clindamycin phosphate 9 mg/ml
Injektion Cefuroxime sodium 15 mg/ml
0,9 % Natriumklorid 644
Kompatibel
Injektion Clindamycin phosphate 9 mg/ml
Injektion Cefuroxime sodium 15 mg/ml
5 % Glukose 644
Umiddelbar nedbør Uforenelig
Injektion Clindamycin phosphate 7 mg/ml
Injektion Ciprofloxacin lactate 1.5 mg/ml
0,9 % Natriumklorid 434
Uspecificeret inkompatibilitet Uforenelig
Injektion Clindamycin phosphate
Injektion Ciprofloxacin lactate
3526
Kompatibel
Injektion Clindamycin phosphate 10 mg/ml
Injektion Dexmedetomidine 4 µg/ml
0,9 % Natriumklorid 1712
Kompatibel
Injektion Clindamycin phosphate 12 & 150 mg/ml
Injektion Diltiazem hydrochloride 5 mg/ml
0,9 % Natriumklorid 198
Kompatibel
Injektion Clindamycin phosphate
Injektion Dimenhydrinate
2087
Kompatibel
Injektion Clindamycin phosphate 9 mg/ml
Injektion Enalaprilate 0.05 mg/ml
0,9 % Natriumklorid 1315
Kompatibel
Injektion Clindamycin phosphate 10 mg/ml
Injektion Etoposide phosphate 5 mg/ml
5 % Glukose 1410
Kompatibel
Injektion Clindamycin phosphate 10 mg/ml
Injektion Fenoldopam mesylate 80 µg/ml
0,9 % Natriumklorid 1803
Umiddelbar nedbør Uforenelig
Injektion Clindamycin phosphate 10 mg/ml
Injektion Filgrastim 30 µg/ml
5 % Glukose 244
Kompatibel
Injektion Clindamycin phosphate 12 mg/ml
Injektion Fluconazole 2 mg/ml
Ingen 256
Umiddelbar nedbør Uforenelig
Injektion Clindamycin phosphate 24 mg/ml
Injektion Fluconazole 2 mg/ml
0,9 % Natriumklorid 496
Kompatibel
Injektion Clindamycin phosphate 10 mg/ml
Injektion Fludarabine phosphate 1 mg/ml
5 % Glukose 492
Kompatibel
Injektion Clindamycin phosphate 12 mg/ml
Injektion Foscarnet sodium 24 mg/ml
5 % Glukose 1135
Kompatibel
Injektion Clindamycin phosphate 24 mg/ml
Injektion Foscarnet sodium 24 mg/ml
Ingen 73
Kompatibel
Injektion Clindamycin phosphate 12 mg/ml
Injektion Foscarnet sodium 24 mg/ml
0,9 % Natriumklorid 1135
Kompatibel
Injektion Clindamycin phosphate 10 mg/ml
Injektion Gemcitabine hydrochloride 10 mg/ml
0,9 % Natriumklorid 1423
Kompatibel
Injektion Clindamycin phosphate
Injektion Gentamicin sulfate
5 % Glukose 3526
Kompatibel
Injektion Clindamycin phosphate 90 mg/ml
Injektion Gentamicin sulfate 12 mg/ml
0,9 % Natriumklorid 639
Kompatibel
Injektion Clindamycin phosphate 6 mg/ml
Injektion Gentamicin sulfate 0.67 mg/ml
5 % Glukose 423
Kompatibel
Injektion Clindamycin phosphate
Injektion Gentamicin sulfate
0,9 % Natriumklorid 3526
Kompatibel
Injektion Clindamycin phosphate 10 mg/ml
Injektion Granisetron hydrochloride 0.05 mg/ml
5 % Glukose 182
Kompatibel
Injektion Clindamycin phosphate 12 mg/ml
Injektion Heparin sodium 50 UI/ml
Ingen 317
Kompatibel
Injektion Clindamycin phosphate 10 mg/ml
Injektion Hetastarch 60 mg/ml
specifikt opløsningsmiddel 1721
Kompatibel
Injektion Clindamycin phosphate 12 mg/ml
Injektion Hydromorphone hydrochloride 0.2 mg/ml
5 % Glukose 405
Uspecificeret inkompatibilitet Uforenelig
Injektion Clindamycin phosphate
Injektion Idarubicin hydrochloride
3526
Umiddelbar nedbør Uforenelig
Injektion Clindamycin phosphate 12 mg/ml
Injektion Idarubicin hydrochloride 1 mg/ml
0,9 % Natriumklorid 491
Kompatibel
Injektion Clindamycin phosphate 150 mg/ml
Injektion Ketamine hydrochloride 50 mg/ml
2109
Kompatibel
Injektion Clindamycin phosphate 9 mg/ml
Injektion Labetalol hydrochloride 1 mg/ml
5 % Glukose 386
Umiddelbar nedbør Uforenelig
Injektion Clindamycin phosphate 10 mg/ml
Injektion Lansoprazole 0.55 mg/ml
0,9 % Natriumklorid 1625
Kompatibel
Injektion Clindamycin phosphate 150 mg/ml
Injektion Levofloxacine 5 mg/ml
5 % Glukose 1072
Kompatibel
Injektion Clindamycin phosphate 10 mg/ml
Injektion Linezolid 2 mg/ml
Ingen 1925
Uspecificeret inkompatibilitet Uforenelig
Injektion Clindamycin phosphate
Injektion Magnesium chloride
5012
Uspecificeret inkompatibilitet Uforenelig
Injektion Clindamycin phosphate
Injektion Magnesium sulfate
3838
Kompatibel
Injektion Clindamycin phosphate 12 mg/ml
Injektion Magnesium sulfate 16.67 >> 100 mg/ml
5 % Glukose 1047
Uspecificeret inkompatibilitet Uforenelig
Injektion Clindamycin phosphate
Injektion Magnesium sulfate
3526
Kompatibel
Injektion Clindamycin phosphate 10 mg/ml
Injektion Melphalan 0.1 mg/ml
0,9 % Natriumklorid 169
Kompatibel
Injektion Clindamycin phosphate 150 mg/ml
Injektion Meropenem 50 mg/ml
Vand til injektion 4319
Uspecificeret inkompatibilitet Uforenelig
Injektion Clindamycin phosphate
Injektion Methohexital sodium
3526
Kompatibel
Injektion Clindamycin phosphate 10 mg/ml
Injektion Metronidazole 5 mg/ml
Ingen 1035
Kompatibel
Injektion Clindamycin phosphate
Injektion Metronidazole
3594
Kompatibel
Injektion Clindamycin phosphate 9 mg/ml
Injektion Midazolam hydrochloride 1 mg/ml
5 % Glukose 176
Kompatibel
Injektion Clindamycin phosphate 12 mg/ml
Injektion Morphine sulfate 1 mg/ml
5 % Glukose 405
Kompatibel
Injektion Clindamycin phosphate 150 mg/ml
Injektion N-acetylcysteine 200 mg/ml
Ingen 3766
Kompatibel
Injektion Clindamycin phosphate 150 mg/ml
Injektion Naloxone hydrochloride 0.4 mg/ml
Ingen 3408
Kompatibel
Injektion Clindamycin phosphate
Injektion Netilmicin sulfate
0,9 % Natriumklorid 3526
Kompatibel
Injektion Clindamycin phosphate 9 mg/ml
Injektion Netilmicin sulfate 3 mg/ml
5 % Glukose 421
Kompatibel
Injektion Clindamycin phosphate 9 mg/ml
Injektion Netilmicin sulfate 3 mg/ml
0,9 % Natriumklorid 421
Kompatibel
Injektion Clindamycin phosphate
Injektion Netilmicin sulfate
5 % Glukose 3526
Kompatibel
Injektion Clindamycin phosphate 9 mg/ml
Injektion Nicardipine hydrochloride 0.1 mg/ml
0,9 % Natriumklorid 1490
Kompatibel
Injektion Clindamycin phosphate 9 mg/ml
Injektion Nicardipine hydrochloride 0.1 mg/ml
5 % Glukose 1490
Kompatibel
Injektion Clindamycin phosphate 6 mg/ml
Injektion Ofloxacin 2 mg/ml
Ingen 889
Kompatibel
Injektion Clindamycin phosphate 10 mg/ml
Injektion Ondansetron hydrochloride 1 mg/ml
0,9 % Natriumklorid 334
Nedbør efter 1 time Uforenelig
Injektion Clindamycin phosphate 12 mg/ml
Injektion Oritavancin 0.8 >>2 mg/ml
5 % Glukose 3152
Nedbør efter 1 time Uforenelig
Injektion Clindamycin phosphate
Injektion Pantoprazole sodium
2090
Kompatibel
Injektion Clindamycin phosphate 150 mg/ml
Injektion Paracetamol 10 mg/ml
4742
Kompatibel
Injektion Clindamycin phosphate 10 mg/ml
Injektion Paracetamol 10 mg/ml
Ingen 3571
Kompatibel
Injektion Clindamycin phosphate 10 mg/ml
Injektion Pemetrexed disodium 20 mg/ml
0,9 % Natriumklorid 1953
Uspecificeret inkompatibilitet Uforenelig
Injektion Clindamycin phosphate
Injektion Pentobarbital sodium
3526
Kompatibel
Injektion Clindamycin phosphate 12 mg/ml
Injektion Pethidine hydrochloride 10 mg/ml
5 % Glukose 405
Uspecificeret inkompatibilitet Uforenelig
Injektion Clindamycin phosphate
Injektion Phenobarbital sodium
3526
Uspecificeret inkompatibilitet Uforenelig
Injektion Clindamycin phosphate
Injektion Phenytoin sodium
3526
Kompatibel
Injektion Clindamycin phosphate 18 mg/ml
Injektion Phloroglucinol 2,5 mg/ml
3791
Kompatibel
Injektion Clindamycin phosphate
Injektion Piperacillin sodium
5 % Glukose 3526
Kompatibel
Injektion Clindamycin phosphate
Injektion Piperacillin sodium
0,9 % Natriumklorid 3526
Kompatibel
Injektion Clindamycin phosphate 9 mg/ml
Injektion Piperacillin sodium 40 mg/ml
5 % Glukose 432
Kompatibel
Injektion Clindamycin phosphate 9 mg/ml
Injektion Piperacillin sodium 40 mg/ml
0,9 % Natriumklorid 432
Kompatibel
Injektion Clindamycin phosphate 10 mg/ml
Injektion Piperacillin sodium / tazobactam 40/5 mg/ml
5 % Glukose 81
Umiddelbar turbiditet Uforenelig
Injektion Clindamycin phosphate 150 mg/ml
Injektion Salbutamol sulfate 1 mg/ml
Ingen 3216
Uspecificeret inkompatibilitet Uforenelig
Injektion Clindamycin phosphate
Injektion Sodium bicarbonate
3526
Umiddelbar nedbør Uforenelig
Injektion Clindamycin phosphate 12 mg/ml
Injektion Temocilline 83.33 mg/ml
Vand til injektion 2231
Kompatibel
Injektion Clindamycin phosphate 10 mg/ml
Injektion Teniposide 0.1 mg/ml
5 % Glukose 905
Uspecificeret inkompatibilitet Uforenelig
Injektion Clindamycin phosphate
Injektion Thiopental sodium
3526
Kompatibel
Injektion Clindamycin phosphate
0,9 % Natriumklorid 3526
Kompatibel
Injektion Clindamycin phosphate 10 mg/ml
Injektion Propofol 10 mg/ml
Ingen 300
Uspecificeret inkompatibilitet Uforenelig
Injektion Clindamycin phosphate
Injektion Ranitidine hydrochloride
3526
Kompatibel
Injektion Clindamycin phosphate 10 mg/ml
Injektion Remifentanil hydrochloride 25 & 250 µg/ml
0,9 % Natriumklorid 59
Kompatibel
Injektion Clindamycin phosphate 10 mg/ml
Injektion Sargramostim 10 µg/ml
0,9 % Natriumklorid 335
Kompatibel
Injektion Clindamycin phosphate 12 mg/ml
Injektion Tacrolimus 1000 µg/ml
0,9 % Natriumklorid 479
Kompatibel
Injektion Clindamycin phosphate 12 mg/ml
Injektion Theophylline 4 mg/ml
Ingen 317
Umiddelbar nedbør Uforenelig
Injektion Clindamycin phosphate 150 mg/ml
Injektion Thiopental sodium 25 mg/ml
0,9 % Natriumklorid 3767
Kompatibel
Injektion Clindamycin phosphate 10 mg/ml
Injektion Thiotepa 1 mg/ml
5 % Glukose 249
Kompatibel
Injektion Clindamycin phosphate
Injektion Tobramycin sulfate
0,9 % Natriumklorid 3526
Umiddelbar nedbør Uforenelig
Injektion Clindamycin phosphate 90 mg/ml
Injektion Tobramycin sulfate 12 mg/ml
0,9 % Natriumklorid 639
Kompatibel
Injektion Clindamycin phosphate
Injektion Tobramycin sulfate
5 % Glukose 3526
Nedbør efter 2 timer Uforenelig
Injektion Clindamycin phosphate 6 mg/ml
Injektion Tramadol hydrochloride 0,4 mg/ml
0,9 % Natriumklorid 2002
Kompatibel
Injektion Clindamycin phosphate 1.2 mg/ml
Injektion Verapamil hydrochloride 0.08 mg/ml
0,9 % Natriumklorid 1057
Kompatibel
Injektion Clindamycin phosphate 1.2 mg/ml
Injektion Verapamil hydrochloride 0.08 mg/ml
5 % Glukose 1057
Kompatibel
Injektion Clindamycin phosphate 10 mg/ml
Injektion Vinorelbine tartrate 1 mg/ml
0,9 % Natriumklorid 84
Kompatibel
Injektion Clindamycin phosphate 12 mg/ml
Injektion Zidovudine 4 mg/ml
5 % Glukose 337

  Mentions Légales