Τελευταία ενημέρωση :
27/04/2026
Αντιβιοτικό   Clindamycin phosphate  
Ενέσιμο
Σταθερότητα διαλυμάτων Σταθερότητα σε μίγματα Παράγοντας που επηρεάζει τη σταθερότητα Συμβατότητες Τρόπος χορήγησης Βιβλιογραφία pdf
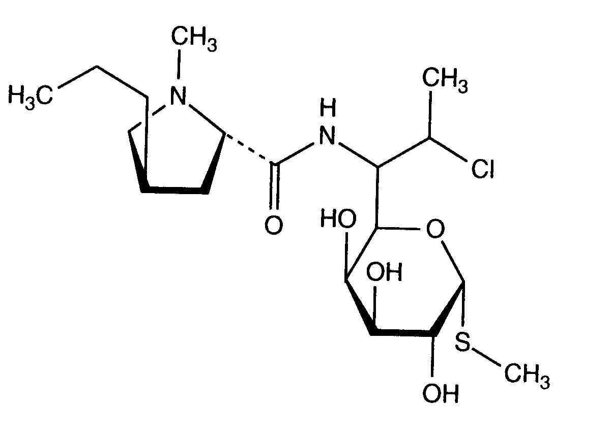
   χημική δομή  

Εμπορική ονομασία   Εμπορική ονομασία     

Οι εμπορικές ονομασίες είναι ενδεικτικές και η σύνθεση των εκδόχων μπορεί να διαφέρει ανάλογα με τη χώρα και τα εργαστήρια

Biodaclin Μεξικό
Camyda Ινδία
Cinbiot Μεξικό
Cleocin Αυστρία, Η.Π.Α., Τουρκία
Clinamsa Μεξικό
Clinbac Κολομβία, Περού
Clincina Πορτογαλία
Clinda-Saar Γερμανία
Clindacid Βενεζουέλα
Clindacin Μαλαισία
Clindalaf Αργεντινή
Clindamicina Αργεντινή, Βενεζουέλα, Βραζιλία, Εκουαδόρ, Ισπανία, Ιταλία, Κολομβία, Μεξικό, Περού, Πορτογαλία, Χιλή
Clindamycin Αυστρία, Γερμανία, Η.Π.Α., Ιράν, Καναδάς, Νορβηγία, Ρουμανία, Σαουδική Αραβία, Σουηδία
Clindamycin-Hameln Γερμανία
Clindamycine Βέλγιο, Γαλλία, Ολλανδία, Τυνησία
Clindanovag Αργεντινή
Clindarix Βραζιλία
Clindasol Γερμανία
Clindaval Βενεζουέλα
Clindazyn Μεξικό
Clindo Πολωνία
Clysvic Μεξικό
Daclin Χιλή
Dalacin Yhdistyneet arabiemiirikunnat, Αίγυπτος, Αυστραλία, Βέλγιο, Βενεζουέλα, Δανία, Εκουαδόρ, Ελβετία, Ελλάδα, Ινδία, Ιράν, Ιρλανδία, Ισλανδία, Ιταλία, Καναδάς, Κολομβία, Λουξεμβούργο, Μαλαισία, Μεγάλη Βρετανία, Μεξικό, νέα Ζηλανδία, Νορβηγία, Ολλανδία, Ουγγαρία, Πολωνία, Σαουδική Αραβία, Σουηδία, Τυνησία, Φινλανδία, Χιλή
Dalacine Γαλλία, Τυνησία
Daladic Ιράν
Dalcinex Ινδία
Damclid Ινδία
Damicin Κολομβία, Μεξικό
Damicine Κολομβία
Dolarclin Κολομβία
Euroclin Εκουαδόρ, Κολομβία
Gynasafe Ινδία
Indamid Μεξικό
Klimicin Πολωνία
Klindan Τουρκία
Klindaver Τουρκία
Lanacine Αυστρία
Lincocin Μαλαισία
Lincosa Μαλαισία
Meneklin Τουρκία
Sobelin Γερμανία
Tidact Μαλαισία
Συμβατότητες    Ενέσιμο   Συμβατότητες : Clindamycin phosphate              
Σε αυτή την οθόνη εμφανίζονται οι συμβατότητες ή ασυμβατότητες. Σε αυτή την περίπτωση εμφανίζονται το είδος της ασυμβατότητας (ίζημα, αλλαγή χρώματος, μεταβολή γαλακτώματος, κλπ). Οι συμβατότητες που παρουσιάζονται εδώ είναι κυρίως φυσικές, ενώ η χημική σταθερότητα κάθε μορίου σπάνια περιλαμβάνεται. Η αξιολόγηση αυτών των μιγμάτων μελετήθηκε προκειμένου να εκτιμηθεί η πιθανότητα χορήγησης στον ασθενή στο Υ κέντρο. Τα δεδομένα αυτά δεν μπορούν να χρησιμοποιηθούν για την εκ των προτέρων δημιουργία μιγμάτων σε ασκούς ή σύριγγες. Αυτό το είδος πληροφορίας υπάρχει και μπορεί να αναζητηθεί στην οθόνη «Σταθερότητα σε μίγμα».
Συστατικό Διαλυτικό Βιβλιογραφία
Σύμφωνος
Ενέσιμο Clindamycin phosphate 12 mg/ml
Ενέσιμο Aciclovir sodium 5 mg/ml
Γλυκόζη 5% 336
Άμεση βροχόπτωση Ασύμβατες
Ενέσιμο Clindamycin phosphate 10 mg/ml
Ενέσιμο Allopurinol sodium 3 mg/ml
Χλωριούχο νάτριο 0,9% 307
Σύμφωνος
Ενέσιμο Clindamycin phosphate 10 mg/ml
Ενέσιμο Amifostine 10 mg/ml
Γλυκόζη 5% 3
Σύμφωνος
Ενέσιμο Clindamycin phosphate
Ενέσιμο Amikacin sulfate
Χλωριούχο νάτριο 0,9% 3526
Σύμφωνος
Ενέσιμο Clindamycin phosphate 9 mg/ml
Ενέσιμο Amikacin sulfate 4 mg/ml
Χλωριούχο νάτριο 0,9% 565
Σύμφωνος
Ενέσιμο Clindamycin phosphate 9 mg/ml
Ενέσιμο Amikacin sulfate 4 mg/ml
Γλυκόζη 5% 565
Σύμφωνος
Ενέσιμο Clindamycin phosphate
Ενέσιμο Amikacin sulfate
Γλυκόζη 5% 3526
Σύμφωνος
Ενέσιμο Clindamycin phosphate 90 mg/ml
Ενέσιμο Amikacin sulfate 75 mg/ml
Χλωριούχο νάτριο 0,9% 639
Απροσδιόριστη ασυμβατότητα Ασύμβατες
Ενέσιμο Clindamycin phosphate
Ενέσιμο Aminophylline
3526
Σύμφωνος
Ενέσιμο Clindamycin phosphate 6 mg/ml
Ενέσιμο Amiodarone hydrochloride 4 mg/ml
Χλωριούχο νάτριο 0,9% 385
Σύμφωνος
Ενέσιμο Clindamycin phosphate 6 mg/ml
Ενέσιμο Amiodarone hydrochloride 4 mg/ml
Γλυκόζη 5% 385
Мътност за един час Ασύμβατες
Ενέσιμο Clindamycin phosphate 150 mg/ml
Ενέσιμο Amoxicillin sodium / clavulanic acid 100/10 mg/ml
3824
Σύμφωνος
Ενέσιμο Clindamycin phosphate 10 mg/ml
Ενέσιμο Amphotericin B cholesteryl sulfate complex 0.83 mg/ml
Γλυκόζη 5% 921
Απροσδιόριστη ασυμβατότητα Ασύμβατες
Ενέσιμο Clindamycin phosphate
Ενέσιμο Ampicillin sodium
3526
Σύμφωνος
Ενέσιμο Clindamycin phosphate
Γλυκόζη 5% 3526
Απροσδιόριστη ασυμβατότητα Ασύμβατες
Ενέσιμο Clindamycin phosphate
Ενέσιμο Amobarbital sodium
3526
Σύμφωνος
Ενέσιμο Clindamycin phosphate 10 mg/ml
Ενέσιμο Amsacrine 1 mg/ml
Γλυκόζη 5% 253
Σύμφωνος
Ενέσιμο Clindamycin phosphate 10 mg/ml
Ενέσιμο Anidulafungin 0.5 mg/ml
Γλυκόζη 5% 1982
Τροποποίηση pH> 1 μονάδα pH Ασύμβατες
Ενέσιμο Clindamycin phosphate 9 mg/ml
Ενέσιμο Atosiban 0,75 mg/ml
4642
Σύμφωνος
Ενέσιμο Clindamycin phosphate 6 mg/ml
Ενέσιμο Aztreonam 10 mg/ml
Γλυκόζη 5% 419
Σύμφωνος
Ενέσιμο Clindamycin phosphate 9 mg/ml
Ενέσιμο Aztreonam 20 mg/ml
Γλυκόζη 5% 432
Σύμφωνος
Ενέσιμο Clindamycin phosphate 60 mg/ml
Ενέσιμο Aztreonam 200 mg/ml
Χλωριούχο νάτριο 0,9% 644
Σύμφωνος
Ενέσιμο Clindamycin phosphate
Ενέσιμο Aztreonam
Χλωριούχο νάτριο 0,9% 3526
Σύμφωνος
Ενέσιμο Clindamycin phosphate 3 mg/ml
Ενέσιμο Aztreonam 10 mg/ml
Γλυκόζη 5% 419
Σύμφωνος
Ενέσιμο Clindamycin phosphate
Ενέσιμο Aztreonam
Γλυκόζη 5% 3526
Σύμφωνος
Ενέσιμο Clindamycin phosphate 24 mg/ml
Παρεντερική  θρέψη (ελεύθερο λιπιδίων) 3379
Άμεση βροχόπτωση Ασύμβατες
Ενέσιμο Clindamycin phosphate 30 mg/ml
Ενέσιμο Azithromycine 2 mg/ml
Χλωριούχο νάτριο 0,9% 1800
Σύμφωνος
Ενέσιμο Clindamycin phosphate 3 mg/ml
Παρεντερική  θρέψη (ελεύθερο λιπιδίων) 1055
Σύμφωνος
Ενέσιμο Clindamycin phosphate 6 mg/ml
Ενέσιμο Aztreonam 20 mg/ml
Χλωριούχο νάτριο 0,9% 419
Σύμφωνος
Ενέσιμο Clindamycin phosphate 3 mg/ml
Ενέσιμο Aztreonam 20 mg/ml
Χλωριούχο νάτριο 0,9% 419
Σύμφωνος
Ενέσιμο Clindamycin phosphate 3 mg/ml
Ενέσιμο Aztreonam 20 mg/ml
Γλυκόζη 5% 419
Σύμφωνος
Ενέσιμο Clindamycin phosphate 6 mg/ml
Ενέσιμο Aztreonam 20 mg/ml
Γλυκόζη 5% 419
Σύμφωνος
Ενέσιμο Clindamycin phosphate 10 mg/ml
Ενέσιμο Aztreonam 40 mg/ml
Γλυκόζη 5% 99
Σύμφωνος
Ενέσιμο Clindamycin phosphate 3 mg/ml
Ενέσιμο Aztreonam 10 mg/ml
Χλωριούχο νάτριο 0,9% 419
Σύμφωνος
Ενέσιμο Clindamycin phosphate 6 mg/ml
Ενέσιμο Aztreonam 10 mg/ml
Χλωριούχο νάτριο 0,9% 419
Σύμφωνος
Ενέσιμο Clindamycin phosphate 9 mg/ml
Ενέσιμο Aztreonam 20 mg/ml
Χλωριούχο νάτριο 0,9% 432
Σύμφωνος
Ενέσιμο Clindamycin phosphate 10 mg/ml
Ενέσιμο Bivalirudin 5 mg/ml
Γλυκόζη 5% 1713
Σύμφωνος
Ενέσιμο Clindamycin phosphate 150 mg/ml
Ενέσιμο Caffeine 10 mg/ml
Ουδέν 3964
Απροσδιόριστη ασυμβατότητα Ασύμβατες
Ενέσιμο Clindamycin phosphate
Ενέσιμο Calcium gluconate
3644
Απροσδιόριστη ασυμβατότητα Ασύμβατες
Ενέσιμο Clindamycin phosphate
Ενέσιμο Calcium gluconate
3526
Ασύμβατες
Ενέσιμο Clindamycin phosphate
Ενέσιμο Calcium gluconate
4964
Άμεση βροχόπτωση Ασύμβατες
Ενέσιμο Clindamycin phosphate 10 mg/ml
Ενέσιμο Caspofungin acetate 0,7 mg/ml
Χλωριούχο νάτριο 0,9% 2247
Άμεση βροχόπτωση Ασύμβατες
Ενέσιμο Clindamycin phosphate 60 mg/ml
Ενέσιμο Caspofungin acetate 0.5 mg/ml
Χλωριούχο νάτριο 0,9% 2233
Σύμφωνος
Ενέσιμο Clindamycin phosphate 9 mg/ml
Ενέσιμο Cefamandole nafate 10 mg/ml
Γλυκόζη 5% 418
Σύμφωνος
Ενέσιμο Clindamycin phosphate
Ενέσιμο Cefamandole nafate
Χλωριούχο νάτριο 0,9% 3526
Σύμφωνος
Ενέσιμο Clindamycin phosphate 9 mg/ml
Ενέσιμο Cefamandole nafate 10 mg/ml
Χλωριούχο νάτριο 0,9% 418
Σύμφωνος
Ενέσιμο Clindamycin phosphate
Ενέσιμο Cefamandole nafate
Γλυκόζη 5% 3526
Σύμφωνος
Ενέσιμο Clindamycin phosphate 9 mg/ml
Ενέσιμο Cefazolin sodium 10 mg/ml
Χλωριούχο νάτριο 0,9% 418
Σύμφωνος
Ενέσιμο Clindamycin phosphate
Ενέσιμο Cefazolin sodium
Χλωριούχο νάτριο 0,9% 3526
Σύμφωνος
Ενέσιμο Clindamycin phosphate 9 mg/ml
Ενέσιμο Cefazolin sodium 10 mg/ml
Γλυκόζη 5% 418
Σύμφωνος
Ενέσιμο Clindamycin phosphate 0,25 & 6 mg/ml
Ενέσιμο Cefepime dihydrochloride 4 & 40 mg/ml
Γλυκόζη 5% 3548
Σύμφωνος
Ενέσιμο Clindamycin phosphate 10 mg/ml
Ενέσιμο Cefiderocol sulfate tosylate 20 mg/mL
Γλυκόζη 5% 4528
Σύμφωνος
Ενέσιμο Clindamycin phosphate 12 mg/ml
Ενέσιμο Cefoperazone sodium 20 mg/ml
Γλυκόζη 5% 644
Απροσδιόριστη ασυμβατότητα Ασύμβατες
Ενέσιμο Clindamycin phosphate
NaHCO3 3526
Σύμφωνος
Ενέσιμο Clindamycin phosphate 12 mg/ml
Ενέσιμο Cefonicid sodium 10 mg/ml
Χλωριούχο νάτριο 0,9% 644
Σύμφωνος
Ενέσιμο Clindamycin phosphate 10 mg/ml
Παρεντερική  θρέψη (ελεύθερο λιπιδίων) 301
Σύμφωνος
Ενέσιμο Clindamycin phosphate
Ενέσιμο Cefazolin sodium
Γλυκόζη 5% 3526
Σύμφωνος
Ενέσιμο Clindamycin phosphate 0,25 & 6 mg/ml
Ενέσιμο Cefepime dihydrochloride 4 & 40 mg/ml
Χλωριούχο νάτριο 0,9% 3548
Σύμφωνος
Ενέσιμο Clindamycin phosphate 10 mg/ml
Ενέσιμο Cefiderocol sulfate tosylate 20 mg/mL
Χλωριούχο νάτριο 0,9% 4528
Σύμφωνος
Ενέσιμο Clindamycin phosphate 12 mg/ml
Ενέσιμο Cefonicid sodium 10 mg/ml
Γλυκόζη 5% 644
Σύμφωνος
Ενέσιμο Clindamycin phosphate 12 mg/ml
Ενέσιμο Cefoperazone sodium 20 mg/ml
Χλωριούχο νάτριο 0,9% 644
Σύμφωνος
Ενέσιμο Clindamycin phosphate 150 mg/ml
Παρεντερική  θρέψη (ελεύθερο λιπιδίων) 999
Σύμφωνος
Ενέσιμο Clindamycin phosphate
Ενέσιμο Cefotaxime sodium
Γλυκόζη 5% 3526
Σύμφωνος
Ενέσιμο Clindamycin phosphate 9 mg/ml
Ενέσιμο Cefotaxime sodium 20 mg/ml
Γλυκόζη 5% 421
Σύμφωνος
Ενέσιμο Clindamycin phosphate 9 mg/ml
Ενέσιμο Cefotaxime sodium 20 mg/ml
Χλωριούχο νάτριο 0,9% 421
Σύμφωνος
Ενέσιμο Clindamycin phosphate
Ενέσιμο Cefotaxime sodium
Χλωριούχο νάτριο 0,9% 3526
Σύμφωνος
Ενέσιμο Clindamycin phosphate
Ενέσιμο Cefoxitin sodium
Χλωριούχο νάτριο 0,9% 3526
Σύμφωνος
Ενέσιμο Clindamycin phosphate 9 mg/ml
Ενέσιμο Cefoxitin sodium 20 mg/ml
Γλυκόζη 5% 418
Σύμφωνος
Ενέσιμο Clindamycin phosphate 9 mg/ml
Ενέσιμο Cefoxitin sodium 20 mg/ml
Χλωριούχο νάτριο 0,9% 418
Σύμφωνος
Ενέσιμο Clindamycin phosphate
Ενέσιμο Cefoxitin sodium
Γλυκόζη 5% 3526
Σύμφωνος
Ενέσιμο Clindamycin phosphate 12 mg/ml
Ενέσιμο Cefpirome sulfate 50 mg/ml
Χλωριούχο νάτριο 0,9% 280
Σύμφωνος
Ενέσιμο Clindamycin phosphate 12 mg/ml
Ενέσιμο Cefpirome sulfate 50 mg/ml
Χλωριούχο νάτριο 0,45% 280
Σύμφωνος
Ενέσιμο Clindamycin phosphate 12 mg/ml
Ενέσιμο Cefpirome sulfate 50 mg/ml
Γλυκόζη 5% 280
Σύμφωνος
Ενέσιμο Clindamycin phosphate 12 mg/ml
Ενέσιμο Cefpirome sulfate 50 mg/ml
Γαλακτικό διάλυμα Ringer 280
Σύμφωνος
Ενέσιμο Clindamycin phosphate 10 mg/ml
Ενέσιμο Ceftaroline fosamil 2,22 mg/ml
Γαλακτικό διάλυμα Ringer 3249
Σύμφωνος
Ενέσιμο Clindamycin phosphate
Ενέσιμο Ceftazidime
Γλυκόζη 5% 3526
Σύμφωνος
Ενέσιμο Clindamycin phosphate 9 mg/ml
Ενέσιμο Ceftizoxime sodium 20 mg/ml
Χλωριούχο νάτριο 0,9% 418
Σύμφωνος
Ενέσιμο Clindamycin phosphate
Ενέσιμο Ceftizoxime sodium
Γλυκόζη 5% 3526
Σύμφωνος
Ενέσιμο Clindamycin phosphate 10 mg/ml
Ενέσιμο Ceftobiprole medocaril sodium 2 mg/ml
Χλωριούχο νάτριο 0,9% 2269
Σύμφωνος
Ενέσιμο Clindamycin phosphate 10 mg/ml
Ενέσιμο Ceftobiprole medocaril sodium 2 mg/ml
Γλυκόζη 5% 2269
Σύμφωνος
Ενέσιμο Clindamycin phosphate 10 mg/ml
Ενέσιμο Ceftobiprole medocaril sodium 2 mg/ml
Γαλακτικό διάλυμα Ringer 2269
Σύμφωνος
Ενέσιμο Clindamycin phosphate 5,77 mg/ml
Παρεντερική διατροφή (με λιπίδια) 4440
Σύμφωνος
Ενέσιμο Clindamycin phosphate 1.2 mg/ml
Ενέσιμο Cimetidine hydrochloride 1.2 & 5 mg/ml
Γλυκόζη 5% 1201
Σύμφωνος
Ενέσιμο Clindamycin phosphate 1.2 mg/ml
Ενέσιμο Cimetidine hydrochloride 1.2 & 5 mg/ml
Χλωριούχο νάτριο 0,9% 1201
Άμεση βροχόπτωση Ασύμβατες
Ενέσιμο Clindamycin phosphate 7 mg/ml
Ενέσιμο Ciprofloxacin lactate 1.5 mg/ml
Γλυκόζη 5% 434
Σύμφωνος
Ενέσιμο Clindamycin phosphate 10 mg/ml
Ενέσιμο Cisatracurium besylate 0.1 >> 5 mg/ml
Γλυκόζη 5% 299
Σύμφωνος
Ενέσιμο Clindamycin phosphate 150 mg/ml
Ενέσιμο Cloxacillin sodium 100 mg/ml
Ενέσιμο ύδωρ 3012
Σύμφωνος
Ενέσιμο Clindamycin phosphate 10 mg/ml
Ενέσιμο Docetaxel 0.9 mg/ml
Γλυκόζη 5% 1754
Παραγωγή φυσαλίδων αερίου Ασύμβατες
Ενέσιμο Clindamycin phosphate 10 mg/ml
Ενέσιμο Doxapram hydrochloride 2 mg/ml
Γλυκόζη 5% 1802
Σύμφωνος
Ενέσιμο Clindamycin phosphate 10 mg/ml
Ενέσιμο Doxorubicin hydrochloride liposome peg 0.4 mg/ml
Γλυκόζη 5% 251
Σύμφωνος
Ενέσιμο Clindamycin phosphate 9 mg/ml
Ενέσιμο Esmolol hydrochloride 10 mg/ml
Γλυκόζη 5% 384
Σύμφωνος
Ενέσιμο Clindamycin phosphate 9 mg/ml
Ενέσιμο Fentanyl citrate 50 µg/ml
Γλυκόζη 5% 63
Σύμφωνος
Ενέσιμο Clindamycin phosphate 10 mg/ml
Παρεντερική διατροφή (με λιπίδια) 3967
Σύμφωνος
Ενέσιμο Clindamycin phosphate 10 mg/ml
Ενέσιμο Ceftaroline fosamil 2,22 mg/ml
Γλυκόζη 5% 3249
Σύμφωνος
Ενέσιμο Clindamycin phosphate 10 mg/ml
Ενέσιμο Ceftaroline fosamil 2,22 mg/ml
Χλωριούχο νάτριο 0,9% 3249
Σύμφωνος
Ενέσιμο Clindamycin phosphate 9 mg/ml
Ενέσιμο Ceftazidime 20 mg/ml
Γλυκόζη 5% 432
Σύμφωνος
Ενέσιμο Clindamycin phosphate
Ενέσιμο Ceftazidime
Χλωριούχο νάτριο 0,9% 3526
Σύμφωνος
Ενέσιμο Clindamycin phosphate 9 mg/ml
Ενέσιμο Ceftazidime 20 mg/ml
Χλωριούχο νάτριο 0,9% 432
Σύμφωνος
Ενέσιμο Clindamycin phosphate 10 mg/ml
Παρεντερική διατροφή (με λιπίδια) 1415
Σύμφωνος
Ενέσιμο Clindamycin phosphate 9 mg/ml
Ενέσιμο Ceftizoxime sodium 20 mg/ml
Γλυκόζη 5% 418
Σύμφωνος
Ενέσιμο Clindamycin phosphate
Ενέσιμο Ceftizoxime sodium
Χλωριούχο νάτριο 0,9% 3526
Χημική αστάθεια Ασύμβατες
Ενέσιμο Clindamycin phosphate 12 mg/ml
Ενέσιμο Ceftriaxone disodium 20 mg/ml
Γλυκόζη 5% 432
Απροσδιόριστη ασυμβατότητα Ασύμβατες
Ενέσιμο Clindamycin phosphate
Ενέσιμο Ceftriaxone disodium
3526
Χημική αστάθεια Ασύμβατες
Ενέσιμο Clindamycin phosphate 12 mg/ml
Ενέσιμο Ceftriaxone disodium 20 mg/ml
Χλωριούχο νάτριο 0,9% 432
Σύμφωνος
Ενέσιμο Clindamycin phosphate 9 mg/ml
Ενέσιμο Cefuroxime sodium 15 mg/ml
Χλωριούχο νάτριο 0,9% 644
Σύμφωνος
Ενέσιμο Clindamycin phosphate 9 mg/ml
Ενέσιμο Cefuroxime sodium 15 mg/ml
Γλυκόζη 5% 644
Άμεση βροχόπτωση Ασύμβατες
Ενέσιμο Clindamycin phosphate 7 mg/ml
Ενέσιμο Ciprofloxacin lactate 1.5 mg/ml
Χλωριούχο νάτριο 0,9% 434
Απροσδιόριστη ασυμβατότητα Ασύμβατες
Ενέσιμο Clindamycin phosphate
Ενέσιμο Ciprofloxacin lactate
3526
Σύμφωνος
Ενέσιμο Clindamycin phosphate 10 mg/ml
Ενέσιμο Dexmedetomidine 4 µg/ml
Χλωριούχο νάτριο 0,9% 1712
Σύμφωνος
Ενέσιμο Clindamycin phosphate 12 & 150 mg/ml
Ενέσιμο Diltiazem hydrochloride 5 mg/ml
Χλωριούχο νάτριο 0,9% 198
Σύμφωνος
Ενέσιμο Clindamycin phosphate
Ενέσιμο Dimenhydrinate
2087
Σύμφωνος
Ενέσιμο Clindamycin phosphate 9 mg/ml
Ενέσιμο Enalaprilate 0.05 mg/ml
Χλωριούχο νάτριο 0,9% 1315
Σύμφωνος
Ενέσιμο Clindamycin phosphate 10 mg/ml
Ενέσιμο Etoposide phosphate 5 mg/ml
Γλυκόζη 5% 1410
Σύμφωνος
Ενέσιμο Clindamycin phosphate 10 mg/ml
Ενέσιμο Fenoldopam mesylate 80 µg/ml
Χλωριούχο νάτριο 0,9% 1803
Άμεση βροχόπτωση Ασύμβατες
Ενέσιμο Clindamycin phosphate 10 mg/ml
Ενέσιμο Filgrastim 30 µg/ml
Γλυκόζη 5% 244
Σύμφωνος
Ενέσιμο Clindamycin phosphate 12 mg/ml
Ενέσιμο Fluconazole 2 mg/ml
Ουδέν 256
Άμεση βροχόπτωση Ασύμβατες
Ενέσιμο Clindamycin phosphate 24 mg/ml
Ενέσιμο Fluconazole 2 mg/ml
Χλωριούχο νάτριο 0,9% 496
Σύμφωνος
Ενέσιμο Clindamycin phosphate 10 mg/ml
Ενέσιμο Fludarabine phosphate 1 mg/ml
Γλυκόζη 5% 492
Σύμφωνος
Ενέσιμο Clindamycin phosphate 12 mg/ml
Ενέσιμο Foscarnet sodium 24 mg/ml
Γλυκόζη 5% 1135
Σύμφωνος
Ενέσιμο Clindamycin phosphate 24 mg/ml
Ενέσιμο Foscarnet sodium 24 mg/ml
Ουδέν 73
Σύμφωνος
Ενέσιμο Clindamycin phosphate 12 mg/ml
Ενέσιμο Foscarnet sodium 24 mg/ml
Χλωριούχο νάτριο 0,9% 1135
Σύμφωνος
Ενέσιμο Clindamycin phosphate 10 mg/ml
Ενέσιμο Gemcitabine hydrochloride 10 mg/ml
Χλωριούχο νάτριο 0,9% 1423
Σύμφωνος
Ενέσιμο Clindamycin phosphate
Ενέσιμο Gentamicin sulfate
Γλυκόζη 5% 3526
Σύμφωνος
Ενέσιμο Clindamycin phosphate 90 mg/ml
Ενέσιμο Gentamicin sulfate 12 mg/ml
Χλωριούχο νάτριο 0,9% 639
Σύμφωνος
Ενέσιμο Clindamycin phosphate 6 mg/ml
Ενέσιμο Gentamicin sulfate 0.67 mg/ml
Γλυκόζη 5% 423
Σύμφωνος
Ενέσιμο Clindamycin phosphate
Ενέσιμο Gentamicin sulfate
Χλωριούχο νάτριο 0,9% 3526
Σύμφωνος
Ενέσιμο Clindamycin phosphate 10 mg/ml
Ενέσιμο Granisetron hydrochloride 0.05 mg/ml
Γλυκόζη 5% 182
Σύμφωνος
Ενέσιμο Clindamycin phosphate 12 mg/ml
Ενέσιμο Heparin sodium 50 UI/ml
Ουδέν 317
Σύμφωνος
Ενέσιμο Clindamycin phosphate 10 mg/ml
Ενέσιμο Hetastarch 60 mg/ml
Ειδικά διαλύτη 1721
Σύμφωνος
Ενέσιμο Clindamycin phosphate 12 mg/ml
Ενέσιμο Hydromorphone hydrochloride 0.2 mg/ml
Γλυκόζη 5% 405
Απροσδιόριστη ασυμβατότητα Ασύμβατες
Ενέσιμο Clindamycin phosphate
Ενέσιμο Idarubicin hydrochloride
3526
Άμεση βροχόπτωση Ασύμβατες
Ενέσιμο Clindamycin phosphate 12 mg/ml
Ενέσιμο Idarubicin hydrochloride 1 mg/ml
Χλωριούχο νάτριο 0,9% 491
Σύμφωνος
Ενέσιμο Clindamycin phosphate 150 mg/ml
Ενέσιμο Ketamine hydrochloride 50 mg/ml
2109
Σύμφωνος
Ενέσιμο Clindamycin phosphate 9 mg/ml
Ενέσιμο Labetalol hydrochloride 1 mg/ml
Γλυκόζη 5% 386
Άμεση βροχόπτωση Ασύμβατες
Ενέσιμο Clindamycin phosphate 10 mg/ml
Ενέσιμο Lansoprazole 0.55 mg/ml
Χλωριούχο νάτριο 0,9% 1625
Σύμφωνος
Ενέσιμο Clindamycin phosphate 150 mg/ml
Ενέσιμο Levofloxacine 5 mg/ml
Γλυκόζη 5% 1072
Σύμφωνος
Ενέσιμο Clindamycin phosphate 10 mg/ml
Ενέσιμο Linezolid 2 mg/ml
Ουδέν 1925
Απροσδιόριστη ασυμβατότητα Ασύμβατες
Ενέσιμο Clindamycin phosphate
Ενέσιμο Magnesium chloride
5012
Απροσδιόριστη ασυμβατότητα Ασύμβατες
Ενέσιμο Clindamycin phosphate
Ενέσιμο Magnesium sulfate
3838
Σύμφωνος
Ενέσιμο Clindamycin phosphate 12 mg/ml
Ενέσιμο Magnesium sulfate 16.67 >> 100 mg/ml
Γλυκόζη 5% 1047
Απροσδιόριστη ασυμβατότητα Ασύμβατες
Ενέσιμο Clindamycin phosphate
Ενέσιμο Magnesium sulfate
3526
Σύμφωνος
Ενέσιμο Clindamycin phosphate 10 mg/ml
Ενέσιμο Melphalan 0.1 mg/ml
Χλωριούχο νάτριο 0,9% 169
Σύμφωνος
Ενέσιμο Clindamycin phosphate 150 mg/ml
Ενέσιμο Meropenem 50 mg/ml
Ενέσιμο ύδωρ 4319
Απροσδιόριστη ασυμβατότητα Ασύμβατες
Ενέσιμο Clindamycin phosphate
Ενέσιμο Methohexital sodium
3526
Σύμφωνος
Ενέσιμο Clindamycin phosphate 10 mg/ml
Ενέσιμο Metronidazole 5 mg/ml
Ουδέν 1035
Σύμφωνος
Ενέσιμο Clindamycin phosphate
Ενέσιμο Metronidazole
3594
Σύμφωνος
Ενέσιμο Clindamycin phosphate 9 mg/ml
Ενέσιμο Midazolam hydrochloride 1 mg/ml
Γλυκόζη 5% 176
Σύμφωνος
Ενέσιμο Clindamycin phosphate 12 mg/ml
Ενέσιμο Morphine sulfate 1 mg/ml
Γλυκόζη 5% 405
Σύμφωνος
Ενέσιμο Clindamycin phosphate 150 mg/ml
Ενέσιμο N-acetylcysteine 200 mg/ml
Ουδέν 3766
Σύμφωνος
Ενέσιμο Clindamycin phosphate 150 mg/ml
Ενέσιμο Naloxone hydrochloride 0.4 mg/ml
Ουδέν 3408
Σύμφωνος
Ενέσιμο Clindamycin phosphate
Ενέσιμο Netilmicin sulfate
Χλωριούχο νάτριο 0,9% 3526
Σύμφωνος
Ενέσιμο Clindamycin phosphate 9 mg/ml
Ενέσιμο Netilmicin sulfate 3 mg/ml
Γλυκόζη 5% 421
Σύμφωνος
Ενέσιμο Clindamycin phosphate 9 mg/ml
Ενέσιμο Netilmicin sulfate 3 mg/ml
Χλωριούχο νάτριο 0,9% 421
Σύμφωνος
Ενέσιμο Clindamycin phosphate
Ενέσιμο Netilmicin sulfate
Γλυκόζη 5% 3526
Σύμφωνος
Ενέσιμο Clindamycin phosphate 9 mg/ml
Ενέσιμο Nicardipine hydrochloride 0.1 mg/ml
Χλωριούχο νάτριο 0,9% 1490
Σύμφωνος
Ενέσιμο Clindamycin phosphate 9 mg/ml
Ενέσιμο Nicardipine hydrochloride 0.1 mg/ml
Γλυκόζη 5% 1490
Σύμφωνος
Ενέσιμο Clindamycin phosphate 6 mg/ml
Ενέσιμο Ofloxacin 2 mg/ml
Ουδέν 889
Σύμφωνος
Ενέσιμο Clindamycin phosphate 10 mg/ml
Ενέσιμο Ondansetron hydrochloride 1 mg/ml
Χλωριούχο νάτριο 0,9% 334
Καταβύθιση μετά από 1 ώρα Ασύμβατες
Ενέσιμο Clindamycin phosphate 12 mg/ml
Ενέσιμο Oritavancin 0.8 >>2 mg/ml
Γλυκόζη 5% 3152
Καταβύθιση μετά από 1 ώρα Ασύμβατες
Ενέσιμο Clindamycin phosphate
Ενέσιμο Pantoprazole sodium
2090
Σύμφωνος
Ενέσιμο Clindamycin phosphate 150 mg/ml
Ενέσιμο Paracetamol 10 mg/ml
4742
Σύμφωνος
Ενέσιμο Clindamycin phosphate 10 mg/ml
Ενέσιμο Paracetamol 10 mg/ml
Ουδέν 3571
Σύμφωνος
Ενέσιμο Clindamycin phosphate 10 mg/ml
Ενέσιμο Pemetrexed disodium 20 mg/ml
Χλωριούχο νάτριο 0,9% 1953
Απροσδιόριστη ασυμβατότητα Ασύμβατες
Ενέσιμο Clindamycin phosphate
Ενέσιμο Pentobarbital sodium
3526
Σύμφωνος
Ενέσιμο Clindamycin phosphate 12 mg/ml
Ενέσιμο Pethidine hydrochloride 10 mg/ml
Γλυκόζη 5% 405
Απροσδιόριστη ασυμβατότητα Ασύμβατες
Ενέσιμο Clindamycin phosphate
Ενέσιμο Phenobarbital sodium
3526
Απροσδιόριστη ασυμβατότητα Ασύμβατες
Ενέσιμο Clindamycin phosphate
Ενέσιμο Phenytoin sodium
3526
Σύμφωνος
Ενέσιμο Clindamycin phosphate 18 mg/ml
Ενέσιμο Phloroglucinol 2,5 mg/ml
3791
Σύμφωνος
Ενέσιμο Clindamycin phosphate
Ενέσιμο Piperacillin sodium
Γλυκόζη 5% 3526
Σύμφωνος
Ενέσιμο Clindamycin phosphate
Ενέσιμο Piperacillin sodium
Χλωριούχο νάτριο 0,9% 3526
Σύμφωνος
Ενέσιμο Clindamycin phosphate 9 mg/ml
Ενέσιμο Piperacillin sodium 40 mg/ml
Γλυκόζη 5% 432
Σύμφωνος
Ενέσιμο Clindamycin phosphate 9 mg/ml
Ενέσιμο Piperacillin sodium 40 mg/ml
Χλωριούχο νάτριο 0,9% 432
Σύμφωνος
Ενέσιμο Clindamycin phosphate 10 mg/ml
Ενέσιμο Piperacillin sodium / tazobactam 40/5 mg/ml
Γλυκόζη 5% 81
Άμεση θολότητα Ασύμβατες
Ενέσιμο Clindamycin phosphate 150 mg/ml
Ενέσιμο Salbutamol sulfate 1 mg/ml
Ουδέν 3216
Απροσδιόριστη ασυμβατότητα Ασύμβατες
Ενέσιμο Clindamycin phosphate
Ενέσιμο Sodium bicarbonate
3526
Άμεση βροχόπτωση Ασύμβατες
Ενέσιμο Clindamycin phosphate 12 mg/ml
Ενέσιμο Temocilline 83.33 mg/ml
Ενέσιμο ύδωρ 2231
Σύμφωνος
Ενέσιμο Clindamycin phosphate 10 mg/ml
Ενέσιμο Teniposide 0.1 mg/ml
Γλυκόζη 5% 905
Απροσδιόριστη ασυμβατότητα Ασύμβατες
Ενέσιμο Clindamycin phosphate
Ενέσιμο Thiopental sodium
3526
Σύμφωνος
Ενέσιμο Clindamycin phosphate
Χλωριούχο νάτριο 0,9% 3526
Σύμφωνος
Ενέσιμο Clindamycin phosphate 10 mg/ml
Ενέσιμο Propofol 10 mg/ml
Ουδέν 300
Απροσδιόριστη ασυμβατότητα Ασύμβατες
Ενέσιμο Clindamycin phosphate
Ενέσιμο Ranitidine hydrochloride
3526
Σύμφωνος
Ενέσιμο Clindamycin phosphate 10 mg/ml
Ενέσιμο Remifentanil hydrochloride 25 & 250 µg/ml
Χλωριούχο νάτριο 0,9% 59
Σύμφωνος
Ενέσιμο Clindamycin phosphate 10 mg/ml
Ενέσιμο Sargramostim 10 µg/ml
Χλωριούχο νάτριο 0,9% 335
Σύμφωνος
Ενέσιμο Clindamycin phosphate 12 mg/ml
Ενέσιμο Tacrolimus 1000 µg/ml
Χλωριούχο νάτριο 0,9% 479
Σύμφωνος
Ενέσιμο Clindamycin phosphate 12 mg/ml
Ενέσιμο Theophylline 4 mg/ml
Ουδέν 317
Άμεση βροχόπτωση Ασύμβατες
Ενέσιμο Clindamycin phosphate 150 mg/ml
Ενέσιμο Thiopental sodium 25 mg/ml
Χλωριούχο νάτριο 0,9% 3767
Σύμφωνος
Ενέσιμο Clindamycin phosphate 10 mg/ml
Ενέσιμο Thiotepa 1 mg/ml
Γλυκόζη 5% 249
Σύμφωνος
Ενέσιμο Clindamycin phosphate
Ενέσιμο Tobramycin sulfate
Χλωριούχο νάτριο 0,9% 3526
Άμεση βροχόπτωση Ασύμβατες
Ενέσιμο Clindamycin phosphate 90 mg/ml
Ενέσιμο Tobramycin sulfate 12 mg/ml
Χλωριούχο νάτριο 0,9% 639
Σύμφωνος
Ενέσιμο Clindamycin phosphate
Ενέσιμο Tobramycin sulfate
Γλυκόζη 5% 3526
Καταβύθιση μετά από 2 ώρες Ασύμβατες
Ενέσιμο Clindamycin phosphate 6 mg/ml
Ενέσιμο Tramadol hydrochloride 0,4 mg/ml
Χλωριούχο νάτριο 0,9% 2002
Σύμφωνος
Ενέσιμο Clindamycin phosphate 1.2 mg/ml
Ενέσιμο Verapamil hydrochloride 0.08 mg/ml
Χλωριούχο νάτριο 0,9% 1057
Σύμφωνος
Ενέσιμο Clindamycin phosphate 1.2 mg/ml
Ενέσιμο Verapamil hydrochloride 0.08 mg/ml
Γλυκόζη 5% 1057
Σύμφωνος
Ενέσιμο Clindamycin phosphate 10 mg/ml
Ενέσιμο Vinorelbine tartrate 1 mg/ml
Χλωριούχο νάτριο 0,9% 84
Σύμφωνος
Ενέσιμο Clindamycin phosphate 12 mg/ml
Ενέσιμο Zidovudine 4 mg/ml
Γλυκόζη 5% 337

  Mentions Légales