Senaste uppdateringen :
27/04/2026
Antibiotikum   Clindamycin phosphate  
injektion
Lösningars stabilitet Stabilitet i blandningar Faktorer som påverkar stabiliteten Kompatibilitet Administreringssätt Hänvisningar pdf
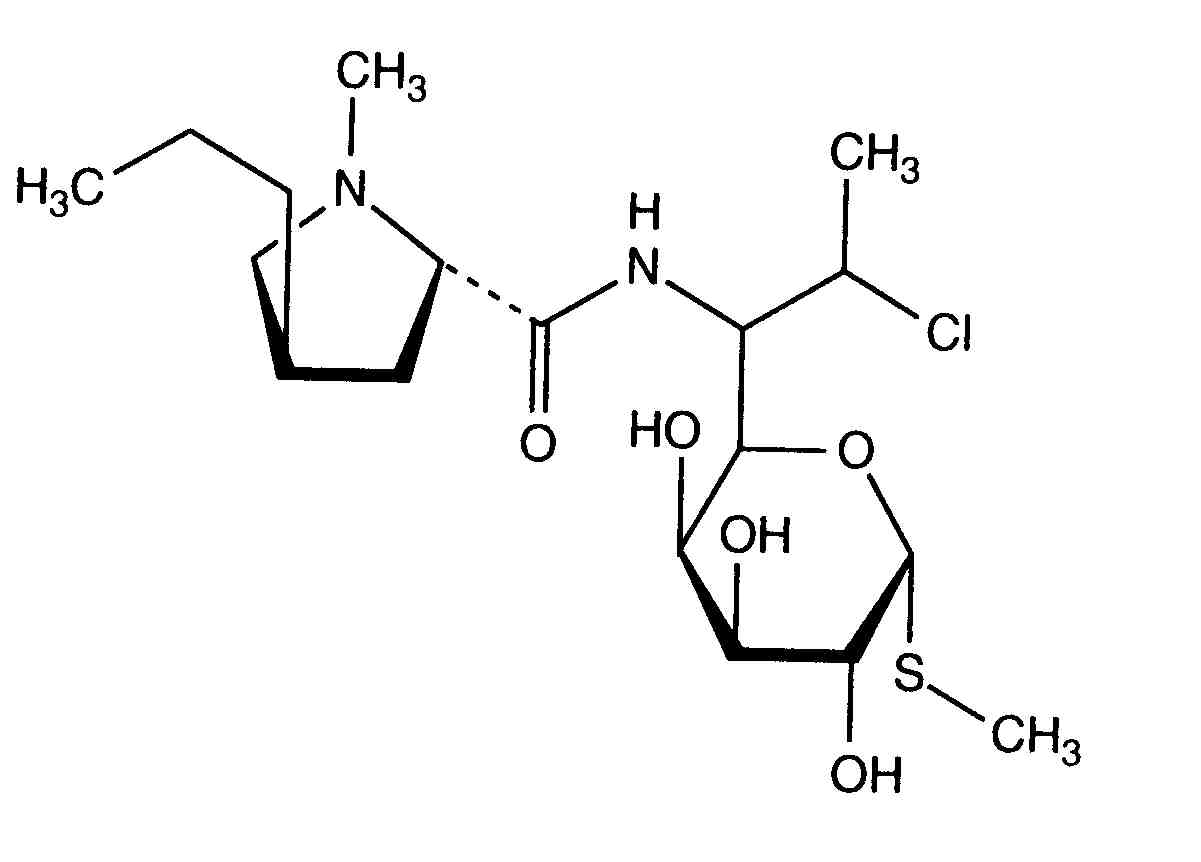
   Molekylstruktur  

Varunamn   Varunamn     

Angivna handelsnamn på läkemedel är enbart vägledande då formulering inklusive hjälpämnen kan variera mellan länder och tillverkare

Biodaclin Mexiko
Camyda Indien
Cinbiot Mexiko
Cleocin Förenta Staterna, Österrike, Turkiet
Clinamsa Mexiko
Clinbac Colombia, Peru
Clincina Portugal
Clinda-Saar Tyskland
Clindacid Venezuela
Clindacin Malaysia
Clindalaf Argentina
Clindamicina Argentina, Brasilien, Chile, Colombia, Ecuador, Italien, Mexiko, Peru, Portugal, Spanien, Venezuela
Clindamycin Förenta Staterna, Iran, Kanada, Norge, Österrike, Rumänien, Saudi-Arabien, Sverige, Tyskland
Clindamycin-Hameln Tyskland
Clindamycine Belgien, Frankrike, Nederländerna, Tunisien
Clindanovag Argentina
Clindarix Brasilien
Clindasol Tyskland
Clindaval Venezuela
Clindazyn Mexiko
Clindo Polen
Clysvic Mexiko
Daclin Chile
Dalacin Australien, Belgien, Chile, Colombia, Danmark, Ecuador, Egypten, Finland, Förenade Arabemiraten, Grekland, Indien, Iran, Irland, Island, Italien, Kanada, Luxemburg, Malaysia, Mexiko, Nederländerna, Norge, nya Zeeland, Polen, Saudi-Arabien, Schweiz, Storbritannien, Sverige, Tunisien, Ungern, Venezuela
Dalacine Frankrike, Tunisien
Daladic Iran
Dalcinex Indien
Damclid Indien
Damicin Colombia, Mexiko
Damicine Colombia
Dolarclin Colombia
Euroclin Colombia, Ecuador
Gynasafe Indien
Indamid Mexiko
Klimicin Polen
Klindan Turkiet
Klindaver Turkiet
Lanacine Österrike
Lincocin Malaysia
Lincosa Malaysia
Meneklin Turkiet
Sobelin Tyskland
Tidact Malaysia
Kompatibilitet   injektion   Kompatibilitet : Clindamycin phosphate              
Den här skärmen visar kompatibiliteten eller inkompatibiliteten med, i detta fall, typen av inkompatibilitet (utfällning, färgförändring, modifiering av en emulsion, etc.). De kompatibiliteter som visas här är oftast endast fysiska, varvid den kemiska stabiliteten för varje molekyl sällan utvärderas. Utvärderingen av dessa blandningar studerades för att överväga möjligheten för Y-platsadministrering till patienten. Dessa data kan inte användas för att göra blandningar i förväg i påsar eller sprutor. Denna typ av information finns på skärmen "Stabilitet i blandning".
Substans Lösningsmedel Hänvisningar
Kompatibel
injektion Clindamycin phosphate 12 mg/ml
injektion Aciclovir sodium 5 mg/ml
Glukos 5 % 336
Omedelbar nederbörd Oförenlig
injektion Clindamycin phosphate 10 mg/ml
injektion Allopurinol sodium 3 mg/ml
Natriumklorid 0,9 % 307
Kompatibel
injektion Clindamycin phosphate 10 mg/ml
injektion Amifostine 10 mg/ml
Glukos 5 % 3
Kompatibel
injektion Clindamycin phosphate
injektion Amikacin sulfate
Natriumklorid 0,9 % 3526
Kompatibel
injektion Clindamycin phosphate 9 mg/ml
injektion Amikacin sulfate 4 mg/ml
Natriumklorid 0,9 % 565
Kompatibel
injektion Clindamycin phosphate 9 mg/ml
injektion Amikacin sulfate 4 mg/ml
Glukos 5 % 565
Kompatibel
injektion Clindamycin phosphate
injektion Amikacin sulfate
Glukos 5 % 3526
Kompatibel
injektion Clindamycin phosphate 90 mg/ml
injektion Amikacin sulfate 75 mg/ml
Natriumklorid 0,9 % 639
Ospecificerad inkompatibilitet Oförenlig
injektion Clindamycin phosphate
injektion Aminophylline
3526
Kompatibel
injektion Clindamycin phosphate 6 mg/ml
injektion Amiodarone hydrochloride 4 mg/ml
Natriumklorid 0,9 % 385
Kompatibel
injektion Clindamycin phosphate 6 mg/ml
injektion Amiodarone hydrochloride 4 mg/ml
Glukos 5 % 385
Grumlighet på en timme Oförenlig
injektion Clindamycin phosphate 150 mg/ml
injektion Amoxicillin sodium / clavulanic acid 100/10 mg/ml
3824
Kompatibel
injektion Clindamycin phosphate 10 mg/ml
injektion Amphotericin B cholesteryl sulfate complex 0.83 mg/ml
Glukos 5 % 921
Ospecificerad inkompatibilitet Oförenlig
injektion Clindamycin phosphate
injektion Ampicillin sodium
3526
Kompatibel
injektion Clindamycin phosphate
Glukos 5 % 3526
Ospecificerad inkompatibilitet Oförenlig
injektion Clindamycin phosphate
injektion Amobarbital sodium
3526
Kompatibel
injektion Clindamycin phosphate 10 mg/ml
injektion Amsacrine 1 mg/ml
Glukos 5 % 253
Kompatibel
injektion Clindamycin phosphate 10 mg/ml
injektion Anidulafungin 0.5 mg/ml
Glukos 5 % 1982
Ändring av pH> 1 pH-enhet Oförenlig
injektion Clindamycin phosphate 9 mg/ml
injektion Atosiban 0,75 mg/ml
4642
Kompatibel
injektion Clindamycin phosphate 6 mg/ml
injektion Aztreonam 10 mg/ml
Glukos 5 % 419
Kompatibel
injektion Clindamycin phosphate 9 mg/ml
injektion Aztreonam 20 mg/ml
Glukos 5 % 432
Kompatibel
injektion Clindamycin phosphate 60 mg/ml
injektion Aztreonam 200 mg/ml
Natriumklorid 0,9 % 644
Kompatibel
injektion Clindamycin phosphate
injektion Aztreonam
Natriumklorid 0,9 % 3526
Kompatibel
injektion Clindamycin phosphate 3 mg/ml
injektion Aztreonam 10 mg/ml
Glukos 5 % 419
Kompatibel
injektion Clindamycin phosphate
injektion Aztreonam
Glukos 5 % 3526
Kompatibel
injektion Clindamycin phosphate 24 mg/ml
Parenteral nutrition (binär blandning) 3379
Omedelbar nederbörd Oförenlig
injektion Clindamycin phosphate 30 mg/ml
injektion Azithromycine 2 mg/ml
Natriumklorid 0,9 % 1800
Kompatibel
injektion Clindamycin phosphate 3 mg/ml
Parenteral nutrition (binär blandning) 1055
Kompatibel
injektion Clindamycin phosphate 6 mg/ml
injektion Aztreonam 20 mg/ml
Natriumklorid 0,9 % 419
Kompatibel
injektion Clindamycin phosphate 3 mg/ml
injektion Aztreonam 20 mg/ml
Natriumklorid 0,9 % 419
Kompatibel
injektion Clindamycin phosphate 3 mg/ml
injektion Aztreonam 20 mg/ml
Glukos 5 % 419
Kompatibel
injektion Clindamycin phosphate 6 mg/ml
injektion Aztreonam 20 mg/ml
Glukos 5 % 419
Kompatibel
injektion Clindamycin phosphate 10 mg/ml
injektion Aztreonam 40 mg/ml
Glukos 5 % 99
Kompatibel
injektion Clindamycin phosphate 3 mg/ml
injektion Aztreonam 10 mg/ml
Natriumklorid 0,9 % 419
Kompatibel
injektion Clindamycin phosphate 6 mg/ml
injektion Aztreonam 10 mg/ml
Natriumklorid 0,9 % 419
Kompatibel
injektion Clindamycin phosphate 9 mg/ml
injektion Aztreonam 20 mg/ml
Natriumklorid 0,9 % 432
Kompatibel
injektion Clindamycin phosphate 10 mg/ml
injektion Bivalirudin 5 mg/ml
Glukos 5 % 1713
Kompatibel
injektion Clindamycin phosphate 150 mg/ml
injektion Caffeine 10 mg/ml
Ingen 3964
Ospecificerad inkompatibilitet Oförenlig
injektion Clindamycin phosphate
injektion Calcium gluconate
3644
Ospecificerad inkompatibilitet Oförenlig
injektion Clindamycin phosphate
injektion Calcium gluconate
3526
Oförenlig
injektion Clindamycin phosphate
injektion Calcium gluconate
4964
Omedelbar nederbörd Oförenlig
injektion Clindamycin phosphate 10 mg/ml
injektion Caspofungin acetate 0,7 mg/ml
Natriumklorid 0,9 % 2247
Omedelbar nederbörd Oförenlig
injektion Clindamycin phosphate 60 mg/ml
injektion Caspofungin acetate 0.5 mg/ml
Natriumklorid 0,9 % 2233
Kompatibel
injektion Clindamycin phosphate 9 mg/ml
injektion Cefamandole nafate 10 mg/ml
Glukos 5 % 418
Kompatibel
injektion Clindamycin phosphate
injektion Cefamandole nafate
Natriumklorid 0,9 % 3526
Kompatibel
injektion Clindamycin phosphate 9 mg/ml
injektion Cefamandole nafate 10 mg/ml
Natriumklorid 0,9 % 418
Kompatibel
injektion Clindamycin phosphate
injektion Cefamandole nafate
Glukos 5 % 3526
Kompatibel
injektion Clindamycin phosphate 9 mg/ml
injektion Cefazolin sodium 10 mg/ml
Natriumklorid 0,9 % 418
Kompatibel
injektion Clindamycin phosphate
injektion Cefazolin sodium
Natriumklorid 0,9 % 3526
Kompatibel
injektion Clindamycin phosphate 9 mg/ml
injektion Cefazolin sodium 10 mg/ml
Glukos 5 % 418
Kompatibel
injektion Clindamycin phosphate 0,25 & 6 mg/ml
injektion Cefepime dihydrochloride 4 & 40 mg/ml
Glukos 5 % 3548
Kompatibel
injektion Clindamycin phosphate 10 mg/ml
injektion Cefiderocol sulfate tosylate 20 mg/mL
Glukos 5 % 4528
Kompatibel
injektion Clindamycin phosphate 12 mg/ml
injektion Cefoperazone sodium 20 mg/ml
Glukos 5 % 644
Ospecificerad inkompatibilitet Oförenlig
injektion Clindamycin phosphate
NaHCO3 3526
Kompatibel
injektion Clindamycin phosphate 12 mg/ml
injektion Cefonicid sodium 10 mg/ml
Natriumklorid 0,9 % 644
Kompatibel
injektion Clindamycin phosphate 10 mg/ml
Parenteral nutrition (binär blandning) 301
Kompatibel
injektion Clindamycin phosphate
injektion Cefazolin sodium
Glukos 5 % 3526
Kompatibel
injektion Clindamycin phosphate 0,25 & 6 mg/ml
injektion Cefepime dihydrochloride 4 & 40 mg/ml
Natriumklorid 0,9 % 3548
Kompatibel
injektion Clindamycin phosphate 10 mg/ml
injektion Cefiderocol sulfate tosylate 20 mg/mL
Natriumklorid 0,9 % 4528
Kompatibel
injektion Clindamycin phosphate 12 mg/ml
injektion Cefonicid sodium 10 mg/ml
Glukos 5 % 644
Kompatibel
injektion Clindamycin phosphate 12 mg/ml
injektion Cefoperazone sodium 20 mg/ml
Natriumklorid 0,9 % 644
Kompatibel
injektion Clindamycin phosphate 150 mg/ml
Parenteral nutrition (binär blandning) 999
Kompatibel
injektion Clindamycin phosphate
injektion Cefotaxime sodium
Glukos 5 % 3526
Kompatibel
injektion Clindamycin phosphate 9 mg/ml
injektion Cefotaxime sodium 20 mg/ml
Glukos 5 % 421
Kompatibel
injektion Clindamycin phosphate 9 mg/ml
injektion Cefotaxime sodium 20 mg/ml
Natriumklorid 0,9 % 421
Kompatibel
injektion Clindamycin phosphate
injektion Cefotaxime sodium
Natriumklorid 0,9 % 3526
Kompatibel
injektion Clindamycin phosphate
injektion Cefoxitin sodium
Natriumklorid 0,9 % 3526
Kompatibel
injektion Clindamycin phosphate 9 mg/ml
injektion Cefoxitin sodium 20 mg/ml
Glukos 5 % 418
Kompatibel
injektion Clindamycin phosphate 9 mg/ml
injektion Cefoxitin sodium 20 mg/ml
Natriumklorid 0,9 % 418
Kompatibel
injektion Clindamycin phosphate
injektion Cefoxitin sodium
Glukos 5 % 3526
Kompatibel
injektion Clindamycin phosphate 12 mg/ml
injektion Cefpirome sulfate 50 mg/ml
Natriumklorid 0,9 % 280
Kompatibel
injektion Clindamycin phosphate 12 mg/ml
injektion Cefpirome sulfate 50 mg/ml
Natriumklorid 0,45 % 280
Kompatibel
injektion Clindamycin phosphate 12 mg/ml
injektion Cefpirome sulfate 50 mg/ml
Glukos 5 % 280
Kompatibel
injektion Clindamycin phosphate 12 mg/ml
injektion Cefpirome sulfate 50 mg/ml
Ringer-laktatlösning 280
Kompatibel
injektion Clindamycin phosphate 10 mg/ml
injektion Ceftaroline fosamil 2,22 mg/ml
Ringer-laktatlösning 3249
Kompatibel
injektion Clindamycin phosphate
injektion Ceftazidime
Glukos 5 % 3526
Kompatibel
injektion Clindamycin phosphate 9 mg/ml
injektion Ceftizoxime sodium 20 mg/ml
Natriumklorid 0,9 % 418
Kompatibel
injektion Clindamycin phosphate
injektion Ceftizoxime sodium
Glukos 5 % 3526
Kompatibel
injektion Clindamycin phosphate 10 mg/ml
injektion Ceftobiprole medocaril sodium 2 mg/ml
Natriumklorid 0,9 % 2269
Kompatibel
injektion Clindamycin phosphate 10 mg/ml
injektion Ceftobiprole medocaril sodium 2 mg/ml
Glukos 5 % 2269
Kompatibel
injektion Clindamycin phosphate 10 mg/ml
injektion Ceftobiprole medocaril sodium 2 mg/ml
Ringer-laktatlösning 2269
Kompatibel
injektion Clindamycin phosphate 5,77 mg/ml
Parenteral nutrition (med lipider) 4440
Kompatibel
injektion Clindamycin phosphate 1.2 mg/ml
injektion Cimetidine hydrochloride 1.2 & 5 mg/ml
Glukos 5 % 1201
Kompatibel
injektion Clindamycin phosphate 1.2 mg/ml
injektion Cimetidine hydrochloride 1.2 & 5 mg/ml
Natriumklorid 0,9 % 1201
Omedelbar nederbörd Oförenlig
injektion Clindamycin phosphate 7 mg/ml
injektion Ciprofloxacin lactate 1.5 mg/ml
Glukos 5 % 434
Kompatibel
injektion Clindamycin phosphate 10 mg/ml
injektion Cisatracurium besylate 0.1 >> 5 mg/ml
Glukos 5 % 299
Kompatibel
injektion Clindamycin phosphate 150 mg/ml
injektion Cloxacillin sodium 100 mg/ml
Vatten för injektion 3012
Kompatibel
injektion Clindamycin phosphate 10 mg/ml
injektion Docetaxel 0.9 mg/ml
Glukos 5 % 1754
Produktion av gasbubblor Oförenlig
injektion Clindamycin phosphate 10 mg/ml
injektion Doxapram hydrochloride 2 mg/ml
Glukos 5 % 1802
Kompatibel
injektion Clindamycin phosphate 10 mg/ml
injektion Doxorubicin hydrochloride liposome peg 0.4 mg/ml
Glukos 5 % 251
Kompatibel
injektion Clindamycin phosphate 9 mg/ml
injektion Esmolol hydrochloride 10 mg/ml
Glukos 5 % 384
Kompatibel
injektion Clindamycin phosphate 9 mg/ml
injektion Fentanyl citrate 50 µg/ml
Glukos 5 % 63
Kompatibel
injektion Clindamycin phosphate 10 mg/ml
Parenteral nutrition (med lipider) 3967
Kompatibel
injektion Clindamycin phosphate 10 mg/ml
injektion Ceftaroline fosamil 2,22 mg/ml
Glukos 5 % 3249
Kompatibel
injektion Clindamycin phosphate 10 mg/ml
injektion Ceftaroline fosamil 2,22 mg/ml
Natriumklorid 0,9 % 3249
Kompatibel
injektion Clindamycin phosphate 9 mg/ml
injektion Ceftazidime 20 mg/ml
Glukos 5 % 432
Kompatibel
injektion Clindamycin phosphate
injektion Ceftazidime
Natriumklorid 0,9 % 3526
Kompatibel
injektion Clindamycin phosphate 9 mg/ml
injektion Ceftazidime 20 mg/ml
Natriumklorid 0,9 % 432
Kompatibel
injektion Clindamycin phosphate 10 mg/ml
Parenteral nutrition (med lipider) 1415
Kompatibel
injektion Clindamycin phosphate 9 mg/ml
injektion Ceftizoxime sodium 20 mg/ml
Glukos 5 % 418
Kompatibel
injektion Clindamycin phosphate
injektion Ceftizoxime sodium
Natriumklorid 0,9 % 3526
Kemisk instabilitet Oförenlig
injektion Clindamycin phosphate 12 mg/ml
injektion Ceftriaxone disodium 20 mg/ml
Glukos 5 % 432
Ospecificerad inkompatibilitet Oförenlig
injektion Clindamycin phosphate
injektion Ceftriaxone disodium
3526
Kemisk instabilitet Oförenlig
injektion Clindamycin phosphate 12 mg/ml
injektion Ceftriaxone disodium 20 mg/ml
Natriumklorid 0,9 % 432
Kompatibel
injektion Clindamycin phosphate 9 mg/ml
injektion Cefuroxime sodium 15 mg/ml
Natriumklorid 0,9 % 644
Kompatibel
injektion Clindamycin phosphate 9 mg/ml
injektion Cefuroxime sodium 15 mg/ml
Glukos 5 % 644
Omedelbar nederbörd Oförenlig
injektion Clindamycin phosphate 7 mg/ml
injektion Ciprofloxacin lactate 1.5 mg/ml
Natriumklorid 0,9 % 434
Ospecificerad inkompatibilitet Oförenlig
injektion Clindamycin phosphate
injektion Ciprofloxacin lactate
3526
Kompatibel
injektion Clindamycin phosphate 10 mg/ml
injektion Dexmedetomidine 4 µg/ml
Natriumklorid 0,9 % 1712
Kompatibel
injektion Clindamycin phosphate 12 & 150 mg/ml
injektion Diltiazem hydrochloride 5 mg/ml
Natriumklorid 0,9 % 198
Kompatibel
injektion Clindamycin phosphate
injektion Dimenhydrinate
2087
Kompatibel
injektion Clindamycin phosphate 9 mg/ml
injektion Enalaprilate 0.05 mg/ml
Natriumklorid 0,9 % 1315
Kompatibel
injektion Clindamycin phosphate 10 mg/ml
injektion Etoposide phosphate 5 mg/ml
Glukos 5 % 1410
Kompatibel
injektion Clindamycin phosphate 10 mg/ml
injektion Fenoldopam mesylate 80 µg/ml
Natriumklorid 0,9 % 1803
Omedelbar nederbörd Oförenlig
injektion Clindamycin phosphate 10 mg/ml
injektion Filgrastim 30 µg/ml
Glukos 5 % 244
Kompatibel
injektion Clindamycin phosphate 12 mg/ml
injektion Fluconazole 2 mg/ml
Ingen 256
Omedelbar nederbörd Oförenlig
injektion Clindamycin phosphate 24 mg/ml
injektion Fluconazole 2 mg/ml
Natriumklorid 0,9 % 496
Kompatibel
injektion Clindamycin phosphate 10 mg/ml
injektion Fludarabine phosphate 1 mg/ml
Glukos 5 % 492
Kompatibel
injektion Clindamycin phosphate 12 mg/ml
injektion Foscarnet sodium 24 mg/ml
Glukos 5 % 1135
Kompatibel
injektion Clindamycin phosphate 24 mg/ml
injektion Foscarnet sodium 24 mg/ml
Ingen 73
Kompatibel
injektion Clindamycin phosphate 12 mg/ml
injektion Foscarnet sodium 24 mg/ml
Natriumklorid 0,9 % 1135
Kompatibel
injektion Clindamycin phosphate 10 mg/ml
injektion Gemcitabine hydrochloride 10 mg/ml
Natriumklorid 0,9 % 1423
Kompatibel
injektion Clindamycin phosphate
injektion Gentamicin sulfate
Glukos 5 % 3526
Kompatibel
injektion Clindamycin phosphate 90 mg/ml
injektion Gentamicin sulfate 12 mg/ml
Natriumklorid 0,9 % 639
Kompatibel
injektion Clindamycin phosphate 6 mg/ml
injektion Gentamicin sulfate 0.67 mg/ml
Glukos 5 % 423
Kompatibel
injektion Clindamycin phosphate
injektion Gentamicin sulfate
Natriumklorid 0,9 % 3526
Kompatibel
injektion Clindamycin phosphate 10 mg/ml
injektion Granisetron hydrochloride 0.05 mg/ml
Glukos 5 % 182
Kompatibel
injektion Clindamycin phosphate 12 mg/ml
injektion Heparin sodium 50 UI/ml
Ingen 317
Kompatibel
injektion Clindamycin phosphate 10 mg/ml
injektion Hetastarch 60 mg/ml
specifikt lösningsmedel 1721
Kompatibel
injektion Clindamycin phosphate 12 mg/ml
injektion Hydromorphone hydrochloride 0.2 mg/ml
Glukos 5 % 405
Ospecificerad inkompatibilitet Oförenlig
injektion Clindamycin phosphate
injektion Idarubicin hydrochloride
3526
Omedelbar nederbörd Oförenlig
injektion Clindamycin phosphate 12 mg/ml
injektion Idarubicin hydrochloride 1 mg/ml
Natriumklorid 0,9 % 491
Kompatibel
injektion Clindamycin phosphate 150 mg/ml
injektion Ketamine hydrochloride 50 mg/ml
2109
Kompatibel
injektion Clindamycin phosphate 9 mg/ml
injektion Labetalol hydrochloride 1 mg/ml
Glukos 5 % 386
Omedelbar nederbörd Oförenlig
injektion Clindamycin phosphate 10 mg/ml
injektion Lansoprazole 0.55 mg/ml
Natriumklorid 0,9 % 1625
Kompatibel
injektion Clindamycin phosphate 150 mg/ml
injektion Levofloxacine 5 mg/ml
Glukos 5 % 1072
Kompatibel
injektion Clindamycin phosphate 10 mg/ml
injektion Linezolid 2 mg/ml
Ingen 1925
Ospecificerad inkompatibilitet Oförenlig
injektion Clindamycin phosphate
injektion Magnesium chloride
5012
Ospecificerad inkompatibilitet Oförenlig
injektion Clindamycin phosphate
injektion Magnesium sulfate
3838
Kompatibel
injektion Clindamycin phosphate 12 mg/ml
injektion Magnesium sulfate 16.67 >> 100 mg/ml
Glukos 5 % 1047
Ospecificerad inkompatibilitet Oförenlig
injektion Clindamycin phosphate
injektion Magnesium sulfate
3526
Kompatibel
injektion Clindamycin phosphate 10 mg/ml
injektion Melphalan 0.1 mg/ml
Natriumklorid 0,9 % 169
Kompatibel
injektion Clindamycin phosphate 150 mg/ml
injektion Meropenem 50 mg/ml
Vatten för injektion 4319
Ospecificerad inkompatibilitet Oförenlig
injektion Clindamycin phosphate
injektion Methohexital sodium
3526
Kompatibel
injektion Clindamycin phosphate 10 mg/ml
injektion Metronidazole 5 mg/ml
Ingen 1035
Kompatibel
injektion Clindamycin phosphate
injektion Metronidazole
3594
Kompatibel
injektion Clindamycin phosphate 9 mg/ml
injektion Midazolam hydrochloride 1 mg/ml
Glukos 5 % 176
Kompatibel
injektion Clindamycin phosphate 12 mg/ml
injektion Morphine sulfate 1 mg/ml
Glukos 5 % 405
Kompatibel
injektion Clindamycin phosphate 150 mg/ml
injektion N-acetylcysteine 200 mg/ml
Ingen 3766
Kompatibel
injektion Clindamycin phosphate 150 mg/ml
injektion Naloxone hydrochloride 0.4 mg/ml
Ingen 3408
Kompatibel
injektion Clindamycin phosphate
injektion Netilmicin sulfate
Natriumklorid 0,9 % 3526
Kompatibel
injektion Clindamycin phosphate 9 mg/ml
injektion Netilmicin sulfate 3 mg/ml
Glukos 5 % 421
Kompatibel
injektion Clindamycin phosphate 9 mg/ml
injektion Netilmicin sulfate 3 mg/ml
Natriumklorid 0,9 % 421
Kompatibel
injektion Clindamycin phosphate
injektion Netilmicin sulfate
Glukos 5 % 3526
Kompatibel
injektion Clindamycin phosphate 9 mg/ml
injektion Nicardipine hydrochloride 0.1 mg/ml
Natriumklorid 0,9 % 1490
Kompatibel
injektion Clindamycin phosphate 9 mg/ml
injektion Nicardipine hydrochloride 0.1 mg/ml
Glukos 5 % 1490
Kompatibel
injektion Clindamycin phosphate 6 mg/ml
injektion Ofloxacin 2 mg/ml
Ingen 889
Kompatibel
injektion Clindamycin phosphate 10 mg/ml
injektion Ondansetron hydrochloride 1 mg/ml
Natriumklorid 0,9 % 334
Utfällning efter 1 timme Oförenlig
injektion Clindamycin phosphate 12 mg/ml
injektion Oritavancin 0.8 >>2 mg/ml
Glukos 5 % 3152
Utfällning efter 1 timme Oförenlig
injektion Clindamycin phosphate
injektion Pantoprazole sodium
2090
Kompatibel
injektion Clindamycin phosphate 150 mg/ml
injektion Paracetamol 10 mg/ml
4742
Kompatibel
injektion Clindamycin phosphate 10 mg/ml
injektion Paracetamol 10 mg/ml
Ingen 3571
Kompatibel
injektion Clindamycin phosphate 10 mg/ml
injektion Pemetrexed disodium 20 mg/ml
Natriumklorid 0,9 % 1953
Ospecificerad inkompatibilitet Oförenlig
injektion Clindamycin phosphate
injektion Pentobarbital sodium
3526
Kompatibel
injektion Clindamycin phosphate 12 mg/ml
injektion Pethidine hydrochloride 10 mg/ml
Glukos 5 % 405
Ospecificerad inkompatibilitet Oförenlig
injektion Clindamycin phosphate
injektion Phenobarbital sodium
3526
Ospecificerad inkompatibilitet Oförenlig
injektion Clindamycin phosphate
injektion Phenytoin sodium
3526
Kompatibel
injektion Clindamycin phosphate 18 mg/ml
injektion Phloroglucinol 2,5 mg/ml
3791
Kompatibel
injektion Clindamycin phosphate
injektion Piperacillin sodium
Glukos 5 % 3526
Kompatibel
injektion Clindamycin phosphate
injektion Piperacillin sodium
Natriumklorid 0,9 % 3526
Kompatibel
injektion Clindamycin phosphate 9 mg/ml
injektion Piperacillin sodium 40 mg/ml
Glukos 5 % 432
Kompatibel
injektion Clindamycin phosphate 9 mg/ml
injektion Piperacillin sodium 40 mg/ml
Natriumklorid 0,9 % 432
Kompatibel
injektion Clindamycin phosphate 10 mg/ml
injektion Piperacillin sodium / tazobactam 40/5 mg/ml
Glukos 5 % 81
Omedelbar grumlighet Oförenlig
injektion Clindamycin phosphate 150 mg/ml
injektion Salbutamol sulfate 1 mg/ml
Ingen 3216
Ospecificerad inkompatibilitet Oförenlig
injektion Clindamycin phosphate
injektion Sodium bicarbonate
3526
Omedelbar nederbörd Oförenlig
injektion Clindamycin phosphate 12 mg/ml
injektion Temocilline 83.33 mg/ml
Vatten för injektion 2231
Kompatibel
injektion Clindamycin phosphate 10 mg/ml
injektion Teniposide 0.1 mg/ml
Glukos 5 % 905
Ospecificerad inkompatibilitet Oförenlig
injektion Clindamycin phosphate
injektion Thiopental sodium
3526
Kompatibel
injektion Clindamycin phosphate
Natriumklorid 0,9 % 3526
Kompatibel
injektion Clindamycin phosphate 10 mg/ml
injektion Propofol 10 mg/ml
Ingen 300
Ospecificerad inkompatibilitet Oförenlig
injektion Clindamycin phosphate
injektion Ranitidine hydrochloride
3526
Kompatibel
injektion Clindamycin phosphate 10 mg/ml
injektion Remifentanil hydrochloride 25 & 250 µg/ml
Natriumklorid 0,9 % 59
Kompatibel
injektion Clindamycin phosphate 10 mg/ml
injektion Sargramostim 10 µg/ml
Natriumklorid 0,9 % 335
Kompatibel
injektion Clindamycin phosphate 12 mg/ml
injektion Tacrolimus 1000 µg/ml
Natriumklorid 0,9 % 479
Kompatibel
injektion Clindamycin phosphate 12 mg/ml
injektion Theophylline 4 mg/ml
Ingen 317
Omedelbar nederbörd Oförenlig
injektion Clindamycin phosphate 150 mg/ml
injektion Thiopental sodium 25 mg/ml
Natriumklorid 0,9 % 3767
Kompatibel
injektion Clindamycin phosphate 10 mg/ml
injektion Thiotepa 1 mg/ml
Glukos 5 % 249
Kompatibel
injektion Clindamycin phosphate
injektion Tobramycin sulfate
Natriumklorid 0,9 % 3526
Omedelbar nederbörd Oförenlig
injektion Clindamycin phosphate 90 mg/ml
injektion Tobramycin sulfate 12 mg/ml
Natriumklorid 0,9 % 639
Kompatibel
injektion Clindamycin phosphate
injektion Tobramycin sulfate
Glukos 5 % 3526
Utfällning efter 2 timmar Oförenlig
injektion Clindamycin phosphate 6 mg/ml
injektion Tramadol hydrochloride 0,4 mg/ml
Natriumklorid 0,9 % 2002
Kompatibel
injektion Clindamycin phosphate 1.2 mg/ml
injektion Verapamil hydrochloride 0.08 mg/ml
Natriumklorid 0,9 % 1057
Kompatibel
injektion Clindamycin phosphate 1.2 mg/ml
injektion Verapamil hydrochloride 0.08 mg/ml
Glukos 5 % 1057
Kompatibel
injektion Clindamycin phosphate 10 mg/ml
injektion Vinorelbine tartrate 1 mg/ml
Natriumklorid 0,9 % 84
Kompatibel
injektion Clindamycin phosphate 12 mg/ml
injektion Zidovudine 4 mg/ml
Glukos 5 % 337

  Mentions Légales