Poslední aktualizace :
27/04/2026
Antibiotikum   Clindamycin phosphate  
injekce
Stabilita roztoků Stabilita směsí Faktory ovlivňující stabilitu Kompatibilita Způsoby aplikace Odkazy pdf
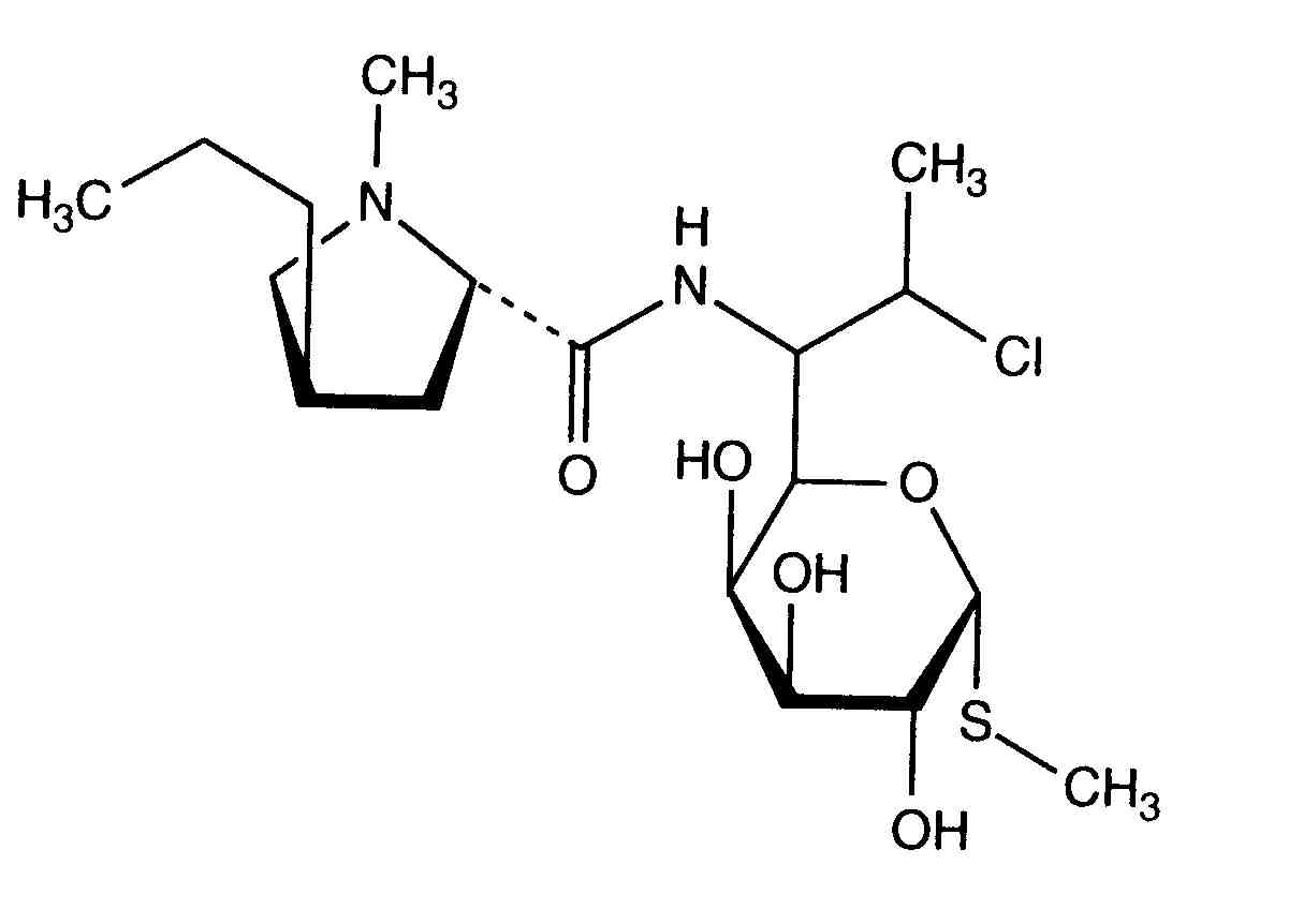
   Chemický vzorec  

Obchodní název   Obchodní název     

Trade names are indicative and excipients composition can be different depending on the country and manufacturers

Biodaclin Mexiko
Camyda Indie
Cinbiot Mexiko
Cleocin Rakousko, Turecko, USA
Clinamsa Mexiko
Clinbac Kolumbie, Peru
Clincina Portugalsko
Clinda-Saar NÏmecko
Clindacid Venezuela
Clindacin Malajsie
Clindalaf Argentina
Clindamicina äpanÏlsko, Argentina, BrazÌlie, Chile, Ekvádor, Itálie, Kolumbie, Mexiko, Peru, Portugalsko, Venezuela
Clindamycin Írán, Kanada, NÏmecko, Norsko, Rakousko, Rumunsko, Saúdská Arábie, Švédsko, USA
Clindamycin-Hameln NÏmecko
Clindamycine Belgie, Francie, Nizozemsko, Tunisko
Clindanovag Argentina
Clindarix BrazÌlie
Clindasol NÏmecko
Clindaval Venezuela
Clindazyn Mexiko
Clindo Polsko
Clysvic Mexiko
Daclin Chile
Dalacin Austrálie, Belgie, Chile, Dánsko, Egypt, Ekvádor, Finsko, Indie, Írán, Irsko, Island, Itálie, Kanada, Kolumbie, Lucembursko, Malajsie, MaÔarsko, Mexiko, Nizozemsko, Norsko, nový Zéland, Polsko, Saúdská Arábie, Spojené arabské emiráty, Švédsko, Švýcarsko, Tunisko, Velká Británie, Venezuela, ÿecko
Dalacine Francie, Tunisko
Daladic Írán
Dalcinex Indie
Damclid Indie
Damicin Kolumbie, Mexiko
Damicine Kolumbie
Dolarclin Kolumbie
Euroclin Ekvádor, Kolumbie
Gynasafe Indie
Indamid Mexiko
Klimicin Polsko
Klindan Turecko
Klindaver Turecko
Lanacine Rakousko
Lincocin Malajsie
Lincosa Malajsie
Meneklin Turecko
Sobelin NÏmecko
Tidact Malajsie
Kompatibilita   injekce   Kompatibilita : Clindamycin phosphate              
Tato obrazovka ukazuje kompatibilitu nebo nekompatibilitu s, v tomto případě, typem nekompatibility (srážení, změna barvy, modifikace emulze atd.). Zde uvedené kompatibility jsou většinou pouze fyzikální, přičemž chemická stabilita každé molekuly je zřídka hodnocena. Hodnocení těchto směsí bylo studováno, aby se zvážila možnost podání Y-místa pacientovi. Tyto údaje nelze použít k přípravě směsí předem v pytlích nebo stříkačkách. Tento typ informací je k dispozici na obrazovce „Stabilita ve směsi“.
SlouËenina RozpouötÏdlo Odkazy
Kompatibilní
injekce Clindamycin phosphate 12 mg/ml
injekce Aciclovir sodium 5 mg/ml
GlukÛza 5% 336
Okamžité srážení Nekompatibilní
injekce Clindamycin phosphate 10 mg/ml
injekce Allopurinol sodium 3 mg/ml
Chlorid sodný 0,9% 307
Kompatibilní
injekce Clindamycin phosphate 10 mg/ml
injekce Amifostine 10 mg/ml
GlukÛza 5% 3
Kompatibilní
injekce Clindamycin phosphate
injekce Amikacin sulfate
Chlorid sodný 0,9% 3526
Kompatibilní
injekce Clindamycin phosphate 9 mg/ml
injekce Amikacin sulfate 4 mg/ml
Chlorid sodný 0,9% 565
Kompatibilní
injekce Clindamycin phosphate 9 mg/ml
injekce Amikacin sulfate 4 mg/ml
GlukÛza 5% 565
Kompatibilní
injekce Clindamycin phosphate
injekce Amikacin sulfate
GlukÛza 5% 3526
Kompatibilní
injekce Clindamycin phosphate 90 mg/ml
injekce Amikacin sulfate 75 mg/ml
Chlorid sodný 0,9% 639
Nespecifikovaná nekompatibilita Nekompatibilní
injekce Clindamycin phosphate
injekce Aminophylline
3526
Kompatibilní
injekce Clindamycin phosphate 6 mg/ml
injekce Amiodarone hydrochloride 4 mg/ml
Chlorid sodný 0,9% 385
Kompatibilní
injekce Clindamycin phosphate 6 mg/ml
injekce Amiodarone hydrochloride 4 mg/ml
GlukÛza 5% 385
Zákal za hodinu Nekompatibilní
injekce Clindamycin phosphate 150 mg/ml
injekce Amoxicillin sodium / clavulanic acid 100/10 mg/ml
3824
Kompatibilní
injekce Clindamycin phosphate 10 mg/ml
injekce Amphotericin B cholesteryl sulfate complex 0.83 mg/ml
GlukÛza 5% 921
Nespecifikovaná nekompatibilita Nekompatibilní
injekce Clindamycin phosphate
injekce Ampicillin sodium
3526
Kompatibilní
injekce Clindamycin phosphate
GlukÛza 5% 3526
Nespecifikovaná nekompatibilita Nekompatibilní
injekce Clindamycin phosphate
injekce Amobarbital sodium
3526
Kompatibilní
injekce Clindamycin phosphate 10 mg/ml
injekce Amsacrine 1 mg/ml
GlukÛza 5% 253
Kompatibilní
injekce Clindamycin phosphate 10 mg/ml
injekce Anidulafungin 0.5 mg/ml
GlukÛza 5% 1982
Úprava pH> 1 jednotka pH Nekompatibilní
injekce Clindamycin phosphate 9 mg/ml
injekce Atosiban 0,75 mg/ml
4642
Kompatibilní
injekce Clindamycin phosphate 6 mg/ml
injekce Aztreonam 10 mg/ml
GlukÛza 5% 419
Kompatibilní
injekce Clindamycin phosphate 9 mg/ml
injekce Aztreonam 20 mg/ml
GlukÛza 5% 432
Kompatibilní
injekce Clindamycin phosphate 60 mg/ml
injekce Aztreonam 200 mg/ml
Chlorid sodný 0,9% 644
Kompatibilní
injekce Clindamycin phosphate
injekce Aztreonam
Chlorid sodný 0,9% 3526
Kompatibilní
injekce Clindamycin phosphate 3 mg/ml
injekce Aztreonam 10 mg/ml
GlukÛza 5% 419
Kompatibilní
injekce Clindamycin phosphate
injekce Aztreonam
GlukÛza 5% 3526
Kompatibilní
injekce Clindamycin phosphate 24 mg/ml
Parenterální výživa (binární směs) 3379
Okamžité srážení Nekompatibilní
injekce Clindamycin phosphate 30 mg/ml
injekce Azithromycine 2 mg/ml
Chlorid sodný 0,9% 1800
Kompatibilní
injekce Clindamycin phosphate 3 mg/ml
Parenterální výživa (binární směs) 1055
Kompatibilní
injekce Clindamycin phosphate 6 mg/ml
injekce Aztreonam 20 mg/ml
Chlorid sodný 0,9% 419
Kompatibilní
injekce Clindamycin phosphate 3 mg/ml
injekce Aztreonam 20 mg/ml
Chlorid sodný 0,9% 419
Kompatibilní
injekce Clindamycin phosphate 3 mg/ml
injekce Aztreonam 20 mg/ml
GlukÛza 5% 419
Kompatibilní
injekce Clindamycin phosphate 6 mg/ml
injekce Aztreonam 20 mg/ml
GlukÛza 5% 419
Kompatibilní
injekce Clindamycin phosphate 10 mg/ml
injekce Aztreonam 40 mg/ml
GlukÛza 5% 99
Kompatibilní
injekce Clindamycin phosphate 3 mg/ml
injekce Aztreonam 10 mg/ml
Chlorid sodný 0,9% 419
Kompatibilní
injekce Clindamycin phosphate 6 mg/ml
injekce Aztreonam 10 mg/ml
Chlorid sodný 0,9% 419
Kompatibilní
injekce Clindamycin phosphate 9 mg/ml
injekce Aztreonam 20 mg/ml
Chlorid sodný 0,9% 432
Kompatibilní
injekce Clindamycin phosphate 10 mg/ml
injekce Bivalirudin 5 mg/ml
GlukÛza 5% 1713
Kompatibilní
injekce Clindamycin phosphate 150 mg/ml
injekce Caffeine 10 mg/ml
Žádné 3964
Nespecifikovaná nekompatibilita Nekompatibilní
injekce Clindamycin phosphate
injekce Calcium gluconate
3644
Nespecifikovaná nekompatibilita Nekompatibilní
injekce Clindamycin phosphate
injekce Calcium gluconate
3526
Nekompatibilní
injekce Clindamycin phosphate
injekce Calcium gluconate
4964
Okamžité srážení Nekompatibilní
injekce Clindamycin phosphate 10 mg/ml
injekce Caspofungin acetate 0,7 mg/ml
Chlorid sodný 0,9% 2247
Okamžité srážení Nekompatibilní
injekce Clindamycin phosphate 60 mg/ml
injekce Caspofungin acetate 0.5 mg/ml
Chlorid sodný 0,9% 2233
Kompatibilní
injekce Clindamycin phosphate 9 mg/ml
injekce Cefamandole nafate 10 mg/ml
GlukÛza 5% 418
Kompatibilní
injekce Clindamycin phosphate
injekce Cefamandole nafate
Chlorid sodný 0,9% 3526
Kompatibilní
injekce Clindamycin phosphate 9 mg/ml
injekce Cefamandole nafate 10 mg/ml
Chlorid sodný 0,9% 418
Kompatibilní
injekce Clindamycin phosphate
injekce Cefamandole nafate
GlukÛza 5% 3526
Kompatibilní
injekce Clindamycin phosphate 9 mg/ml
injekce Cefazolin sodium 10 mg/ml
Chlorid sodný 0,9% 418
Kompatibilní
injekce Clindamycin phosphate
injekce Cefazolin sodium
Chlorid sodný 0,9% 3526
Kompatibilní
injekce Clindamycin phosphate 9 mg/ml
injekce Cefazolin sodium 10 mg/ml
GlukÛza 5% 418
Kompatibilní
injekce Clindamycin phosphate 0,25 & 6 mg/ml
injekce Cefepime dihydrochloride 4 & 40 mg/ml
GlukÛza 5% 3548
Kompatibilní
injekce Clindamycin phosphate 10 mg/ml
injekce Cefiderocol sulfate tosylate 20 mg/mL
GlukÛza 5% 4528
Kompatibilní
injekce Clindamycin phosphate 12 mg/ml
injekce Cefoperazone sodium 20 mg/ml
GlukÛza 5% 644
Nespecifikovaná nekompatibilita Nekompatibilní
injekce Clindamycin phosphate
NaHCO3 3526
Kompatibilní
injekce Clindamycin phosphate 12 mg/ml
injekce Cefonicid sodium 10 mg/ml
Chlorid sodný 0,9% 644
Kompatibilní
injekce Clindamycin phosphate 10 mg/ml
Parenterální výživa (binární směs) 301
Kompatibilní
injekce Clindamycin phosphate
injekce Cefazolin sodium
GlukÛza 5% 3526
Kompatibilní
injekce Clindamycin phosphate 0,25 & 6 mg/ml
injekce Cefepime dihydrochloride 4 & 40 mg/ml
Chlorid sodný 0,9% 3548
Kompatibilní
injekce Clindamycin phosphate 10 mg/ml
injekce Cefiderocol sulfate tosylate 20 mg/mL
Chlorid sodný 0,9% 4528
Kompatibilní
injekce Clindamycin phosphate 12 mg/ml
injekce Cefonicid sodium 10 mg/ml
GlukÛza 5% 644
Kompatibilní
injekce Clindamycin phosphate 12 mg/ml
injekce Cefoperazone sodium 20 mg/ml
Chlorid sodný 0,9% 644
Kompatibilní
injekce Clindamycin phosphate 150 mg/ml
Parenterální výživa (binární směs) 999
Kompatibilní
injekce Clindamycin phosphate
injekce Cefotaxime sodium
GlukÛza 5% 3526
Kompatibilní
injekce Clindamycin phosphate 9 mg/ml
injekce Cefotaxime sodium 20 mg/ml
GlukÛza 5% 421
Kompatibilní
injekce Clindamycin phosphate 9 mg/ml
injekce Cefotaxime sodium 20 mg/ml
Chlorid sodný 0,9% 421
Kompatibilní
injekce Clindamycin phosphate
injekce Cefotaxime sodium
Chlorid sodný 0,9% 3526
Kompatibilní
injekce Clindamycin phosphate
injekce Cefoxitin sodium
Chlorid sodný 0,9% 3526
Kompatibilní
injekce Clindamycin phosphate 9 mg/ml
injekce Cefoxitin sodium 20 mg/ml
GlukÛza 5% 418
Kompatibilní
injekce Clindamycin phosphate 9 mg/ml
injekce Cefoxitin sodium 20 mg/ml
Chlorid sodný 0,9% 418
Kompatibilní
injekce Clindamycin phosphate
injekce Cefoxitin sodium
GlukÛza 5% 3526
Kompatibilní
injekce Clindamycin phosphate 12 mg/ml
injekce Cefpirome sulfate 50 mg/ml
Chlorid sodný 0,9% 280
Kompatibilní
injekce Clindamycin phosphate 12 mg/ml
injekce Cefpirome sulfate 50 mg/ml
Chlorid sodný 0,45% 280
Kompatibilní
injekce Clindamycin phosphate 12 mg/ml
injekce Cefpirome sulfate 50 mg/ml
GlukÛza 5% 280
Kompatibilní
injekce Clindamycin phosphate 12 mg/ml
injekce Cefpirome sulfate 50 mg/ml
RingerŐs laktátový roztok 280
Kompatibilní
injekce Clindamycin phosphate 10 mg/ml
injekce Ceftaroline fosamil 2,22 mg/ml
RingerŐs laktátový roztok 3249
Kompatibilní
injekce Clindamycin phosphate
injekce Ceftazidime
GlukÛza 5% 3526
Kompatibilní
injekce Clindamycin phosphate 9 mg/ml
injekce Ceftizoxime sodium 20 mg/ml
Chlorid sodný 0,9% 418
Kompatibilní
injekce Clindamycin phosphate
injekce Ceftizoxime sodium
GlukÛza 5% 3526
Kompatibilní
injekce Clindamycin phosphate 10 mg/ml
injekce Ceftobiprole medocaril sodium 2 mg/ml
Chlorid sodný 0,9% 2269
Kompatibilní
injekce Clindamycin phosphate 10 mg/ml
injekce Ceftobiprole medocaril sodium 2 mg/ml
GlukÛza 5% 2269
Kompatibilní
injekce Clindamycin phosphate 10 mg/ml
injekce Ceftobiprole medocaril sodium 2 mg/ml
RingerŐs laktátový roztok 2269
Kompatibilní
injekce Clindamycin phosphate 5,77 mg/ml
Parenterální výživa (lipidy) 4440
Kompatibilní
injekce Clindamycin phosphate 1.2 mg/ml
injekce Cimetidine hydrochloride 1.2 & 5 mg/ml
GlukÛza 5% 1201
Kompatibilní
injekce Clindamycin phosphate 1.2 mg/ml
injekce Cimetidine hydrochloride 1.2 & 5 mg/ml
Chlorid sodný 0,9% 1201
Okamžité srážení Nekompatibilní
injekce Clindamycin phosphate 7 mg/ml
injekce Ciprofloxacin lactate 1.5 mg/ml
GlukÛza 5% 434
Kompatibilní
injekce Clindamycin phosphate 10 mg/ml
injekce Cisatracurium besylate 0.1 >> 5 mg/ml
GlukÛza 5% 299
Kompatibilní
injekce Clindamycin phosphate 150 mg/ml
injekce Cloxacillin sodium 100 mg/ml
Voda pro injekci 3012
Kompatibilní
injekce Clindamycin phosphate 10 mg/ml
injekce Docetaxel 0.9 mg/ml
GlukÛza 5% 1754
Výroba plynových bublin Nekompatibilní
injekce Clindamycin phosphate 10 mg/ml
injekce Doxapram hydrochloride 2 mg/ml
GlukÛza 5% 1802
Kompatibilní
injekce Clindamycin phosphate 10 mg/ml
injekce Doxorubicin hydrochloride liposome peg 0.4 mg/ml
GlukÛza 5% 251
Kompatibilní
injekce Clindamycin phosphate 9 mg/ml
injekce Esmolol hydrochloride 10 mg/ml
GlukÛza 5% 384
Kompatibilní
injekce Clindamycin phosphate 9 mg/ml
injekce Fentanyl citrate 50 µg/ml
GlukÛza 5% 63
Kompatibilní
injekce Clindamycin phosphate 10 mg/ml
Parenterální výživa (lipidy) 3967
Kompatibilní
injekce Clindamycin phosphate 10 mg/ml
injekce Ceftaroline fosamil 2,22 mg/ml
GlukÛza 5% 3249
Kompatibilní
injekce Clindamycin phosphate 10 mg/ml
injekce Ceftaroline fosamil 2,22 mg/ml
Chlorid sodný 0,9% 3249
Kompatibilní
injekce Clindamycin phosphate 9 mg/ml
injekce Ceftazidime 20 mg/ml
GlukÛza 5% 432
Kompatibilní
injekce Clindamycin phosphate
injekce Ceftazidime
Chlorid sodný 0,9% 3526
Kompatibilní
injekce Clindamycin phosphate 9 mg/ml
injekce Ceftazidime 20 mg/ml
Chlorid sodný 0,9% 432
Kompatibilní
injekce Clindamycin phosphate 10 mg/ml
Parenterální výživa (lipidy) 1415
Kompatibilní
injekce Clindamycin phosphate 9 mg/ml
injekce Ceftizoxime sodium 20 mg/ml
GlukÛza 5% 418
Kompatibilní
injekce Clindamycin phosphate
injekce Ceftizoxime sodium
Chlorid sodný 0,9% 3526
Chemická nestabilita Nekompatibilní
injekce Clindamycin phosphate 12 mg/ml
injekce Ceftriaxone disodium 20 mg/ml
GlukÛza 5% 432
Nespecifikovaná nekompatibilita Nekompatibilní
injekce Clindamycin phosphate
injekce Ceftriaxone disodium
3526
Chemická nestabilita Nekompatibilní
injekce Clindamycin phosphate 12 mg/ml
injekce Ceftriaxone disodium 20 mg/ml
Chlorid sodný 0,9% 432
Kompatibilní
injekce Clindamycin phosphate 9 mg/ml
injekce Cefuroxime sodium 15 mg/ml
Chlorid sodný 0,9% 644
Kompatibilní
injekce Clindamycin phosphate 9 mg/ml
injekce Cefuroxime sodium 15 mg/ml
GlukÛza 5% 644
Okamžité srážení Nekompatibilní
injekce Clindamycin phosphate 7 mg/ml
injekce Ciprofloxacin lactate 1.5 mg/ml
Chlorid sodný 0,9% 434
Nespecifikovaná nekompatibilita Nekompatibilní
injekce Clindamycin phosphate
injekce Ciprofloxacin lactate
3526
Kompatibilní
injekce Clindamycin phosphate 10 mg/ml
injekce Dexmedetomidine 4 µg/ml
Chlorid sodný 0,9% 1712
Kompatibilní
injekce Clindamycin phosphate 12 & 150 mg/ml
injekce Diltiazem hydrochloride 5 mg/ml
Chlorid sodný 0,9% 198
Kompatibilní
injekce Clindamycin phosphate
injekce Dimenhydrinate
2087
Kompatibilní
injekce Clindamycin phosphate 9 mg/ml
injekce Enalaprilate 0.05 mg/ml
Chlorid sodný 0,9% 1315
Kompatibilní
injekce Clindamycin phosphate 10 mg/ml
injekce Etoposide phosphate 5 mg/ml
GlukÛza 5% 1410
Kompatibilní
injekce Clindamycin phosphate 10 mg/ml
injekce Fenoldopam mesylate 80 µg/ml
Chlorid sodný 0,9% 1803
Okamžité srážení Nekompatibilní
injekce Clindamycin phosphate 10 mg/ml
injekce Filgrastim 30 µg/ml
GlukÛza 5% 244
Kompatibilní
injekce Clindamycin phosphate 12 mg/ml
injekce Fluconazole 2 mg/ml
Žádné 256
Okamžité srážení Nekompatibilní
injekce Clindamycin phosphate 24 mg/ml
injekce Fluconazole 2 mg/ml
Chlorid sodný 0,9% 496
Kompatibilní
injekce Clindamycin phosphate 10 mg/ml
injekce Fludarabine phosphate 1 mg/ml
GlukÛza 5% 492
Kompatibilní
injekce Clindamycin phosphate 12 mg/ml
injekce Foscarnet sodium 24 mg/ml
GlukÛza 5% 1135
Kompatibilní
injekce Clindamycin phosphate 24 mg/ml
injekce Foscarnet sodium 24 mg/ml
Žádné 73
Kompatibilní
injekce Clindamycin phosphate 12 mg/ml
injekce Foscarnet sodium 24 mg/ml
Chlorid sodný 0,9% 1135
Kompatibilní
injekce Clindamycin phosphate 10 mg/ml
injekce Gemcitabine hydrochloride 10 mg/ml
Chlorid sodný 0,9% 1423
Kompatibilní
injekce Clindamycin phosphate
injekce Gentamicin sulfate
GlukÛza 5% 3526
Kompatibilní
injekce Clindamycin phosphate 90 mg/ml
injekce Gentamicin sulfate 12 mg/ml
Chlorid sodný 0,9% 639
Kompatibilní
injekce Clindamycin phosphate 6 mg/ml
injekce Gentamicin sulfate 0.67 mg/ml
GlukÛza 5% 423
Kompatibilní
injekce Clindamycin phosphate
injekce Gentamicin sulfate
Chlorid sodný 0,9% 3526
Kompatibilní
injekce Clindamycin phosphate 10 mg/ml
injekce Granisetron hydrochloride 0.05 mg/ml
GlukÛza 5% 182
Kompatibilní
injekce Clindamycin phosphate 12 mg/ml
injekce Heparin sodium 50 UI/ml
Žádné 317
Kompatibilní
injekce Clindamycin phosphate 10 mg/ml
injekce Hetastarch 60 mg/ml
Zvláštní rozpouštědla 1721
Kompatibilní
injekce Clindamycin phosphate 12 mg/ml
injekce Hydromorphone hydrochloride 0.2 mg/ml
GlukÛza 5% 405
Nespecifikovaná nekompatibilita Nekompatibilní
injekce Clindamycin phosphate
injekce Idarubicin hydrochloride
3526
Okamžité srážení Nekompatibilní
injekce Clindamycin phosphate 12 mg/ml
injekce Idarubicin hydrochloride 1 mg/ml
Chlorid sodný 0,9% 491
Kompatibilní
injekce Clindamycin phosphate 150 mg/ml
injekce Ketamine hydrochloride 50 mg/ml
2109
Kompatibilní
injekce Clindamycin phosphate 9 mg/ml
injekce Labetalol hydrochloride 1 mg/ml
GlukÛza 5% 386
Okamžité srážení Nekompatibilní
injekce Clindamycin phosphate 10 mg/ml
injekce Lansoprazole 0.55 mg/ml
Chlorid sodný 0,9% 1625
Kompatibilní
injekce Clindamycin phosphate 150 mg/ml
injekce Levofloxacine 5 mg/ml
GlukÛza 5% 1072
Kompatibilní
injekce Clindamycin phosphate 10 mg/ml
injekce Linezolid 2 mg/ml
Žádné 1925
Nespecifikovaná nekompatibilita Nekompatibilní
injekce Clindamycin phosphate
injekce Magnesium chloride
5012
Nespecifikovaná nekompatibilita Nekompatibilní
injekce Clindamycin phosphate
injekce Magnesium sulfate
3838
Kompatibilní
injekce Clindamycin phosphate 12 mg/ml
injekce Magnesium sulfate 16.67 >> 100 mg/ml
GlukÛza 5% 1047
Nespecifikovaná nekompatibilita Nekompatibilní
injekce Clindamycin phosphate
injekce Magnesium sulfate
3526
Kompatibilní
injekce Clindamycin phosphate 10 mg/ml
injekce Melphalan 0.1 mg/ml
Chlorid sodný 0,9% 169
Kompatibilní
injekce Clindamycin phosphate 150 mg/ml
injekce Meropenem 50 mg/ml
Voda pro injekci 4319
Nespecifikovaná nekompatibilita Nekompatibilní
injekce Clindamycin phosphate
injekce Methohexital sodium
3526
Kompatibilní
injekce Clindamycin phosphate 10 mg/ml
injekce Metronidazole 5 mg/ml
Žádné 1035
Kompatibilní
injekce Clindamycin phosphate
injekce Metronidazole
3594
Kompatibilní
injekce Clindamycin phosphate 9 mg/ml
injekce Midazolam hydrochloride 1 mg/ml
GlukÛza 5% 176
Kompatibilní
injekce Clindamycin phosphate 12 mg/ml
injekce Morphine sulfate 1 mg/ml
GlukÛza 5% 405
Kompatibilní
injekce Clindamycin phosphate 150 mg/ml
injekce N-acetylcysteine 200 mg/ml
Žádné 3766
Kompatibilní
injekce Clindamycin phosphate 150 mg/ml
injekce Naloxone hydrochloride 0.4 mg/ml
Žádné 3408
Kompatibilní
injekce Clindamycin phosphate
injekce Netilmicin sulfate
Chlorid sodný 0,9% 3526
Kompatibilní
injekce Clindamycin phosphate 9 mg/ml
injekce Netilmicin sulfate 3 mg/ml
GlukÛza 5% 421
Kompatibilní
injekce Clindamycin phosphate 9 mg/ml
injekce Netilmicin sulfate 3 mg/ml
Chlorid sodný 0,9% 421
Kompatibilní
injekce Clindamycin phosphate
injekce Netilmicin sulfate
GlukÛza 5% 3526
Kompatibilní
injekce Clindamycin phosphate 9 mg/ml
injekce Nicardipine hydrochloride 0.1 mg/ml
Chlorid sodný 0,9% 1490
Kompatibilní
injekce Clindamycin phosphate 9 mg/ml
injekce Nicardipine hydrochloride 0.1 mg/ml
GlukÛza 5% 1490
Kompatibilní
injekce Clindamycin phosphate 6 mg/ml
injekce Ofloxacin 2 mg/ml
Žádné 889
Kompatibilní
injekce Clindamycin phosphate 10 mg/ml
injekce Ondansetron hydrochloride 1 mg/ml
Chlorid sodný 0,9% 334
Srážky po 1 hodině Nekompatibilní
injekce Clindamycin phosphate 12 mg/ml
injekce Oritavancin 0.8 >>2 mg/ml
GlukÛza 5% 3152
Srážky po 1 hodině Nekompatibilní
injekce Clindamycin phosphate
injekce Pantoprazole sodium
2090
Kompatibilní
injekce Clindamycin phosphate 150 mg/ml
injekce Paracetamol 10 mg/ml
4742
Kompatibilní
injekce Clindamycin phosphate 10 mg/ml
injekce Paracetamol 10 mg/ml
Žádné 3571
Kompatibilní
injekce Clindamycin phosphate 10 mg/ml
injekce Pemetrexed disodium 20 mg/ml
Chlorid sodný 0,9% 1953
Nespecifikovaná nekompatibilita Nekompatibilní
injekce Clindamycin phosphate
injekce Pentobarbital sodium
3526
Kompatibilní
injekce Clindamycin phosphate 12 mg/ml
injekce Pethidine hydrochloride 10 mg/ml
GlukÛza 5% 405
Nespecifikovaná nekompatibilita Nekompatibilní
injekce Clindamycin phosphate
injekce Phenobarbital sodium
3526
Nespecifikovaná nekompatibilita Nekompatibilní
injekce Clindamycin phosphate
injekce Phenytoin sodium
3526
Kompatibilní
injekce Clindamycin phosphate 18 mg/ml
injekce Phloroglucinol 2,5 mg/ml
3791
Kompatibilní
injekce Clindamycin phosphate
injekce Piperacillin sodium
GlukÛza 5% 3526
Kompatibilní
injekce Clindamycin phosphate
injekce Piperacillin sodium
Chlorid sodný 0,9% 3526
Kompatibilní
injekce Clindamycin phosphate 9 mg/ml
injekce Piperacillin sodium 40 mg/ml
GlukÛza 5% 432
Kompatibilní
injekce Clindamycin phosphate 9 mg/ml
injekce Piperacillin sodium 40 mg/ml
Chlorid sodný 0,9% 432
Kompatibilní
injekce Clindamycin phosphate 10 mg/ml
injekce Piperacillin sodium / tazobactam 40/5 mg/ml
GlukÛza 5% 81
Okamžitá zákal Nekompatibilní
injekce Clindamycin phosphate 150 mg/ml
injekce Salbutamol sulfate 1 mg/ml
Žádné 3216
Nespecifikovaná nekompatibilita Nekompatibilní
injekce Clindamycin phosphate
injekce Sodium bicarbonate
3526
Okamžité srážení Nekompatibilní
injekce Clindamycin phosphate 12 mg/ml
injekce Temocilline 83.33 mg/ml
Voda pro injekci 2231
Kompatibilní
injekce Clindamycin phosphate 10 mg/ml
injekce Teniposide 0.1 mg/ml
GlukÛza 5% 905
Nespecifikovaná nekompatibilita Nekompatibilní
injekce Clindamycin phosphate
injekce Thiopental sodium
3526
Kompatibilní
injekce Clindamycin phosphate
Chlorid sodný 0,9% 3526
Kompatibilní
injekce Clindamycin phosphate 10 mg/ml
injekce Propofol 10 mg/ml
Žádné 300
Nespecifikovaná nekompatibilita Nekompatibilní
injekce Clindamycin phosphate
injekce Ranitidine hydrochloride
3526
Kompatibilní
injekce Clindamycin phosphate 10 mg/ml
injekce Remifentanil hydrochloride 25 & 250 µg/ml
Chlorid sodný 0,9% 59
Kompatibilní
injekce Clindamycin phosphate 10 mg/ml
injekce Sargramostim 10 µg/ml
Chlorid sodný 0,9% 335
Kompatibilní
injekce Clindamycin phosphate 12 mg/ml
injekce Tacrolimus 1000 µg/ml
Chlorid sodný 0,9% 479
Kompatibilní
injekce Clindamycin phosphate 12 mg/ml
injekce Theophylline 4 mg/ml
Žádné 317
Okamžité srážení Nekompatibilní
injekce Clindamycin phosphate 150 mg/ml
injekce Thiopental sodium 25 mg/ml
Chlorid sodný 0,9% 3767
Kompatibilní
injekce Clindamycin phosphate 10 mg/ml
injekce Thiotepa 1 mg/ml
GlukÛza 5% 249
Kompatibilní
injekce Clindamycin phosphate
injekce Tobramycin sulfate
Chlorid sodný 0,9% 3526
Okamžité srážení Nekompatibilní
injekce Clindamycin phosphate 90 mg/ml
injekce Tobramycin sulfate 12 mg/ml
Chlorid sodný 0,9% 639
Kompatibilní
injekce Clindamycin phosphate
injekce Tobramycin sulfate
GlukÛza 5% 3526
Srážky po 2 hodinách Nekompatibilní
injekce Clindamycin phosphate 6 mg/ml
injekce Tramadol hydrochloride 0,4 mg/ml
Chlorid sodný 0,9% 2002
Kompatibilní
injekce Clindamycin phosphate 1.2 mg/ml
injekce Verapamil hydrochloride 0.08 mg/ml
Chlorid sodný 0,9% 1057
Kompatibilní
injekce Clindamycin phosphate 1.2 mg/ml
injekce Verapamil hydrochloride 0.08 mg/ml
GlukÛza 5% 1057
Kompatibilní
injekce Clindamycin phosphate 10 mg/ml
injekce Vinorelbine tartrate 1 mg/ml
Chlorid sodný 0,9% 84
Kompatibilní
injekce Clindamycin phosphate 12 mg/ml
injekce Zidovudine 4 mg/ml
GlukÛza 5% 337

  Mentions Légales