Последно актуализиране :
27/04/2026
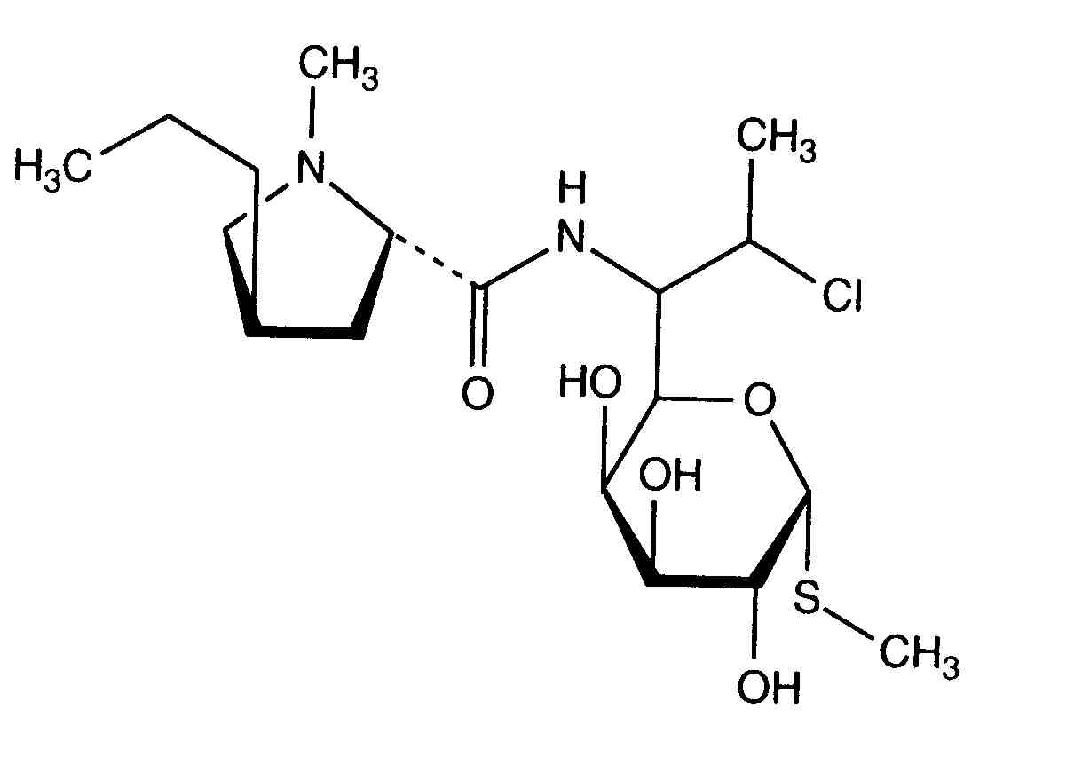
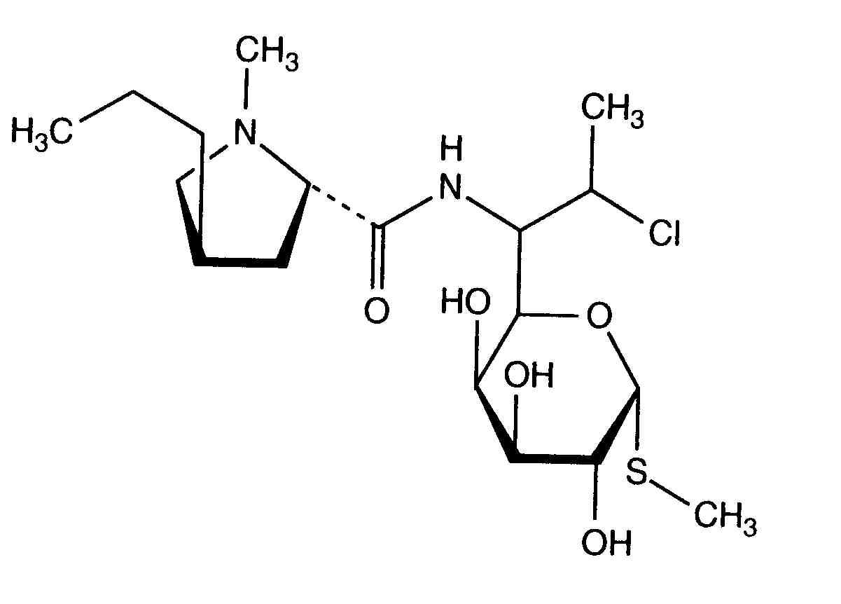
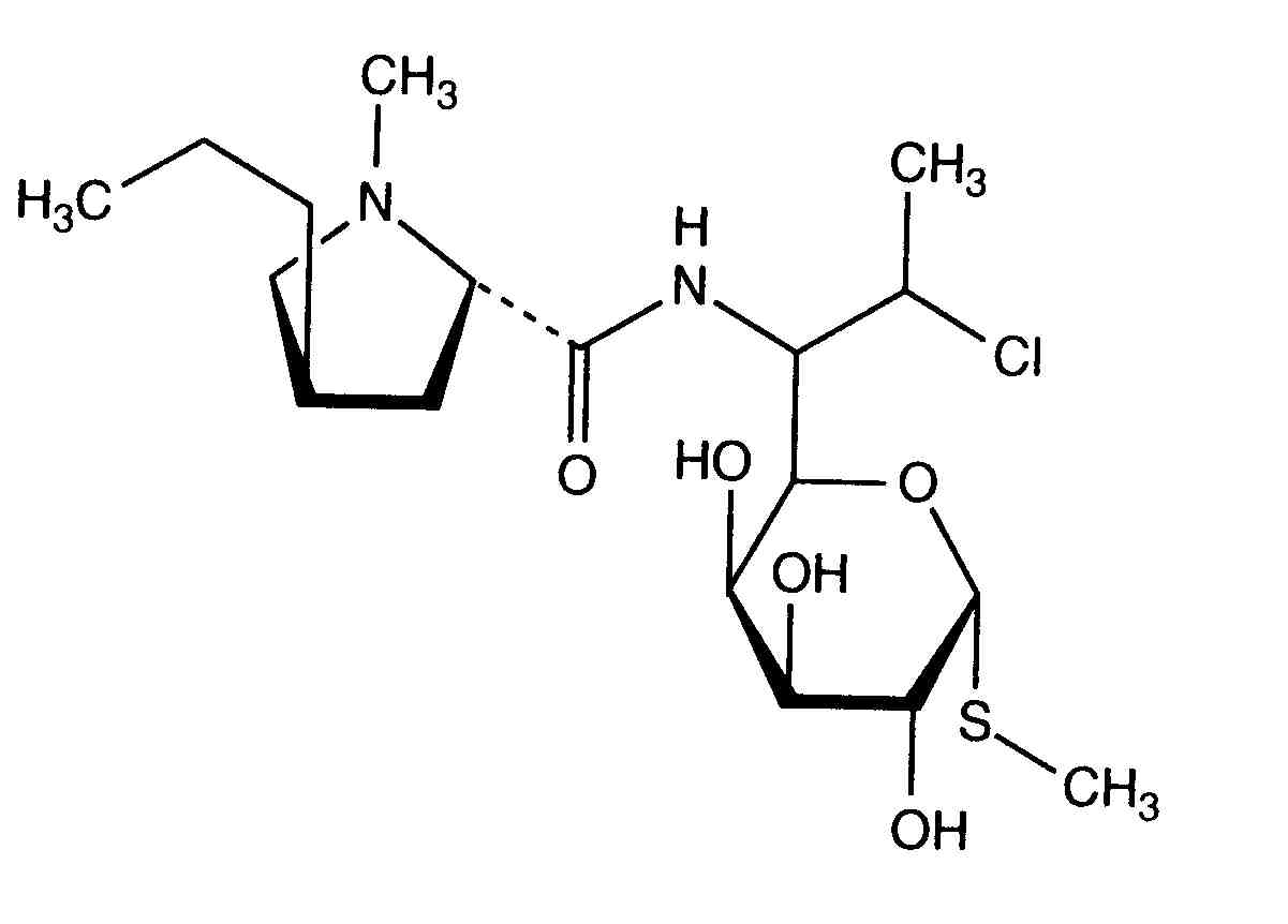
Антибиотик   Clindamycin phosphate  
Инжекция/Инжекционен
Стабилност на разтвори Стабилност на смеси Фактори, повлияващи стабилността Съвместимост Път на въвеждане Библиография Pdf
   Химична структура  

Търговско наименование   Търговско наименование     

Търговските имена са примерни и съставът на помощните вещества може да бъде различен в зависимост от държавата и лабораториите

Biodaclin Мексико
Camyda Индия
Cinbiot Мексико
Cleocin Австрия, Съединени Американски щати / САЩ, Турция
Clinamsa Мексико
Clinbac Колумбия, Перу
Clincina Португалия
Clinda-Saar Германия
Clindacid Венецуела
Clindacin Малайзия
Clindalaf Аржентина
Clindamicina Аржентина, Бразилия, Венецуела, Еквадор, Испания, Италия, Колумбия, Мексико, Перу, Португалия, Чили
Clindamycin Австрия, Германия, Иран, Канада, Норвегия, Румъния, Саудитска Арабия, Съединени Американски щати / САЩ, Швеция
Clindamycin-Hameln Германия
Clindamycine Белгия, Тунис, Франция, Холандия
Clindanovag Аржентина
Clindarix Бразилия
Clindasol Германия
Clindaval Венецуела
Clindazyn Мексико
Clindo Полша
Clysvic Мексико
Daclin Чили
Dalacin Австралия, Белгия, Великобритания, Венецуела, Гърция, Дания, Египет, Еквадор, Индия, Иран, Ирландия, Исландия, Италия, Канада, Колумбия, Люксенбург, Малайзия, Мексико, нова Зеландия, Норвегия, Обединени арабски емирства, Полша, Саудитска Арабия, Тунис, Унгария, Финландия, Холандия, Чили, Швейцария, Швеция
Dalacine Тунис, Франция
Daladic Иран
Dalcinex Индия
Damclid Индия
Damicin Колумбия, Мексико
Damicine Колумбия
Dolarclin Колумбия
Euroclin Еквадор, Колумбия
Gynasafe Индия
Indamid Мексико
Klimicin Полша
Klindan Турция
Klindaver Турция
Lanacine Австрия
Lincocin Малайзия
Lincosa Малайзия
Meneklin Турция
Sobelin Германия
Tidact Малайзия
Съвместимост   Инжекция/Инжекционен   Съвместимост : Clindamycin phosphate              
Този екран показва съвместимостта или несъвместимостта с, в този случай, вида на несъвместимостта (утаяване, промяна на цвета, модификация на емулсия и др.). Показаните тук съвместимости са предимно физически, като рядко се оценява химическата стабилност на всяка молекула. Оценката на тези смеси беше проучена, за да се разгледа възможността за приложение на Y-място на пациента. Тези данни не могат да се използват за предварително приготвяне на смеси в торбички или спринцовки. Този тип информация е достъпна на екрана "Стабилност в сместа".
Състав / молекула Разтворител Библиография
съвместим
Инжекция/Инжекционен Clindamycin phosphate 12 mg/ml
Инжекция/Инжекционен Aciclovir sodium 5 mg/ml
Glucose 5% 336
Незабавни валежи Несъвместим
Инжекция/Инжекционен Clindamycin phosphate 10 mg/ml
Инжекция/Инжекционен Allopurinol sodium 3 mg/ml
Sodium chloride 0,9% 307
съвместим
Инжекция/Инжекционен Clindamycin phosphate 10 mg/ml
Инжекция/Инжекционен Amifostine 10 mg/ml
Glucose 5% 3
съвместим
Инжекция/Инжекционен Clindamycin phosphate
Инжекция/Инжекционен Amikacin sulfate
Sodium chloride 0,9% 3526
съвместим
Инжекция/Инжекционен Clindamycin phosphate 9 mg/ml
Инжекция/Инжекционен Amikacin sulfate 4 mg/ml
Sodium chloride 0,9% 565
съвместим
Инжекция/Инжекционен Clindamycin phosphate 9 mg/ml
Инжекция/Инжекционен Amikacin sulfate 4 mg/ml
Glucose 5% 565
съвместим
Инжекция/Инжекционен Clindamycin phosphate
Инжекция/Инжекционен Amikacin sulfate
Glucose 5% 3526
съвместим
Инжекция/Инжекционен Clindamycin phosphate 90 mg/ml
Инжекция/Инжекционен Amikacin sulfate 75 mg/ml
Sodium chloride 0,9% 639
Неопределена несъвместимост Несъвместим
Инжекция/Инжекционен Clindamycin phosphate
Инжекция/Инжекционен Aminophylline
3526
съвместим
Инжекция/Инжекционен Clindamycin phosphate 6 mg/ml
Инжекция/Инжекционен Amiodarone hydrochloride 4 mg/ml
Sodium chloride 0,9% 385
съвместим
Инжекция/Инжекционен Clindamycin phosphate 6 mg/ml
Инжекция/Инжекционен Amiodarone hydrochloride 4 mg/ml
Glucose 5% 385
Мътност за един час Несъвместим
Инжекция/Инжекционен Clindamycin phosphate 150 mg/ml
Инжекция/Инжекционен Amoxicillin sodium / clavulanic acid 100/10 mg/ml
3824
съвместим
Инжекция/Инжекционен Clindamycin phosphate 10 mg/ml
Инжекция/Инжекционен Amphotericin B cholesteryl sulfate complex 0.83 mg/ml
Glucose 5% 921
Неопределена несъвместимост Несъвместим
Инжекция/Инжекционен Clindamycin phosphate
Инжекция/Инжекционен Ampicillin sodium
3526
съвместим
Инжекция/Инжекционен Clindamycin phosphate
Glucose 5% 3526
Неопределена несъвместимост Несъвместим
Инжекция/Инжекционен Clindamycin phosphate
Инжекция/Инжекционен Amobarbital sodium
3526
съвместим
Инжекция/Инжекционен Clindamycin phosphate 10 mg/ml
Инжекция/Инжекционен Amsacrine 1 mg/ml
Glucose 5% 253
съвместим
Инжекция/Инжекционен Clindamycin phosphate 10 mg/ml
Инжекция/Инжекционен Anidulafungin 0.5 mg/ml
Glucose 5% 1982
Модификация на рН> 1 рН единица Несъвместим
Инжекция/Инжекционен Clindamycin phosphate 9 mg/ml
Инжекция/Инжекционен Atosiban 0,75 mg/ml
4642
съвместим
Инжекция/Инжекционен Clindamycin phosphate 6 mg/ml
Инжекция/Инжекционен Aztreonam 10 mg/ml
Glucose 5% 419
съвместим
Инжекция/Инжекционен Clindamycin phosphate 9 mg/ml
Инжекция/Инжекционен Aztreonam 20 mg/ml
Glucose 5% 432
съвместим
Инжекция/Инжекционен Clindamycin phosphate 60 mg/ml
Инжекция/Инжекционен Aztreonam 200 mg/ml
Sodium chloride 0,9% 644
съвместим
Инжекция/Инжекционен Clindamycin phosphate
Инжекция/Инжекционен Aztreonam
Sodium chloride 0,9% 3526
съвместим
Инжекция/Инжекционен Clindamycin phosphate 3 mg/ml
Инжекция/Инжекционен Aztreonam 10 mg/ml
Glucose 5% 419
съвместим
Инжекция/Инжекционен Clindamycin phosphate
Инжекция/Инжекционен Aztreonam
Glucose 5% 3526
съвместим
Инжекция/Инжекционен Clindamycin phosphate 24 mg/ml
Парентерално хранене (липидите безплатно) 3379
Незабавни валежи Несъвместим
Инжекция/Инжекционен Clindamycin phosphate 30 mg/ml
Инжекция/Инжекционен Azithromycine 2 mg/ml
Sodium chloride 0,9% 1800
съвместим
Инжекция/Инжекционен Clindamycin phosphate 3 mg/ml
Парентерално хранене (липидите безплатно) 1055
съвместим
Инжекция/Инжекционен Clindamycin phosphate 6 mg/ml
Инжекция/Инжекционен Aztreonam 20 mg/ml
Sodium chloride 0,9% 419
съвместим
Инжекция/Инжекционен Clindamycin phosphate 3 mg/ml
Инжекция/Инжекционен Aztreonam 20 mg/ml
Sodium chloride 0,9% 419
съвместим
Инжекция/Инжекционен Clindamycin phosphate 3 mg/ml
Инжекция/Инжекционен Aztreonam 20 mg/ml
Glucose 5% 419
съвместим
Инжекция/Инжекционен Clindamycin phosphate 6 mg/ml
Инжекция/Инжекционен Aztreonam 20 mg/ml
Glucose 5% 419
съвместим
Инжекция/Инжекционен Clindamycin phosphate 10 mg/ml
Инжекция/Инжекционен Aztreonam 40 mg/ml
Glucose 5% 99
съвместим
Инжекция/Инжекционен Clindamycin phosphate 3 mg/ml
Инжекция/Инжекционен Aztreonam 10 mg/ml
Sodium chloride 0,9% 419
съвместим
Инжекция/Инжекционен Clindamycin phosphate 6 mg/ml
Инжекция/Инжекционен Aztreonam 10 mg/ml
Sodium chloride 0,9% 419
съвместим
Инжекция/Инжекционен Clindamycin phosphate 9 mg/ml
Инжекция/Инжекционен Aztreonam 20 mg/ml
Sodium chloride 0,9% 432
съвместим
Инжекция/Инжекционен Clindamycin phosphate 10 mg/ml
Инжекция/Инжекционен Bivalirudin 5 mg/ml
Glucose 5% 1713
съвместим
Инжекция/Инжекционен Clindamycin phosphate 150 mg/ml
Инжекция/Инжекционен Caffeine 10 mg/ml
Няма 3964
Неопределена несъвместимост Несъвместим
Инжекция/Инжекционен Clindamycin phosphate
Инжекция/Инжекционен Calcium gluconate
3644
Неопределена несъвместимост Несъвместим
Инжекция/Инжекционен Clindamycin phosphate
Инжекция/Инжекционен Calcium gluconate
3526
Несъвместим
Инжекция/Инжекционен Clindamycin phosphate
Инжекция/Инжекционен Calcium gluconate
4964
Незабавни валежи Несъвместим
Инжекция/Инжекционен Clindamycin phosphate 10 mg/ml
Инжекция/Инжекционен Caspofungin acetate 0,7 mg/ml
Sodium chloride 0,9% 2247
Незабавни валежи Несъвместим
Инжекция/Инжекционен Clindamycin phosphate 60 mg/ml
Инжекция/Инжекционен Caspofungin acetate 0.5 mg/ml
Sodium chloride 0,9% 2233
съвместим
Инжекция/Инжекционен Clindamycin phosphate 9 mg/ml
Инжекция/Инжекционен Cefamandole nafate 10 mg/ml
Glucose 5% 418
съвместим
Инжекция/Инжекционен Clindamycin phosphate
Инжекция/Инжекционен Cefamandole nafate
Sodium chloride 0,9% 3526
съвместим
Инжекция/Инжекционен Clindamycin phosphate 9 mg/ml
Инжекция/Инжекционен Cefamandole nafate 10 mg/ml
Sodium chloride 0,9% 418
съвместим
Инжекция/Инжекционен Clindamycin phosphate
Инжекция/Инжекционен Cefamandole nafate
Glucose 5% 3526
съвместим
Инжекция/Инжекционен Clindamycin phosphate 9 mg/ml
Инжекция/Инжекционен Cefazolin sodium 10 mg/ml
Sodium chloride 0,9% 418
съвместим
Инжекция/Инжекционен Clindamycin phosphate
Инжекция/Инжекционен Cefazolin sodium
Sodium chloride 0,9% 3526
съвместим
Инжекция/Инжекционен Clindamycin phosphate 9 mg/ml
Инжекция/Инжекционен Cefazolin sodium 10 mg/ml
Glucose 5% 418
съвместим
Инжекция/Инжекционен Clindamycin phosphate 0,25 & 6 mg/ml
Инжекция/Инжекционен Cefepime dihydrochloride 4 & 40 mg/ml
Glucose 5% 3548
съвместим
Инжекция/Инжекционен Clindamycin phosphate 10 mg/ml
Инжекция/Инжекционен Cefiderocol sulfate tosylate 20 mg/mL
Glucose 5% 4528
съвместим
Инжекция/Инжекционен Clindamycin phosphate 12 mg/ml
Инжекция/Инжекционен Cefoperazone sodium 20 mg/ml
Glucose 5% 644
Неопределена несъвместимост Несъвместим
Инжекция/Инжекционен Clindamycin phosphate
NaHCO3 3526
съвместим
Инжекция/Инжекционен Clindamycin phosphate 12 mg/ml
Инжекция/Инжекционен Cefonicid sodium 10 mg/ml
Sodium chloride 0,9% 644
съвместим
Инжекция/Инжекционен Clindamycin phosphate 10 mg/ml
Парентерално хранене (липидите безплатно) 301
съвместим
Инжекция/Инжекционен Clindamycin phosphate
Инжекция/Инжекционен Cefazolin sodium
Glucose 5% 3526
съвместим
Инжекция/Инжекционен Clindamycin phosphate 0,25 & 6 mg/ml
Инжекция/Инжекционен Cefepime dihydrochloride 4 & 40 mg/ml
Sodium chloride 0,9% 3548
съвместим
Инжекция/Инжекционен Clindamycin phosphate 10 mg/ml
Инжекция/Инжекционен Cefiderocol sulfate tosylate 20 mg/mL
Sodium chloride 0,9% 4528
съвместим
Инжекция/Инжекционен Clindamycin phosphate 12 mg/ml
Инжекция/Инжекционен Cefonicid sodium 10 mg/ml
Glucose 5% 644
съвместим
Инжекция/Инжекционен Clindamycin phosphate 12 mg/ml
Инжекция/Инжекционен Cefoperazone sodium 20 mg/ml
Sodium chloride 0,9% 644
съвместим
Инжекция/Инжекционен Clindamycin phosphate 150 mg/ml
Парентерално хранене (липидите безплатно) 999
съвместим
Инжекция/Инжекционен Clindamycin phosphate
Инжекция/Инжекционен Cefotaxime sodium
Glucose 5% 3526
съвместим
Инжекция/Инжекционен Clindamycin phosphate 9 mg/ml
Инжекция/Инжекционен Cefotaxime sodium 20 mg/ml
Glucose 5% 421
съвместим
Инжекция/Инжекционен Clindamycin phosphate 9 mg/ml
Инжекция/Инжекционен Cefotaxime sodium 20 mg/ml
Sodium chloride 0,9% 421
съвместим
Инжекция/Инжекционен Clindamycin phosphate
Инжекция/Инжекционен Cefotaxime sodium
Sodium chloride 0,9% 3526
съвместим
Инжекция/Инжекционен Clindamycin phosphate
Инжекция/Инжекционен Cefoxitin sodium
Sodium chloride 0,9% 3526
съвместим
Инжекция/Инжекционен Clindamycin phosphate 9 mg/ml
Инжекция/Инжекционен Cefoxitin sodium 20 mg/ml
Glucose 5% 418
съвместим
Инжекция/Инжекционен Clindamycin phosphate 9 mg/ml
Инжекция/Инжекционен Cefoxitin sodium 20 mg/ml
Sodium chloride 0,9% 418
съвместим
Инжекция/Инжекционен Clindamycin phosphate
Инжекция/Инжекционен Cefoxitin sodium
Glucose 5% 3526
съвместим
Инжекция/Инжекционен Clindamycin phosphate 12 mg/ml
Инжекция/Инжекционен Cefpirome sulfate 50 mg/ml
Sodium chloride 0,9% 280
съвместим
Инжекция/Инжекционен Clindamycin phosphate 12 mg/ml
Инжекция/Инжекционен Cefpirome sulfate 50 mg/ml
Sodium chloride 0,45% 280
съвместим
Инжекция/Инжекционен Clindamycin phosphate 12 mg/ml
Инжекция/Инжекционен Cefpirome sulfate 50 mg/ml
Glucose 5% 280
съвместим
Инжекция/Инжекционен Clindamycin phosphate 12 mg/ml
Инжекция/Инжекционен Cefpirome sulfate 50 mg/ml
Ринтер лактат 280
съвместим
Инжекция/Инжекционен Clindamycin phosphate 10 mg/ml
Инжекция/Инжекционен Ceftaroline fosamil 2,22 mg/ml
Ринтер лактат 3249
съвместим
Инжекция/Инжекционен Clindamycin phosphate
Инжекция/Инжекционен Ceftazidime
Glucose 5% 3526
съвместим
Инжекция/Инжекционен Clindamycin phosphate 9 mg/ml
Инжекция/Инжекционен Ceftizoxime sodium 20 mg/ml
Sodium chloride 0,9% 418
съвместим
Инжекция/Инжекционен Clindamycin phosphate
Инжекция/Инжекционен Ceftizoxime sodium
Glucose 5% 3526
съвместим
Инжекция/Инжекционен Clindamycin phosphate 10 mg/ml
Инжекция/Инжекционен Ceftobiprole medocaril sodium 2 mg/ml
Sodium chloride 0,9% 2269
съвместим
Инжекция/Инжекционен Clindamycin phosphate 10 mg/ml
Инжекция/Инжекционен Ceftobiprole medocaril sodium 2 mg/ml
Glucose 5% 2269
съвместим
Инжекция/Инжекционен Clindamycin phosphate 10 mg/ml
Инжекция/Инжекционен Ceftobiprole medocaril sodium 2 mg/ml
Ринтер лактат 2269
съвместим
Инжекция/Инжекционен Clindamycin phosphate 5,77 mg/ml
Парентерално хранене (с липиди) 4440
съвместим
Инжекция/Инжекционен Clindamycin phosphate 1.2 mg/ml
Инжекция/Инжекционен Cimetidine hydrochloride 1.2 & 5 mg/ml
Glucose 5% 1201
съвместим
Инжекция/Инжекционен Clindamycin phosphate 1.2 mg/ml
Инжекция/Инжекционен Cimetidine hydrochloride 1.2 & 5 mg/ml
Sodium chloride 0,9% 1201
Незабавни валежи Несъвместим
Инжекция/Инжекционен Clindamycin phosphate 7 mg/ml
Инжекция/Инжекционен Ciprofloxacin lactate 1.5 mg/ml
Glucose 5% 434
съвместим
Инжекция/Инжекционен Clindamycin phosphate 10 mg/ml
Инжекция/Инжекционен Cisatracurium besylate 0.1 >> 5 mg/ml
Glucose 5% 299
съвместим
Инжекция/Инжекционен Clindamycin phosphate 150 mg/ml
Инжекция/Инжекционен Cloxacillin sodium 100 mg/ml
Вода за инжекции 3012
съвместим
Инжекция/Инжекционен Clindamycin phosphate 10 mg/ml
Инжекция/Инжекционен Docetaxel 0.9 mg/ml
Glucose 5% 1754
Производство на газови мехурчета Несъвместим
Инжекция/Инжекционен Clindamycin phosphate 10 mg/ml
Инжекция/Инжекционен Doxapram hydrochloride 2 mg/ml
Glucose 5% 1802
съвместим
Инжекция/Инжекционен Clindamycin phosphate 10 mg/ml
Инжекция/Инжекционен Doxorubicin hydrochloride liposome peg 0.4 mg/ml
Glucose 5% 251
съвместим
Инжекция/Инжекционен Clindamycin phosphate 9 mg/ml
Инжекция/Инжекционен Esmolol hydrochloride 10 mg/ml
Glucose 5% 384
съвместим
Инжекция/Инжекционен Clindamycin phosphate 9 mg/ml
Инжекция/Инжекционен Fentanyl citrate 50 µg/ml
Glucose 5% 63
съвместим
Инжекция/Инжекционен Clindamycin phosphate 10 mg/ml
Парентерално хранене (с липиди) 3967
съвместим
Инжекция/Инжекционен Clindamycin phosphate 10 mg/ml
Инжекция/Инжекционен Ceftaroline fosamil 2,22 mg/ml
Glucose 5% 3249
съвместим
Инжекция/Инжекционен Clindamycin phosphate 10 mg/ml
Инжекция/Инжекционен Ceftaroline fosamil 2,22 mg/ml
Sodium chloride 0,9% 3249
съвместим
Инжекция/Инжекционен Clindamycin phosphate 9 mg/ml
Инжекция/Инжекционен Ceftazidime 20 mg/ml
Glucose 5% 432
съвместим
Инжекция/Инжекционен Clindamycin phosphate
Инжекция/Инжекционен Ceftazidime
Sodium chloride 0,9% 3526
съвместим
Инжекция/Инжекционен Clindamycin phosphate 9 mg/ml
Инжекция/Инжекционен Ceftazidime 20 mg/ml
Sodium chloride 0,9% 432
съвместим
Инжекция/Инжекционен Clindamycin phosphate 10 mg/ml
Парентерално хранене (с липиди) 1415
съвместим
Инжекция/Инжекционен Clindamycin phosphate 9 mg/ml
Инжекция/Инжекционен Ceftizoxime sodium 20 mg/ml
Glucose 5% 418
съвместим
Инжекция/Инжекционен Clindamycin phosphate
Инжекция/Инжекционен Ceftizoxime sodium
Sodium chloride 0,9% 3526
Химическа нестабилност Несъвместим
Инжекция/Инжекционен Clindamycin phosphate 12 mg/ml
Инжекция/Инжекционен Ceftriaxone disodium 20 mg/ml
Glucose 5% 432
Неопределена несъвместимост Несъвместим
Инжекция/Инжекционен Clindamycin phosphate
Инжекция/Инжекционен Ceftriaxone disodium
3526
Химическа нестабилност Несъвместим
Инжекция/Инжекционен Clindamycin phosphate 12 mg/ml
Инжекция/Инжекционен Ceftriaxone disodium 20 mg/ml
Sodium chloride 0,9% 432
съвместим
Инжекция/Инжекционен Clindamycin phosphate 9 mg/ml
Инжекция/Инжекционен Cefuroxime sodium 15 mg/ml
Sodium chloride 0,9% 644
съвместим
Инжекция/Инжекционен Clindamycin phosphate 9 mg/ml
Инжекция/Инжекционен Cefuroxime sodium 15 mg/ml
Glucose 5% 644
Незабавни валежи Несъвместим
Инжекция/Инжекционен Clindamycin phosphate 7 mg/ml
Инжекция/Инжекционен Ciprofloxacin lactate 1.5 mg/ml
Sodium chloride 0,9% 434
Неопределена несъвместимост Несъвместим
Инжекция/Инжекционен Clindamycin phosphate
Инжекция/Инжекционен Ciprofloxacin lactate
3526
съвместим
Инжекция/Инжекционен Clindamycin phosphate 10 mg/ml
Инжекция/Инжекционен Dexmedetomidine 4 µg/ml
Sodium chloride 0,9% 1712
съвместим
Инжекция/Инжекционен Clindamycin phosphate 12 & 150 mg/ml
Инжекция/Инжекционен Diltiazem hydrochloride 5 mg/ml
Sodium chloride 0,9% 198
съвместим
Инжекция/Инжекционен Clindamycin phosphate
Инжекция/Инжекционен Dimenhydrinate
2087
съвместим
Инжекция/Инжекционен Clindamycin phosphate 9 mg/ml
Инжекция/Инжекционен Enalaprilate 0.05 mg/ml
Sodium chloride 0,9% 1315
съвместим
Инжекция/Инжекционен Clindamycin phosphate 10 mg/ml
Инжекция/Инжекционен Etoposide phosphate 5 mg/ml
Glucose 5% 1410
съвместим
Инжекция/Инжекционен Clindamycin phosphate 10 mg/ml
Инжекция/Инжекционен Fenoldopam mesylate 80 µg/ml
Sodium chloride 0,9% 1803
Незабавни валежи Несъвместим
Инжекция/Инжекционен Clindamycin phosphate 10 mg/ml
Инжекция/Инжекционен Filgrastim 30 µg/ml
Glucose 5% 244
съвместим
Инжекция/Инжекционен Clindamycin phosphate 12 mg/ml
Инжекция/Инжекционен Fluconazole 2 mg/ml
Няма 256
Незабавни валежи Несъвместим
Инжекция/Инжекционен Clindamycin phosphate 24 mg/ml
Инжекция/Инжекционен Fluconazole 2 mg/ml
Sodium chloride 0,9% 496
съвместим
Инжекция/Инжекционен Clindamycin phosphate 10 mg/ml
Инжекция/Инжекционен Fludarabine phosphate 1 mg/ml
Glucose 5% 492
съвместим
Инжекция/Инжекционен Clindamycin phosphate 12 mg/ml
Инжекция/Инжекционен Foscarnet sodium 24 mg/ml
Glucose 5% 1135
съвместим
Инжекция/Инжекционен Clindamycin phosphate 24 mg/ml
Инжекция/Инжекционен Foscarnet sodium 24 mg/ml
Няма 73
съвместим
Инжекция/Инжекционен Clindamycin phosphate 12 mg/ml
Инжекция/Инжекционен Foscarnet sodium 24 mg/ml
Sodium chloride 0,9% 1135
съвместим
Инжекция/Инжекционен Clindamycin phosphate 10 mg/ml
Инжекция/Инжекционен Gemcitabine hydrochloride 10 mg/ml
Sodium chloride 0,9% 1423
съвместим
Инжекция/Инжекционен Clindamycin phosphate
Инжекция/Инжекционен Gentamicin sulfate
Glucose 5% 3526
съвместим
Инжекция/Инжекционен Clindamycin phosphate 90 mg/ml
Инжекция/Инжекционен Gentamicin sulfate 12 mg/ml
Sodium chloride 0,9% 639
съвместим
Инжекция/Инжекционен Clindamycin phosphate 6 mg/ml
Инжекция/Инжекционен Gentamicin sulfate 0.67 mg/ml
Glucose 5% 423
съвместим
Инжекция/Инжекционен Clindamycin phosphate
Инжекция/Инжекционен Gentamicin sulfate
Sodium chloride 0,9% 3526
съвместим
Инжекция/Инжекционен Clindamycin phosphate 10 mg/ml
Инжекция/Инжекционен Granisetron hydrochloride 0.05 mg/ml
Glucose 5% 182
съвместим
Инжекция/Инжекционен Clindamycin phosphate 12 mg/ml
Инжекция/Инжекционен Heparin sodium 50 UI/ml
Няма 317
съвместим
Инжекция/Инжекционен Clindamycin phosphate 10 mg/ml
Инжекция/Инжекционен Hetastarch 60 mg/ml
Специфична разтворител 1721
съвместим
Инжекция/Инжекционен Clindamycin phosphate 12 mg/ml
Инжекция/Инжекционен Hydromorphone hydrochloride 0.2 mg/ml
Glucose 5% 405
Неопределена несъвместимост Несъвместим
Инжекция/Инжекционен Clindamycin phosphate
Инжекция/Инжекционен Idarubicin hydrochloride
3526
Незабавни валежи Несъвместим
Инжекция/Инжекционен Clindamycin phosphate 12 mg/ml
Инжекция/Инжекционен Idarubicin hydrochloride 1 mg/ml
Sodium chloride 0,9% 491
съвместим
Инжекция/Инжекционен Clindamycin phosphate 150 mg/ml
Инжекция/Инжекционен Ketamine hydrochloride 50 mg/ml
2109
съвместим
Инжекция/Инжекционен Clindamycin phosphate 9 mg/ml
Инжекция/Инжекционен Labetalol hydrochloride 1 mg/ml
Glucose 5% 386
Незабавни валежи Несъвместим
Инжекция/Инжекционен Clindamycin phosphate 10 mg/ml
Инжекция/Инжекционен Lansoprazole 0.55 mg/ml
Sodium chloride 0,9% 1625
съвместим
Инжекция/Инжекционен Clindamycin phosphate 150 mg/ml
Инжекция/Инжекционен Levofloxacine 5 mg/ml
Glucose 5% 1072
съвместим
Инжекция/Инжекционен Clindamycin phosphate 10 mg/ml
Инжекция/Инжекционен Linezolid 2 mg/ml
Няма 1925
Неопределена несъвместимост Несъвместим
Инжекция/Инжекционен Clindamycin phosphate
Инжекция/Инжекционен Magnesium chloride
5012
Неопределена несъвместимост Несъвместим
Инжекция/Инжекционен Clindamycin phosphate
Инжекция/Инжекционен Magnesium sulfate
3838
съвместим
Инжекция/Инжекционен Clindamycin phosphate 12 mg/ml
Инжекция/Инжекционен Magnesium sulfate 16.67 >> 100 mg/ml
Glucose 5% 1047
Неопределена несъвместимост Несъвместим
Инжекция/Инжекционен Clindamycin phosphate
Инжекция/Инжекционен Magnesium sulfate
3526
съвместим
Инжекция/Инжекционен Clindamycin phosphate 10 mg/ml
Инжекция/Инжекционен Melphalan 0.1 mg/ml
Sodium chloride 0,9% 169
съвместим
Инжекция/Инжекционен Clindamycin phosphate 150 mg/ml
Инжекция/Инжекционен Meropenem 50 mg/ml
Вода за инжекции 4319
Неопределена несъвместимост Несъвместим
Инжекция/Инжекционен Clindamycin phosphate
Инжекция/Инжекционен Methohexital sodium
3526
съвместим
Инжекция/Инжекционен Clindamycin phosphate 10 mg/ml
Инжекция/Инжекционен Metronidazole 5 mg/ml
Няма 1035
съвместим
Инжекция/Инжекционен Clindamycin phosphate
Инжекция/Инжекционен Metronidazole
3594
съвместим
Инжекция/Инжекционен Clindamycin phosphate 9 mg/ml
Инжекция/Инжекционен Midazolam hydrochloride 1 mg/ml
Glucose 5% 176
съвместим
Инжекция/Инжекционен Clindamycin phosphate 12 mg/ml
Инжекция/Инжекционен Morphine sulfate 1 mg/ml
Glucose 5% 405
съвместим
Инжекция/Инжекционен Clindamycin phosphate 150 mg/ml
Инжекция/Инжекционен N-acetylcysteine 200 mg/ml
Няма 3766
съвместим
Инжекция/Инжекционен Clindamycin phosphate 150 mg/ml
Инжекция/Инжекционен Naloxone hydrochloride 0.4 mg/ml
Няма 3408
съвместим
Инжекция/Инжекционен Clindamycin phosphate
Инжекция/Инжекционен Netilmicin sulfate
Sodium chloride 0,9% 3526
съвместим
Инжекция/Инжекционен Clindamycin phosphate 9 mg/ml
Инжекция/Инжекционен Netilmicin sulfate 3 mg/ml
Glucose 5% 421
съвместим
Инжекция/Инжекционен Clindamycin phosphate 9 mg/ml
Инжекция/Инжекционен Netilmicin sulfate 3 mg/ml
Sodium chloride 0,9% 421
съвместим
Инжекция/Инжекционен Clindamycin phosphate
Инжекция/Инжекционен Netilmicin sulfate
Glucose 5% 3526
съвместим
Инжекция/Инжекционен Clindamycin phosphate 9 mg/ml
Инжекция/Инжекционен Nicardipine hydrochloride 0.1 mg/ml
Sodium chloride 0,9% 1490
съвместим
Инжекция/Инжекционен Clindamycin phosphate 9 mg/ml
Инжекция/Инжекционен Nicardipine hydrochloride 0.1 mg/ml
Glucose 5% 1490
съвместим
Инжекция/Инжекционен Clindamycin phosphate 6 mg/ml
Инжекция/Инжекционен Ofloxacin 2 mg/ml
Няма 889
съвместим
Инжекция/Инжекционен Clindamycin phosphate 10 mg/ml
Инжекция/Инжекционен Ondansetron hydrochloride 1 mg/ml
Sodium chloride 0,9% 334
Валежи след 1 час Несъвместим
Инжекция/Инжекционен Clindamycin phosphate 12 mg/ml
Инжекция/Инжекционен Oritavancin 0.8 >>2 mg/ml
Glucose 5% 3152
Валежи след 1 час Несъвместим
Инжекция/Инжекционен Clindamycin phosphate
Инжекция/Инжекционен Pantoprazole sodium
2090
съвместим
Инжекция/Инжекционен Clindamycin phosphate 150 mg/ml
Инжекция/Инжекционен Paracetamol 10 mg/ml
4742
съвместим
Инжекция/Инжекционен Clindamycin phosphate 10 mg/ml
Инжекция/Инжекционен Paracetamol 10 mg/ml
Няма 3571
съвместим
Инжекция/Инжекционен Clindamycin phosphate 10 mg/ml
Инжекция/Инжекционен Pemetrexed disodium 20 mg/ml
Sodium chloride 0,9% 1953
Неопределена несъвместимост Несъвместим
Инжекция/Инжекционен Clindamycin phosphate
Инжекция/Инжекционен Pentobarbital sodium
3526
съвместим
Инжекция/Инжекционен Clindamycin phosphate 12 mg/ml
Инжекция/Инжекционен Pethidine hydrochloride 10 mg/ml
Glucose 5% 405
Неопределена несъвместимост Несъвместим
Инжекция/Инжекционен Clindamycin phosphate
Инжекция/Инжекционен Phenobarbital sodium
3526
Неопределена несъвместимост Несъвместим
Инжекция/Инжекционен Clindamycin phosphate
Инжекция/Инжекционен Phenytoin sodium
3526
съвместим
Инжекция/Инжекционен Clindamycin phosphate 18 mg/ml
Инжекция/Инжекционен Phloroglucinol 2,5 mg/ml
3791
съвместим
Инжекция/Инжекционен Clindamycin phosphate
Инжекция/Инжекционен Piperacillin sodium
Glucose 5% 3526
съвместим
Инжекция/Инжекционен Clindamycin phosphate
Инжекция/Инжекционен Piperacillin sodium
Sodium chloride 0,9% 3526
съвместим
Инжекция/Инжекционен Clindamycin phosphate 9 mg/ml
Инжекция/Инжекционен Piperacillin sodium 40 mg/ml
Glucose 5% 432
съвместим
Инжекция/Инжекционен Clindamycin phosphate 9 mg/ml
Инжекция/Инжекционен Piperacillin sodium 40 mg/ml
Sodium chloride 0,9% 432
съвместим
Инжекция/Инжекционен Clindamycin phosphate 10 mg/ml
Инжекция/Инжекционен Piperacillin sodium / tazobactam 40/5 mg/ml
Glucose 5% 81
Незабавна мътност Несъвместим
Инжекция/Инжекционен Clindamycin phosphate 150 mg/ml
Инжекция/Инжекционен Salbutamol sulfate 1 mg/ml
Няма 3216
Неопределена несъвместимост Несъвместим
Инжекция/Инжекционен Clindamycin phosphate
Инжекция/Инжекционен Sodium bicarbonate
3526
Незабавни валежи Несъвместим
Инжекция/Инжекционен Clindamycin phosphate 12 mg/ml
Инжекция/Инжекционен Temocilline 83.33 mg/ml
Вода за инжекции 2231
съвместим
Инжекция/Инжекционен Clindamycin phosphate 10 mg/ml
Инжекция/Инжекционен Teniposide 0.1 mg/ml
Glucose 5% 905
Неопределена несъвместимост Несъвместим
Инжекция/Инжекционен Clindamycin phosphate
Инжекция/Инжекционен Thiopental sodium
3526
съвместим
Инжекция/Инжекционен Clindamycin phosphate
Sodium chloride 0,9% 3526
съвместим
Инжекция/Инжекционен Clindamycin phosphate 10 mg/ml
Инжекция/Инжекционен Propofol 10 mg/ml
Няма 300
Неопределена несъвместимост Несъвместим
Инжекция/Инжекционен Clindamycin phosphate
Инжекция/Инжекционен Ranitidine hydrochloride
3526
съвместим
Инжекция/Инжекционен Clindamycin phosphate 10 mg/ml
Инжекция/Инжекционен Remifentanil hydrochloride 25 & 250 µg/ml
Sodium chloride 0,9% 59
съвместим
Инжекция/Инжекционен Clindamycin phosphate 10 mg/ml
Инжекция/Инжекционен Sargramostim 10 µg/ml
Sodium chloride 0,9% 335
съвместим
Инжекция/Инжекционен Clindamycin phosphate 12 mg/ml
Инжекция/Инжекционен Tacrolimus 1000 µg/ml
Sodium chloride 0,9% 479
съвместим
Инжекция/Инжекционен Clindamycin phosphate 12 mg/ml
Инжекция/Инжекционен Theophylline 4 mg/ml
Няма 317
Незабавни валежи Несъвместим
Инжекция/Инжекционен Clindamycin phosphate 150 mg/ml
Инжекция/Инжекционен Thiopental sodium 25 mg/ml
Sodium chloride 0,9% 3767
съвместим
Инжекция/Инжекционен Clindamycin phosphate 10 mg/ml
Инжекция/Инжекционен Thiotepa 1 mg/ml
Glucose 5% 249
съвместим
Инжекция/Инжекционен Clindamycin phosphate
Инжекция/Инжекционен Tobramycin sulfate
Sodium chloride 0,9% 3526
Незабавни валежи Несъвместим
Инжекция/Инжекционен Clindamycin phosphate 90 mg/ml
Инжекция/Инжекционен Tobramycin sulfate 12 mg/ml
Sodium chloride 0,9% 639
съвместим
Инжекция/Инжекционен Clindamycin phosphate
Инжекция/Инжекционен Tobramycin sulfate
Glucose 5% 3526
Валежи след 2 часа Несъвместим
Инжекция/Инжекционен Clindamycin phosphate 6 mg/ml
Инжекция/Инжекционен Tramadol hydrochloride 0,4 mg/ml
Sodium chloride 0,9% 2002
съвместим
Инжекция/Инжекционен Clindamycin phosphate 1.2 mg/ml
Инжекция/Инжекционен Verapamil hydrochloride 0.08 mg/ml
Sodium chloride 0,9% 1057
съвместим
Инжекция/Инжекционен Clindamycin phosphate 1.2 mg/ml
Инжекция/Инжекционен Verapamil hydrochloride 0.08 mg/ml
Glucose 5% 1057
съвместим
Инжекция/Инжекционен Clindamycin phosphate 10 mg/ml
Инжекция/Инжекционен Vinorelbine tartrate 1 mg/ml
Sodium chloride 0,9% 84
съвместим
Инжекция/Инжекционен Clindamycin phosphate 12 mg/ml
Инжекция/Инжекционен Zidovudine 4 mg/ml
Glucose 5% 337

  Mentions Légales