Последнее обновление :
27/04/2026
Антибиотик   Clindamycin phosphate  
Инъекция
Стабильность растворов Стабильность смесей Факторы, которые влияют на стабильность Совместимость Способы введения Библиография pdf
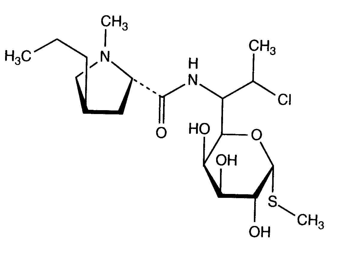
   Химическая структура  

Товарное название   Товарное название     

Trade names are indicative and excipients composition can be different depending on the country and manufacturers

Biodaclin Мексика
Camyda Индия
Cinbiot Мексика
Cleocin Австрия, Соединённые Штаты Америки, Турция
Clinamsa Мексика
Clinbac Колумбия, Перу
Clincina Португалия
Clinda-Saar Германия
Clindacid Венесуэла
Clindacin Малайзия
Clindalaf Аргентина
Clindamicina Аргентина, Бразилия, Венесуэла, Испания, Италия, Колумбия, Мексика, Перу, Португалия, чили, Эквадор
Clindamycin Австрия, Германия, Иран, Канада, Норвегия, Румыния, Саудовская Аравия, Соединённые Штаты Америки, Швеция
Clindamycin-Hameln Германия
Clindamycine Бельгия, Голландия, Тунис, Франция
Clindanovag Аргентина
Clindarix Бразилия
Clindasol Германия
Clindaval Венесуэла
Clindazyn Мексика
Clindo Польша
Clysvic Мексика
Daclin чили
Dalacin Австралия, Бельгия, Великобритания, Венгрия, Венесуэла, Голландия, Греция, Дания, Египет, Индия, Иран, Ирландия, Исландия, Италия, Канада, Колумбия, Люксембург, Малайзия, Мексика, новая Зеландия, Норвегия, Объединенные Арабские Эмираты, Польша, Саудовская Аравия, Тунис, Финляндия, чили, Швейцария, Швеция, Эквадор
Dalacine Тунис, Франция
Daladic Иран
Dalcinex Индия
Damclid Индия
Damicin Колумбия, Мексика
Damicine Колумбия
Dolarclin Колумбия
Euroclin Колумбия, Эквадор
Gynasafe Индия
Indamid Мексика
Klimicin Польша
Klindan Турция
Klindaver Турция
Lanacine Австрия
Lincocin Малайзия
Lincosa Малайзия
Meneklin Турция
Sobelin Германия
Tidact Малайзия
Совместимость   Инъекция   Совместимость : Clindamycin phosphate              
Эта таблица показывает совместимость или несовместимость препаратов, по возможности тип несовместимости (преципитат, смена цвета, разложение эмульсии и др.). Показанные здесь совместимости в основном физические, по возможности указана и химическая стабильность каждой молекулы. Анализ этих смесей произведён для исследования возможности ввести препараты пациенту в Y-соединении систем. Эти данные нельзя использовать, чтобы приготовить лекарства на будущее в мешках или шприцах. Эта информация доступна в разделе "Стабильность смесей".
Молекула Растворитель Ссылки
совместимый
Инъекция Clindamycin phosphate 12 mg/ml
Инъекция Aciclovir sodium 5 mg/ml
Глюкоза 5% 336
Немедленные осадки несовместимый
Инъекция Clindamycin phosphate 10 mg/ml
Инъекция Allopurinol sodium 3 mg/ml
Натрия хлорид 0,9% 307
совместимый
Инъекция Clindamycin phosphate 10 mg/ml
Инъекция Amifostine 10 mg/ml
Глюкоза 5% 3
совместимый
Инъекция Clindamycin phosphate
Инъекция Amikacin sulfate
Натрия хлорид 0,9% 3526
совместимый
Инъекция Clindamycin phosphate 9 mg/ml
Инъекция Amikacin sulfate 4 mg/ml
Натрия хлорид 0,9% 565
совместимый
Инъекция Clindamycin phosphate 9 mg/ml
Инъекция Amikacin sulfate 4 mg/ml
Глюкоза 5% 565
совместимый
Инъекция Clindamycin phosphate
Инъекция Amikacin sulfate
Глюкоза 5% 3526
совместимый
Инъекция Clindamycin phosphate 90 mg/ml
Инъекция Amikacin sulfate 75 mg/ml
Натрия хлорид 0,9% 639
Неопределенная несовместимость несовместимый
Инъекция Clindamycin phosphate
Инъекция Aminophylline
3526
совместимый
Инъекция Clindamycin phosphate 6 mg/ml
Инъекция Amiodarone hydrochloride 4 mg/ml
Натрия хлорид 0,9% 385
совместимый
Инъекция Clindamycin phosphate 6 mg/ml
Инъекция Amiodarone hydrochloride 4 mg/ml
Глюкоза 5% 385
Мутность за один час несовместимый
Инъекция Clindamycin phosphate 150 mg/ml
Инъекция Amoxicillin sodium / clavulanic acid 100/10 mg/ml
3824
совместимый
Инъекция Clindamycin phosphate 10 mg/ml
Инъекция Amphotericin B cholesteryl sulfate complex 0.83 mg/ml
Глюкоза 5% 921
Неопределенная несовместимость несовместимый
Инъекция Clindamycin phosphate
Инъекция Ampicillin sodium
3526
совместимый
Инъекция Clindamycin phosphate
Глюкоза 5% 3526
Неопределенная несовместимость несовместимый
Инъекция Clindamycin phosphate
Инъекция Amobarbital sodium
3526
совместимый
Инъекция Clindamycin phosphate 10 mg/ml
Инъекция Amsacrine 1 mg/ml
Глюкоза 5% 253
совместимый
Инъекция Clindamycin phosphate 10 mg/ml
Инъекция Anidulafungin 0.5 mg/ml
Глюкоза 5% 1982
Изменение pH> 1 единицы pH несовместимый
Инъекция Clindamycin phosphate 9 mg/ml
Инъекция Atosiban 0,75 mg/ml
4642
совместимый
Инъекция Clindamycin phosphate 6 mg/ml
Инъекция Aztreonam 10 mg/ml
Глюкоза 5% 419
совместимый
Инъекция Clindamycin phosphate 9 mg/ml
Инъекция Aztreonam 20 mg/ml
Глюкоза 5% 432
совместимый
Инъекция Clindamycin phosphate 60 mg/ml
Инъекция Aztreonam 200 mg/ml
Натрия хлорид 0,9% 644
совместимый
Инъекция Clindamycin phosphate
Инъекция Aztreonam
Натрия хлорид 0,9% 3526
совместимый
Инъекция Clindamycin phosphate 3 mg/ml
Инъекция Aztreonam 10 mg/ml
Глюкоза 5% 419
совместимый
Инъекция Clindamycin phosphate
Инъекция Aztreonam
Глюкоза 5% 3526
совместимый
Инъекция Clindamycin phosphate 24 mg/ml
Парентеральное питание (бинарная смесь) 3379
Немедленные осадки несовместимый
Инъекция Clindamycin phosphate 30 mg/ml
Инъекция Azithromycine 2 mg/ml
Натрия хлорид 0,9% 1800
совместимый
Инъекция Clindamycin phosphate 3 mg/ml
Парентеральное питание (бинарная смесь) 1055
совместимый
Инъекция Clindamycin phosphate 6 mg/ml
Инъекция Aztreonam 20 mg/ml
Натрия хлорид 0,9% 419
совместимый
Инъекция Clindamycin phosphate 3 mg/ml
Инъекция Aztreonam 20 mg/ml
Натрия хлорид 0,9% 419
совместимый
Инъекция Clindamycin phosphate 3 mg/ml
Инъекция Aztreonam 20 mg/ml
Глюкоза 5% 419
совместимый
Инъекция Clindamycin phosphate 6 mg/ml
Инъекция Aztreonam 20 mg/ml
Глюкоза 5% 419
совместимый
Инъекция Clindamycin phosphate 10 mg/ml
Инъекция Aztreonam 40 mg/ml
Глюкоза 5% 99
совместимый
Инъекция Clindamycin phosphate 3 mg/ml
Инъекция Aztreonam 10 mg/ml
Натрия хлорид 0,9% 419
совместимый
Инъекция Clindamycin phosphate 6 mg/ml
Инъекция Aztreonam 10 mg/ml
Натрия хлорид 0,9% 419
совместимый
Инъекция Clindamycin phosphate 9 mg/ml
Инъекция Aztreonam 20 mg/ml
Натрия хлорид 0,9% 432
совместимый
Инъекция Clindamycin phosphate 10 mg/ml
Инъекция Bivalirudin 5 mg/ml
Глюкоза 5% 1713
совместимый
Инъекция Clindamycin phosphate 150 mg/ml
Инъекция Caffeine 10 mg/ml
Нет 3964
Неопределенная несовместимость несовместимый
Инъекция Clindamycin phosphate
Инъекция Calcium gluconate
3644
Неопределенная несовместимость несовместимый
Инъекция Clindamycin phosphate
Инъекция Calcium gluconate
3526
несовместимый
Инъекция Clindamycin phosphate
Инъекция Calcium gluconate
4964
Немедленные осадки несовместимый
Инъекция Clindamycin phosphate 10 mg/ml
Инъекция Caspofungin acetate 0,7 mg/ml
Натрия хлорид 0,9% 2247
Немедленные осадки несовместимый
Инъекция Clindamycin phosphate 60 mg/ml
Инъекция Caspofungin acetate 0.5 mg/ml
Натрия хлорид 0,9% 2233
совместимый
Инъекция Clindamycin phosphate 9 mg/ml
Инъекция Cefamandole nafate 10 mg/ml
Глюкоза 5% 418
совместимый
Инъекция Clindamycin phosphate
Инъекция Cefamandole nafate
Натрия хлорид 0,9% 3526
совместимый
Инъекция Clindamycin phosphate 9 mg/ml
Инъекция Cefamandole nafate 10 mg/ml
Натрия хлорид 0,9% 418
совместимый
Инъекция Clindamycin phosphate
Инъекция Cefamandole nafate
Глюкоза 5% 3526
совместимый
Инъекция Clindamycin phosphate 9 mg/ml
Инъекция Cefazolin sodium 10 mg/ml
Натрия хлорид 0,9% 418
совместимый
Инъекция Clindamycin phosphate
Инъекция Cefazolin sodium
Натрия хлорид 0,9% 3526
совместимый
Инъекция Clindamycin phosphate 9 mg/ml
Инъекция Cefazolin sodium 10 mg/ml
Глюкоза 5% 418
совместимый
Инъекция Clindamycin phosphate 0,25 & 6 mg/ml
Инъекция Cefepime dihydrochloride 4 & 40 mg/ml
Глюкоза 5% 3548
совместимый
Инъекция Clindamycin phosphate 10 mg/ml
Инъекция Cefiderocol sulfate tosylate 20 mg/mL
Глюкоза 5% 4528
совместимый
Инъекция Clindamycin phosphate 12 mg/ml
Инъекция Cefoperazone sodium 20 mg/ml
Глюкоза 5% 644
Неопределенная несовместимость несовместимый
Инъекция Clindamycin phosphate
NaHCO3 3526
совместимый
Инъекция Clindamycin phosphate 12 mg/ml
Инъекция Cefonicid sodium 10 mg/ml
Натрия хлорид 0,9% 644
совместимый
Инъекция Clindamycin phosphate 10 mg/ml
Парентеральное питание (бинарная смесь) 301
совместимый
Инъекция Clindamycin phosphate
Инъекция Cefazolin sodium
Глюкоза 5% 3526
совместимый
Инъекция Clindamycin phosphate 0,25 & 6 mg/ml
Инъекция Cefepime dihydrochloride 4 & 40 mg/ml
Натрия хлорид 0,9% 3548
совместимый
Инъекция Clindamycin phosphate 10 mg/ml
Инъекция Cefiderocol sulfate tosylate 20 mg/mL
Натрия хлорид 0,9% 4528
совместимый
Инъекция Clindamycin phosphate 12 mg/ml
Инъекция Cefonicid sodium 10 mg/ml
Глюкоза 5% 644
совместимый
Инъекция Clindamycin phosphate 12 mg/ml
Инъекция Cefoperazone sodium 20 mg/ml
Натрия хлорид 0,9% 644
совместимый
Инъекция Clindamycin phosphate 150 mg/ml
Парентеральное питание (бинарная смесь) 999
совместимый
Инъекция Clindamycin phosphate
Инъекция Cefotaxime sodium
Глюкоза 5% 3526
совместимый
Инъекция Clindamycin phosphate 9 mg/ml
Инъекция Cefotaxime sodium 20 mg/ml
Глюкоза 5% 421
совместимый
Инъекция Clindamycin phosphate 9 mg/ml
Инъекция Cefotaxime sodium 20 mg/ml
Натрия хлорид 0,9% 421
совместимый
Инъекция Clindamycin phosphate
Инъекция Cefotaxime sodium
Натрия хлорид 0,9% 3526
совместимый
Инъекция Clindamycin phosphate
Инъекция Cefoxitin sodium
Натрия хлорид 0,9% 3526
совместимый
Инъекция Clindamycin phosphate 9 mg/ml
Инъекция Cefoxitin sodium 20 mg/ml
Глюкоза 5% 418
совместимый
Инъекция Clindamycin phosphate 9 mg/ml
Инъекция Cefoxitin sodium 20 mg/ml
Натрия хлорид 0,9% 418
совместимый
Инъекция Clindamycin phosphate
Инъекция Cefoxitin sodium
Глюкоза 5% 3526
совместимый
Инъекция Clindamycin phosphate 12 mg/ml
Инъекция Cefpirome sulfate 50 mg/ml
Натрия хлорид 0,9% 280
совместимый
Инъекция Clindamycin phosphate 12 mg/ml
Инъекция Cefpirome sulfate 50 mg/ml
Натрия хлорид 0,45% 280
совместимый
Инъекция Clindamycin phosphate 12 mg/ml
Инъекция Cefpirome sulfate 50 mg/ml
Глюкоза 5% 280
совместимый
Инъекция Clindamycin phosphate 12 mg/ml
Инъекция Cefpirome sulfate 50 mg/ml
Раствор Рингера лактата 280
совместимый
Инъекция Clindamycin phosphate 10 mg/ml
Инъекция Ceftaroline fosamil 2,22 mg/ml
Раствор Рингера лактата 3249
совместимый
Инъекция Clindamycin phosphate
Инъекция Ceftazidime
Глюкоза 5% 3526
совместимый
Инъекция Clindamycin phosphate 9 mg/ml
Инъекция Ceftizoxime sodium 20 mg/ml
Натрия хлорид 0,9% 418
совместимый
Инъекция Clindamycin phosphate
Инъекция Ceftizoxime sodium
Глюкоза 5% 3526
совместимый
Инъекция Clindamycin phosphate 10 mg/ml
Инъекция Ceftobiprole medocaril sodium 2 mg/ml
Натрия хлорид 0,9% 2269
совместимый
Инъекция Clindamycin phosphate 10 mg/ml
Инъекция Ceftobiprole medocaril sodium 2 mg/ml
Глюкоза 5% 2269
совместимый
Инъекция Clindamycin phosphate 10 mg/ml
Инъекция Ceftobiprole medocaril sodium 2 mg/ml
Раствор Рингера лактата 2269
совместимый
Инъекция Clindamycin phosphate 5,77 mg/ml
Парентеральное питание (с липидами) 4440
совместимый
Инъекция Clindamycin phosphate 1.2 mg/ml
Инъекция Cimetidine hydrochloride 1.2 & 5 mg/ml
Глюкоза 5% 1201
совместимый
Инъекция Clindamycin phosphate 1.2 mg/ml
Инъекция Cimetidine hydrochloride 1.2 & 5 mg/ml
Натрия хлорид 0,9% 1201
Немедленные осадки несовместимый
Инъекция Clindamycin phosphate 7 mg/ml
Инъекция Ciprofloxacin lactate 1.5 mg/ml
Глюкоза 5% 434
совместимый
Инъекция Clindamycin phosphate 10 mg/ml
Инъекция Cisatracurium besylate 0.1 >> 5 mg/ml
Глюкоза 5% 299
совместимый
Инъекция Clindamycin phosphate 150 mg/ml
Инъекция Cloxacillin sodium 100 mg/ml
Вода для инъекций 3012
совместимый
Инъекция Clindamycin phosphate 10 mg/ml
Инъекция Docetaxel 0.9 mg/ml
Глюкоза 5% 1754
Производство пузырьков газа несовместимый
Инъекция Clindamycin phosphate 10 mg/ml
Инъекция Doxapram hydrochloride 2 mg/ml
Глюкоза 5% 1802
совместимый
Инъекция Clindamycin phosphate 10 mg/ml
Инъекция Doxorubicin hydrochloride liposome peg 0.4 mg/ml
Глюкоза 5% 251
совместимый
Инъекция Clindamycin phosphate 9 mg/ml
Инъекция Esmolol hydrochloride 10 mg/ml
Глюкоза 5% 384
совместимый
Инъекция Clindamycin phosphate 9 mg/ml
Инъекция Fentanyl citrate 50 µg/ml
Глюкоза 5% 63
совместимый
Инъекция Clindamycin phosphate 10 mg/ml
Парентеральное питание (с липидами) 3967
совместимый
Инъекция Clindamycin phosphate 10 mg/ml
Инъекция Ceftaroline fosamil 2,22 mg/ml
Глюкоза 5% 3249
совместимый
Инъекция Clindamycin phosphate 10 mg/ml
Инъекция Ceftaroline fosamil 2,22 mg/ml
Натрия хлорид 0,9% 3249
совместимый
Инъекция Clindamycin phosphate 9 mg/ml
Инъекция Ceftazidime 20 mg/ml
Глюкоза 5% 432
совместимый
Инъекция Clindamycin phosphate
Инъекция Ceftazidime
Натрия хлорид 0,9% 3526
совместимый
Инъекция Clindamycin phosphate 9 mg/ml
Инъекция Ceftazidime 20 mg/ml
Натрия хлорид 0,9% 432
совместимый
Инъекция Clindamycin phosphate 10 mg/ml
Парентеральное питание (с липидами) 1415
совместимый
Инъекция Clindamycin phosphate 9 mg/ml
Инъекция Ceftizoxime sodium 20 mg/ml
Глюкоза 5% 418
совместимый
Инъекция Clindamycin phosphate
Инъекция Ceftizoxime sodium
Натрия хлорид 0,9% 3526
Химическая нестабильность несовместимый
Инъекция Clindamycin phosphate 12 mg/ml
Инъекция Ceftriaxone disodium 20 mg/ml
Глюкоза 5% 432
Неопределенная несовместимость несовместимый
Инъекция Clindamycin phosphate
Инъекция Ceftriaxone disodium
3526
Химическая нестабильность несовместимый
Инъекция Clindamycin phosphate 12 mg/ml
Инъекция Ceftriaxone disodium 20 mg/ml
Натрия хлорид 0,9% 432
совместимый
Инъекция Clindamycin phosphate 9 mg/ml
Инъекция Cefuroxime sodium 15 mg/ml
Натрия хлорид 0,9% 644
совместимый
Инъекция Clindamycin phosphate 9 mg/ml
Инъекция Cefuroxime sodium 15 mg/ml
Глюкоза 5% 644
Немедленные осадки несовместимый
Инъекция Clindamycin phosphate 7 mg/ml
Инъекция Ciprofloxacin lactate 1.5 mg/ml
Натрия хлорид 0,9% 434
Неопределенная несовместимость несовместимый
Инъекция Clindamycin phosphate
Инъекция Ciprofloxacin lactate
3526
совместимый
Инъекция Clindamycin phosphate 10 mg/ml
Инъекция Dexmedetomidine 4 µg/ml
Натрия хлорид 0,9% 1712
совместимый
Инъекция Clindamycin phosphate 12 & 150 mg/ml
Инъекция Diltiazem hydrochloride 5 mg/ml
Натрия хлорид 0,9% 198
совместимый
Инъекция Clindamycin phosphate
Инъекция Dimenhydrinate
2087
совместимый
Инъекция Clindamycin phosphate 9 mg/ml
Инъекция Enalaprilate 0.05 mg/ml
Натрия хлорид 0,9% 1315
совместимый
Инъекция Clindamycin phosphate 10 mg/ml
Инъекция Etoposide phosphate 5 mg/ml
Глюкоза 5% 1410
совместимый
Инъекция Clindamycin phosphate 10 mg/ml
Инъекция Fenoldopam mesylate 80 µg/ml
Натрия хлорид 0,9% 1803
Немедленные осадки несовместимый
Инъекция Clindamycin phosphate 10 mg/ml
Инъекция Filgrastim 30 µg/ml
Глюкоза 5% 244
совместимый
Инъекция Clindamycin phosphate 12 mg/ml
Инъекция Fluconazole 2 mg/ml
Нет 256
Немедленные осадки несовместимый
Инъекция Clindamycin phosphate 24 mg/ml
Инъекция Fluconazole 2 mg/ml
Натрия хлорид 0,9% 496
совместимый
Инъекция Clindamycin phosphate 10 mg/ml
Инъекция Fludarabine phosphate 1 mg/ml
Глюкоза 5% 492
совместимый
Инъекция Clindamycin phosphate 12 mg/ml
Инъекция Foscarnet sodium 24 mg/ml
Глюкоза 5% 1135
совместимый
Инъекция Clindamycin phosphate 24 mg/ml
Инъекция Foscarnet sodium 24 mg/ml
Нет 73
совместимый
Инъекция Clindamycin phosphate 12 mg/ml
Инъекция Foscarnet sodium 24 mg/ml
Натрия хлорид 0,9% 1135
совместимый
Инъекция Clindamycin phosphate 10 mg/ml
Инъекция Gemcitabine hydrochloride 10 mg/ml
Натрия хлорид 0,9% 1423
совместимый
Инъекция Clindamycin phosphate
Инъекция Gentamicin sulfate
Глюкоза 5% 3526
совместимый
Инъекция Clindamycin phosphate 90 mg/ml
Инъекция Gentamicin sulfate 12 mg/ml
Натрия хлорид 0,9% 639
совместимый
Инъекция Clindamycin phosphate 6 mg/ml
Инъекция Gentamicin sulfate 0.67 mg/ml
Глюкоза 5% 423
совместимый
Инъекция Clindamycin phosphate
Инъекция Gentamicin sulfate
Натрия хлорид 0,9% 3526
совместимый
Инъекция Clindamycin phosphate 10 mg/ml
Инъекция Granisetron hydrochloride 0.05 mg/ml
Глюкоза 5% 182
совместимый
Инъекция Clindamycin phosphate 12 mg/ml
Инъекция Heparin sodium 50 UI/ml
Нет 317
совместимый
Инъекция Clindamycin phosphate 10 mg/ml
Инъекция Hetastarch 60 mg/ml
Конкретные растворителя 1721
совместимый
Инъекция Clindamycin phosphate 12 mg/ml
Инъекция Hydromorphone hydrochloride 0.2 mg/ml
Глюкоза 5% 405
Неопределенная несовместимость несовместимый
Инъекция Clindamycin phosphate
Инъекция Idarubicin hydrochloride
3526
Немедленные осадки несовместимый
Инъекция Clindamycin phosphate 12 mg/ml
Инъекция Idarubicin hydrochloride 1 mg/ml
Натрия хлорид 0,9% 491
совместимый
Инъекция Clindamycin phosphate 150 mg/ml
Инъекция Ketamine hydrochloride 50 mg/ml
2109
совместимый
Инъекция Clindamycin phosphate 9 mg/ml
Инъекция Labetalol hydrochloride 1 mg/ml
Глюкоза 5% 386
Немедленные осадки несовместимый
Инъекция Clindamycin phosphate 10 mg/ml
Инъекция Lansoprazole 0.55 mg/ml
Натрия хлорид 0,9% 1625
совместимый
Инъекция Clindamycin phosphate 150 mg/ml
Инъекция Levofloxacine 5 mg/ml
Глюкоза 5% 1072
совместимый
Инъекция Clindamycin phosphate 10 mg/ml
Инъекция Linezolid 2 mg/ml
Нет 1925
Неопределенная несовместимость несовместимый
Инъекция Clindamycin phosphate
Инъекция Magnesium chloride
5012
Неопределенная несовместимость несовместимый
Инъекция Clindamycin phosphate
Инъекция Magnesium sulfate
3838
совместимый
Инъекция Clindamycin phosphate 12 mg/ml
Инъекция Magnesium sulfate 16.67 >> 100 mg/ml
Глюкоза 5% 1047
Неопределенная несовместимость несовместимый
Инъекция Clindamycin phosphate
Инъекция Magnesium sulfate
3526
совместимый
Инъекция Clindamycin phosphate 10 mg/ml
Инъекция Melphalan 0.1 mg/ml
Натрия хлорид 0,9% 169
совместимый
Инъекция Clindamycin phosphate 150 mg/ml
Инъекция Meropenem 50 mg/ml
Вода для инъекций 4319
Неопределенная несовместимость несовместимый
Инъекция Clindamycin phosphate
Инъекция Methohexital sodium
3526
совместимый
Инъекция Clindamycin phosphate 10 mg/ml
Инъекция Metronidazole 5 mg/ml
Нет 1035
совместимый
Инъекция Clindamycin phosphate
Инъекция Metronidazole
3594
совместимый
Инъекция Clindamycin phosphate 9 mg/ml
Инъекция Midazolam hydrochloride 1 mg/ml
Глюкоза 5% 176
совместимый
Инъекция Clindamycin phosphate 12 mg/ml
Инъекция Morphine sulfate 1 mg/ml
Глюкоза 5% 405
совместимый
Инъекция Clindamycin phosphate 150 mg/ml
Инъекция N-acetylcysteine 200 mg/ml
Нет 3766
совместимый
Инъекция Clindamycin phosphate 150 mg/ml
Инъекция Naloxone hydrochloride 0.4 mg/ml
Нет 3408
совместимый
Инъекция Clindamycin phosphate
Инъекция Netilmicin sulfate
Натрия хлорид 0,9% 3526
совместимый
Инъекция Clindamycin phosphate 9 mg/ml
Инъекция Netilmicin sulfate 3 mg/ml
Глюкоза 5% 421
совместимый
Инъекция Clindamycin phosphate 9 mg/ml
Инъекция Netilmicin sulfate 3 mg/ml
Натрия хлорид 0,9% 421
совместимый
Инъекция Clindamycin phosphate
Инъекция Netilmicin sulfate
Глюкоза 5% 3526
совместимый
Инъекция Clindamycin phosphate 9 mg/ml
Инъекция Nicardipine hydrochloride 0.1 mg/ml
Натрия хлорид 0,9% 1490
совместимый
Инъекция Clindamycin phosphate 9 mg/ml
Инъекция Nicardipine hydrochloride 0.1 mg/ml
Глюкоза 5% 1490
совместимый
Инъекция Clindamycin phosphate 6 mg/ml
Инъекция Ofloxacin 2 mg/ml
Нет 889
совместимый
Инъекция Clindamycin phosphate 10 mg/ml
Инъекция Ondansetron hydrochloride 1 mg/ml
Натрия хлорид 0,9% 334
Осадки через 1 час несовместимый
Инъекция Clindamycin phosphate 12 mg/ml
Инъекция Oritavancin 0.8 >>2 mg/ml
Глюкоза 5% 3152
Осадки через 1 час несовместимый
Инъекция Clindamycin phosphate
Инъекция Pantoprazole sodium
2090
совместимый
Инъекция Clindamycin phosphate 150 mg/ml
Инъекция Paracetamol 10 mg/ml
4742
совместимый
Инъекция Clindamycin phosphate 10 mg/ml
Инъекция Paracetamol 10 mg/ml
Нет 3571
совместимый
Инъекция Clindamycin phosphate 10 mg/ml
Инъекция Pemetrexed disodium 20 mg/ml
Натрия хлорид 0,9% 1953
Неопределенная несовместимость несовместимый
Инъекция Clindamycin phosphate
Инъекция Pentobarbital sodium
3526
совместимый
Инъекция Clindamycin phosphate 12 mg/ml
Инъекция Pethidine hydrochloride 10 mg/ml
Глюкоза 5% 405
Неопределенная несовместимость несовместимый
Инъекция Clindamycin phosphate
Инъекция Phenobarbital sodium
3526
Неопределенная несовместимость несовместимый
Инъекция Clindamycin phosphate
Инъекция Phenytoin sodium
3526
совместимый
Инъекция Clindamycin phosphate 18 mg/ml
Инъекция Phloroglucinol 2,5 mg/ml
3791
совместимый
Инъекция Clindamycin phosphate
Инъекция Piperacillin sodium
Глюкоза 5% 3526
совместимый
Инъекция Clindamycin phosphate
Инъекция Piperacillin sodium
Натрия хлорид 0,9% 3526
совместимый
Инъекция Clindamycin phosphate 9 mg/ml
Инъекция Piperacillin sodium 40 mg/ml
Глюкоза 5% 432
совместимый
Инъекция Clindamycin phosphate 9 mg/ml
Инъекция Piperacillin sodium 40 mg/ml
Натрия хлорид 0,9% 432
совместимый
Инъекция Clindamycin phosphate 10 mg/ml
Инъекция Piperacillin sodium / tazobactam 40/5 mg/ml
Глюкоза 5% 81
Немедленная мутность несовместимый
Инъекция Clindamycin phosphate 150 mg/ml
Инъекция Salbutamol sulfate 1 mg/ml
Нет 3216
Неопределенная несовместимость несовместимый
Инъекция Clindamycin phosphate
Инъекция Sodium bicarbonate
3526
Немедленные осадки несовместимый
Инъекция Clindamycin phosphate 12 mg/ml
Инъекция Temocilline 83.33 mg/ml
Вода для инъекций 2231
совместимый
Инъекция Clindamycin phosphate 10 mg/ml
Инъекция Teniposide 0.1 mg/ml
Глюкоза 5% 905
Неопределенная несовместимость несовместимый
Инъекция Clindamycin phosphate
Инъекция Thiopental sodium
3526
совместимый
Инъекция Clindamycin phosphate
Натрия хлорид 0,9% 3526
совместимый
Инъекция Clindamycin phosphate 10 mg/ml
Инъекция Propofol 10 mg/ml
Нет 300
Неопределенная несовместимость несовместимый
Инъекция Clindamycin phosphate
Инъекция Ranitidine hydrochloride
3526
совместимый
Инъекция Clindamycin phosphate 10 mg/ml
Инъекция Remifentanil hydrochloride 25 & 250 µg/ml
Натрия хлорид 0,9% 59
совместимый
Инъекция Clindamycin phosphate 10 mg/ml
Инъекция Sargramostim 10 µg/ml
Натрия хлорид 0,9% 335
совместимый
Инъекция Clindamycin phosphate 12 mg/ml
Инъекция Tacrolimus 1000 µg/ml
Натрия хлорид 0,9% 479
совместимый
Инъекция Clindamycin phosphate 12 mg/ml
Инъекция Theophylline 4 mg/ml
Нет 317
Немедленные осадки несовместимый
Инъекция Clindamycin phosphate 150 mg/ml
Инъекция Thiopental sodium 25 mg/ml
Натрия хлорид 0,9% 3767
совместимый
Инъекция Clindamycin phosphate 10 mg/ml
Инъекция Thiotepa 1 mg/ml
Глюкоза 5% 249
совместимый
Инъекция Clindamycin phosphate
Инъекция Tobramycin sulfate
Натрия хлорид 0,9% 3526
Немедленные осадки несовместимый
Инъекция Clindamycin phosphate 90 mg/ml
Инъекция Tobramycin sulfate 12 mg/ml
Натрия хлорид 0,9% 639
совместимый
Инъекция Clindamycin phosphate
Инъекция Tobramycin sulfate
Глюкоза 5% 3526
Осадки через 2 часа несовместимый
Инъекция Clindamycin phosphate 6 mg/ml
Инъекция Tramadol hydrochloride 0,4 mg/ml
Натрия хлорид 0,9% 2002
совместимый
Инъекция Clindamycin phosphate 1.2 mg/ml
Инъекция Verapamil hydrochloride 0.08 mg/ml
Натрия хлорид 0,9% 1057
совместимый
Инъекция Clindamycin phosphate 1.2 mg/ml
Инъекция Verapamil hydrochloride 0.08 mg/ml
Глюкоза 5% 1057
совместимый
Инъекция Clindamycin phosphate 10 mg/ml
Инъекция Vinorelbine tartrate 1 mg/ml
Натрия хлорид 0,9% 84
совместимый
Инъекция Clindamycin phosphate 12 mg/ml
Инъекция Zidovudine 4 mg/ml
Глюкоза 5% 337

  Mentions Légales