Última actualização :
27/04/2026
antibiótico   Clindamycin phosphate  
injetável
Estabilidade em soluções simples Estabilidade em misturas Factores que afectam a sua estabilidade Compatibilidade Método de administração Bibliografía pdf
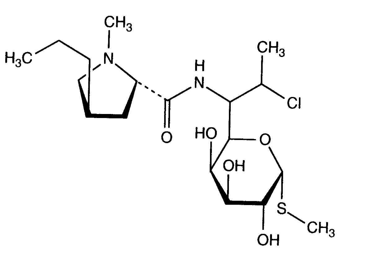
   estrutura química  

Nomes comerciais nos diversos países   Nomes comerciais nos diversos países     

OS NOMES COMERCIAIS SÃO INDICATIVOS E OS EXCIPIENTES DA FORMULAÇÃO PODEM SER DIFERENTES CONFORME O PAÍS E FABRICANTE.

Biodaclin México
Camyda Índia
Cinbiot México
Cleocin Austria, Estados Unidos de América, Turquia
Clinamsa México
Clinbac Colômbia, Peru
Clincina Portugal
Clinda-Saar Alemanha
Clindacid Venezuela
Clindacin Malásia
Clindalaf Argentina
Clindamicina Argentina, Brasil, Chilli, Colômbia, Equator, Espanha, Itália, México, Peru, Portugal, Venezuela
Clindamycin Alemanha, Arábia Saudita, Austria, Canadá, Estados Unidos de América, Irã, Noruega, Romènia, Suècia
Clindamycin-Hameln Alemanha
Clindamycine Bélgica, França, Países Baixos, Tunísia
Clindanovag Argentina
Clindarix Brasil
Clindasol Alemanha
Clindaval Venezuela
Clindazyn México
Clindo Polonia
Clysvic México
Daclin Chilli
Dalacin Arábia Saudita, Australia, Bélgica, Canadá, Chilli, Colômbia, Dinamarca, Egipto, Emirados Árabes Unidos, Equator, Finlandia, Gran-bretanha, Grècia, Hungria, Índia, Irã, Irlanda, Islandia, Itália, Luxemburgo, Malásia, México, Noruega, nova Zelândia, Países Baixos, Polonia, Suècia, Suicia, Tunísia, Venezuela
Dalacine França, Tunísia
Daladic Irã
Dalcinex Índia
Damclid Índia
Damicin Colômbia, México
Damicine Colômbia
Dolarclin Colômbia
Euroclin Colômbia, Equator
Gynasafe Índia
Indamid México
Klimicin Polonia
Klindan Turquia
Klindaver Turquia
Lanacine Austria
Lincocin Malásia
Lincosa Malásia
Meneklin Turquia
Sobelin Alemanha
Tidact Malásia
Compatibilidade   injetável   Compatibilidade : Clindamycin phosphate              
Este ecrã indica as compatibilidades ou incompatibilidades com, neste caso, o tipo de incompatibilidade (precipitação, mudança de cor, modificação de uma emulsão, etc.). As compatibilidades mostradas aqui são principalmente físicas, com a estabilidade química de cada molécula raramente sendo avaliada. A avaliação dessas misturas foi estudada para considerar a possibilidade de administração do local Y ao paciente. Estes dados não podem ser usados para fazer misturas antecipadamente em sacos ou seringas. Este tipo de informação está disponível na tela “Estabilidade na mistura».
molécula Solvente Bibliografia
Compatível
injetável Clindamycin phosphate 12 mg/ml
injetável Aciclovir sodium 5 mg/ml
Glucose 5% 336
Precipitação imediata Incompatível
injetável Clindamycin phosphate 10 mg/ml
injetável Allopurinol sodium 3 mg/ml
cloreto de sódio 0,9% 307
Compatível
injetável Clindamycin phosphate 10 mg/ml
injetável Amifostine 10 mg/ml
Glucose 5% 3
Compatível
injetável Clindamycin phosphate
injetável Amikacin sulfate
cloreto de sódio 0,9% 3526
Compatível
injetável Clindamycin phosphate 9 mg/ml
injetável Amikacin sulfate 4 mg/ml
cloreto de sódio 0,9% 565
Compatível
injetável Clindamycin phosphate 9 mg/ml
injetável Amikacin sulfate 4 mg/ml
Glucose 5% 565
Compatível
injetável Clindamycin phosphate
injetável Amikacin sulfate
Glucose 5% 3526
Compatível
injetável Clindamycin phosphate 90 mg/ml
injetável Amikacin sulfate 75 mg/ml
cloreto de sódio 0,9% 639
Incompatibilidade não especificada Incompatível
injetável Clindamycin phosphate
injetável Aminophylline
3526
Compatível
injetável Clindamycin phosphate 6 mg/ml
injetável Amiodarone hydrochloride 4 mg/ml
cloreto de sódio 0,9% 385
Compatível
injetável Clindamycin phosphate 6 mg/ml
injetável Amiodarone hydrochloride 4 mg/ml
Glucose 5% 385
Turbidez em uma hora Incompatível
injetável Clindamycin phosphate 150 mg/ml
injetável Amoxicillin sodium / clavulanic acid 100/10 mg/ml
3824
Compatível
injetável Clindamycin phosphate 10 mg/ml
injetável Amphotericin B cholesteryl sulfate complex 0.83 mg/ml
Glucose 5% 921
Incompatibilidade não especificada Incompatível
injetável Clindamycin phosphate
injetável Ampicillin sodium
3526
Compatível
injetável Clindamycin phosphate
Glucose 5% 3526
Incompatibilidade não especificada Incompatível
injetável Clindamycin phosphate
injetável Amobarbital sodium
3526
Compatível
injetável Clindamycin phosphate 10 mg/ml
injetável Amsacrine 1 mg/ml
Glucose 5% 253
Compatível
injetável Clindamycin phosphate 10 mg/ml
injetável Anidulafungin 0.5 mg/ml
Glucose 5% 1982
Modificação de pH> 1 unidade de pH Incompatível
injetável Clindamycin phosphate 9 mg/ml
injetável Atosiban 0,75 mg/ml
4642
Compatível
injetável Clindamycin phosphate 6 mg/ml
injetável Aztreonam 10 mg/ml
Glucose 5% 419
Compatível
injetável Clindamycin phosphate 9 mg/ml
injetável Aztreonam 20 mg/ml
Glucose 5% 432
Compatível
injetável Clindamycin phosphate 60 mg/ml
injetável Aztreonam 200 mg/ml
cloreto de sódio 0,9% 644
Compatível
injetável Clindamycin phosphate
injetável Aztreonam
cloreto de sódio 0,9% 3526
Compatível
injetável Clindamycin phosphate 3 mg/ml
injetável Aztreonam 10 mg/ml
Glucose 5% 419
Compatível
injetável Clindamycin phosphate
injetável Aztreonam
Glucose 5% 3526
Compatível
injetável Clindamycin phosphate 24 mg/ml
Nutrição parenterica (mistura binária) 3379
Precipitação imediata Incompatível
injetável Clindamycin phosphate 30 mg/ml
injetável Azithromycine 2 mg/ml
cloreto de sódio 0,9% 1800
Compatível
injetável Clindamycin phosphate 3 mg/ml
Nutrição parenterica (mistura binária) 1055
Compatível
injetável Clindamycin phosphate 6 mg/ml
injetável Aztreonam 20 mg/ml
cloreto de sódio 0,9% 419
Compatível
injetável Clindamycin phosphate 3 mg/ml
injetável Aztreonam 20 mg/ml
cloreto de sódio 0,9% 419
Compatível
injetável Clindamycin phosphate 3 mg/ml
injetável Aztreonam 20 mg/ml
Glucose 5% 419
Compatível
injetável Clindamycin phosphate 6 mg/ml
injetável Aztreonam 20 mg/ml
Glucose 5% 419
Compatível
injetável Clindamycin phosphate 10 mg/ml
injetável Aztreonam 40 mg/ml
Glucose 5% 99
Compatível
injetável Clindamycin phosphate 3 mg/ml
injetável Aztreonam 10 mg/ml
cloreto de sódio 0,9% 419
Compatível
injetável Clindamycin phosphate 6 mg/ml
injetável Aztreonam 10 mg/ml
cloreto de sódio 0,9% 419
Compatível
injetável Clindamycin phosphate 9 mg/ml
injetável Aztreonam 20 mg/ml
cloreto de sódio 0,9% 432
Compatível
injetável Clindamycin phosphate 10 mg/ml
injetável Bivalirudin 5 mg/ml
Glucose 5% 1713
Compatível
injetável Clindamycin phosphate 150 mg/ml
injetável Caffeine 10 mg/ml
nenhum 3964
Incompatibilidade não especificada Incompatível
injetável Clindamycin phosphate
injetável Calcium gluconate
3644
Incompatibilidade não especificada Incompatível
injetável Clindamycin phosphate
injetável Calcium gluconate
3526
Incompatível
injetável Clindamycin phosphate
injetável Calcium gluconate
4964
Precipitação imediata Incompatível
injetável Clindamycin phosphate 10 mg/ml
injetável Caspofungin acetate 0,7 mg/ml
cloreto de sódio 0,9% 2247
Precipitação imediata Incompatível
injetável Clindamycin phosphate 60 mg/ml
injetável Caspofungin acetate 0.5 mg/ml
cloreto de sódio 0,9% 2233
Compatível
injetável Clindamycin phosphate 9 mg/ml
injetável Cefamandole nafate 10 mg/ml
Glucose 5% 418
Compatível
injetável Clindamycin phosphate
injetável Cefamandole nafate
cloreto de sódio 0,9% 3526
Compatível
injetável Clindamycin phosphate 9 mg/ml
injetável Cefamandole nafate 10 mg/ml
cloreto de sódio 0,9% 418
Compatível
injetável Clindamycin phosphate
injetável Cefamandole nafate
Glucose 5% 3526
Compatível
injetável Clindamycin phosphate 9 mg/ml
injetável Cefazolin sodium 10 mg/ml
cloreto de sódio 0,9% 418
Compatível
injetável Clindamycin phosphate
injetável Cefazolin sodium
cloreto de sódio 0,9% 3526
Compatível
injetável Clindamycin phosphate 9 mg/ml
injetável Cefazolin sodium 10 mg/ml
Glucose 5% 418
Compatível
injetável Clindamycin phosphate 0,25 & 6 mg/ml
injetável Cefepime dihydrochloride 4 & 40 mg/ml
Glucose 5% 3548
Compatível
injetável Clindamycin phosphate 10 mg/ml
injetável Cefiderocol sulfate tosylate 20 mg/mL
Glucose 5% 4528
Compatível
injetável Clindamycin phosphate 12 mg/ml
injetável Cefoperazone sodium 20 mg/ml
Glucose 5% 644
Incompatibilidade não especificada Incompatível
injetável Clindamycin phosphate
NaHCO3 3526
Compatível
injetável Clindamycin phosphate 12 mg/ml
injetável Cefonicid sodium 10 mg/ml
cloreto de sódio 0,9% 644
Compatível
injetável Clindamycin phosphate 10 mg/ml
Nutrição parenterica (mistura binária) 301
Compatível
injetável Clindamycin phosphate
injetável Cefazolin sodium
Glucose 5% 3526
Compatível
injetável Clindamycin phosphate 0,25 & 6 mg/ml
injetável Cefepime dihydrochloride 4 & 40 mg/ml
cloreto de sódio 0,9% 3548
Compatível
injetável Clindamycin phosphate 10 mg/ml
injetável Cefiderocol sulfate tosylate 20 mg/mL
cloreto de sódio 0,9% 4528
Compatível
injetável Clindamycin phosphate 12 mg/ml
injetável Cefonicid sodium 10 mg/ml
Glucose 5% 644
Compatível
injetável Clindamycin phosphate 12 mg/ml
injetável Cefoperazone sodium 20 mg/ml
cloreto de sódio 0,9% 644
Compatível
injetável Clindamycin phosphate 150 mg/ml
Nutrição parenterica (mistura binária) 999
Compatível
injetável Clindamycin phosphate
injetável Cefotaxime sodium
Glucose 5% 3526
Compatível
injetável Clindamycin phosphate 9 mg/ml
injetável Cefotaxime sodium 20 mg/ml
Glucose 5% 421
Compatível
injetável Clindamycin phosphate 9 mg/ml
injetável Cefotaxime sodium 20 mg/ml
cloreto de sódio 0,9% 421
Compatível
injetável Clindamycin phosphate
injetável Cefotaxime sodium
cloreto de sódio 0,9% 3526
Compatível
injetável Clindamycin phosphate
injetável Cefoxitin sodium
cloreto de sódio 0,9% 3526
Compatível
injetável Clindamycin phosphate 9 mg/ml
injetável Cefoxitin sodium 20 mg/ml
Glucose 5% 418
Compatível
injetável Clindamycin phosphate 9 mg/ml
injetável Cefoxitin sodium 20 mg/ml
cloreto de sódio 0,9% 418
Compatível
injetável Clindamycin phosphate
injetável Cefoxitin sodium
Glucose 5% 3526
Compatível
injetável Clindamycin phosphate 12 mg/ml
injetável Cefpirome sulfate 50 mg/ml
cloreto de sódio 0,9% 280
Compatível
injetável Clindamycin phosphate 12 mg/ml
injetável Cefpirome sulfate 50 mg/ml
cloreto de sódio 0,45% 280
Compatível
injetável Clindamycin phosphate 12 mg/ml
injetável Cefpirome sulfate 50 mg/ml
Glucose 5% 280
Compatível
injetável Clindamycin phosphate 12 mg/ml
injetável Cefpirome sulfate 50 mg/ml
Ringer lactato 280
Compatível
injetável Clindamycin phosphate 10 mg/ml
injetável Ceftaroline fosamil 2,22 mg/ml
Ringer lactato 3249
Compatível
injetável Clindamycin phosphate
injetável Ceftazidime
Glucose 5% 3526
Compatível
injetável Clindamycin phosphate 9 mg/ml
injetável Ceftizoxime sodium 20 mg/ml
cloreto de sódio 0,9% 418
Compatível
injetável Clindamycin phosphate
injetável Ceftizoxime sodium
Glucose 5% 3526
Compatível
injetável Clindamycin phosphate 10 mg/ml
injetável Ceftobiprole medocaril sodium 2 mg/ml
cloreto de sódio 0,9% 2269
Compatível
injetável Clindamycin phosphate 10 mg/ml
injetável Ceftobiprole medocaril sodium 2 mg/ml
Glucose 5% 2269
Compatível
injetável Clindamycin phosphate 10 mg/ml
injetável Ceftobiprole medocaril sodium 2 mg/ml
Ringer lactato 2269
Compatível
injetável Clindamycin phosphate 5,77 mg/ml
Nutrição parenteral (com lípidos) 4440
Compatível
injetável Clindamycin phosphate 1.2 mg/ml
injetável Cimetidine hydrochloride 1.2 & 5 mg/ml
Glucose 5% 1201
Compatível
injetável Clindamycin phosphate 1.2 mg/ml
injetável Cimetidine hydrochloride 1.2 & 5 mg/ml
cloreto de sódio 0,9% 1201
Precipitação imediata Incompatível
injetável Clindamycin phosphate 7 mg/ml
injetável Ciprofloxacin lactate 1.5 mg/ml
Glucose 5% 434
Compatível
injetável Clindamycin phosphate 10 mg/ml
injetável Cisatracurium besylate 0.1 >> 5 mg/ml
Glucose 5% 299
Compatível
injetável Clindamycin phosphate 150 mg/ml
injetável Cloxacillin sodium 100 mg/ml
Agua para injectaveis 3012
Compatível
injetável Clindamycin phosphate 10 mg/ml
injetável Docetaxel 0.9 mg/ml
Glucose 5% 1754
Produção de bolhas de gás Incompatível
injetável Clindamycin phosphate 10 mg/ml
injetável Doxapram hydrochloride 2 mg/ml
Glucose 5% 1802
Compatível
injetável Clindamycin phosphate 10 mg/ml
injetável Doxorubicin hydrochloride liposome peg 0.4 mg/ml
Glucose 5% 251
Compatível
injetável Clindamycin phosphate 9 mg/ml
injetável Esmolol hydrochloride 10 mg/ml
Glucose 5% 384
Compatível
injetável Clindamycin phosphate 9 mg/ml
injetável Fentanyl citrate 50 µg/ml
Glucose 5% 63
Compatível
injetável Clindamycin phosphate 10 mg/ml
Nutrição parenteral (com lípidos) 3967
Compatível
injetável Clindamycin phosphate 10 mg/ml
injetável Ceftaroline fosamil 2,22 mg/ml
Glucose 5% 3249
Compatível
injetável Clindamycin phosphate 10 mg/ml
injetável Ceftaroline fosamil 2,22 mg/ml
cloreto de sódio 0,9% 3249
Compatível
injetável Clindamycin phosphate 9 mg/ml
injetável Ceftazidime 20 mg/ml
Glucose 5% 432
Compatível
injetável Clindamycin phosphate
injetável Ceftazidime
cloreto de sódio 0,9% 3526
Compatível
injetável Clindamycin phosphate 9 mg/ml
injetável Ceftazidime 20 mg/ml
cloreto de sódio 0,9% 432
Compatível
injetável Clindamycin phosphate 10 mg/ml
Nutrição parenteral (com lípidos) 1415
Compatível
injetável Clindamycin phosphate 9 mg/ml
injetável Ceftizoxime sodium 20 mg/ml
Glucose 5% 418
Compatível
injetável Clindamycin phosphate
injetável Ceftizoxime sodium
cloreto de sódio 0,9% 3526
Instabilidade química Incompatível
injetável Clindamycin phosphate 12 mg/ml
injetável Ceftriaxone disodium 20 mg/ml
Glucose 5% 432
Incompatibilidade não especificada Incompatível
injetável Clindamycin phosphate
injetável Ceftriaxone disodium
3526
Instabilidade química Incompatível
injetável Clindamycin phosphate 12 mg/ml
injetável Ceftriaxone disodium 20 mg/ml
cloreto de sódio 0,9% 432
Compatível
injetável Clindamycin phosphate 9 mg/ml
injetável Cefuroxime sodium 15 mg/ml
cloreto de sódio 0,9% 644
Compatível
injetável Clindamycin phosphate 9 mg/ml
injetável Cefuroxime sodium 15 mg/ml
Glucose 5% 644
Precipitação imediata Incompatível
injetável Clindamycin phosphate 7 mg/ml
injetável Ciprofloxacin lactate 1.5 mg/ml
cloreto de sódio 0,9% 434
Incompatibilidade não especificada Incompatível
injetável Clindamycin phosphate
injetável Ciprofloxacin lactate
3526
Compatível
injetável Clindamycin phosphate 10 mg/ml
injetável Dexmedetomidine 4 µg/ml
cloreto de sódio 0,9% 1712
Compatível
injetável Clindamycin phosphate 12 & 150 mg/ml
injetável Diltiazem hydrochloride 5 mg/ml
cloreto de sódio 0,9% 198
Compatível
injetável Clindamycin phosphate
injetável Dimenhydrinate
2087
Compatível
injetável Clindamycin phosphate 9 mg/ml
injetável Enalaprilate 0.05 mg/ml
cloreto de sódio 0,9% 1315
Compatível
injetável Clindamycin phosphate 10 mg/ml
injetável Etoposide phosphate 5 mg/ml
Glucose 5% 1410
Compatível
injetável Clindamycin phosphate 10 mg/ml
injetável Fenoldopam mesylate 80 µg/ml
cloreto de sódio 0,9% 1803
Precipitação imediata Incompatível
injetável Clindamycin phosphate 10 mg/ml
injetável Filgrastim 30 µg/ml
Glucose 5% 244
Compatível
injetável Clindamycin phosphate 12 mg/ml
injetável Fluconazole 2 mg/ml
nenhum 256
Precipitação imediata Incompatível
injetável Clindamycin phosphate 24 mg/ml
injetável Fluconazole 2 mg/ml
cloreto de sódio 0,9% 496
Compatível
injetável Clindamycin phosphate 10 mg/ml
injetável Fludarabine phosphate 1 mg/ml
Glucose 5% 492
Compatível
injetável Clindamycin phosphate 12 mg/ml
injetável Foscarnet sodium 24 mg/ml
Glucose 5% 1135
Compatível
injetável Clindamycin phosphate 24 mg/ml
injetável Foscarnet sodium 24 mg/ml
nenhum 73
Compatível
injetável Clindamycin phosphate 12 mg/ml
injetável Foscarnet sodium 24 mg/ml
cloreto de sódio 0,9% 1135
Compatível
injetável Clindamycin phosphate 10 mg/ml
injetável Gemcitabine hydrochloride 10 mg/ml
cloreto de sódio 0,9% 1423
Compatível
injetável Clindamycin phosphate
injetável Gentamicin sulfate
Glucose 5% 3526
Compatível
injetável Clindamycin phosphate 90 mg/ml
injetável Gentamicin sulfate 12 mg/ml
cloreto de sódio 0,9% 639
Compatível
injetável Clindamycin phosphate 6 mg/ml
injetável Gentamicin sulfate 0.67 mg/ml
Glucose 5% 423
Compatível
injetável Clindamycin phosphate
injetável Gentamicin sulfate
cloreto de sódio 0,9% 3526
Compatível
injetável Clindamycin phosphate 10 mg/ml
injetável Granisetron hydrochloride 0.05 mg/ml
Glucose 5% 182
Compatível
injetável Clindamycin phosphate 12 mg/ml
injetável Heparin sodium 50 UI/ml
nenhum 317
Compatível
injetável Clindamycin phosphate 10 mg/ml
injetável Hetastarch 60 mg/ml
solvente específico 1721
Compatível
injetável Clindamycin phosphate 12 mg/ml
injetável Hydromorphone hydrochloride 0.2 mg/ml
Glucose 5% 405
Incompatibilidade não especificada Incompatível
injetável Clindamycin phosphate
injetável Idarubicin hydrochloride
3526
Precipitação imediata Incompatível
injetável Clindamycin phosphate 12 mg/ml
injetável Idarubicin hydrochloride 1 mg/ml
cloreto de sódio 0,9% 491
Compatível
injetável Clindamycin phosphate 150 mg/ml
injetável Ketamine hydrochloride 50 mg/ml
2109
Compatível
injetável Clindamycin phosphate 9 mg/ml
injetável Labetalol hydrochloride 1 mg/ml
Glucose 5% 386
Precipitação imediata Incompatível
injetável Clindamycin phosphate 10 mg/ml
injetável Lansoprazole 0.55 mg/ml
cloreto de sódio 0,9% 1625
Compatível
injetável Clindamycin phosphate 150 mg/ml
injetável Levofloxacine 5 mg/ml
Glucose 5% 1072
Compatível
injetável Clindamycin phosphate 10 mg/ml
injetável Linezolid 2 mg/ml
nenhum 1925
Incompatibilidade não especificada Incompatível
injetável Clindamycin phosphate
injetável Magnesium chloride
5012
Incompatibilidade não especificada Incompatível
injetável Clindamycin phosphate
injetável Magnesium sulfate
3838
Compatível
injetável Clindamycin phosphate 12 mg/ml
injetável Magnesium sulfate 16.67 >> 100 mg/ml
Glucose 5% 1047
Incompatibilidade não especificada Incompatível
injetável Clindamycin phosphate
injetável Magnesium sulfate
3526
Compatível
injetável Clindamycin phosphate 10 mg/ml
injetável Melphalan 0.1 mg/ml
cloreto de sódio 0,9% 169
Compatível
injetável Clindamycin phosphate 150 mg/ml
injetável Meropenem 50 mg/ml
Agua para injectaveis 4319
Incompatibilidade não especificada Incompatível
injetável Clindamycin phosphate
injetável Methohexital sodium
3526
Compatível
injetável Clindamycin phosphate 10 mg/ml
injetável Metronidazole 5 mg/ml
nenhum 1035
Compatível
injetável Clindamycin phosphate
injetável Metronidazole
3594
Compatível
injetável Clindamycin phosphate 9 mg/ml
injetável Midazolam hydrochloride 1 mg/ml
Glucose 5% 176
Compatível
injetável Clindamycin phosphate 12 mg/ml
injetável Morphine sulfate 1 mg/ml
Glucose 5% 405
Compatível
injetável Clindamycin phosphate 150 mg/ml
injetável N-acetylcysteine 200 mg/ml
nenhum 3766
Compatível
injetável Clindamycin phosphate 150 mg/ml
injetável Naloxone hydrochloride 0.4 mg/ml
nenhum 3408
Compatível
injetável Clindamycin phosphate
injetável Netilmicin sulfate
cloreto de sódio 0,9% 3526
Compatível
injetável Clindamycin phosphate 9 mg/ml
injetável Netilmicin sulfate 3 mg/ml
Glucose 5% 421
Compatível
injetável Clindamycin phosphate 9 mg/ml
injetável Netilmicin sulfate 3 mg/ml
cloreto de sódio 0,9% 421
Compatível
injetável Clindamycin phosphate
injetável Netilmicin sulfate
Glucose 5% 3526
Compatível
injetável Clindamycin phosphate 9 mg/ml
injetável Nicardipine hydrochloride 0.1 mg/ml
cloreto de sódio 0,9% 1490
Compatível
injetável Clindamycin phosphate 9 mg/ml
injetável Nicardipine hydrochloride 0.1 mg/ml
Glucose 5% 1490
Compatível
injetável Clindamycin phosphate 6 mg/ml
injetável Ofloxacin 2 mg/ml
nenhum 889
Compatível
injetável Clindamycin phosphate 10 mg/ml
injetável Ondansetron hydrochloride 1 mg/ml
cloreto de sódio 0,9% 334
Precipitação após 1 hora Incompatível
injetável Clindamycin phosphate 12 mg/ml
injetável Oritavancin 0.8 >>2 mg/ml
Glucose 5% 3152
Precipitação após 1 hora Incompatível
injetável Clindamycin phosphate
injetável Pantoprazole sodium
2090
Compatível
injetável Clindamycin phosphate 150 mg/ml
injetável Paracetamol 10 mg/ml
4742
Compatível
injetável Clindamycin phosphate 10 mg/ml
injetável Paracetamol 10 mg/ml
nenhum 3571
Compatível
injetável Clindamycin phosphate 10 mg/ml
injetável Pemetrexed disodium 20 mg/ml
cloreto de sódio 0,9% 1953
Incompatibilidade não especificada Incompatível
injetável Clindamycin phosphate
injetável Pentobarbital sodium
3526
Compatível
injetável Clindamycin phosphate 12 mg/ml
injetável Pethidine hydrochloride 10 mg/ml
Glucose 5% 405
Incompatibilidade não especificada Incompatível
injetável Clindamycin phosphate
injetável Phenobarbital sodium
3526
Incompatibilidade não especificada Incompatível
injetável Clindamycin phosphate
injetável Phenytoin sodium
3526
Compatível
injetável Clindamycin phosphate 18 mg/ml
injetável Phloroglucinol 2,5 mg/ml
3791
Compatível
injetável Clindamycin phosphate
injetável Piperacillin sodium
Glucose 5% 3526
Compatível
injetável Clindamycin phosphate
injetável Piperacillin sodium
cloreto de sódio 0,9% 3526
Compatível
injetável Clindamycin phosphate 9 mg/ml
injetável Piperacillin sodium 40 mg/ml
Glucose 5% 432
Compatível
injetável Clindamycin phosphate 9 mg/ml
injetável Piperacillin sodium 40 mg/ml
cloreto de sódio 0,9% 432
Compatível
injetável Clindamycin phosphate 10 mg/ml
injetável Piperacillin sodium / tazobactam 40/5 mg/ml
Glucose 5% 81
Turvação imediata Incompatível
injetável Clindamycin phosphate 150 mg/ml
injetável Salbutamol sulfate 1 mg/ml
nenhum 3216
Incompatibilidade não especificada Incompatível
injetável Clindamycin phosphate
injetável Sodium bicarbonate
3526
Precipitação imediata Incompatível
injetável Clindamycin phosphate 12 mg/ml
injetável Temocilline 83.33 mg/ml
Agua para injectaveis 2231
Compatível
injetável Clindamycin phosphate 10 mg/ml
injetável Teniposide 0.1 mg/ml
Glucose 5% 905
Incompatibilidade não especificada Incompatível
injetável Clindamycin phosphate
injetável Thiopental sodium
3526
Compatível
injetável Clindamycin phosphate
cloreto de sódio 0,9% 3526
Compatível
injetável Clindamycin phosphate 10 mg/ml
injetável Propofol 10 mg/ml
nenhum 300
Incompatibilidade não especificada Incompatível
injetável Clindamycin phosphate
injetável Ranitidine hydrochloride
3526
Compatível
injetável Clindamycin phosphate 10 mg/ml
injetável Remifentanil hydrochloride 25 & 250 µg/ml
cloreto de sódio 0,9% 59
Compatível
injetável Clindamycin phosphate 10 mg/ml
injetável Sargramostim 10 µg/ml
cloreto de sódio 0,9% 335
Compatível
injetável Clindamycin phosphate 12 mg/ml
injetável Tacrolimus 1000 µg/ml
cloreto de sódio 0,9% 479
Compatível
injetável Clindamycin phosphate 12 mg/ml
injetável Theophylline 4 mg/ml
nenhum 317
Precipitação imediata Incompatível
injetável Clindamycin phosphate 150 mg/ml
injetável Thiopental sodium 25 mg/ml
cloreto de sódio 0,9% 3767
Compatível
injetável Clindamycin phosphate 10 mg/ml
injetável Thiotepa 1 mg/ml
Glucose 5% 249
Compatível
injetável Clindamycin phosphate
injetável Tobramycin sulfate
cloreto de sódio 0,9% 3526
Precipitação imediata Incompatível
injetável Clindamycin phosphate 90 mg/ml
injetável Tobramycin sulfate 12 mg/ml
cloreto de sódio 0,9% 639
Compatível
injetável Clindamycin phosphate
injetável Tobramycin sulfate
Glucose 5% 3526
Precipitação após 2 horas Incompatível
injetável Clindamycin phosphate 6 mg/ml
injetável Tramadol hydrochloride 0,4 mg/ml
cloreto de sódio 0,9% 2002
Compatível
injetável Clindamycin phosphate 1.2 mg/ml
injetável Verapamil hydrochloride 0.08 mg/ml
cloreto de sódio 0,9% 1057
Compatível
injetável Clindamycin phosphate 1.2 mg/ml
injetável Verapamil hydrochloride 0.08 mg/ml
Glucose 5% 1057
Compatível
injetável Clindamycin phosphate 10 mg/ml
injetável Vinorelbine tartrate 1 mg/ml
cloreto de sódio 0,9% 84
Compatível
injetável Clindamycin phosphate 12 mg/ml
injetável Zidovudine 4 mg/ml
Glucose 5% 337

  Mentions Légales