Dernière mise à jour :
27/04/2026
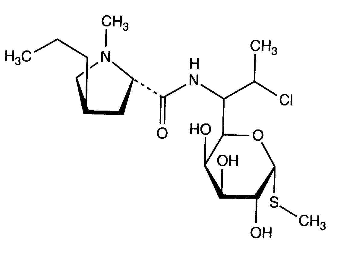
Antibiotique   Clindamycin phosphate  
injectable
Stabilité des solutions Stabilité en mélange Facteur influençant la stabilité Compatibilités Voie d’administration Bibliographie pdf
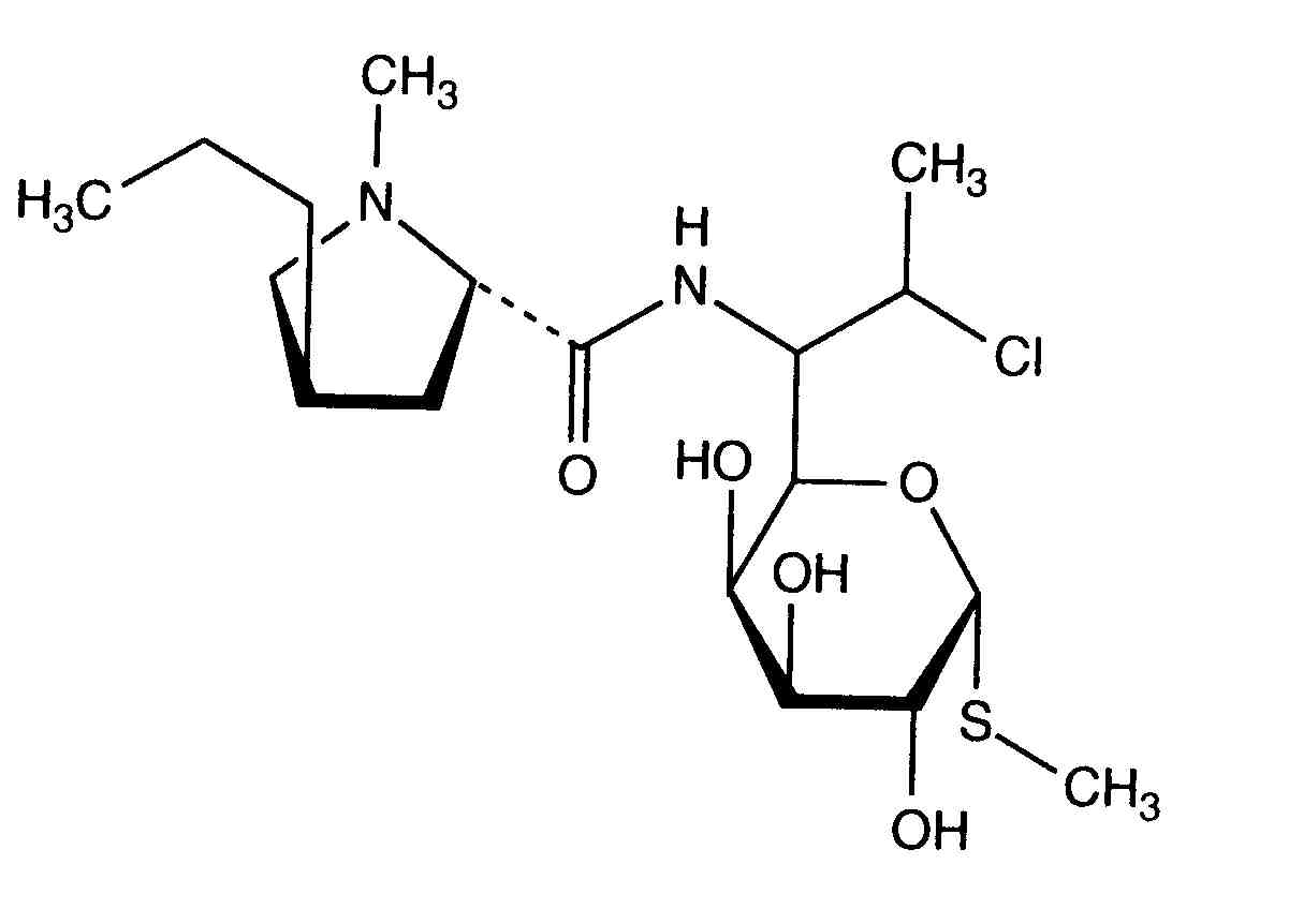
   Structure chimique  

Noms commerciaux   Noms commerciaux     

Les noms commerciaux sont donnés à titre indicatif et la composition en excipients peut être différente selon les pays et selon les laboratoires

Biodaclin Mexique
Camyda Inde
Cinbiot Mexique
Cleocin Autriche, Etats Unis d’Amérique, Turquie
Clinamsa Mexique
Clinbac Colombie, Pérou
Clincina Portugal
Clinda-Saar Allemagne
Clindacid Vénézuela
Clindacin Malaisie
Clindalaf Argentine
Clindamicina Argentine, Brésil, Chili, Colombie, Equateur, Espagne, Italie, Mexique, Pérou, Portugal, Vénézuela
Clindamycin Allemagne, Arabie Saoudite, Autriche, Canada, Etats Unis d’Amérique, Iran, Norvège, Roumanie, Suède
Clindamycin-Hameln Allemagne
Clindamycine Belgique, France, Pays bas, Tunisie
Clindanovag Argentine
Clindarix Brésil
Clindasol Allemagne
Clindaval Vénézuela
Clindazyn Mexique
Clindo Pologne
Clysvic Mexique
Daclin Chili
Dalacin Arabie Saoudite, Australie, Belgique, Canada, Chili, Colombie, Danemark, Egypte, Emirats Arabes Unis , Equateur, Finlande, Grande Bretagne, Grèce, Hongrie, Inde, Iran, Irlande, Islande, Italie, Luxembourg, Malaisie, Mexique, Norvège, Nouvelle Zélande, Pays bas, Pologne, Suède, Suisse, Tunisie, Vénézuela
Dalacine France, Tunisie
Daladic Iran
Dalcinex Inde
Damclid Inde
Damicin Colombie, Mexique
Damicine Colombie
Dolarclin Colombie
Euroclin Colombie, Equateur
Gynasafe Inde
Indamid Mexique
Klimicin Pologne
Klindan Turquie
Klindaver Turquie
Lanacine Autriche
Lincocin Malaisie
Lincosa Malaisie
Meneklin Turquie
Sobelin Allemagne
Tidact Malaisie
Compatibilités   injectable   Compatibilités : Clindamycin phosphate              
Cet écran indique les compatibilités ou incompatibilités avec, dans ce cas, le type d'incompatibilité (précipitation, changement de couleur, modification d'une émulsion, etc.). Les compatibilités présentées ici sont pour la plupart uniquement physiques, la stabilité chimique de chaque molécule étant rarement évaluée. L'évaluation de ces mélanges a été étudiée pour envisager la possibilité d'une administration en site Y au patient. Ces données ne peuvent pas être utilisées pour préparer des mélanges à l'avance dans des poches de perfusion ou des seringues. Ce type d'informations est disponible dans l'écran « Stabilité en mélange ».
Molécule Solvant Bibliographie
Compatible
injectable Clindamycin phosphate 12 mg/ml
injectable Aciclovir sodium 5 mg/ml
Glucose 5% 336
Précipitation immédiate Incompatible
injectable Clindamycin phosphate 10 mg/ml
injectable Allopurinol sodium 3 mg/ml
Chlorure de sodium 0,9% 307
Compatible
injectable Clindamycin phosphate 10 mg/ml
injectable Amifostine 10 mg/ml
Glucose 5% 3
Compatible
injectable Clindamycin phosphate
injectable Amikacin sulfate
Chlorure de sodium 0,9% 3526
Compatible
injectable Clindamycin phosphate 9 mg/ml
injectable Amikacin sulfate 4 mg/ml
Chlorure de sodium 0,9% 565
Compatible
injectable Clindamycin phosphate 9 mg/ml
injectable Amikacin sulfate 4 mg/ml
Glucose 5% 565
Compatible
injectable Clindamycin phosphate
injectable Amikacin sulfate
Glucose 5% 3526
Compatible
injectable Clindamycin phosphate 90 mg/ml
injectable Amikacin sulfate 75 mg/ml
Chlorure de sodium 0,9% 639
Incompatibilité non précisée Incompatible
injectable Clindamycin phosphate
injectable Aminophylline
3526
Compatible
injectable Clindamycin phosphate 6 mg/ml
injectable Amiodarone hydrochloride 4 mg/ml
Chlorure de sodium 0,9% 385
Compatible
injectable Clindamycin phosphate 6 mg/ml
injectable Amiodarone hydrochloride 4 mg/ml
Glucose 5% 385
Turbidité en 1 heure Incompatible
injectable Clindamycin phosphate 150 mg/ml
injectable Amoxicillin sodium / clavulanic acid 100/10 mg/ml
3824
Compatible
injectable Clindamycin phosphate 10 mg/ml
injectable Amphotericin B cholesteryl sulfate complex 0.83 mg/ml
Glucose 5% 921
Incompatibilité non précisée Incompatible
injectable Clindamycin phosphate
injectable Ampicillin sodium
3526
Compatible
injectable Clindamycin phosphate
Glucose 5% 3526
Incompatibilité non précisée Incompatible
injectable Clindamycin phosphate
injectable Amobarbital sodium
3526
Compatible
injectable Clindamycin phosphate 10 mg/ml
injectable Amsacrine 1 mg/ml
Glucose 5% 253
Compatible
injectable Clindamycin phosphate 10 mg/ml
injectable Anidulafungin 0.5 mg/ml
Glucose 5% 1982
Modification du pH > 1 unité pH Incompatible
injectable Clindamycin phosphate 9 mg/ml
injectable Atosiban 0,75 mg/ml
4642
Compatible
injectable Clindamycin phosphate 6 mg/ml
injectable Aztreonam 10 mg/ml
Glucose 5% 419
Compatible
injectable Clindamycin phosphate 9 mg/ml
injectable Aztreonam 20 mg/ml
Glucose 5% 432
Compatible
injectable Clindamycin phosphate 60 mg/ml
injectable Aztreonam 200 mg/ml
Chlorure de sodium 0,9% 644
Compatible
injectable Clindamycin phosphate
injectable Aztreonam
Chlorure de sodium 0,9% 3526
Compatible
injectable Clindamycin phosphate 3 mg/ml
injectable Aztreonam 10 mg/ml
Glucose 5% 419
Compatible
injectable Clindamycin phosphate
injectable Aztreonam
Glucose 5% 3526
Compatible
injectable Clindamycin phosphate 24 mg/ml
Nutrition parentérale (mélange binaire) 3379
Précipitation immédiate Incompatible
injectable Clindamycin phosphate 30 mg/ml
injectable Azithromycine 2 mg/ml
Chlorure de sodium 0,9% 1800
Compatible
injectable Clindamycin phosphate 3 mg/ml
Nutrition parentérale (mélange binaire) 1055
Compatible
injectable Clindamycin phosphate 6 mg/ml
injectable Aztreonam 20 mg/ml
Chlorure de sodium 0,9% 419
Compatible
injectable Clindamycin phosphate 3 mg/ml
injectable Aztreonam 20 mg/ml
Chlorure de sodium 0,9% 419
Compatible
injectable Clindamycin phosphate 3 mg/ml
injectable Aztreonam 20 mg/ml
Glucose 5% 419
Compatible
injectable Clindamycin phosphate 6 mg/ml
injectable Aztreonam 20 mg/ml
Glucose 5% 419
Compatible
injectable Clindamycin phosphate 10 mg/ml
injectable Aztreonam 40 mg/ml
Glucose 5% 99
Compatible
injectable Clindamycin phosphate 3 mg/ml
injectable Aztreonam 10 mg/ml
Chlorure de sodium 0,9% 419
Compatible
injectable Clindamycin phosphate 6 mg/ml
injectable Aztreonam 10 mg/ml
Chlorure de sodium 0,9% 419
Compatible
injectable Clindamycin phosphate 9 mg/ml
injectable Aztreonam 20 mg/ml
Chlorure de sodium 0,9% 432
Compatible
injectable Clindamycin phosphate 10 mg/ml
injectable Bivalirudin 5 mg/ml
Glucose 5% 1713
Compatible
injectable Clindamycin phosphate 150 mg/ml
injectable Caffeine 10 mg/ml
Aucun 3964
Incompatibilité non précisée Incompatible
injectable Clindamycin phosphate
injectable Calcium gluconate
3644
Incompatibilité non précisée Incompatible
injectable Clindamycin phosphate
injectable Calcium gluconate
3526
Incompatible
injectable Clindamycin phosphate
injectable Calcium gluconate
4964
Précipitation immédiate Incompatible
injectable Clindamycin phosphate 10 mg/ml
injectable Caspofungin acetate 0,7 mg/ml
Chlorure de sodium 0,9% 2247
Précipitation immédiate Incompatible
injectable Clindamycin phosphate 60 mg/ml
injectable Caspofungin acetate 0.5 mg/ml
Chlorure de sodium 0,9% 2233
Compatible
injectable Clindamycin phosphate 9 mg/ml
injectable Cefamandole nafate 10 mg/ml
Glucose 5% 418
Compatible
injectable Clindamycin phosphate
injectable Cefamandole nafate
Chlorure de sodium 0,9% 3526
Compatible
injectable Clindamycin phosphate 9 mg/ml
injectable Cefamandole nafate 10 mg/ml
Chlorure de sodium 0,9% 418
Compatible
injectable Clindamycin phosphate
injectable Cefamandole nafate
Glucose 5% 3526
Compatible
injectable Clindamycin phosphate 9 mg/ml
injectable Cefazolin sodium 10 mg/ml
Chlorure de sodium 0,9% 418
Compatible
injectable Clindamycin phosphate
injectable Cefazolin sodium
Chlorure de sodium 0,9% 3526
Compatible
injectable Clindamycin phosphate 9 mg/ml
injectable Cefazolin sodium 10 mg/ml
Glucose 5% 418
Compatible
injectable Clindamycin phosphate 0,25 & 6 mg/ml
injectable Cefepime dihydrochloride 4 & 40 mg/ml
Glucose 5% 3548
Compatible
injectable Clindamycin phosphate 10 mg/ml
injectable Cefiderocol sulfate tosylate 20 mg/mL
Glucose 5% 4528
Compatible
injectable Clindamycin phosphate 12 mg/ml
injectable Cefoperazone sodium 20 mg/ml
Glucose 5% 644
Incompatibilité non précisée Incompatible
injectable Clindamycin phosphate
NaHCO3 3526
Compatible
injectable Clindamycin phosphate 12 mg/ml
injectable Cefonicid sodium 10 mg/ml
Chlorure de sodium 0,9% 644
Compatible
injectable Clindamycin phosphate 10 mg/ml
Nutrition parentérale (mélange binaire) 301
Compatible
injectable Clindamycin phosphate
injectable Cefazolin sodium
Glucose 5% 3526
Compatible
injectable Clindamycin phosphate 0,25 & 6 mg/ml
injectable Cefepime dihydrochloride 4 & 40 mg/ml
Chlorure de sodium 0,9% 3548
Compatible
injectable Clindamycin phosphate 10 mg/ml
injectable Cefiderocol sulfate tosylate 20 mg/mL
Chlorure de sodium 0,9% 4528
Compatible
injectable Clindamycin phosphate 12 mg/ml
injectable Cefonicid sodium 10 mg/ml
Glucose 5% 644
Compatible
injectable Clindamycin phosphate 12 mg/ml
injectable Cefoperazone sodium 20 mg/ml
Chlorure de sodium 0,9% 644
Compatible
injectable Clindamycin phosphate 150 mg/ml
Nutrition parentérale (mélange binaire) 999
Compatible
injectable Clindamycin phosphate
injectable Cefotaxime sodium
Glucose 5% 3526
Compatible
injectable Clindamycin phosphate 9 mg/ml
injectable Cefotaxime sodium 20 mg/ml
Glucose 5% 421
Compatible
injectable Clindamycin phosphate 9 mg/ml
injectable Cefotaxime sodium 20 mg/ml
Chlorure de sodium 0,9% 421
Compatible
injectable Clindamycin phosphate
injectable Cefotaxime sodium
Chlorure de sodium 0,9% 3526
Compatible
injectable Clindamycin phosphate
injectable Cefoxitin sodium
Chlorure de sodium 0,9% 3526
Compatible
injectable Clindamycin phosphate 9 mg/ml
injectable Cefoxitin sodium 20 mg/ml
Glucose 5% 418
Compatible
injectable Clindamycin phosphate 9 mg/ml
injectable Cefoxitin sodium 20 mg/ml
Chlorure de sodium 0,9% 418
Compatible
injectable Clindamycin phosphate
injectable Cefoxitin sodium
Glucose 5% 3526
Compatible
injectable Clindamycin phosphate 12 mg/ml
injectable Cefpirome sulfate 50 mg/ml
Chlorure de sodium 0,9% 280
Compatible
injectable Clindamycin phosphate 12 mg/ml
injectable Cefpirome sulfate 50 mg/ml
Chlorure de sodium 0,45% 280
Compatible
injectable Clindamycin phosphate 12 mg/ml
injectable Cefpirome sulfate 50 mg/ml
Glucose 5% 280
Compatible
injectable Clindamycin phosphate 12 mg/ml
injectable Cefpirome sulfate 50 mg/ml
Ringer lactate 280
Compatible
injectable Clindamycin phosphate 10 mg/ml
injectable Ceftaroline fosamil 2,22 mg/ml
Ringer lactate 3249
Compatible
injectable Clindamycin phosphate
injectable Ceftazidime
Glucose 5% 3526
Compatible
injectable Clindamycin phosphate 9 mg/ml
injectable Ceftizoxime sodium 20 mg/ml
Chlorure de sodium 0,9% 418
Compatible
injectable Clindamycin phosphate
injectable Ceftizoxime sodium
Glucose 5% 3526
Compatible
injectable Clindamycin phosphate 10 mg/ml
injectable Ceftobiprole medocaril sodium 2 mg/ml
Chlorure de sodium 0,9% 2269
Compatible
injectable Clindamycin phosphate 10 mg/ml
injectable Ceftobiprole medocaril sodium 2 mg/ml
Glucose 5% 2269
Compatible
injectable Clindamycin phosphate 10 mg/ml
injectable Ceftobiprole medocaril sodium 2 mg/ml
Ringer lactate 2269
Compatible
injectable Clindamycin phosphate 5,77 mg/ml
Nutrition parentérale (mélange ternaire) 4440
Compatible
injectable Clindamycin phosphate 1.2 mg/ml
injectable Cimetidine hydrochloride 1.2 & 5 mg/ml
Glucose 5% 1201
Compatible
injectable Clindamycin phosphate 1.2 mg/ml
injectable Cimetidine hydrochloride 1.2 & 5 mg/ml
Chlorure de sodium 0,9% 1201
Précipitation immédiate Incompatible
injectable Clindamycin phosphate 7 mg/ml
injectable Ciprofloxacin lactate 1.5 mg/ml
Glucose 5% 434
Compatible
injectable Clindamycin phosphate 10 mg/ml
injectable Cisatracurium besylate 0.1 >> 5 mg/ml
Glucose 5% 299
Compatible
injectable Clindamycin phosphate 150 mg/ml
injectable Cloxacillin sodium 100 mg/ml
Eau pour préparation injectable 3012
Compatible
injectable Clindamycin phosphate 10 mg/ml
injectable Docetaxel 0.9 mg/ml
Glucose 5% 1754
Dégagement gazeux Incompatible
injectable Clindamycin phosphate 10 mg/ml
injectable Doxapram hydrochloride 2 mg/ml
Glucose 5% 1802
Compatible
injectable Clindamycin phosphate 10 mg/ml
injectable Doxorubicin hydrochloride liposome peg 0.4 mg/ml
Glucose 5% 251
Compatible
injectable Clindamycin phosphate 9 mg/ml
injectable Esmolol hydrochloride 10 mg/ml
Glucose 5% 384
Compatible
injectable Clindamycin phosphate 9 mg/ml
injectable Fentanyl citrate 50 µg/ml
Glucose 5% 63
Compatible
injectable Clindamycin phosphate 10 mg/ml
Nutrition parentérale (mélange ternaire) 3967
Compatible
injectable Clindamycin phosphate 10 mg/ml
injectable Ceftaroline fosamil 2,22 mg/ml
Glucose 5% 3249
Compatible
injectable Clindamycin phosphate 10 mg/ml
injectable Ceftaroline fosamil 2,22 mg/ml
Chlorure de sodium 0,9% 3249
Compatible
injectable Clindamycin phosphate 9 mg/ml
injectable Ceftazidime 20 mg/ml
Glucose 5% 432
Compatible
injectable Clindamycin phosphate
injectable Ceftazidime
Chlorure de sodium 0,9% 3526
Compatible
injectable Clindamycin phosphate 9 mg/ml
injectable Ceftazidime 20 mg/ml
Chlorure de sodium 0,9% 432
Compatible
injectable Clindamycin phosphate 10 mg/ml
Nutrition parentérale (mélange ternaire) 1415
Compatible
injectable Clindamycin phosphate 9 mg/ml
injectable Ceftizoxime sodium 20 mg/ml
Glucose 5% 418
Compatible
injectable Clindamycin phosphate
injectable Ceftizoxime sodium
Chlorure de sodium 0,9% 3526
Instabilité chimique Incompatible
injectable Clindamycin phosphate 12 mg/ml
injectable Ceftriaxone disodium 20 mg/ml
Glucose 5% 432
Incompatibilité non précisée Incompatible
injectable Clindamycin phosphate
injectable Ceftriaxone disodium
3526
Instabilité chimique Incompatible
injectable Clindamycin phosphate 12 mg/ml
injectable Ceftriaxone disodium 20 mg/ml
Chlorure de sodium 0,9% 432
Compatible
injectable Clindamycin phosphate 9 mg/ml
injectable Cefuroxime sodium 15 mg/ml
Chlorure de sodium 0,9% 644
Compatible
injectable Clindamycin phosphate 9 mg/ml
injectable Cefuroxime sodium 15 mg/ml
Glucose 5% 644
Précipitation immédiate Incompatible
injectable Clindamycin phosphate 7 mg/ml
injectable Ciprofloxacin lactate 1.5 mg/ml
Chlorure de sodium 0,9% 434
Incompatibilité non précisée Incompatible
injectable Clindamycin phosphate
injectable Ciprofloxacin lactate
3526
Compatible
injectable Clindamycin phosphate 10 mg/ml
injectable Dexmedetomidine 4 µg/ml
Chlorure de sodium 0,9% 1712
Compatible
injectable Clindamycin phosphate 12 & 150 mg/ml
injectable Diltiazem hydrochloride 5 mg/ml
Chlorure de sodium 0,9% 198
Compatible
injectable Clindamycin phosphate
injectable Dimenhydrinate
2087
Compatible
injectable Clindamycin phosphate 9 mg/ml
injectable Enalaprilate 0.05 mg/ml
Chlorure de sodium 0,9% 1315
Compatible
injectable Clindamycin phosphate 10 mg/ml
injectable Etoposide phosphate 5 mg/ml
Glucose 5% 1410
Compatible
injectable Clindamycin phosphate 10 mg/ml
injectable Fenoldopam mesylate 80 µg/ml
Chlorure de sodium 0,9% 1803
Précipitation immédiate Incompatible
injectable Clindamycin phosphate 10 mg/ml
injectable Filgrastim 30 µg/ml
Glucose 5% 244
Compatible
injectable Clindamycin phosphate 12 mg/ml
injectable Fluconazole 2 mg/ml
Aucun 256
Précipitation immédiate Incompatible
injectable Clindamycin phosphate 24 mg/ml
injectable Fluconazole 2 mg/ml
Chlorure de sodium 0,9% 496
Compatible
injectable Clindamycin phosphate 10 mg/ml
injectable Fludarabine phosphate 1 mg/ml
Glucose 5% 492
Compatible
injectable Clindamycin phosphate 12 mg/ml
injectable Foscarnet sodium 24 mg/ml
Glucose 5% 1135
Compatible
injectable Clindamycin phosphate 24 mg/ml
injectable Foscarnet sodium 24 mg/ml
Aucun 73
Compatible
injectable Clindamycin phosphate 12 mg/ml
injectable Foscarnet sodium 24 mg/ml
Chlorure de sodium 0,9% 1135
Compatible
injectable Clindamycin phosphate 10 mg/ml
injectable Gemcitabine hydrochloride 10 mg/ml
Chlorure de sodium 0,9% 1423
Compatible
injectable Clindamycin phosphate
injectable Gentamicin sulfate
Glucose 5% 3526
Compatible
injectable Clindamycin phosphate 90 mg/ml
injectable Gentamicin sulfate 12 mg/ml
Chlorure de sodium 0,9% 639
Compatible
injectable Clindamycin phosphate 6 mg/ml
injectable Gentamicin sulfate 0.67 mg/ml
Glucose 5% 423
Compatible
injectable Clindamycin phosphate
injectable Gentamicin sulfate
Chlorure de sodium 0,9% 3526
Compatible
injectable Clindamycin phosphate 10 mg/ml
injectable Granisetron hydrochloride 0.05 mg/ml
Glucose 5% 182
Compatible
injectable Clindamycin phosphate 12 mg/ml
injectable Heparin sodium 50 UI/ml
Aucun 317
Compatible
injectable Clindamycin phosphate 10 mg/ml
injectable Hetastarch 60 mg/ml
Solvant spécifique 1721
Compatible
injectable Clindamycin phosphate 12 mg/ml
injectable Hydromorphone hydrochloride 0.2 mg/ml
Glucose 5% 405
Incompatibilité non précisée Incompatible
injectable Clindamycin phosphate
injectable Idarubicin hydrochloride
3526
Précipitation immédiate Incompatible
injectable Clindamycin phosphate 12 mg/ml
injectable Idarubicin hydrochloride 1 mg/ml
Chlorure de sodium 0,9% 491
Compatible
injectable Clindamycin phosphate 150 mg/ml
injectable Ketamine hydrochloride 50 mg/ml
2109
Compatible
injectable Clindamycin phosphate 9 mg/ml
injectable Labetalol hydrochloride 1 mg/ml
Glucose 5% 386
Précipitation immédiate Incompatible
injectable Clindamycin phosphate 10 mg/ml
injectable Lansoprazole 0.55 mg/ml
Chlorure de sodium 0,9% 1625
Compatible
injectable Clindamycin phosphate 150 mg/ml
injectable Levofloxacine 5 mg/ml
Glucose 5% 1072
Compatible
injectable Clindamycin phosphate 10 mg/ml
injectable Linezolid 2 mg/ml
Aucun 1925
Incompatibilité non précisée Incompatible
injectable Clindamycin phosphate
injectable Magnesium chloride
5012
Incompatibilité non précisée Incompatible
injectable Clindamycin phosphate
injectable Magnesium sulfate
3838
Compatible
injectable Clindamycin phosphate 12 mg/ml
injectable Magnesium sulfate 16.67 >> 100 mg/ml
Glucose 5% 1047
Incompatibilité non précisée Incompatible
injectable Clindamycin phosphate
injectable Magnesium sulfate
3526
Compatible
injectable Clindamycin phosphate 10 mg/ml
injectable Melphalan 0.1 mg/ml
Chlorure de sodium 0,9% 169
Compatible
injectable Clindamycin phosphate 150 mg/ml
injectable Meropenem 50 mg/ml
Eau pour préparation injectable 4319
Incompatibilité non précisée Incompatible
injectable Clindamycin phosphate
injectable Methohexital sodium
3526
Compatible
injectable Clindamycin phosphate 10 mg/ml
injectable Metronidazole 5 mg/ml
Aucun 1035
Compatible
injectable Clindamycin phosphate
injectable Metronidazole
3594
Compatible
injectable Clindamycin phosphate 9 mg/ml
injectable Midazolam hydrochloride 1 mg/ml
Glucose 5% 176
Compatible
injectable Clindamycin phosphate 12 mg/ml
injectable Morphine sulfate 1 mg/ml
Glucose 5% 405
Compatible
injectable Clindamycin phosphate 150 mg/ml
injectable N-acetylcysteine 200 mg/ml
Aucun 3766
Compatible
injectable Clindamycin phosphate 150 mg/ml
injectable Naloxone hydrochloride 0.4 mg/ml
Aucun 3408
Compatible
injectable Clindamycin phosphate
injectable Netilmicin sulfate
Chlorure de sodium 0,9% 3526
Compatible
injectable Clindamycin phosphate 9 mg/ml
injectable Netilmicin sulfate 3 mg/ml
Glucose 5% 421
Compatible
injectable Clindamycin phosphate 9 mg/ml
injectable Netilmicin sulfate 3 mg/ml
Chlorure de sodium 0,9% 421
Compatible
injectable Clindamycin phosphate
injectable Netilmicin sulfate
Glucose 5% 3526
Compatible
injectable Clindamycin phosphate 9 mg/ml
injectable Nicardipine hydrochloride 0.1 mg/ml
Chlorure de sodium 0,9% 1490
Compatible
injectable Clindamycin phosphate 9 mg/ml
injectable Nicardipine hydrochloride 0.1 mg/ml
Glucose 5% 1490
Compatible
injectable Clindamycin phosphate 6 mg/ml
injectable Ofloxacin 2 mg/ml
Aucun 889
Compatible
injectable Clindamycin phosphate 10 mg/ml
injectable Ondansetron hydrochloride 1 mg/ml
Chlorure de sodium 0,9% 334
Précipitation en 1 heure Incompatible
injectable Clindamycin phosphate 12 mg/ml
injectable Oritavancin 0.8 >>2 mg/ml
Glucose 5% 3152
Précipitation en 1 heure Incompatible
injectable Clindamycin phosphate
injectable Pantoprazole sodium
2090
Compatible
injectable Clindamycin phosphate 150 mg/ml
injectable Paracetamol 10 mg/ml
4742
Compatible
injectable Clindamycin phosphate 10 mg/ml
injectable Paracetamol 10 mg/ml
Aucun 3571
Compatible
injectable Clindamycin phosphate 10 mg/ml
injectable Pemetrexed disodium 20 mg/ml
Chlorure de sodium 0,9% 1953
Incompatibilité non précisée Incompatible
injectable Clindamycin phosphate
injectable Pentobarbital sodium
3526
Compatible
injectable Clindamycin phosphate 12 mg/ml
injectable Pethidine hydrochloride 10 mg/ml
Glucose 5% 405
Incompatibilité non précisée Incompatible
injectable Clindamycin phosphate
injectable Phenobarbital sodium
3526
Incompatibilité non précisée Incompatible
injectable Clindamycin phosphate
injectable Phenytoin sodium
3526
Compatible
injectable Clindamycin phosphate 18 mg/ml
injectable Phloroglucinol 2,5 mg/ml
3791
Compatible
injectable Clindamycin phosphate
injectable Piperacillin sodium
Glucose 5% 3526
Compatible
injectable Clindamycin phosphate
injectable Piperacillin sodium
Chlorure de sodium 0,9% 3526
Compatible
injectable Clindamycin phosphate 9 mg/ml
injectable Piperacillin sodium 40 mg/ml
Glucose 5% 432
Compatible
injectable Clindamycin phosphate 9 mg/ml
injectable Piperacillin sodium 40 mg/ml
Chlorure de sodium 0,9% 432
Compatible
injectable Clindamycin phosphate 10 mg/ml
injectable Piperacillin sodium / tazobactam 40/5 mg/ml
Glucose 5% 81
Turbidité immédiate Incompatible
injectable Clindamycin phosphate 150 mg/ml
injectable Salbutamol sulfate 1 mg/ml
Aucun 3216
Incompatibilité non précisée Incompatible
injectable Clindamycin phosphate
injectable Sodium bicarbonate
3526
Précipitation immédiate Incompatible
injectable Clindamycin phosphate 12 mg/ml
injectable Temocilline 83.33 mg/ml
Eau pour préparation injectable 2231
Compatible
injectable Clindamycin phosphate 10 mg/ml
injectable Teniposide 0.1 mg/ml
Glucose 5% 905
Incompatibilité non précisée Incompatible
injectable Clindamycin phosphate
injectable Thiopental sodium
3526
Compatible
injectable Clindamycin phosphate
Chlorure de sodium 0,9% 3526
Compatible
injectable Clindamycin phosphate 10 mg/ml
injectable Propofol 10 mg/ml
Aucun 300
Incompatibilité non précisée Incompatible
injectable Clindamycin phosphate
injectable Ranitidine hydrochloride
3526
Compatible
injectable Clindamycin phosphate 10 mg/ml
injectable Remifentanil hydrochloride 25 & 250 µg/ml
Chlorure de sodium 0,9% 59
Compatible
injectable Clindamycin phosphate 10 mg/ml
injectable Sargramostim 10 µg/ml
Chlorure de sodium 0,9% 335
Compatible
injectable Clindamycin phosphate 12 mg/ml
injectable Tacrolimus 1000 µg/ml
Chlorure de sodium 0,9% 479
Compatible
injectable Clindamycin phosphate 12 mg/ml
injectable Theophylline 4 mg/ml
Aucun 317
Précipitation immédiate Incompatible
injectable Clindamycin phosphate 150 mg/ml
injectable Thiopental sodium 25 mg/ml
Chlorure de sodium 0,9% 3767
Compatible
injectable Clindamycin phosphate 10 mg/ml
injectable Thiotepa 1 mg/ml
Glucose 5% 249
Compatible
injectable Clindamycin phosphate
injectable Tobramycin sulfate
Chlorure de sodium 0,9% 3526
Précipitation immédiate Incompatible
injectable Clindamycin phosphate 90 mg/ml
injectable Tobramycin sulfate 12 mg/ml
Chlorure de sodium 0,9% 639
Compatible
injectable Clindamycin phosphate
injectable Tobramycin sulfate
Glucose 5% 3526
Précipitation en 2 heures Incompatible
injectable Clindamycin phosphate 6 mg/ml
injectable Tramadol hydrochloride 0,4 mg/ml
Chlorure de sodium 0,9% 2002
Compatible
injectable Clindamycin phosphate 1.2 mg/ml
injectable Verapamil hydrochloride 0.08 mg/ml
Chlorure de sodium 0,9% 1057
Compatible
injectable Clindamycin phosphate 1.2 mg/ml
injectable Verapamil hydrochloride 0.08 mg/ml
Glucose 5% 1057
Compatible
injectable Clindamycin phosphate 10 mg/ml
injectable Vinorelbine tartrate 1 mg/ml
Chlorure de sodium 0,9% 84
Compatible
injectable Clindamycin phosphate 12 mg/ml
injectable Zidovudine 4 mg/ml
Glucose 5% 337

  Mentions Légales