Pēdējā atjaunošana :
27/04/2026
Antibiotika   Clindamycin phosphate  
Injekcija
Šķīduma stabilitāte Maisījuma stabilitāte Stabilitāti ietekmējoši faktori Saderība Levadīšanas veids Literatūras saraksts pdf
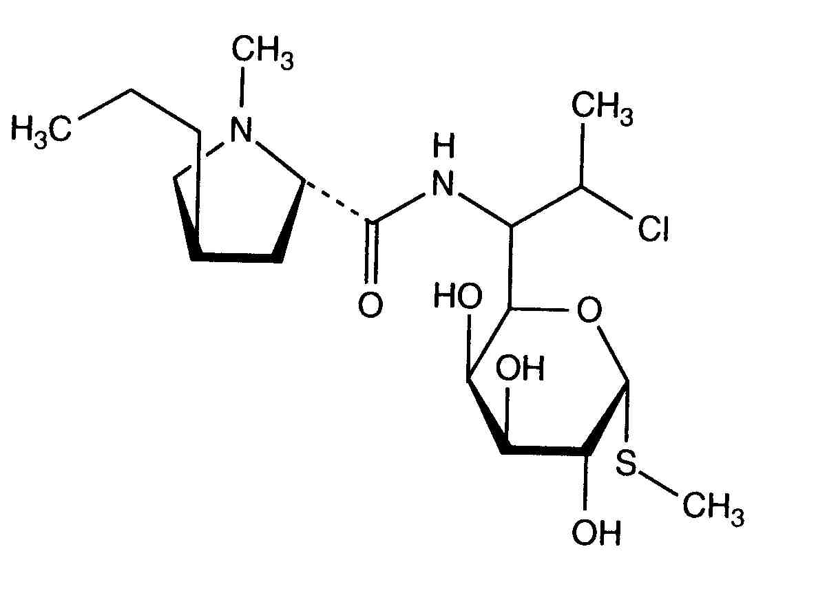
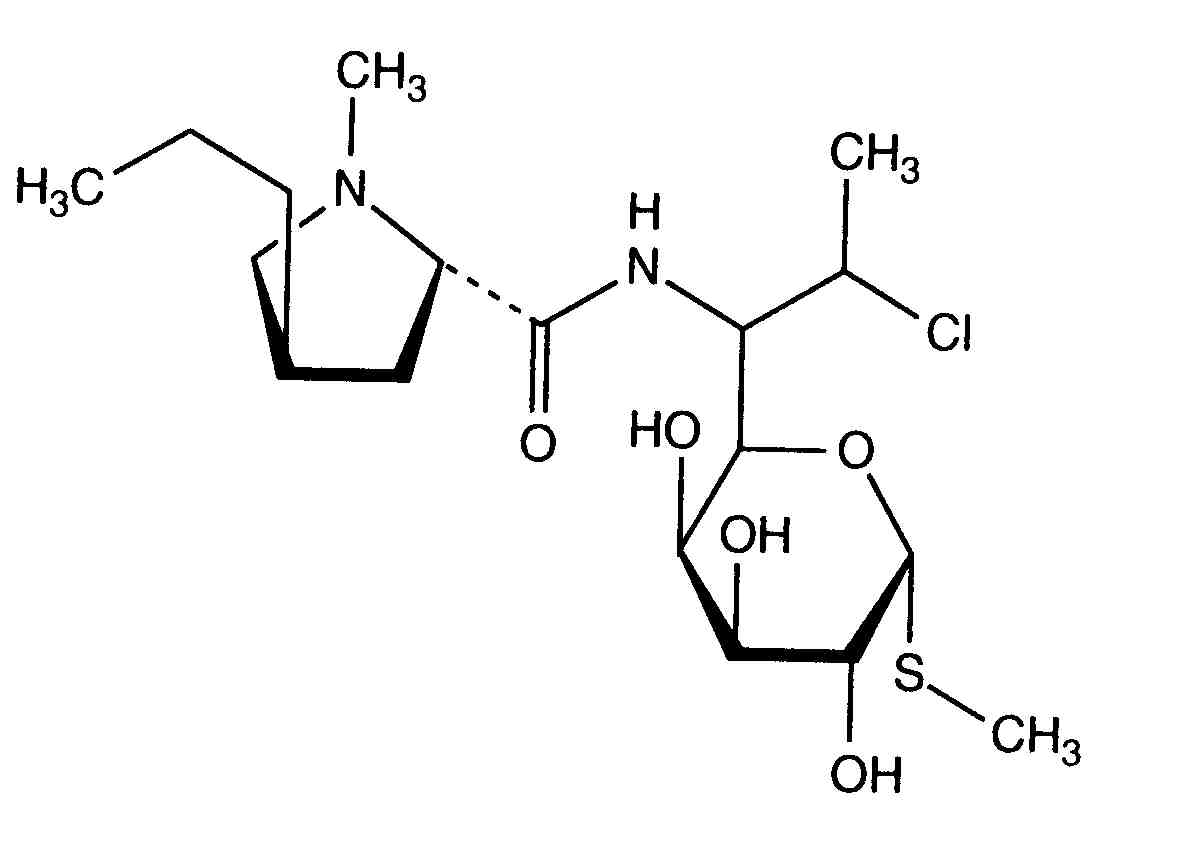
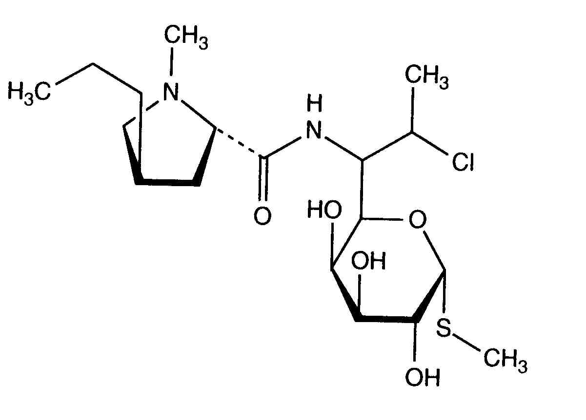
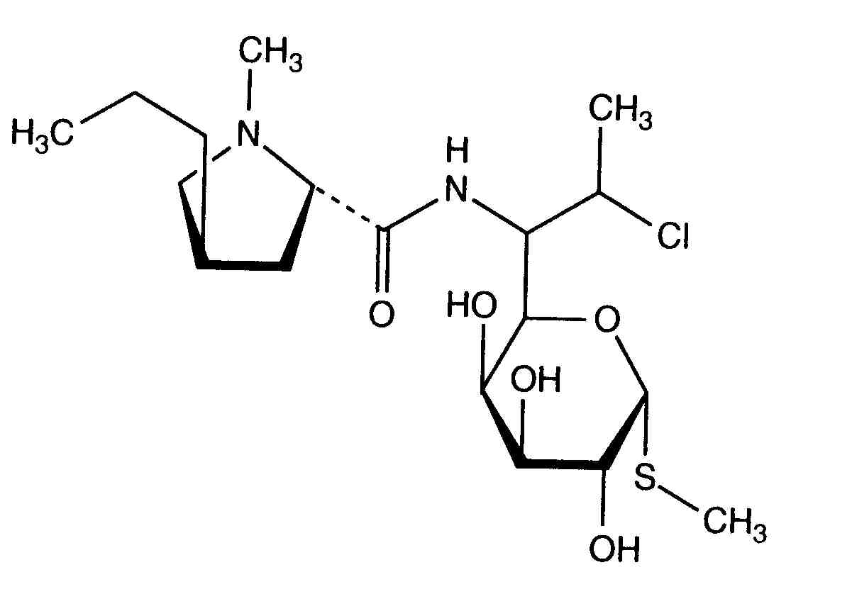
   Ķīmiskā uzbūve   

Oriģinālais nosaukums   Oriģinālais nosaukums     

Tirdzniecības nosaukumi ir apzīmējoši un palīgvielas var atšķirties dažādām valstīm un laboratorijām

Biodaclin Meksika
Camyda Indija
Cinbiot Meksika
Cleocin Amerikas Savienotās Valstis, Austrija, Turcija
Clinamsa Meksika
Clinbac Kolumbija, Peru
Clincina Portugāle
Clinda-Saar Vācija
Clindacid Venecuēla
Clindacin Malaizija
Clindalaf Argentīna
Clindamicina Argentīna, Brazīlija, Čīle, Ekvadora, Itālija, Kolumbija, Meksika, Peru, Portugāle, Spānija, Venecuēla
Clindamycin Amerikas Savienotās Valstis, Austrija, Irāna, Kanāda, Norvēģija, Rumānija, Saūda Arābija, Vācija, Zviedrija
Clindamycin-Hameln Vācija
Clindamycine Beļģija, Francija, Holande, Tunisija
Clindanovag Argentīna
Clindarix Brazīlija
Clindasol Vācija
Clindaval Venecuēla
Clindazyn Meksika
Clindo Polija
Clysvic Meksika
Daclin Čīle
Dalacin Apvienotie Arābu Emirāti, Austrālija, Beļģija, Čīle, Dānija, Ēģipte, Ekvadora, Grieķija, Holande, Indija, Irāna, Īrija, Islande, Itālija, Jaunzēlande, Kanāda, Kolumbija, Lielbritānija, Luksemburga, Malaizija, Meksika, Norvēģija, Polija, Saūda Arābija, Somija, Šveice, Tunisija, Ungārija, Venecuēla, Zviedrija
Dalacine Francija, Tunisija
Daladic Irāna
Dalcinex Indija
Damclid Indija
Damicin Kolumbija, Meksika
Damicine Kolumbija
Dolarclin Kolumbija
Euroclin Ekvadora, Kolumbija
Gynasafe Indija
Indamid Meksika
Klimicin Polija
Klindan Turcija
Klindaver Turcija
Lanacine Austrija
Lincocin Malaizija
Lincosa Malaizija
Meneklin Turcija
Sobelin Vācija
Tidact Malaizija
Saderība   Injekcija   Saderība : Clindamycin phosphate              
Šī tabula parāda zāļu saderību vai nesaderību, pēc iespējas arī nesaderības tipu (precipitācija, krāsas maiņa, emulsijas sadalīšanās utt). Parādītas šeit saderības ir pārsvarā tikai fizikālās, pēc iespējas tiek parādīta ķīmiskā stabilitāte katrai molekulai. Šo maisījumu analīze tikai veikta, lai izprastu iespējamību ievadīt zāles Y-savienojuma vietā sistēmā pacientam. Šie dati nevar tikt izmantoti, lai pagatavot zāļu maisījumus vēlākai lietošanai maisos vai šļircēs. Šī informācija ir pieejama sadaļā "Maisījuma stabilitāte".
Savienojums Šķīdinātājs Literatūras saraksts
Savietojams
Injekcija Clindamycin phosphate 12 mg/ml
Injekcija Aciclovir sodium 5 mg/ml
5% glikoze 336
Tūlītēji nokrišņi Nesavienojams
Injekcija Clindamycin phosphate 10 mg/ml
Injekcija Allopurinol sodium 3 mg/ml
Nātrija hlorīds 0.9% 307
Savietojams
Injekcija Clindamycin phosphate 10 mg/ml
Injekcija Amifostine 10 mg/ml
5% glikoze 3
Savietojams
Injekcija Clindamycin phosphate
Injekcija Amikacin sulfate
Nātrija hlorīds 0.9% 3526
Savietojams
Injekcija Clindamycin phosphate 9 mg/ml
Injekcija Amikacin sulfate 4 mg/ml
Nātrija hlorīds 0.9% 565
Savietojams
Injekcija Clindamycin phosphate 9 mg/ml
Injekcija Amikacin sulfate 4 mg/ml
5% glikoze 565
Savietojams
Injekcija Clindamycin phosphate
Injekcija Amikacin sulfate
5% glikoze 3526
Savietojams
Injekcija Clindamycin phosphate 90 mg/ml
Injekcija Amikacin sulfate 75 mg/ml
Nātrija hlorīds 0.9% 639
Neprecizēta nesaderība Nesavienojams
Injekcija Clindamycin phosphate
Injekcija Aminophylline
3526
Savietojams
Injekcija Clindamycin phosphate 6 mg/ml
Injekcija Amiodarone hydrochloride 4 mg/ml
Nātrija hlorīds 0.9% 385
Savietojams
Injekcija Clindamycin phosphate 6 mg/ml
Injekcija Amiodarone hydrochloride 4 mg/ml
5% glikoze 385
Duļķainums vienā stundā Nesavienojams
Injekcija Clindamycin phosphate 150 mg/ml
Injekcija Amoxicillin sodium / clavulanic acid 100/10 mg/ml
3824
Savietojams
Injekcija Clindamycin phosphate 10 mg/ml
Injekcija Amphotericin B cholesteryl sulfate complex 0.83 mg/ml
5% glikoze 921
Neprecizēta nesaderība Nesavienojams
Injekcija Clindamycin phosphate
Injekcija Ampicillin sodium
3526
Savietojams
Injekcija Clindamycin phosphate
5% glikoze 3526
Neprecizēta nesaderība Nesavienojams
Injekcija Clindamycin phosphate
Injekcija Amobarbital sodium
3526
Savietojams
Injekcija Clindamycin phosphate 10 mg/ml
Injekcija Amsacrine 1 mg/ml
5% glikoze 253
Savietojams
Injekcija Clindamycin phosphate 10 mg/ml
Injekcija Anidulafungin 0.5 mg/ml
5% glikoze 1982
pH modifikācija> 1 pH vienība Nesavienojams
Injekcija Clindamycin phosphate 9 mg/ml
Injekcija Atosiban 0,75 mg/ml
4642
Savietojams
Injekcija Clindamycin phosphate 6 mg/ml
Injekcija Aztreonam 10 mg/ml
5% glikoze 419
Savietojams
Injekcija Clindamycin phosphate 9 mg/ml
Injekcija Aztreonam 20 mg/ml
5% glikoze 432
Savietojams
Injekcija Clindamycin phosphate 60 mg/ml
Injekcija Aztreonam 200 mg/ml
Nātrija hlorīds 0.9% 644
Savietojams
Injekcija Clindamycin phosphate
Injekcija Aztreonam
Nātrija hlorīds 0.9% 3526
Savietojams
Injekcija Clindamycin phosphate 3 mg/ml
Injekcija Aztreonam 10 mg/ml
5% glikoze 419
Savietojams
Injekcija Clindamycin phosphate
Injekcija Aztreonam
5% glikoze 3526
Savietojams
Injekcija Clindamycin phosphate 24 mg/ml
Parenterāla barošana (lipīdu-free) 3379
Tūlītēji nokrišņi Nesavienojams
Injekcija Clindamycin phosphate 30 mg/ml
Injekcija Azithromycine 2 mg/ml
Nātrija hlorīds 0.9% 1800
Savietojams
Injekcija Clindamycin phosphate 3 mg/ml
Parenterāla barošana (lipīdu-free) 1055
Savietojams
Injekcija Clindamycin phosphate 6 mg/ml
Injekcija Aztreonam 20 mg/ml
Nātrija hlorīds 0.9% 419
Savietojams
Injekcija Clindamycin phosphate 3 mg/ml
Injekcija Aztreonam 20 mg/ml
Nātrija hlorīds 0.9% 419
Savietojams
Injekcija Clindamycin phosphate 3 mg/ml
Injekcija Aztreonam 20 mg/ml
5% glikoze 419
Savietojams
Injekcija Clindamycin phosphate 6 mg/ml
Injekcija Aztreonam 20 mg/ml
5% glikoze 419
Savietojams
Injekcija Clindamycin phosphate 10 mg/ml
Injekcija Aztreonam 40 mg/ml
5% glikoze 99
Savietojams
Injekcija Clindamycin phosphate 3 mg/ml
Injekcija Aztreonam 10 mg/ml
Nātrija hlorīds 0.9% 419
Savietojams
Injekcija Clindamycin phosphate 6 mg/ml
Injekcija Aztreonam 10 mg/ml
Nātrija hlorīds 0.9% 419
Savietojams
Injekcija Clindamycin phosphate 9 mg/ml
Injekcija Aztreonam 20 mg/ml
Nātrija hlorīds 0.9% 432
Savietojams
Injekcija Clindamycin phosphate 10 mg/ml
Injekcija Bivalirudin 5 mg/ml
5% glikoze 1713
Savietojams
Injekcija Clindamycin phosphate 150 mg/ml
Injekcija Caffeine 10 mg/ml
Nekāds 3964
Neprecizēta nesaderība Nesavienojams
Injekcija Clindamycin phosphate
Injekcija Calcium gluconate
3644
Neprecizēta nesaderība Nesavienojams
Injekcija Clindamycin phosphate
Injekcija Calcium gluconate
3526
Nesavienojams
Injekcija Clindamycin phosphate
Injekcija Calcium gluconate
4964
Tūlītēji nokrišņi Nesavienojams
Injekcija Clindamycin phosphate 10 mg/ml
Injekcija Caspofungin acetate 0,7 mg/ml
Nātrija hlorīds 0.9% 2247
Tūlītēji nokrišņi Nesavienojams
Injekcija Clindamycin phosphate 60 mg/ml
Injekcija Caspofungin acetate 0.5 mg/ml
Nātrija hlorīds 0.9% 2233
Savietojams
Injekcija Clindamycin phosphate 9 mg/ml
Injekcija Cefamandole nafate 10 mg/ml
5% glikoze 418
Savietojams
Injekcija Clindamycin phosphate
Injekcija Cefamandole nafate
Nātrija hlorīds 0.9% 3526
Savietojams
Injekcija Clindamycin phosphate 9 mg/ml
Injekcija Cefamandole nafate 10 mg/ml
Nātrija hlorīds 0.9% 418
Savietojams
Injekcija Clindamycin phosphate
Injekcija Cefamandole nafate
5% glikoze 3526
Savietojams
Injekcija Clindamycin phosphate 9 mg/ml
Injekcija Cefazolin sodium 10 mg/ml
Nātrija hlorīds 0.9% 418
Savietojams
Injekcija Clindamycin phosphate
Injekcija Cefazolin sodium
Nātrija hlorīds 0.9% 3526
Savietojams
Injekcija Clindamycin phosphate 9 mg/ml
Injekcija Cefazolin sodium 10 mg/ml
5% glikoze 418
Savietojams
Injekcija Clindamycin phosphate 0,25 & 6 mg/ml
Injekcija Cefepime dihydrochloride 4 & 40 mg/ml
5% glikoze 3548
Savietojams
Injekcija Clindamycin phosphate 10 mg/ml
Injekcija Cefiderocol sulfate tosylate 20 mg/mL
5% glikoze 4528
Savietojams
Injekcija Clindamycin phosphate 12 mg/ml
Injekcija Cefoperazone sodium 20 mg/ml
5% glikoze 644
Neprecizēta nesaderība Nesavienojams
Injekcija Clindamycin phosphate
NaHCO3 3526
Savietojams
Injekcija Clindamycin phosphate 12 mg/ml
Injekcija Cefonicid sodium 10 mg/ml
Nātrija hlorīds 0.9% 644
Savietojams
Injekcija Clindamycin phosphate 10 mg/ml
Parenterāla barošana (lipīdu-free) 301
Savietojams
Injekcija Clindamycin phosphate
Injekcija Cefazolin sodium
5% glikoze 3526
Savietojams
Injekcija Clindamycin phosphate 0,25 & 6 mg/ml
Injekcija Cefepime dihydrochloride 4 & 40 mg/ml
Nātrija hlorīds 0.9% 3548
Savietojams
Injekcija Clindamycin phosphate 10 mg/ml
Injekcija Cefiderocol sulfate tosylate 20 mg/mL
Nātrija hlorīds 0.9% 4528
Savietojams
Injekcija Clindamycin phosphate 12 mg/ml
Injekcija Cefonicid sodium 10 mg/ml
5% glikoze 644
Savietojams
Injekcija Clindamycin phosphate 12 mg/ml
Injekcija Cefoperazone sodium 20 mg/ml
Nātrija hlorīds 0.9% 644
Savietojams
Injekcija Clindamycin phosphate 150 mg/ml
Parenterāla barošana (lipīdu-free) 999
Savietojams
Injekcija Clindamycin phosphate
Injekcija Cefotaxime sodium
5% glikoze 3526
Savietojams
Injekcija Clindamycin phosphate 9 mg/ml
Injekcija Cefotaxime sodium 20 mg/ml
5% glikoze 421
Savietojams
Injekcija Clindamycin phosphate 9 mg/ml
Injekcija Cefotaxime sodium 20 mg/ml
Nātrija hlorīds 0.9% 421
Savietojams
Injekcija Clindamycin phosphate
Injekcija Cefotaxime sodium
Nātrija hlorīds 0.9% 3526
Savietojams
Injekcija Clindamycin phosphate
Injekcija Cefoxitin sodium
Nātrija hlorīds 0.9% 3526
Savietojams
Injekcija Clindamycin phosphate 9 mg/ml
Injekcija Cefoxitin sodium 20 mg/ml
5% glikoze 418
Savietojams
Injekcija Clindamycin phosphate 9 mg/ml
Injekcija Cefoxitin sodium 20 mg/ml
Nātrija hlorīds 0.9% 418
Savietojams
Injekcija Clindamycin phosphate
Injekcija Cefoxitin sodium
5% glikoze 3526
Savietojams
Injekcija Clindamycin phosphate 12 mg/ml
Injekcija Cefpirome sulfate 50 mg/ml
Nātrija hlorīds 0.9% 280
Savietojams
Injekcija Clindamycin phosphate 12 mg/ml
Injekcija Cefpirome sulfate 50 mg/ml
Nātrija hlorīds 0.45% 280
Savietojams
Injekcija Clindamycin phosphate 12 mg/ml
Injekcija Cefpirome sulfate 50 mg/ml
5% glikoze 280
Savietojams
Injekcija Clindamycin phosphate 12 mg/ml
Injekcija Cefpirome sulfate 50 mg/ml
Ringera laktāta šķīdums 280
Savietojams
Injekcija Clindamycin phosphate 10 mg/ml
Injekcija Ceftaroline fosamil 2,22 mg/ml
Ringera laktāta šķīdums 3249
Savietojams
Injekcija Clindamycin phosphate
Injekcija Ceftazidime
5% glikoze 3526
Savietojams
Injekcija Clindamycin phosphate 9 mg/ml
Injekcija Ceftizoxime sodium 20 mg/ml
Nātrija hlorīds 0.9% 418
Savietojams
Injekcija Clindamycin phosphate
Injekcija Ceftizoxime sodium
5% glikoze 3526
Savietojams
Injekcija Clindamycin phosphate 10 mg/ml
Injekcija Ceftobiprole medocaril sodium 2 mg/ml
Nātrija hlorīds 0.9% 2269
Savietojams
Injekcija Clindamycin phosphate 10 mg/ml
Injekcija Ceftobiprole medocaril sodium 2 mg/ml
5% glikoze 2269
Savietojams
Injekcija Clindamycin phosphate 10 mg/ml
Injekcija Ceftobiprole medocaril sodium 2 mg/ml
Ringera laktāta šķīdums 2269
Savietojams
Injekcija Clindamycin phosphate 5,77 mg/ml
Parenterāla barošana (ar lipīdiem) 4440
Savietojams
Injekcija Clindamycin phosphate 1.2 mg/ml
Injekcija Cimetidine hydrochloride 1.2 & 5 mg/ml
5% glikoze 1201
Savietojams
Injekcija Clindamycin phosphate 1.2 mg/ml
Injekcija Cimetidine hydrochloride 1.2 & 5 mg/ml
Nātrija hlorīds 0.9% 1201
Tūlītēji nokrišņi Nesavienojams
Injekcija Clindamycin phosphate 7 mg/ml
Injekcija Ciprofloxacin lactate 1.5 mg/ml
5% glikoze 434
Savietojams
Injekcija Clindamycin phosphate 10 mg/ml
Injekcija Cisatracurium besylate 0.1 >> 5 mg/ml
5% glikoze 299
Savietojams
Injekcija Clindamycin phosphate 150 mg/ml
Injekcija Cloxacillin sodium 100 mg/ml
Ūdens injekcijām 3012
Savietojams
Injekcija Clindamycin phosphate 10 mg/ml
Injekcija Docetaxel 0.9 mg/ml
5% glikoze 1754
Gāzes burbuļu veidošanās Nesavienojams
Injekcija Clindamycin phosphate 10 mg/ml
Injekcija Doxapram hydrochloride 2 mg/ml
5% glikoze 1802
Savietojams
Injekcija Clindamycin phosphate 10 mg/ml
Injekcija Doxorubicin hydrochloride liposome peg 0.4 mg/ml
5% glikoze 251
Savietojams
Injekcija Clindamycin phosphate 9 mg/ml
Injekcija Esmolol hydrochloride 10 mg/ml
5% glikoze 384
Savietojams
Injekcija Clindamycin phosphate 9 mg/ml
Injekcija Fentanyl citrate 50 µg/ml
5% glikoze 63
Savietojams
Injekcija Clindamycin phosphate 10 mg/ml
Parenterāla barošana (ar lipīdiem) 3967
Savietojams
Injekcija Clindamycin phosphate 10 mg/ml
Injekcija Ceftaroline fosamil 2,22 mg/ml
5% glikoze 3249
Savietojams
Injekcija Clindamycin phosphate 10 mg/ml
Injekcija Ceftaroline fosamil 2,22 mg/ml
Nātrija hlorīds 0.9% 3249
Savietojams
Injekcija Clindamycin phosphate 9 mg/ml
Injekcija Ceftazidime 20 mg/ml
5% glikoze 432
Savietojams
Injekcija Clindamycin phosphate
Injekcija Ceftazidime
Nātrija hlorīds 0.9% 3526
Savietojams
Injekcija Clindamycin phosphate 9 mg/ml
Injekcija Ceftazidime 20 mg/ml
Nātrija hlorīds 0.9% 432
Savietojams
Injekcija Clindamycin phosphate 10 mg/ml
Parenterāla barošana (ar lipīdiem) 1415
Savietojams
Injekcija Clindamycin phosphate 9 mg/ml
Injekcija Ceftizoxime sodium 20 mg/ml
5% glikoze 418
Savietojams
Injekcija Clindamycin phosphate
Injekcija Ceftizoxime sodium
Nātrija hlorīds 0.9% 3526
Ķīmiskā nestabilitāte Nesavienojams
Injekcija Clindamycin phosphate 12 mg/ml
Injekcija Ceftriaxone disodium 20 mg/ml
5% glikoze 432
Neprecizēta nesaderība Nesavienojams
Injekcija Clindamycin phosphate
Injekcija Ceftriaxone disodium
3526
Ķīmiskā nestabilitāte Nesavienojams
Injekcija Clindamycin phosphate 12 mg/ml
Injekcija Ceftriaxone disodium 20 mg/ml
Nātrija hlorīds 0.9% 432
Savietojams
Injekcija Clindamycin phosphate 9 mg/ml
Injekcija Cefuroxime sodium 15 mg/ml
Nātrija hlorīds 0.9% 644
Savietojams
Injekcija Clindamycin phosphate 9 mg/ml
Injekcija Cefuroxime sodium 15 mg/ml
5% glikoze 644
Tūlītēji nokrišņi Nesavienojams
Injekcija Clindamycin phosphate 7 mg/ml
Injekcija Ciprofloxacin lactate 1.5 mg/ml
Nātrija hlorīds 0.9% 434
Neprecizēta nesaderība Nesavienojams
Injekcija Clindamycin phosphate
Injekcija Ciprofloxacin lactate
3526
Savietojams
Injekcija Clindamycin phosphate 10 mg/ml
Injekcija Dexmedetomidine 4 µg/ml
Nātrija hlorīds 0.9% 1712
Savietojams
Injekcija Clindamycin phosphate 12 & 150 mg/ml
Injekcija Diltiazem hydrochloride 5 mg/ml
Nātrija hlorīds 0.9% 198
Savietojams
Injekcija Clindamycin phosphate
Injekcija Dimenhydrinate
2087
Savietojams
Injekcija Clindamycin phosphate 9 mg/ml
Injekcija Enalaprilate 0.05 mg/ml
Nātrija hlorīds 0.9% 1315
Savietojams
Injekcija Clindamycin phosphate 10 mg/ml
Injekcija Etoposide phosphate 5 mg/ml
5% glikoze 1410
Savietojams
Injekcija Clindamycin phosphate 10 mg/ml
Injekcija Fenoldopam mesylate 80 µg/ml
Nātrija hlorīds 0.9% 1803
Tūlītēji nokrišņi Nesavienojams
Injekcija Clindamycin phosphate 10 mg/ml
Injekcija Filgrastim 30 µg/ml
5% glikoze 244
Savietojams
Injekcija Clindamycin phosphate 12 mg/ml
Injekcija Fluconazole 2 mg/ml
Nekāds 256
Tūlītēji nokrišņi Nesavienojams
Injekcija Clindamycin phosphate 24 mg/ml
Injekcija Fluconazole 2 mg/ml
Nātrija hlorīds 0.9% 496
Savietojams
Injekcija Clindamycin phosphate 10 mg/ml
Injekcija Fludarabine phosphate 1 mg/ml
5% glikoze 492
Savietojams
Injekcija Clindamycin phosphate 12 mg/ml
Injekcija Foscarnet sodium 24 mg/ml
5% glikoze 1135
Savietojams
Injekcija Clindamycin phosphate 24 mg/ml
Injekcija Foscarnet sodium 24 mg/ml
Nekāds 73
Savietojams
Injekcija Clindamycin phosphate 12 mg/ml
Injekcija Foscarnet sodium 24 mg/ml
Nātrija hlorīds 0.9% 1135
Savietojams
Injekcija Clindamycin phosphate 10 mg/ml
Injekcija Gemcitabine hydrochloride 10 mg/ml
Nātrija hlorīds 0.9% 1423
Savietojams
Injekcija Clindamycin phosphate
Injekcija Gentamicin sulfate
5% glikoze 3526
Savietojams
Injekcija Clindamycin phosphate 90 mg/ml
Injekcija Gentamicin sulfate 12 mg/ml
Nātrija hlorīds 0.9% 639
Savietojams
Injekcija Clindamycin phosphate 6 mg/ml
Injekcija Gentamicin sulfate 0.67 mg/ml
5% glikoze 423
Savietojams
Injekcija Clindamycin phosphate
Injekcija Gentamicin sulfate
Nātrija hlorīds 0.9% 3526
Savietojams
Injekcija Clindamycin phosphate 10 mg/ml
Injekcija Granisetron hydrochloride 0.05 mg/ml
5% glikoze 182
Savietojams
Injekcija Clindamycin phosphate 12 mg/ml
Injekcija Heparin sodium 50 UI/ml
Nekāds 317
Savietojams
Injekcija Clindamycin phosphate 10 mg/ml
Injekcija Hetastarch 60 mg/ml
īpašu šķīdinātāju 1721
Savietojams
Injekcija Clindamycin phosphate 12 mg/ml
Injekcija Hydromorphone hydrochloride 0.2 mg/ml
5% glikoze 405
Neprecizēta nesaderība Nesavienojams
Injekcija Clindamycin phosphate
Injekcija Idarubicin hydrochloride
3526
Tūlītēji nokrišņi Nesavienojams
Injekcija Clindamycin phosphate 12 mg/ml
Injekcija Idarubicin hydrochloride 1 mg/ml
Nātrija hlorīds 0.9% 491
Savietojams
Injekcija Clindamycin phosphate 150 mg/ml
Injekcija Ketamine hydrochloride 50 mg/ml
2109
Savietojams
Injekcija Clindamycin phosphate 9 mg/ml
Injekcija Labetalol hydrochloride 1 mg/ml
5% glikoze 386
Tūlītēji nokrišņi Nesavienojams
Injekcija Clindamycin phosphate 10 mg/ml
Injekcija Lansoprazole 0.55 mg/ml
Nātrija hlorīds 0.9% 1625
Savietojams
Injekcija Clindamycin phosphate 150 mg/ml
Injekcija Levofloxacine 5 mg/ml
5% glikoze 1072
Savietojams
Injekcija Clindamycin phosphate 10 mg/ml
Injekcija Linezolid 2 mg/ml
Nekāds 1925
Neprecizēta nesaderība Nesavienojams
Injekcija Clindamycin phosphate
Injekcija Magnesium chloride
5012
Neprecizēta nesaderība Nesavienojams
Injekcija Clindamycin phosphate
Injekcija Magnesium sulfate
3838
Savietojams
Injekcija Clindamycin phosphate 12 mg/ml
Injekcija Magnesium sulfate 16.67 >> 100 mg/ml
5% glikoze 1047
Neprecizēta nesaderība Nesavienojams
Injekcija Clindamycin phosphate
Injekcija Magnesium sulfate
3526
Savietojams
Injekcija Clindamycin phosphate 10 mg/ml
Injekcija Melphalan 0.1 mg/ml
Nātrija hlorīds 0.9% 169
Savietojams
Injekcija Clindamycin phosphate 150 mg/ml
Injekcija Meropenem 50 mg/ml
Ūdens injekcijām 4319
Neprecizēta nesaderība Nesavienojams
Injekcija Clindamycin phosphate
Injekcija Methohexital sodium
3526
Savietojams
Injekcija Clindamycin phosphate 10 mg/ml
Injekcija Metronidazole 5 mg/ml
Nekāds 1035
Savietojams
Injekcija Clindamycin phosphate
Injekcija Metronidazole
3594
Savietojams
Injekcija Clindamycin phosphate 9 mg/ml
Injekcija Midazolam hydrochloride 1 mg/ml
5% glikoze 176
Savietojams
Injekcija Clindamycin phosphate 12 mg/ml
Injekcija Morphine sulfate 1 mg/ml
5% glikoze 405
Savietojams
Injekcija Clindamycin phosphate 150 mg/ml
Injekcija N-acetylcysteine 200 mg/ml
Nekāds 3766
Savietojams
Injekcija Clindamycin phosphate 150 mg/ml
Injekcija Naloxone hydrochloride 0.4 mg/ml
Nekāds 3408
Savietojams
Injekcija Clindamycin phosphate
Injekcija Netilmicin sulfate
Nātrija hlorīds 0.9% 3526
Savietojams
Injekcija Clindamycin phosphate 9 mg/ml
Injekcija Netilmicin sulfate 3 mg/ml
5% glikoze 421
Savietojams
Injekcija Clindamycin phosphate 9 mg/ml
Injekcija Netilmicin sulfate 3 mg/ml
Nātrija hlorīds 0.9% 421
Savietojams
Injekcija Clindamycin phosphate
Injekcija Netilmicin sulfate
5% glikoze 3526
Savietojams
Injekcija Clindamycin phosphate 9 mg/ml
Injekcija Nicardipine hydrochloride 0.1 mg/ml
Nātrija hlorīds 0.9% 1490
Savietojams
Injekcija Clindamycin phosphate 9 mg/ml
Injekcija Nicardipine hydrochloride 0.1 mg/ml
5% glikoze 1490
Savietojams
Injekcija Clindamycin phosphate 6 mg/ml
Injekcija Ofloxacin 2 mg/ml
Nekāds 889
Savietojams
Injekcija Clindamycin phosphate 10 mg/ml
Injekcija Ondansetron hydrochloride 1 mg/ml
Nātrija hlorīds 0.9% 334
Nokrišņi pēc 1 stundas Nesavienojams
Injekcija Clindamycin phosphate 12 mg/ml
Injekcija Oritavancin 0.8 >>2 mg/ml
5% glikoze 3152
Nokrišņi pēc 1 stundas Nesavienojams
Injekcija Clindamycin phosphate
Injekcija Pantoprazole sodium
2090
Savietojams
Injekcija Clindamycin phosphate 150 mg/ml
Injekcija Paracetamol 10 mg/ml
4742
Savietojams
Injekcija Clindamycin phosphate 10 mg/ml
Injekcija Paracetamol 10 mg/ml
Nekāds 3571
Savietojams
Injekcija Clindamycin phosphate 10 mg/ml
Injekcija Pemetrexed disodium 20 mg/ml
Nātrija hlorīds 0.9% 1953
Neprecizēta nesaderība Nesavienojams
Injekcija Clindamycin phosphate
Injekcija Pentobarbital sodium
3526
Savietojams
Injekcija Clindamycin phosphate 12 mg/ml
Injekcija Pethidine hydrochloride 10 mg/ml
5% glikoze 405
Neprecizēta nesaderība Nesavienojams
Injekcija Clindamycin phosphate
Injekcija Phenobarbital sodium
3526
Neprecizēta nesaderība Nesavienojams
Injekcija Clindamycin phosphate
Injekcija Phenytoin sodium
3526
Savietojams
Injekcija Clindamycin phosphate 18 mg/ml
Injekcija Phloroglucinol 2,5 mg/ml
3791
Savietojams
Injekcija Clindamycin phosphate
Injekcija Piperacillin sodium
5% glikoze 3526
Savietojams
Injekcija Clindamycin phosphate
Injekcija Piperacillin sodium
Nātrija hlorīds 0.9% 3526
Savietojams
Injekcija Clindamycin phosphate 9 mg/ml
Injekcija Piperacillin sodium 40 mg/ml
5% glikoze 432
Savietojams
Injekcija Clindamycin phosphate 9 mg/ml
Injekcija Piperacillin sodium 40 mg/ml
Nātrija hlorīds 0.9% 432
Savietojams
Injekcija Clindamycin phosphate 10 mg/ml
Injekcija Piperacillin sodium / tazobactam 40/5 mg/ml
5% glikoze 81
Tūlītēja duļķainība Nesavienojams
Injekcija Clindamycin phosphate 150 mg/ml
Injekcija Salbutamol sulfate 1 mg/ml
Nekāds 3216
Neprecizēta nesaderība Nesavienojams
Injekcija Clindamycin phosphate
Injekcija Sodium bicarbonate
3526
Tūlītēji nokrišņi Nesavienojams
Injekcija Clindamycin phosphate 12 mg/ml
Injekcija Temocilline 83.33 mg/ml
Ūdens injekcijām 2231
Savietojams
Injekcija Clindamycin phosphate 10 mg/ml
Injekcija Teniposide 0.1 mg/ml
5% glikoze 905
Neprecizēta nesaderība Nesavienojams
Injekcija Clindamycin phosphate
Injekcija Thiopental sodium
3526
Savietojams
Injekcija Clindamycin phosphate
Nātrija hlorīds 0.9% 3526
Savietojams
Injekcija Clindamycin phosphate 10 mg/ml
Injekcija Propofol 10 mg/ml
Nekāds 300
Neprecizēta nesaderība Nesavienojams
Injekcija Clindamycin phosphate
Injekcija Ranitidine hydrochloride
3526
Savietojams
Injekcija Clindamycin phosphate 10 mg/ml
Injekcija Remifentanil hydrochloride 25 & 250 µg/ml
Nātrija hlorīds 0.9% 59
Savietojams
Injekcija Clindamycin phosphate 10 mg/ml
Injekcija Sargramostim 10 µg/ml
Nātrija hlorīds 0.9% 335
Savietojams
Injekcija Clindamycin phosphate 12 mg/ml
Injekcija Tacrolimus 1000 µg/ml
Nātrija hlorīds 0.9% 479
Savietojams
Injekcija Clindamycin phosphate 12 mg/ml
Injekcija Theophylline 4 mg/ml
Nekāds 317
Tūlītēji nokrišņi Nesavienojams
Injekcija Clindamycin phosphate 150 mg/ml
Injekcija Thiopental sodium 25 mg/ml
Nātrija hlorīds 0.9% 3767
Savietojams
Injekcija Clindamycin phosphate 10 mg/ml
Injekcija Thiotepa 1 mg/ml
5% glikoze 249
Savietojams
Injekcija Clindamycin phosphate
Injekcija Tobramycin sulfate
Nātrija hlorīds 0.9% 3526
Tūlītēji nokrišņi Nesavienojams
Injekcija Clindamycin phosphate 90 mg/ml
Injekcija Tobramycin sulfate 12 mg/ml
Nātrija hlorīds 0.9% 639
Savietojams
Injekcija Clindamycin phosphate
Injekcija Tobramycin sulfate
5% glikoze 3526
Nokrišņi pēc 2 stundām Nesavienojams
Injekcija Clindamycin phosphate 6 mg/ml
Injekcija Tramadol hydrochloride 0,4 mg/ml
Nātrija hlorīds 0.9% 2002
Savietojams
Injekcija Clindamycin phosphate 1.2 mg/ml
Injekcija Verapamil hydrochloride 0.08 mg/ml
Nātrija hlorīds 0.9% 1057
Savietojams
Injekcija Clindamycin phosphate 1.2 mg/ml
Injekcija Verapamil hydrochloride 0.08 mg/ml
5% glikoze 1057
Savietojams
Injekcija Clindamycin phosphate 10 mg/ml
Injekcija Vinorelbine tartrate 1 mg/ml
Nātrija hlorīds 0.9% 84
Savietojams
Injekcija Clindamycin phosphate 12 mg/ml
Injekcija Zidovudine 4 mg/ml
5% glikoze 337

  Mentions Légales