Ultimo aggiornamento :
27/04/2026
Antibiotico   Clindamycin phosphate  
Iniezione
Stabilità in soluzione Stabilità in miscela Fattori che influenzano la stabilità Compatibilità metodo di iniezione Bibliografia pdf
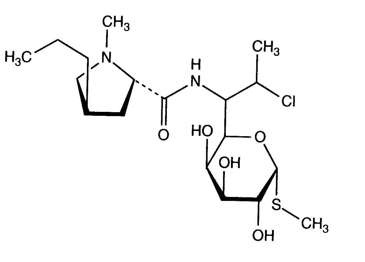
   Struttura chimica  

Nome commerciale   Nome commerciale     

Trade names are indicative and excipients composition can be different depending on the country and manufacturers

Biodaclin Messico
Camyda India
Cinbiot Messico
Cleocin Austria, Stati Uniti d’America, Turchia
Clinamsa Messico
Clinbac Colombia, Perù
Clincina Portogallo
Clinda-Saar Germania
Clindacid Venezuela
Clindacin Malaysia
Clindalaf Argentina
Clindamicina Argentina, Brasile, Chile, Colombia, Ecuador, Italia, Messico, Perù, Portogallo, Spagna, Venezuela
Clindamycin Arabia Saudita, Austria, Canada, Germania, Iran, Norvegia, Romania, Stati Uniti d’America, Svezia
Clindamycin-Hameln Germania
Clindamycine Belgio, Francia, Paesi Bassi, Tunisia
Clindanovag Argentina
Clindarix Brasile
Clindasol Germania
Clindaval Venezuela
Clindazyn Messico
Clindo Polonia
Clysvic Messico
Daclin Chile
Dalacin Arabia Saudita, Australia, Belgio, Canada, Chile, Colombia, Danimarca, Ecuador, Egitto, Emirati Arabi Uniti, Finlandia, Gran Bretagna, Grecia, India, Iran, Irlanda, Islanda, Italia, Lussemburgo, Malaysia, Messico, Norvegia, nuova Zelanda, Paesi Bassi, Polonia, Svezia, Svizzera, Tunisia, Ungheria, Venezuela
Dalacine Francia, Tunisia
Daladic Iran
Dalcinex India
Damclid India
Damicin Colombia, Messico
Damicine Colombia
Dolarclin Colombia
Euroclin Colombia, Ecuador
Gynasafe India
Indamid Messico
Klimicin Polonia
Klindan Turchia
Klindaver Turchia
Lanacine Austria
Lincocin Malaysia
Lincosa Malaysia
Meneklin Turchia
Sobelin Germania
Tidact Malaysia
Compatibilità   Iniezione   Compatibilità : Clindamycin phosphate              
explication_incompatibilite_molecules
Molecola Solvente Bibliografia
Compatibile
Iniezione Clindamycin phosphate 12 mg/ml
Iniezione Aciclovir sodium 5 mg/ml
Glucosio 5% 336
Precipitazioni immediate Incompatibile
Iniezione Clindamycin phosphate 10 mg/ml
Iniezione Allopurinol sodium 3 mg/ml
Cloruro di sodio 0,9% 307
Compatibile
Iniezione Clindamycin phosphate 10 mg/ml
Iniezione Amifostine 10 mg/ml
Glucosio 5% 3
Compatibile
Iniezione Clindamycin phosphate
Iniezione Amikacin sulfate
Cloruro di sodio 0,9% 3526
Compatibile
Iniezione Clindamycin phosphate 9 mg/ml
Iniezione Amikacin sulfate 4 mg/ml
Cloruro di sodio 0,9% 565
Compatibile
Iniezione Clindamycin phosphate 9 mg/ml
Iniezione Amikacin sulfate 4 mg/ml
Glucosio 5% 565
Compatibile
Iniezione Clindamycin phosphate
Iniezione Amikacin sulfate
Glucosio 5% 3526
Compatibile
Iniezione Clindamycin phosphate 90 mg/ml
Iniezione Amikacin sulfate 75 mg/ml
Cloruro di sodio 0,9% 639
Incompatibilità non specificata Incompatibile
Iniezione Clindamycin phosphate
Iniezione Aminophylline
3526
Compatibile
Iniezione Clindamycin phosphate 6 mg/ml
Iniezione Amiodarone hydrochloride 4 mg/ml
Cloruro di sodio 0,9% 385
Compatibile
Iniezione Clindamycin phosphate 6 mg/ml
Iniezione Amiodarone hydrochloride 4 mg/ml
Glucosio 5% 385
Torbidità in un'ora Incompatibile
Iniezione Clindamycin phosphate 150 mg/ml
Iniezione Amoxicillin sodium / clavulanic acid 100/10 mg/ml
3824
Compatibile
Iniezione Clindamycin phosphate 10 mg/ml
Iniezione Amphotericin B cholesteryl sulfate complex 0.83 mg/ml
Glucosio 5% 921
Incompatibilità non specificata Incompatibile
Iniezione Clindamycin phosphate
Iniezione Ampicillin sodium
3526
Compatibile
Iniezione Clindamycin phosphate
Glucosio 5% 3526
Incompatibilità non specificata Incompatibile
Iniezione Clindamycin phosphate
Iniezione Amobarbital sodium
3526
Compatibile
Iniezione Clindamycin phosphate 10 mg/ml
Iniezione Amsacrine 1 mg/ml
Glucosio 5% 253
Compatibile
Iniezione Clindamycin phosphate 10 mg/ml
Iniezione Anidulafungin 0.5 mg/ml
Glucosio 5% 1982
Modifica del pH> 1 unità di pH Incompatibile
Iniezione Clindamycin phosphate 9 mg/ml
Iniezione Atosiban 0,75 mg/ml
4642
Compatibile
Iniezione Clindamycin phosphate 6 mg/ml
Iniezione Aztreonam 10 mg/ml
Glucosio 5% 419
Compatibile
Iniezione Clindamycin phosphate 9 mg/ml
Iniezione Aztreonam 20 mg/ml
Glucosio 5% 432
Compatibile
Iniezione Clindamycin phosphate 60 mg/ml
Iniezione Aztreonam 200 mg/ml
Cloruro di sodio 0,9% 644
Compatibile
Iniezione Clindamycin phosphate
Iniezione Aztreonam
Cloruro di sodio 0,9% 3526
Compatibile
Iniezione Clindamycin phosphate 3 mg/ml
Iniezione Aztreonam 10 mg/ml
Glucosio 5% 419
Compatibile
Iniezione Clindamycin phosphate
Iniezione Aztreonam
Glucosio 5% 3526
Compatibile
Iniezione Clindamycin phosphate 24 mg/ml
Nutrizione parenterale (privo di lipidi) 3379
Precipitazioni immediate Incompatibile
Iniezione Clindamycin phosphate 30 mg/ml
Iniezione Azithromycine 2 mg/ml
Cloruro di sodio 0,9% 1800
Compatibile
Iniezione Clindamycin phosphate 3 mg/ml
Nutrizione parenterale (privo di lipidi) 1055
Compatibile
Iniezione Clindamycin phosphate 6 mg/ml
Iniezione Aztreonam 20 mg/ml
Cloruro di sodio 0,9% 419
Compatibile
Iniezione Clindamycin phosphate 3 mg/ml
Iniezione Aztreonam 20 mg/ml
Cloruro di sodio 0,9% 419
Compatibile
Iniezione Clindamycin phosphate 3 mg/ml
Iniezione Aztreonam 20 mg/ml
Glucosio 5% 419
Compatibile
Iniezione Clindamycin phosphate 6 mg/ml
Iniezione Aztreonam 20 mg/ml
Glucosio 5% 419
Compatibile
Iniezione Clindamycin phosphate 10 mg/ml
Iniezione Aztreonam 40 mg/ml
Glucosio 5% 99
Compatibile
Iniezione Clindamycin phosphate 3 mg/ml
Iniezione Aztreonam 10 mg/ml
Cloruro di sodio 0,9% 419
Compatibile
Iniezione Clindamycin phosphate 6 mg/ml
Iniezione Aztreonam 10 mg/ml
Cloruro di sodio 0,9% 419
Compatibile
Iniezione Clindamycin phosphate 9 mg/ml
Iniezione Aztreonam 20 mg/ml
Cloruro di sodio 0,9% 432
Compatibile
Iniezione Clindamycin phosphate 10 mg/ml
Iniezione Bivalirudin 5 mg/ml
Glucosio 5% 1713
Compatibile
Iniezione Clindamycin phosphate 150 mg/ml
Iniezione Caffeine 10 mg/ml
Nessuno 3964
Incompatibilità non specificata Incompatibile
Iniezione Clindamycin phosphate
Iniezione Calcium gluconate
3644
Incompatibilità non specificata Incompatibile
Iniezione Clindamycin phosphate
Iniezione Calcium gluconate
3526
Incompatibile
Iniezione Clindamycin phosphate
Iniezione Calcium gluconate
4964
Precipitazioni immediate Incompatibile
Iniezione Clindamycin phosphate 10 mg/ml
Iniezione Caspofungin acetate 0,7 mg/ml
Cloruro di sodio 0,9% 2247
Precipitazioni immediate Incompatibile
Iniezione Clindamycin phosphate 60 mg/ml
Iniezione Caspofungin acetate 0.5 mg/ml
Cloruro di sodio 0,9% 2233
Compatibile
Iniezione Clindamycin phosphate 9 mg/ml
Iniezione Cefamandole nafate 10 mg/ml
Glucosio 5% 418
Compatibile
Iniezione Clindamycin phosphate
Iniezione Cefamandole nafate
Cloruro di sodio 0,9% 3526
Compatibile
Iniezione Clindamycin phosphate 9 mg/ml
Iniezione Cefamandole nafate 10 mg/ml
Cloruro di sodio 0,9% 418
Compatibile
Iniezione Clindamycin phosphate
Iniezione Cefamandole nafate
Glucosio 5% 3526
Compatibile
Iniezione Clindamycin phosphate 9 mg/ml
Iniezione Cefazolin sodium 10 mg/ml
Cloruro di sodio 0,9% 418
Compatibile
Iniezione Clindamycin phosphate
Iniezione Cefazolin sodium
Cloruro di sodio 0,9% 3526
Compatibile
Iniezione Clindamycin phosphate 9 mg/ml
Iniezione Cefazolin sodium 10 mg/ml
Glucosio 5% 418
Compatibile
Iniezione Clindamycin phosphate 0,25 & 6 mg/ml
Iniezione Cefepime dihydrochloride 4 & 40 mg/ml
Glucosio 5% 3548
Compatibile
Iniezione Clindamycin phosphate 10 mg/ml
Iniezione Cefiderocol sulfate tosylate 20 mg/mL
Glucosio 5% 4528
Compatibile
Iniezione Clindamycin phosphate 12 mg/ml
Iniezione Cefoperazone sodium 20 mg/ml
Glucosio 5% 644
Incompatibilità non specificata Incompatibile
Iniezione Clindamycin phosphate
NaHCO3 3526
Compatibile
Iniezione Clindamycin phosphate 12 mg/ml
Iniezione Cefonicid sodium 10 mg/ml
Cloruro di sodio 0,9% 644
Compatibile
Iniezione Clindamycin phosphate 10 mg/ml
Nutrizione parenterale (privo di lipidi) 301
Compatibile
Iniezione Clindamycin phosphate
Iniezione Cefazolin sodium
Glucosio 5% 3526
Compatibile
Iniezione Clindamycin phosphate 0,25 & 6 mg/ml
Iniezione Cefepime dihydrochloride 4 & 40 mg/ml
Cloruro di sodio 0,9% 3548
Compatibile
Iniezione Clindamycin phosphate 10 mg/ml
Iniezione Cefiderocol sulfate tosylate 20 mg/mL
Cloruro di sodio 0,9% 4528
Compatibile
Iniezione Clindamycin phosphate 12 mg/ml
Iniezione Cefonicid sodium 10 mg/ml
Glucosio 5% 644
Compatibile
Iniezione Clindamycin phosphate 12 mg/ml
Iniezione Cefoperazone sodium 20 mg/ml
Cloruro di sodio 0,9% 644
Compatibile
Iniezione Clindamycin phosphate 150 mg/ml
Nutrizione parenterale (privo di lipidi) 999
Compatibile
Iniezione Clindamycin phosphate
Iniezione Cefotaxime sodium
Glucosio 5% 3526
Compatibile
Iniezione Clindamycin phosphate 9 mg/ml
Iniezione Cefotaxime sodium 20 mg/ml
Glucosio 5% 421
Compatibile
Iniezione Clindamycin phosphate 9 mg/ml
Iniezione Cefotaxime sodium 20 mg/ml
Cloruro di sodio 0,9% 421
Compatibile
Iniezione Clindamycin phosphate
Iniezione Cefotaxime sodium
Cloruro di sodio 0,9% 3526
Compatibile
Iniezione Clindamycin phosphate
Iniezione Cefoxitin sodium
Cloruro di sodio 0,9% 3526
Compatibile
Iniezione Clindamycin phosphate 9 mg/ml
Iniezione Cefoxitin sodium 20 mg/ml
Glucosio 5% 418
Compatibile
Iniezione Clindamycin phosphate 9 mg/ml
Iniezione Cefoxitin sodium 20 mg/ml
Cloruro di sodio 0,9% 418
Compatibile
Iniezione Clindamycin phosphate
Iniezione Cefoxitin sodium
Glucosio 5% 3526
Compatibile
Iniezione Clindamycin phosphate 12 mg/ml
Iniezione Cefpirome sulfate 50 mg/ml
Cloruro di sodio 0,9% 280
Compatibile
Iniezione Clindamycin phosphate 12 mg/ml
Iniezione Cefpirome sulfate 50 mg/ml
Cloruro di sodio 0,45% 280
Compatibile
Iniezione Clindamycin phosphate 12 mg/ml
Iniezione Cefpirome sulfate 50 mg/ml
Glucosio 5% 280
Compatibile
Iniezione Clindamycin phosphate 12 mg/ml
Iniezione Cefpirome sulfate 50 mg/ml
Ringer lattato 280
Compatibile
Iniezione Clindamycin phosphate 10 mg/ml
Iniezione Ceftaroline fosamil 2,22 mg/ml
Ringer lattato 3249
Compatibile
Iniezione Clindamycin phosphate
Iniezione Ceftazidime
Glucosio 5% 3526
Compatibile
Iniezione Clindamycin phosphate 9 mg/ml
Iniezione Ceftizoxime sodium 20 mg/ml
Cloruro di sodio 0,9% 418
Compatibile
Iniezione Clindamycin phosphate
Iniezione Ceftizoxime sodium
Glucosio 5% 3526
Compatibile
Iniezione Clindamycin phosphate 10 mg/ml
Iniezione Ceftobiprole medocaril sodium 2 mg/ml
Cloruro di sodio 0,9% 2269
Compatibile
Iniezione Clindamycin phosphate 10 mg/ml
Iniezione Ceftobiprole medocaril sodium 2 mg/ml
Glucosio 5% 2269
Compatibile
Iniezione Clindamycin phosphate 10 mg/ml
Iniezione Ceftobiprole medocaril sodium 2 mg/ml
Ringer lattato 2269
Compatibile
Iniezione Clindamycin phosphate 5,77 mg/ml
Nutrizione parenterale (con lipidi) 4440
Compatibile
Iniezione Clindamycin phosphate 1.2 mg/ml
Iniezione Cimetidine hydrochloride 1.2 & 5 mg/ml
Glucosio 5% 1201
Compatibile
Iniezione Clindamycin phosphate 1.2 mg/ml
Iniezione Cimetidine hydrochloride 1.2 & 5 mg/ml
Cloruro di sodio 0,9% 1201
Precipitazioni immediate Incompatibile
Iniezione Clindamycin phosphate 7 mg/ml
Iniezione Ciprofloxacin lactate 1.5 mg/ml
Glucosio 5% 434
Compatibile
Iniezione Clindamycin phosphate 10 mg/ml
Iniezione Cisatracurium besylate 0.1 >> 5 mg/ml
Glucosio 5% 299
Compatibile
Iniezione Clindamycin phosphate 150 mg/ml
Iniezione Cloxacillin sodium 100 mg/ml
Acqua per preparato iniettabile 3012
Compatibile
Iniezione Clindamycin phosphate 10 mg/ml
Iniezione Docetaxel 0.9 mg/ml
Glucosio 5% 1754
Produzione di bolle di gas Incompatibile
Iniezione Clindamycin phosphate 10 mg/ml
Iniezione Doxapram hydrochloride 2 mg/ml
Glucosio 5% 1802
Compatibile
Iniezione Clindamycin phosphate 10 mg/ml
Iniezione Doxorubicin hydrochloride liposome peg 0.4 mg/ml
Glucosio 5% 251
Compatibile
Iniezione Clindamycin phosphate 9 mg/ml
Iniezione Esmolol hydrochloride 10 mg/ml
Glucosio 5% 384
Compatibile
Iniezione Clindamycin phosphate 9 mg/ml
Iniezione Fentanyl citrate 50 µg/ml
Glucosio 5% 63
Compatibile
Iniezione Clindamycin phosphate 10 mg/ml
Nutrizione parenterale (con lipidi) 3967
Compatibile
Iniezione Clindamycin phosphate 10 mg/ml
Iniezione Ceftaroline fosamil 2,22 mg/ml
Glucosio 5% 3249
Compatibile
Iniezione Clindamycin phosphate 10 mg/ml
Iniezione Ceftaroline fosamil 2,22 mg/ml
Cloruro di sodio 0,9% 3249
Compatibile
Iniezione Clindamycin phosphate 9 mg/ml
Iniezione Ceftazidime 20 mg/ml
Glucosio 5% 432
Compatibile
Iniezione Clindamycin phosphate
Iniezione Ceftazidime
Cloruro di sodio 0,9% 3526
Compatibile
Iniezione Clindamycin phosphate 9 mg/ml
Iniezione Ceftazidime 20 mg/ml
Cloruro di sodio 0,9% 432
Compatibile
Iniezione Clindamycin phosphate 10 mg/ml
Nutrizione parenterale (con lipidi) 1415
Compatibile
Iniezione Clindamycin phosphate 9 mg/ml
Iniezione Ceftizoxime sodium 20 mg/ml
Glucosio 5% 418
Compatibile
Iniezione Clindamycin phosphate
Iniezione Ceftizoxime sodium
Cloruro di sodio 0,9% 3526
Instabilità chimica Incompatibile
Iniezione Clindamycin phosphate 12 mg/ml
Iniezione Ceftriaxone disodium 20 mg/ml
Glucosio 5% 432
Incompatibilità non specificata Incompatibile
Iniezione Clindamycin phosphate
Iniezione Ceftriaxone disodium
3526
Instabilità chimica Incompatibile
Iniezione Clindamycin phosphate 12 mg/ml
Iniezione Ceftriaxone disodium 20 mg/ml
Cloruro di sodio 0,9% 432
Compatibile
Iniezione Clindamycin phosphate 9 mg/ml
Iniezione Cefuroxime sodium 15 mg/ml
Cloruro di sodio 0,9% 644
Compatibile
Iniezione Clindamycin phosphate 9 mg/ml
Iniezione Cefuroxime sodium 15 mg/ml
Glucosio 5% 644
Precipitazioni immediate Incompatibile
Iniezione Clindamycin phosphate 7 mg/ml
Iniezione Ciprofloxacin lactate 1.5 mg/ml
Cloruro di sodio 0,9% 434
Incompatibilità non specificata Incompatibile
Iniezione Clindamycin phosphate
Iniezione Ciprofloxacin lactate
3526
Compatibile
Iniezione Clindamycin phosphate 10 mg/ml
Iniezione Dexmedetomidine 4 µg/ml
Cloruro di sodio 0,9% 1712
Compatibile
Iniezione Clindamycin phosphate 12 & 150 mg/ml
Iniezione Diltiazem hydrochloride 5 mg/ml
Cloruro di sodio 0,9% 198
Compatibile
Iniezione Clindamycin phosphate
Iniezione Dimenhydrinate
2087
Compatibile
Iniezione Clindamycin phosphate 9 mg/ml
Iniezione Enalaprilate 0.05 mg/ml
Cloruro di sodio 0,9% 1315
Compatibile
Iniezione Clindamycin phosphate 10 mg/ml
Iniezione Etoposide phosphate 5 mg/ml
Glucosio 5% 1410
Compatibile
Iniezione Clindamycin phosphate 10 mg/ml
Iniezione Fenoldopam mesylate 80 µg/ml
Cloruro di sodio 0,9% 1803
Precipitazioni immediate Incompatibile
Iniezione Clindamycin phosphate 10 mg/ml
Iniezione Filgrastim 30 µg/ml
Glucosio 5% 244
Compatibile
Iniezione Clindamycin phosphate 12 mg/ml
Iniezione Fluconazole 2 mg/ml
Nessuno 256
Precipitazioni immediate Incompatibile
Iniezione Clindamycin phosphate 24 mg/ml
Iniezione Fluconazole 2 mg/ml
Cloruro di sodio 0,9% 496
Compatibile
Iniezione Clindamycin phosphate 10 mg/ml
Iniezione Fludarabine phosphate 1 mg/ml
Glucosio 5% 492
Compatibile
Iniezione Clindamycin phosphate 12 mg/ml
Iniezione Foscarnet sodium 24 mg/ml
Glucosio 5% 1135
Compatibile
Iniezione Clindamycin phosphate 24 mg/ml
Iniezione Foscarnet sodium 24 mg/ml
Nessuno 73
Compatibile
Iniezione Clindamycin phosphate 12 mg/ml
Iniezione Foscarnet sodium 24 mg/ml
Cloruro di sodio 0,9% 1135
Compatibile
Iniezione Clindamycin phosphate 10 mg/ml
Iniezione Gemcitabine hydrochloride 10 mg/ml
Cloruro di sodio 0,9% 1423
Compatibile
Iniezione Clindamycin phosphate
Iniezione Gentamicin sulfate
Glucosio 5% 3526
Compatibile
Iniezione Clindamycin phosphate 90 mg/ml
Iniezione Gentamicin sulfate 12 mg/ml
Cloruro di sodio 0,9% 639
Compatibile
Iniezione Clindamycin phosphate 6 mg/ml
Iniezione Gentamicin sulfate 0.67 mg/ml
Glucosio 5% 423
Compatibile
Iniezione Clindamycin phosphate
Iniezione Gentamicin sulfate
Cloruro di sodio 0,9% 3526
Compatibile
Iniezione Clindamycin phosphate 10 mg/ml
Iniezione Granisetron hydrochloride 0.05 mg/ml
Glucosio 5% 182
Compatibile
Iniezione Clindamycin phosphate 12 mg/ml
Iniezione Heparin sodium 50 UI/ml
Nessuno 317
Compatibile
Iniezione Clindamycin phosphate 10 mg/ml
Iniezione Hetastarch 60 mg/ml
solvente specifico 1721
Compatibile
Iniezione Clindamycin phosphate 12 mg/ml
Iniezione Hydromorphone hydrochloride 0.2 mg/ml
Glucosio 5% 405
Incompatibilità non specificata Incompatibile
Iniezione Clindamycin phosphate
Iniezione Idarubicin hydrochloride
3526
Precipitazioni immediate Incompatibile
Iniezione Clindamycin phosphate 12 mg/ml
Iniezione Idarubicin hydrochloride 1 mg/ml
Cloruro di sodio 0,9% 491
Compatibile
Iniezione Clindamycin phosphate 150 mg/ml
Iniezione Ketamine hydrochloride 50 mg/ml
2109
Compatibile
Iniezione Clindamycin phosphate 9 mg/ml
Iniezione Labetalol hydrochloride 1 mg/ml
Glucosio 5% 386
Precipitazioni immediate Incompatibile
Iniezione Clindamycin phosphate 10 mg/ml
Iniezione Lansoprazole 0.55 mg/ml
Cloruro di sodio 0,9% 1625
Compatibile
Iniezione Clindamycin phosphate 150 mg/ml
Iniezione Levofloxacine 5 mg/ml
Glucosio 5% 1072
Compatibile
Iniezione Clindamycin phosphate 10 mg/ml
Iniezione Linezolid 2 mg/ml
Nessuno 1925
Incompatibilità non specificata Incompatibile
Iniezione Clindamycin phosphate
Iniezione Magnesium chloride
5012
Incompatibilità non specificata Incompatibile
Iniezione Clindamycin phosphate
Iniezione Magnesium sulfate
3838
Compatibile
Iniezione Clindamycin phosphate 12 mg/ml
Iniezione Magnesium sulfate 16.67 >> 100 mg/ml
Glucosio 5% 1047
Incompatibilità non specificata Incompatibile
Iniezione Clindamycin phosphate
Iniezione Magnesium sulfate
3526
Compatibile
Iniezione Clindamycin phosphate 10 mg/ml
Iniezione Melphalan 0.1 mg/ml
Cloruro di sodio 0,9% 169
Compatibile
Iniezione Clindamycin phosphate 150 mg/ml
Iniezione Meropenem 50 mg/ml
Acqua per preparato iniettabile 4319
Incompatibilità non specificata Incompatibile
Iniezione Clindamycin phosphate
Iniezione Methohexital sodium
3526
Compatibile
Iniezione Clindamycin phosphate 10 mg/ml
Iniezione Metronidazole 5 mg/ml
Nessuno 1035
Compatibile
Iniezione Clindamycin phosphate
Iniezione Metronidazole
3594
Compatibile
Iniezione Clindamycin phosphate 9 mg/ml
Iniezione Midazolam hydrochloride 1 mg/ml
Glucosio 5% 176
Compatibile
Iniezione Clindamycin phosphate 12 mg/ml
Iniezione Morphine sulfate 1 mg/ml
Glucosio 5% 405
Compatibile
Iniezione Clindamycin phosphate 150 mg/ml
Iniezione N-acetylcysteine 200 mg/ml
Nessuno 3766
Compatibile
Iniezione Clindamycin phosphate 150 mg/ml
Iniezione Naloxone hydrochloride 0.4 mg/ml
Nessuno 3408
Compatibile
Iniezione Clindamycin phosphate
Iniezione Netilmicin sulfate
Cloruro di sodio 0,9% 3526
Compatibile
Iniezione Clindamycin phosphate 9 mg/ml
Iniezione Netilmicin sulfate 3 mg/ml
Glucosio 5% 421
Compatibile
Iniezione Clindamycin phosphate 9 mg/ml
Iniezione Netilmicin sulfate 3 mg/ml
Cloruro di sodio 0,9% 421
Compatibile
Iniezione Clindamycin phosphate
Iniezione Netilmicin sulfate
Glucosio 5% 3526
Compatibile
Iniezione Clindamycin phosphate 9 mg/ml
Iniezione Nicardipine hydrochloride 0.1 mg/ml
Cloruro di sodio 0,9% 1490
Compatibile
Iniezione Clindamycin phosphate 9 mg/ml
Iniezione Nicardipine hydrochloride 0.1 mg/ml
Glucosio 5% 1490
Compatibile
Iniezione Clindamycin phosphate 6 mg/ml
Iniezione Ofloxacin 2 mg/ml
Nessuno 889
Compatibile
Iniezione Clindamycin phosphate 10 mg/ml
Iniezione Ondansetron hydrochloride 1 mg/ml
Cloruro di sodio 0,9% 334
Precipitazioni dopo 1 ora Incompatibile
Iniezione Clindamycin phosphate 12 mg/ml
Iniezione Oritavancin 0.8 >>2 mg/ml
Glucosio 5% 3152
Precipitazioni dopo 1 ora Incompatibile
Iniezione Clindamycin phosphate
Iniezione Pantoprazole sodium
2090
Compatibile
Iniezione Clindamycin phosphate 150 mg/ml
Iniezione Paracetamol 10 mg/ml
4742
Compatibile
Iniezione Clindamycin phosphate 10 mg/ml
Iniezione Paracetamol 10 mg/ml
Nessuno 3571
Compatibile
Iniezione Clindamycin phosphate 10 mg/ml
Iniezione Pemetrexed disodium 20 mg/ml
Cloruro di sodio 0,9% 1953
Incompatibilità non specificata Incompatibile
Iniezione Clindamycin phosphate
Iniezione Pentobarbital sodium
3526
Compatibile
Iniezione Clindamycin phosphate 12 mg/ml
Iniezione Pethidine hydrochloride 10 mg/ml
Glucosio 5% 405
Incompatibilità non specificata Incompatibile
Iniezione Clindamycin phosphate
Iniezione Phenobarbital sodium
3526
Incompatibilità non specificata Incompatibile
Iniezione Clindamycin phosphate
Iniezione Phenytoin sodium
3526
Compatibile
Iniezione Clindamycin phosphate 18 mg/ml
Iniezione Phloroglucinol 2,5 mg/ml
3791
Compatibile
Iniezione Clindamycin phosphate
Iniezione Piperacillin sodium
Glucosio 5% 3526
Compatibile
Iniezione Clindamycin phosphate
Iniezione Piperacillin sodium
Cloruro di sodio 0,9% 3526
Compatibile
Iniezione Clindamycin phosphate 9 mg/ml
Iniezione Piperacillin sodium 40 mg/ml
Glucosio 5% 432
Compatibile
Iniezione Clindamycin phosphate 9 mg/ml
Iniezione Piperacillin sodium 40 mg/ml
Cloruro di sodio 0,9% 432
Compatibile
Iniezione Clindamycin phosphate 10 mg/ml
Iniezione Piperacillin sodium / tazobactam 40/5 mg/ml
Glucosio 5% 81
Torbidità immediata Incompatibile
Iniezione Clindamycin phosphate 150 mg/ml
Iniezione Salbutamol sulfate 1 mg/ml
Nessuno 3216
Incompatibilità non specificata Incompatibile
Iniezione Clindamycin phosphate
Iniezione Sodium bicarbonate
3526
Precipitazioni immediate Incompatibile
Iniezione Clindamycin phosphate 12 mg/ml
Iniezione Temocilline 83.33 mg/ml
Acqua per preparato iniettabile 2231
Compatibile
Iniezione Clindamycin phosphate 10 mg/ml
Iniezione Teniposide 0.1 mg/ml
Glucosio 5% 905
Incompatibilità non specificata Incompatibile
Iniezione Clindamycin phosphate
Iniezione Thiopental sodium
3526
Compatibile
Iniezione Clindamycin phosphate
Cloruro di sodio 0,9% 3526
Compatibile
Iniezione Clindamycin phosphate 10 mg/ml
Iniezione Propofol 10 mg/ml
Nessuno 300
Incompatibilità non specificata Incompatibile
Iniezione Clindamycin phosphate
Iniezione Ranitidine hydrochloride
3526
Compatibile
Iniezione Clindamycin phosphate 10 mg/ml
Iniezione Remifentanil hydrochloride 25 & 250 µg/ml
Cloruro di sodio 0,9% 59
Compatibile
Iniezione Clindamycin phosphate 10 mg/ml
Iniezione Sargramostim 10 µg/ml
Cloruro di sodio 0,9% 335
Compatibile
Iniezione Clindamycin phosphate 12 mg/ml
Iniezione Tacrolimus 1000 µg/ml
Cloruro di sodio 0,9% 479
Compatibile
Iniezione Clindamycin phosphate 12 mg/ml
Iniezione Theophylline 4 mg/ml
Nessuno 317
Precipitazioni immediate Incompatibile
Iniezione Clindamycin phosphate 150 mg/ml
Iniezione Thiopental sodium 25 mg/ml
Cloruro di sodio 0,9% 3767
Compatibile
Iniezione Clindamycin phosphate 10 mg/ml
Iniezione Thiotepa 1 mg/ml
Glucosio 5% 249
Compatibile
Iniezione Clindamycin phosphate
Iniezione Tobramycin sulfate
Cloruro di sodio 0,9% 3526
Precipitazioni immediate Incompatibile
Iniezione Clindamycin phosphate 90 mg/ml
Iniezione Tobramycin sulfate 12 mg/ml
Cloruro di sodio 0,9% 639
Compatibile
Iniezione Clindamycin phosphate
Iniezione Tobramycin sulfate
Glucosio 5% 3526
Precipitazioni dopo 2 ore Incompatibile
Iniezione Clindamycin phosphate 6 mg/ml
Iniezione Tramadol hydrochloride 0,4 mg/ml
Cloruro di sodio 0,9% 2002
Compatibile
Iniezione Clindamycin phosphate 1.2 mg/ml
Iniezione Verapamil hydrochloride 0.08 mg/ml
Cloruro di sodio 0,9% 1057
Compatibile
Iniezione Clindamycin phosphate 1.2 mg/ml
Iniezione Verapamil hydrochloride 0.08 mg/ml
Glucosio 5% 1057
Compatibile
Iniezione Clindamycin phosphate 10 mg/ml
Iniezione Vinorelbine tartrate 1 mg/ml
Cloruro di sodio 0,9% 84
Compatibile
Iniezione Clindamycin phosphate 12 mg/ml
Iniezione Zidovudine 4 mg/ml
Glucosio 5% 337

  Mentions Légales