Posledná aktualizácia :
27/04/2026
antibiotikum   Clindamycin phosphate  
Injekcia
Stabilita roztokov Stabilita v zmesiach Faktory ovplyvňujúce stabilitu Kompatibility spôsob podania Odkazy na literatúru PDF
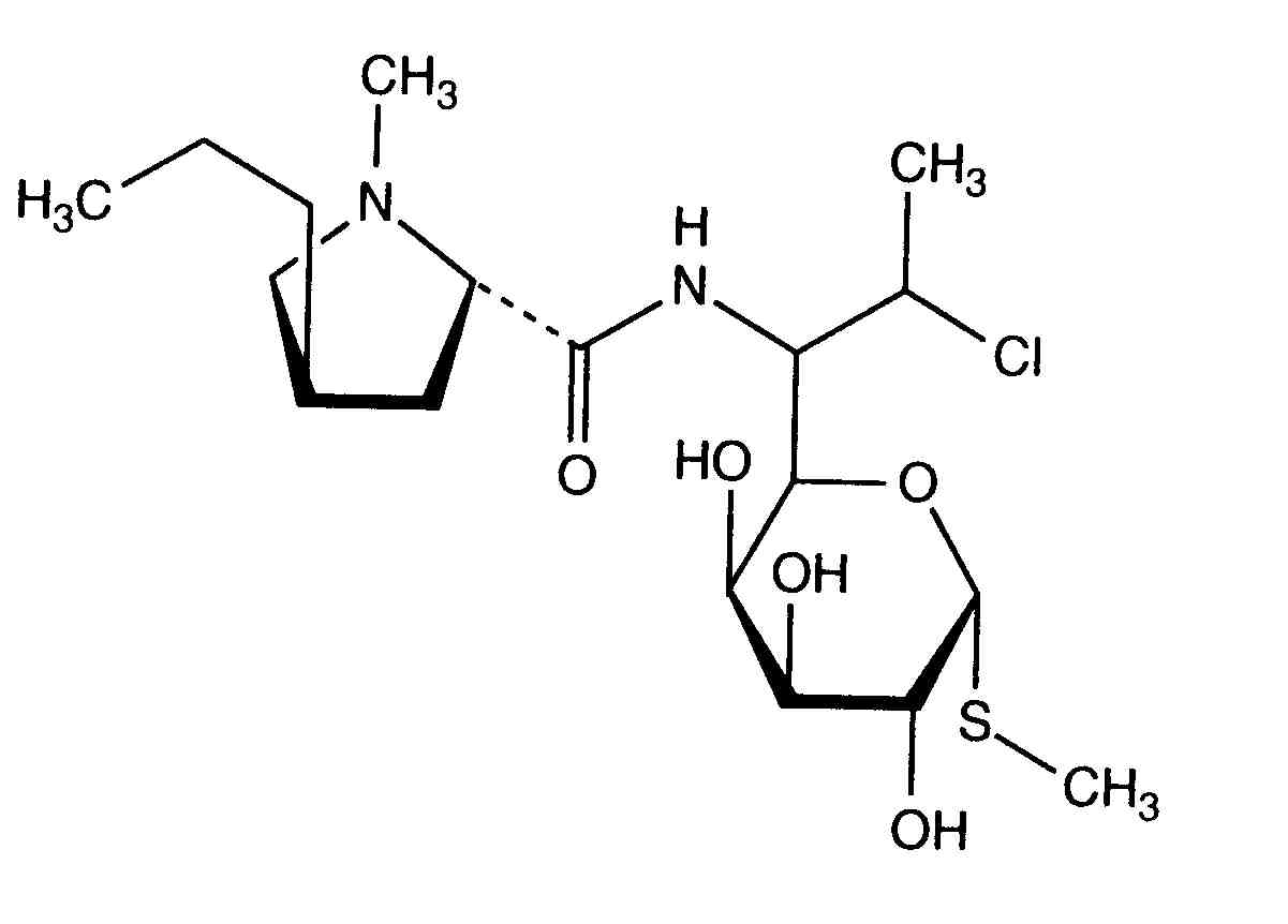
   Chemický vzorec  

Obchodný názov   Obchodný názov     

Obchodné názvy sú orientačné, a zloženie pomocných látok sa môže líšiť v závislosti od krajiny a výrobcu.

Biodaclin Mexiko
Camyda India
Cinbiot Mexiko
Cleocin Rakúsko, Spojené štáty Americké, Turecko
Clinamsa Mexiko
Clinbac Kolumbia, peru
Clincina Portugalsko
Clinda-Saar Nemecko
Clindacid Venezuela
Clindacin Malajzia
Clindalaf Argentína
Clindamicina Argentína, Brazília, Čile, Ekvádor, Kolumbia, Mexiko, peru, Portugalsko, Španielsko, Taliansko, Venezuela
Clindamycin Irán, Kanada, Nemecko, Nórsko, Rakúsko, Rumunsko, Saudská Arábia, Spojené štáty Americké, Švédsko
Clindamycin-Hameln Nemecko
Clindamycine Belgicko, Francúzsko, Holandsko, Tunisko
Clindanovag Argentína
Clindarix Brazília
Clindasol Nemecko
Clindaval Venezuela
Clindazyn Mexiko
Clindo Poľsko
Clysvic Mexiko
Daclin Čile
Dalacin Austrália, Belgicko, Čile, Dánsko, Egypt, Ekvádor, Fínsko, Grécko, Holandsko, India, Irán, Írsko, Island, Kanada, Kolumbia, Luxembursko, Maďarsko, Malajzia, Mexiko, Nórsko, nový Zéland, Poľsko, Saudská Arábia, Spojené arabské emiráty, Švajčiarsko, Švédsko, Taliansko, Tunisko, Veľká Británia, Venezuela
Dalacine Francúzsko, Tunisko
Daladic Irán
Dalcinex India
Damclid India
Damicin Kolumbia, Mexiko
Damicine Kolumbia
Dolarclin Kolumbia
Euroclin Ekvádor, Kolumbia
Gynasafe India
Indamid Mexiko
Klimicin Poľsko
Klindan Turecko
Klindaver Turecko
Lanacine Rakúsko
Lincocin Malajzia
Lincosa Malajzia
Meneklin Turecko
Sobelin Nemecko
Tidact Malajzia
Kompatibility   Injekcia   Kompatibility : Clindamycin phosphate              
Toto okno zobrazuje kompatibility alebo inkombatibility, v prípade inkompatibility aj jej typ (vyzrážanie, zmena farby, zmena emulzie atď.). Tu vymenované kompatibility sú väčšinou len fyzikálne, chemická stabilita každej zo zlúčenín sa hodnotila len zriedkavo. Tieto zmesi sa skúmali za účelom možnosti súbežného podávania pacientovi cez infúznu spojku Y. Údaje sa nedajú použiť na prípravu zmesí vo vakoch alebo striekačkách. Taká informácia sa nachádza v okne „Stabilita v zmesiach“.
Zlúčenina rozpúšťadlo odkazy na lieteratúru
kompatibilný
Injekcia Clindamycin phosphate 12 mg/ml
Injekcia Aciclovir sodium 5 mg/ml
5% glukóza 336
Okamžité zrážanie nezlučiteľný
Injekcia Clindamycin phosphate 10 mg/ml
Injekcia Allopurinol sodium 3 mg/ml
0,9% chlorid sodný 307
kompatibilný
Injekcia Clindamycin phosphate 10 mg/ml
Injekcia Amifostine 10 mg/ml
5% glukóza 3
kompatibilný
Injekcia Clindamycin phosphate
Injekcia Amikacin sulfate
0,9% chlorid sodný 3526
kompatibilný
Injekcia Clindamycin phosphate 9 mg/ml
Injekcia Amikacin sulfate 4 mg/ml
0,9% chlorid sodný 565
kompatibilný
Injekcia Clindamycin phosphate 9 mg/ml
Injekcia Amikacin sulfate 4 mg/ml
5% glukóza 565
kompatibilný
Injekcia Clindamycin phosphate
Injekcia Amikacin sulfate
5% glukóza 3526
kompatibilný
Injekcia Clindamycin phosphate 90 mg/ml
Injekcia Amikacin sulfate 75 mg/ml
0,9% chlorid sodný 639
Nešpecifikovaná nekompatibilita nezlučiteľný
Injekcia Clindamycin phosphate
Injekcia Aminophylline
3526
kompatibilný
Injekcia Clindamycin phosphate 6 mg/ml
Injekcia Amiodarone hydrochloride 4 mg/ml
0,9% chlorid sodný 385
kompatibilný
Injekcia Clindamycin phosphate 6 mg/ml
Injekcia Amiodarone hydrochloride 4 mg/ml
5% glukóza 385
Zákal za jednu hodinu nezlučiteľný
Injekcia Clindamycin phosphate 150 mg/ml
Injekcia Amoxicillin sodium / clavulanic acid 100/10 mg/ml
3824
kompatibilný
Injekcia Clindamycin phosphate 10 mg/ml
Injekcia Amphotericin B cholesteryl sulfate complex 0.83 mg/ml
5% glukóza 921
Nešpecifikovaná nekompatibilita nezlučiteľný
Injekcia Clindamycin phosphate
Injekcia Ampicillin sodium
3526
kompatibilný
Injekcia Clindamycin phosphate
5% glukóza 3526
Nešpecifikovaná nekompatibilita nezlučiteľný
Injekcia Clindamycin phosphate
Injekcia Amobarbital sodium
3526
kompatibilný
Injekcia Clindamycin phosphate 10 mg/ml
Injekcia Amsacrine 1 mg/ml
5% glukóza 253
kompatibilný
Injekcia Clindamycin phosphate 10 mg/ml
Injekcia Anidulafungin 0.5 mg/ml
5% glukóza 1982
Modifikácia pH> 1 pH jednotka nezlučiteľný
Injekcia Clindamycin phosphate 9 mg/ml
Injekcia Atosiban 0,75 mg/ml
4642
kompatibilný
Injekcia Clindamycin phosphate 6 mg/ml
Injekcia Aztreonam 10 mg/ml
5% glukóza 419
kompatibilný
Injekcia Clindamycin phosphate 9 mg/ml
Injekcia Aztreonam 20 mg/ml
5% glukóza 432
kompatibilný
Injekcia Clindamycin phosphate 60 mg/ml
Injekcia Aztreonam 200 mg/ml
0,9% chlorid sodný 644
kompatibilný
Injekcia Clindamycin phosphate
Injekcia Aztreonam
0,9% chlorid sodný 3526
kompatibilný
Injekcia Clindamycin phosphate 3 mg/ml
Injekcia Aztreonam 10 mg/ml
5% glukóza 419
kompatibilný
Injekcia Clindamycin phosphate
Injekcia Aztreonam
5% glukóza 3526
kompatibilný
Injekcia Clindamycin phosphate 24 mg/ml
parenterálna výživa (binárna zmes) 3379
Okamžité zrážanie nezlučiteľný
Injekcia Clindamycin phosphate 30 mg/ml
Injekcia Azithromycine 2 mg/ml
0,9% chlorid sodný 1800
kompatibilný
Injekcia Clindamycin phosphate 3 mg/ml
parenterálna výživa (binárna zmes) 1055
kompatibilný
Injekcia Clindamycin phosphate 6 mg/ml
Injekcia Aztreonam 20 mg/ml
0,9% chlorid sodný 419
kompatibilný
Injekcia Clindamycin phosphate 3 mg/ml
Injekcia Aztreonam 20 mg/ml
0,9% chlorid sodný 419
kompatibilný
Injekcia Clindamycin phosphate 3 mg/ml
Injekcia Aztreonam 20 mg/ml
5% glukóza 419
kompatibilný
Injekcia Clindamycin phosphate 6 mg/ml
Injekcia Aztreonam 20 mg/ml
5% glukóza 419
kompatibilný
Injekcia Clindamycin phosphate 10 mg/ml
Injekcia Aztreonam 40 mg/ml
5% glukóza 99
kompatibilný
Injekcia Clindamycin phosphate 3 mg/ml
Injekcia Aztreonam 10 mg/ml
0,9% chlorid sodný 419
kompatibilný
Injekcia Clindamycin phosphate 6 mg/ml
Injekcia Aztreonam 10 mg/ml
0,9% chlorid sodný 419
kompatibilný
Injekcia Clindamycin phosphate 9 mg/ml
Injekcia Aztreonam 20 mg/ml
0,9% chlorid sodný 432
kompatibilný
Injekcia Clindamycin phosphate 10 mg/ml
Injekcia Bivalirudin 5 mg/ml
5% glukóza 1713
kompatibilný
Injekcia Clindamycin phosphate 150 mg/ml
Injekcia Caffeine 10 mg/ml
Žiadny 3964
Nešpecifikovaná nekompatibilita nezlučiteľný
Injekcia Clindamycin phosphate
Injekcia Calcium gluconate
3644
Nešpecifikovaná nekompatibilita nezlučiteľný
Injekcia Clindamycin phosphate
Injekcia Calcium gluconate
3526
nezlučiteľný
Injekcia Clindamycin phosphate
Injekcia Calcium gluconate
4964
Okamžité zrážanie nezlučiteľný
Injekcia Clindamycin phosphate 10 mg/ml
Injekcia Caspofungin acetate 0,7 mg/ml
0,9% chlorid sodný 2247
Okamžité zrážanie nezlučiteľný
Injekcia Clindamycin phosphate 60 mg/ml
Injekcia Caspofungin acetate 0.5 mg/ml
0,9% chlorid sodný 2233
kompatibilný
Injekcia Clindamycin phosphate 9 mg/ml
Injekcia Cefamandole nafate 10 mg/ml
5% glukóza 418
kompatibilný
Injekcia Clindamycin phosphate
Injekcia Cefamandole nafate
0,9% chlorid sodný 3526
kompatibilný
Injekcia Clindamycin phosphate 9 mg/ml
Injekcia Cefamandole nafate 10 mg/ml
0,9% chlorid sodný 418
kompatibilný
Injekcia Clindamycin phosphate
Injekcia Cefamandole nafate
5% glukóza 3526
kompatibilný
Injekcia Clindamycin phosphate 9 mg/ml
Injekcia Cefazolin sodium 10 mg/ml
0,9% chlorid sodný 418
kompatibilný
Injekcia Clindamycin phosphate
Injekcia Cefazolin sodium
0,9% chlorid sodný 3526
kompatibilný
Injekcia Clindamycin phosphate 9 mg/ml
Injekcia Cefazolin sodium 10 mg/ml
5% glukóza 418
kompatibilný
Injekcia Clindamycin phosphate 0,25 & 6 mg/ml
Injekcia Cefepime dihydrochloride 4 & 40 mg/ml
5% glukóza 3548
kompatibilný
Injekcia Clindamycin phosphate 10 mg/ml
Injekcia Cefiderocol sulfate tosylate 20 mg/mL
5% glukóza 4528
kompatibilný
Injekcia Clindamycin phosphate 12 mg/ml
Injekcia Cefoperazone sodium 20 mg/ml
5% glukóza 644
Nešpecifikovaná nekompatibilita nezlučiteľný
Injekcia Clindamycin phosphate
NaHCO3 3526
kompatibilný
Injekcia Clindamycin phosphate 12 mg/ml
Injekcia Cefonicid sodium 10 mg/ml
0,9% chlorid sodný 644
kompatibilný
Injekcia Clindamycin phosphate 10 mg/ml
parenterálna výživa (binárna zmes) 301
kompatibilný
Injekcia Clindamycin phosphate
Injekcia Cefazolin sodium
5% glukóza 3526
kompatibilný
Injekcia Clindamycin phosphate 0,25 & 6 mg/ml
Injekcia Cefepime dihydrochloride 4 & 40 mg/ml
0,9% chlorid sodný 3548
kompatibilný
Injekcia Clindamycin phosphate 10 mg/ml
Injekcia Cefiderocol sulfate tosylate 20 mg/mL
0,9% chlorid sodný 4528
kompatibilný
Injekcia Clindamycin phosphate 12 mg/ml
Injekcia Cefonicid sodium 10 mg/ml
5% glukóza 644
kompatibilný
Injekcia Clindamycin phosphate 12 mg/ml
Injekcia Cefoperazone sodium 20 mg/ml
0,9% chlorid sodný 644
kompatibilný
Injekcia Clindamycin phosphate 150 mg/ml
parenterálna výživa (binárna zmes) 999
kompatibilný
Injekcia Clindamycin phosphate
Injekcia Cefotaxime sodium
5% glukóza 3526
kompatibilný
Injekcia Clindamycin phosphate 9 mg/ml
Injekcia Cefotaxime sodium 20 mg/ml
5% glukóza 421
kompatibilný
Injekcia Clindamycin phosphate 9 mg/ml
Injekcia Cefotaxime sodium 20 mg/ml
0,9% chlorid sodný 421
kompatibilný
Injekcia Clindamycin phosphate
Injekcia Cefotaxime sodium
0,9% chlorid sodný 3526
kompatibilný
Injekcia Clindamycin phosphate
Injekcia Cefoxitin sodium
0,9% chlorid sodný 3526
kompatibilný
Injekcia Clindamycin phosphate 9 mg/ml
Injekcia Cefoxitin sodium 20 mg/ml
5% glukóza 418
kompatibilný
Injekcia Clindamycin phosphate 9 mg/ml
Injekcia Cefoxitin sodium 20 mg/ml
0,9% chlorid sodný 418
kompatibilný
Injekcia Clindamycin phosphate
Injekcia Cefoxitin sodium
5% glukóza 3526
kompatibilný
Injekcia Clindamycin phosphate 12 mg/ml
Injekcia Cefpirome sulfate 50 mg/ml
0,9% chlorid sodný 280
kompatibilný
Injekcia Clindamycin phosphate 12 mg/ml
Injekcia Cefpirome sulfate 50 mg/ml
0,45 % chlorid sodný 280
kompatibilný
Injekcia Clindamycin phosphate 12 mg/ml
Injekcia Cefpirome sulfate 50 mg/ml
5% glukóza 280
kompatibilný
Injekcia Clindamycin phosphate 12 mg/ml
Injekcia Cefpirome sulfate 50 mg/ml
Ringerov laktátový roztok 280
kompatibilný
Injekcia Clindamycin phosphate 10 mg/ml
Injekcia Ceftaroline fosamil 2,22 mg/ml
Ringerov laktátový roztok 3249
kompatibilný
Injekcia Clindamycin phosphate
Injekcia Ceftazidime
5% glukóza 3526
kompatibilný
Injekcia Clindamycin phosphate 9 mg/ml
Injekcia Ceftizoxime sodium 20 mg/ml
0,9% chlorid sodný 418
kompatibilný
Injekcia Clindamycin phosphate
Injekcia Ceftizoxime sodium
5% glukóza 3526
kompatibilný
Injekcia Clindamycin phosphate 10 mg/ml
Injekcia Ceftobiprole medocaril sodium 2 mg/ml
0,9% chlorid sodný 2269
kompatibilný
Injekcia Clindamycin phosphate 10 mg/ml
Injekcia Ceftobiprole medocaril sodium 2 mg/ml
5% glukóza 2269
kompatibilný
Injekcia Clindamycin phosphate 10 mg/ml
Injekcia Ceftobiprole medocaril sodium 2 mg/ml
Ringerov laktátový roztok 2269
kompatibilný
Injekcia Clindamycin phosphate 5,77 mg/ml
Parenterálna výživa (lipidy) 4440
kompatibilný
Injekcia Clindamycin phosphate 1.2 mg/ml
Injekcia Cimetidine hydrochloride 1.2 & 5 mg/ml
5% glukóza 1201
kompatibilný
Injekcia Clindamycin phosphate 1.2 mg/ml
Injekcia Cimetidine hydrochloride 1.2 & 5 mg/ml
0,9% chlorid sodný 1201
Okamžité zrážanie nezlučiteľný
Injekcia Clindamycin phosphate 7 mg/ml
Injekcia Ciprofloxacin lactate 1.5 mg/ml
5% glukóza 434
kompatibilný
Injekcia Clindamycin phosphate 10 mg/ml
Injekcia Cisatracurium besylate 0.1 >> 5 mg/ml
5% glukóza 299
kompatibilný
Injekcia Clindamycin phosphate 150 mg/ml
Injekcia Cloxacillin sodium 100 mg/ml
voda na injekciu 3012
kompatibilný
Injekcia Clindamycin phosphate 10 mg/ml
Injekcia Docetaxel 0.9 mg/ml
5% glukóza 1754
Výroba plynových bublín nezlučiteľný
Injekcia Clindamycin phosphate 10 mg/ml
Injekcia Doxapram hydrochloride 2 mg/ml
5% glukóza 1802
kompatibilný
Injekcia Clindamycin phosphate 10 mg/ml
Injekcia Doxorubicin hydrochloride liposome peg 0.4 mg/ml
5% glukóza 251
kompatibilný
Injekcia Clindamycin phosphate 9 mg/ml
Injekcia Esmolol hydrochloride 10 mg/ml
5% glukóza 384
kompatibilný
Injekcia Clindamycin phosphate 9 mg/ml
Injekcia Fentanyl citrate 50 µg/ml
5% glukóza 63
kompatibilný
Injekcia Clindamycin phosphate 10 mg/ml
Parenterálna výživa (lipidy) 3967
kompatibilný
Injekcia Clindamycin phosphate 10 mg/ml
Injekcia Ceftaroline fosamil 2,22 mg/ml
5% glukóza 3249
kompatibilný
Injekcia Clindamycin phosphate 10 mg/ml
Injekcia Ceftaroline fosamil 2,22 mg/ml
0,9% chlorid sodný 3249
kompatibilný
Injekcia Clindamycin phosphate 9 mg/ml
Injekcia Ceftazidime 20 mg/ml
5% glukóza 432
kompatibilný
Injekcia Clindamycin phosphate
Injekcia Ceftazidime
0,9% chlorid sodný 3526
kompatibilný
Injekcia Clindamycin phosphate 9 mg/ml
Injekcia Ceftazidime 20 mg/ml
0,9% chlorid sodný 432
kompatibilný
Injekcia Clindamycin phosphate 10 mg/ml
Parenterálna výživa (lipidy) 1415
kompatibilný
Injekcia Clindamycin phosphate 9 mg/ml
Injekcia Ceftizoxime sodium 20 mg/ml
5% glukóza 418
kompatibilný
Injekcia Clindamycin phosphate
Injekcia Ceftizoxime sodium
0,9% chlorid sodný 3526
Chemická nestabilita nezlučiteľný
Injekcia Clindamycin phosphate 12 mg/ml
Injekcia Ceftriaxone disodium 20 mg/ml
5% glukóza 432
Nešpecifikovaná nekompatibilita nezlučiteľný
Injekcia Clindamycin phosphate
Injekcia Ceftriaxone disodium
3526
Chemická nestabilita nezlučiteľný
Injekcia Clindamycin phosphate 12 mg/ml
Injekcia Ceftriaxone disodium 20 mg/ml
0,9% chlorid sodný 432
kompatibilný
Injekcia Clindamycin phosphate 9 mg/ml
Injekcia Cefuroxime sodium 15 mg/ml
0,9% chlorid sodný 644
kompatibilný
Injekcia Clindamycin phosphate 9 mg/ml
Injekcia Cefuroxime sodium 15 mg/ml
5% glukóza 644
Okamžité zrážanie nezlučiteľný
Injekcia Clindamycin phosphate 7 mg/ml
Injekcia Ciprofloxacin lactate 1.5 mg/ml
0,9% chlorid sodný 434
Nešpecifikovaná nekompatibilita nezlučiteľný
Injekcia Clindamycin phosphate
Injekcia Ciprofloxacin lactate
3526
kompatibilný
Injekcia Clindamycin phosphate 10 mg/ml
Injekcia Dexmedetomidine 4 µg/ml
0,9% chlorid sodný 1712
kompatibilný
Injekcia Clindamycin phosphate 12 & 150 mg/ml
Injekcia Diltiazem hydrochloride 5 mg/ml
0,9% chlorid sodný 198
kompatibilný
Injekcia Clindamycin phosphate
Injekcia Dimenhydrinate
2087
kompatibilný
Injekcia Clindamycin phosphate 9 mg/ml
Injekcia Enalaprilate 0.05 mg/ml
0,9% chlorid sodný 1315
kompatibilný
Injekcia Clindamycin phosphate 10 mg/ml
Injekcia Etoposide phosphate 5 mg/ml
5% glukóza 1410
kompatibilný
Injekcia Clindamycin phosphate 10 mg/ml
Injekcia Fenoldopam mesylate 80 µg/ml
0,9% chlorid sodný 1803
Okamžité zrážanie nezlučiteľný
Injekcia Clindamycin phosphate 10 mg/ml
Injekcia Filgrastim 30 µg/ml
5% glukóza 244
kompatibilný
Injekcia Clindamycin phosphate 12 mg/ml
Injekcia Fluconazole 2 mg/ml
Žiadny 256
Okamžité zrážanie nezlučiteľný
Injekcia Clindamycin phosphate 24 mg/ml
Injekcia Fluconazole 2 mg/ml
0,9% chlorid sodný 496
kompatibilný
Injekcia Clindamycin phosphate 10 mg/ml
Injekcia Fludarabine phosphate 1 mg/ml
5% glukóza 492
kompatibilný
Injekcia Clindamycin phosphate 12 mg/ml
Injekcia Foscarnet sodium 24 mg/ml
5% glukóza 1135
kompatibilný
Injekcia Clindamycin phosphate 24 mg/ml
Injekcia Foscarnet sodium 24 mg/ml
Žiadny 73
kompatibilný
Injekcia Clindamycin phosphate 12 mg/ml
Injekcia Foscarnet sodium 24 mg/ml
0,9% chlorid sodný 1135
kompatibilný
Injekcia Clindamycin phosphate 10 mg/ml
Injekcia Gemcitabine hydrochloride 10 mg/ml
0,9% chlorid sodný 1423
kompatibilný
Injekcia Clindamycin phosphate
Injekcia Gentamicin sulfate
5% glukóza 3526
kompatibilný
Injekcia Clindamycin phosphate 90 mg/ml
Injekcia Gentamicin sulfate 12 mg/ml
0,9% chlorid sodný 639
kompatibilný
Injekcia Clindamycin phosphate 6 mg/ml
Injekcia Gentamicin sulfate 0.67 mg/ml
5% glukóza 423
kompatibilný
Injekcia Clindamycin phosphate
Injekcia Gentamicin sulfate
0,9% chlorid sodný 3526
kompatibilný
Injekcia Clindamycin phosphate 10 mg/ml
Injekcia Granisetron hydrochloride 0.05 mg/ml
5% glukóza 182
kompatibilný
Injekcia Clindamycin phosphate 12 mg/ml
Injekcia Heparin sodium 50 UI/ml
Žiadny 317
kompatibilný
Injekcia Clindamycin phosphate 10 mg/ml
Injekcia Hetastarch 60 mg/ml
Špeciálne rozpúšťadlá 1721
kompatibilný
Injekcia Clindamycin phosphate 12 mg/ml
Injekcia Hydromorphone hydrochloride 0.2 mg/ml
5% glukóza 405
Nešpecifikovaná nekompatibilita nezlučiteľný
Injekcia Clindamycin phosphate
Injekcia Idarubicin hydrochloride
3526
Okamžité zrážanie nezlučiteľný
Injekcia Clindamycin phosphate 12 mg/ml
Injekcia Idarubicin hydrochloride 1 mg/ml
0,9% chlorid sodný 491
kompatibilný
Injekcia Clindamycin phosphate 150 mg/ml
Injekcia Ketamine hydrochloride 50 mg/ml
2109
kompatibilný
Injekcia Clindamycin phosphate 9 mg/ml
Injekcia Labetalol hydrochloride 1 mg/ml
5% glukóza 386
Okamžité zrážanie nezlučiteľný
Injekcia Clindamycin phosphate 10 mg/ml
Injekcia Lansoprazole 0.55 mg/ml
0,9% chlorid sodný 1625
kompatibilný
Injekcia Clindamycin phosphate 150 mg/ml
Injekcia Levofloxacine 5 mg/ml
5% glukóza 1072
kompatibilný
Injekcia Clindamycin phosphate 10 mg/ml
Injekcia Linezolid 2 mg/ml
Žiadny 1925
Nešpecifikovaná nekompatibilita nezlučiteľný
Injekcia Clindamycin phosphate
Injekcia Magnesium chloride
5012
Nešpecifikovaná nekompatibilita nezlučiteľný
Injekcia Clindamycin phosphate
Injekcia Magnesium sulfate
3838
kompatibilný
Injekcia Clindamycin phosphate 12 mg/ml
Injekcia Magnesium sulfate 16.67 >> 100 mg/ml
5% glukóza 1047
Nešpecifikovaná nekompatibilita nezlučiteľný
Injekcia Clindamycin phosphate
Injekcia Magnesium sulfate
3526
kompatibilný
Injekcia Clindamycin phosphate 10 mg/ml
Injekcia Melphalan 0.1 mg/ml
0,9% chlorid sodný 169
kompatibilný
Injekcia Clindamycin phosphate 150 mg/ml
Injekcia Meropenem 50 mg/ml
voda na injekciu 4319
Nešpecifikovaná nekompatibilita nezlučiteľný
Injekcia Clindamycin phosphate
Injekcia Methohexital sodium
3526
kompatibilný
Injekcia Clindamycin phosphate 10 mg/ml
Injekcia Metronidazole 5 mg/ml
Žiadny 1035
kompatibilný
Injekcia Clindamycin phosphate
Injekcia Metronidazole
3594
kompatibilný
Injekcia Clindamycin phosphate 9 mg/ml
Injekcia Midazolam hydrochloride 1 mg/ml
5% glukóza 176
kompatibilný
Injekcia Clindamycin phosphate 12 mg/ml
Injekcia Morphine sulfate 1 mg/ml
5% glukóza 405
kompatibilný
Injekcia Clindamycin phosphate 150 mg/ml
Injekcia N-acetylcysteine 200 mg/ml
Žiadny 3766
kompatibilný
Injekcia Clindamycin phosphate 150 mg/ml
Injekcia Naloxone hydrochloride 0.4 mg/ml
Žiadny 3408
kompatibilný
Injekcia Clindamycin phosphate
Injekcia Netilmicin sulfate
0,9% chlorid sodný 3526
kompatibilný
Injekcia Clindamycin phosphate 9 mg/ml
Injekcia Netilmicin sulfate 3 mg/ml
5% glukóza 421
kompatibilný
Injekcia Clindamycin phosphate 9 mg/ml
Injekcia Netilmicin sulfate 3 mg/ml
0,9% chlorid sodný 421
kompatibilný
Injekcia Clindamycin phosphate
Injekcia Netilmicin sulfate
5% glukóza 3526
kompatibilný
Injekcia Clindamycin phosphate 9 mg/ml
Injekcia Nicardipine hydrochloride 0.1 mg/ml
0,9% chlorid sodný 1490
kompatibilný
Injekcia Clindamycin phosphate 9 mg/ml
Injekcia Nicardipine hydrochloride 0.1 mg/ml
5% glukóza 1490
kompatibilný
Injekcia Clindamycin phosphate 6 mg/ml
Injekcia Ofloxacin 2 mg/ml
Žiadny 889
kompatibilný
Injekcia Clindamycin phosphate 10 mg/ml
Injekcia Ondansetron hydrochloride 1 mg/ml
0,9% chlorid sodný 334
Zrážky po 1 hodine nezlučiteľný
Injekcia Clindamycin phosphate 12 mg/ml
Injekcia Oritavancin 0.8 >>2 mg/ml
5% glukóza 3152
Zrážky po 1 hodine nezlučiteľný
Injekcia Clindamycin phosphate
Injekcia Pantoprazole sodium
2090
kompatibilný
Injekcia Clindamycin phosphate 150 mg/ml
Injekcia Paracetamol 10 mg/ml
4742
kompatibilný
Injekcia Clindamycin phosphate 10 mg/ml
Injekcia Paracetamol 10 mg/ml
Žiadny 3571
kompatibilný
Injekcia Clindamycin phosphate 10 mg/ml
Injekcia Pemetrexed disodium 20 mg/ml
0,9% chlorid sodný 1953
Nešpecifikovaná nekompatibilita nezlučiteľný
Injekcia Clindamycin phosphate
Injekcia Pentobarbital sodium
3526
kompatibilný
Injekcia Clindamycin phosphate 12 mg/ml
Injekcia Pethidine hydrochloride 10 mg/ml
5% glukóza 405
Nešpecifikovaná nekompatibilita nezlučiteľný
Injekcia Clindamycin phosphate
Injekcia Phenobarbital sodium
3526
Nešpecifikovaná nekompatibilita nezlučiteľný
Injekcia Clindamycin phosphate
Injekcia Phenytoin sodium
3526
kompatibilný
Injekcia Clindamycin phosphate 18 mg/ml
Injekcia Phloroglucinol 2,5 mg/ml
3791
kompatibilný
Injekcia Clindamycin phosphate
Injekcia Piperacillin sodium
5% glukóza 3526
kompatibilný
Injekcia Clindamycin phosphate
Injekcia Piperacillin sodium
0,9% chlorid sodný 3526
kompatibilný
Injekcia Clindamycin phosphate 9 mg/ml
Injekcia Piperacillin sodium 40 mg/ml
5% glukóza 432
kompatibilný
Injekcia Clindamycin phosphate 9 mg/ml
Injekcia Piperacillin sodium 40 mg/ml
0,9% chlorid sodný 432
kompatibilný
Injekcia Clindamycin phosphate 10 mg/ml
Injekcia Piperacillin sodium / tazobactam 40/5 mg/ml
5% glukóza 81
Okamžitá zákal nezlučiteľný
Injekcia Clindamycin phosphate 150 mg/ml
Injekcia Salbutamol sulfate 1 mg/ml
Žiadny 3216
Nešpecifikovaná nekompatibilita nezlučiteľný
Injekcia Clindamycin phosphate
Injekcia Sodium bicarbonate
3526
Okamžité zrážanie nezlučiteľný
Injekcia Clindamycin phosphate 12 mg/ml
Injekcia Temocilline 83.33 mg/ml
voda na injekciu 2231
kompatibilný
Injekcia Clindamycin phosphate 10 mg/ml
Injekcia Teniposide 0.1 mg/ml
5% glukóza 905
Nešpecifikovaná nekompatibilita nezlučiteľný
Injekcia Clindamycin phosphate
Injekcia Thiopental sodium
3526
kompatibilný
Injekcia Clindamycin phosphate
0,9% chlorid sodný 3526
kompatibilný
Injekcia Clindamycin phosphate 10 mg/ml
Injekcia Propofol 10 mg/ml
Žiadny 300
Nešpecifikovaná nekompatibilita nezlučiteľný
Injekcia Clindamycin phosphate
Injekcia Ranitidine hydrochloride
3526
kompatibilný
Injekcia Clindamycin phosphate 10 mg/ml
Injekcia Remifentanil hydrochloride 25 & 250 µg/ml
0,9% chlorid sodný 59
kompatibilný
Injekcia Clindamycin phosphate 10 mg/ml
Injekcia Sargramostim 10 µg/ml
0,9% chlorid sodný 335
kompatibilný
Injekcia Clindamycin phosphate 12 mg/ml
Injekcia Tacrolimus 1000 µg/ml
0,9% chlorid sodný 479
kompatibilný
Injekcia Clindamycin phosphate 12 mg/ml
Injekcia Theophylline 4 mg/ml
Žiadny 317
Okamžité zrážanie nezlučiteľný
Injekcia Clindamycin phosphate 150 mg/ml
Injekcia Thiopental sodium 25 mg/ml
0,9% chlorid sodný 3767
kompatibilný
Injekcia Clindamycin phosphate 10 mg/ml
Injekcia Thiotepa 1 mg/ml
5% glukóza 249
kompatibilný
Injekcia Clindamycin phosphate
Injekcia Tobramycin sulfate
0,9% chlorid sodný 3526
Okamžité zrážanie nezlučiteľný
Injekcia Clindamycin phosphate 90 mg/ml
Injekcia Tobramycin sulfate 12 mg/ml
0,9% chlorid sodný 639
kompatibilný
Injekcia Clindamycin phosphate
Injekcia Tobramycin sulfate
5% glukóza 3526
Zrážky po 2 hodinách nezlučiteľný
Injekcia Clindamycin phosphate 6 mg/ml
Injekcia Tramadol hydrochloride 0,4 mg/ml
0,9% chlorid sodný 2002
kompatibilný
Injekcia Clindamycin phosphate 1.2 mg/ml
Injekcia Verapamil hydrochloride 0.08 mg/ml
0,9% chlorid sodný 1057
kompatibilný
Injekcia Clindamycin phosphate 1.2 mg/ml
Injekcia Verapamil hydrochloride 0.08 mg/ml
5% glukóza 1057
kompatibilný
Injekcia Clindamycin phosphate 10 mg/ml
Injekcia Vinorelbine tartrate 1 mg/ml
0,9% chlorid sodný 84
kompatibilný
Injekcia Clindamycin phosphate 12 mg/ml
Injekcia Zidovudine 4 mg/ml
5% glukóza 337

  Mentions Légales