Última actualización :
27/04/2026
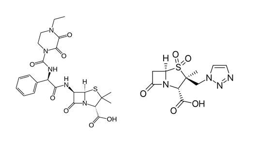
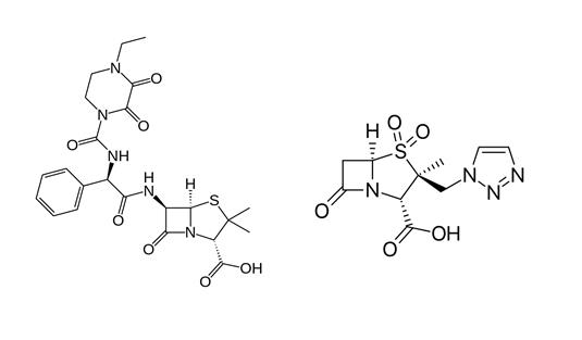
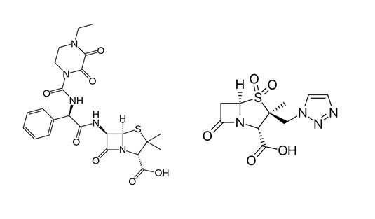
Antibiótico   Piperacillin sodium / tazobactam  
Inyectables
Estabilidad en solucion Estabilidad en mezcla Factores que influyen sobre la estabilidad Compatibilidades método de inyección Bibliografía pdf
   Estructura química  

Nombre comercial   Nombre comercial     

Los nombres comerciales son orientativos y los excipientes de la formulación pueden ser distintos dependiendo del país y del laboratorio fabricante.

Bagotaz Argentina
Betampil Ecuador
Bioval Chile
Petezam Argentina
Piperac Alemania
Piperacillin tazobactam Alemania, Bélgica, Canadá
Piperazam Brasil
Pipetazo Chile
Pipitaz Austria
Pixamol Colombia
Tazobac Ecuador, Italia, Portugal, Suiza
Tazocel España
Tazocilline Francia
Tazocin Argentina, Australia, Brasil, Colombia, Croacia, Dinamarca, Egipto, Emiratos Árabes Unidos, Finlandia, Gran Bretaña, Grecia, Hungría, Irlanda del norte, Italia, Luxemburgo, Marruecos, México, Noruega, Nueva Zelanda, Países Bajos, Polonia, Sudafrica, Suecia, Turquía
Tazonam Austria, Chile
Tazopip Australia
Tazpen Colombia, México
Tazrobida Colombia
Tigux Chile
Tratac Chile
Trital Ecuador
Zosyn Estados Unidos de América, Japón
Compatibilidades   Inyectables   Compatibilidades : Piperacillin sodium / tazobactam              
Esta pantalla muestra las compatibilidades o incompatibilidades, así como el tipo de incompatibilidad (precipitación, cambio de color, modificación de una emulsión, etc). Las compatibilidades que se recogen aquí son fundamentalmente físicas, mostrando raramente la estabilidad química de la molécula. La evaluación de estas mezclas se estudió con el fin de de comprobar la posibilidad de administración en Y al paciente. Estos datos no pueden utilizarse en el caso de la preparación de mezclas dentro de bolsas o jeringas. Este tipo de información está disponible en la pantalla “Estabilidad en mezcla”.
Molécula Solvente Bibliografía
Precipitación después de 1 hora Incompatible
Inyectables Piperacillin sodium / tazobactam 40/5 mg/ml
Inyectables Aciclovir sodium 7 mg/ml
Glucosa 5% 81
Compatible
Inyectables Piperacillin sodium / tazobactam 40/5 mg/ml
Nutrición parenteral (con lípidos) 1415
Compatible
Inyectables Piperacillin sodium / tazobactam 200 mg/ml
Ringer lactato 4603
Compatible
Inyectables Piperacillin sodium / tazobactam 80 mg/ml
Nutrición parenteral (con lípidos) 3948
Inestabilidad química Incompatible
Inyectables Piperacillin sodium / tazobactam
Inyectables Amikacin sulfate
3586
Compatible
Inyectables Piperacillin sodium / tazobactam 200 mg/ml
Nutrición parenteral (con lípidos) 4924
Turbidez en 24 horas Incompatible
Inyectables Piperacillin sodium / tazobactam 60 mg/ml
Inyectables Amiodarone hydrochloride 6 mg/ml
Glucosa 5% 1611
Precipitación inmediata Incompatible
Inyectables Piperacillin sodium / tazobactam 40/5 mg/ml
Inyectables Amphotericin B 0.6 mg/ml
Glucosa 5% 81
Precipitación inmediata Incompatible
Inyectables Piperacillin sodium / tazobactam 40/5 mg/ml
Inyectables Amphotericin B cholesteryl sulfate complex 0.83 mg/ml
Glucosa 5% 921
Compatible
Inyectables Piperacillin sodium / tazobactam 40/5 mg/ml
Inyectables Anidulafungin 0.5 mg/ml
Glucosa 5% 1982
Compatible
Inyectables Piperacillin sodium / tazobactam 40/5 mg/ml
Inyectables Aztreonam 40 mg/ml
Glucosa 5% 81
Compatible
Inyectables Piperacillin sodium / tazobactam 40/5 mg/ml
Inyectables Bivalirudin 5 mg/ml
Glucosa 5% 1713
Compatible
Inyectables Piperacillin sodium / tazobactam 40/5 mg/ml
Inyectables Bleomycin sulfate 1 mg/ml
Glucosa 5% 81
Compatible
Inyectables Piperacillin sodium / tazobactam 200 mg/ml
Inyectables Caffeine 10 mg/ml
Ninguno 3964
Compatible
Inyectables Piperacillin sodium / tazobactam 40/5 mg/ml
Inyectables Carboplatin 5 mg/ml
Glucosa 5% 81
Compatible
Inyectables Piperacillin sodium / tazobactam 40/5 mg/ml
Inyectables Carmustine 1.5 mg/ml
Glucosa 5% 81
Compatible
Inyectables Piperacillin sodium / tazobactam 40/5 mg/ml
Inyectables Ceftolozane / tazobactam 10/5 mg/ml
Cloruro de sodio 0,9% 3828
Turbidez inmediata Incompatible
Inyectables Piperacillin sodium / tazobactam 40/5 mg/ml
Inyectables Chlorpromazine hydrochloride 2 mg/ml
Glucosa 5% 81
Compatible
Inyectables Piperacillin sodium / tazobactam 40/5 mg/ml
Inyectables Cisatracurium besylate 0.1 & 2 mg/ml
Glucosa 5% 299
Precipitación después de 1 hora Incompatible
Inyectables Piperacillin sodium / tazobactam 40/5 mg/ml
Inyectables Cisplatin 1 mg/ml
Glucosa 5% 81
Compatible
Inyectables Piperacillin sodium / tazobactam 40/5 mg/ml
Inyectables Clindamycin phosphate 10 mg/ml
Glucosa 5% 81
Compatible
Inyectables Piperacillin sodium / tazobactam 40/5 mg/ml
Inyectables Co-trimoxazole 0.8/4 mg/ml
Glucosa 5% 81
Compatible
Inyectables Piperacillin sodium / tazobactam 40/0.5 mg/ml
Inyectables Colistin mesilate sodium 1.5 mg/ml
Cloruro de sodio 0,9% 3997
Compatible
Inyectables Piperacillin sodium / tazobactam 40/5 mg/ml
Inyectables Cyclophosphamide 10 mg/ml
Glucosa 5% 81
Compatible
Inyectables Piperacillin sodium / tazobactam 40/5 mg/ml
Inyectables Cytarabine 50 mg/ml
Glucosa 5% 81
Precipitación inmediata Incompatible
Inyectables Piperacillin sodium / tazobactam 40/5 mg/ml
Inyectables Dacarbazine 4 mg/ml
Glucosa 5% 81
Turbidez inmediata Incompatible
Inyectables Piperacillin sodium / tazobactam 40/5 mg/ml
Inyectables Daunorubicin hydrochloride 1 mg/ml
Glucosa 5% 81
Turbidez inmediata Incompatible
Inyectables Piperacillin sodium / tazobactam
Inyectables Daunorubicin/cytarabine liposomale 0,4 mg/mL
Cloruro de sodio 0,9% 4654
Turbidez inmediata Incompatible
Inyectables Piperacillin sodium / tazobactam 40/5 mg/ml
Inyectables Dobutamine hydrochloride 4 mg/ml
Glucosa 5% 81
Compatible
Inyectables Piperacillin sodium / tazobactam 40/5 mg/ml
Inyectables Docetaxel 0.9 mg/ml
Glucosa 5% 1754
Turbidez inmediata Incompatible
Inyectables Piperacillin sodium / tazobactam 40/5 mg/ml
Inyectables Doxorubicin hydrochloride 2 mg/ml
Glucosa 5% 81
Turbidez inmediata Incompatible
Inyectables Piperacillin sodium / tazobactam 40/5 mg/ml
Inyectables Doxycycline hyclate 1 mg/ml
Glucosa 5% 81
Precipitación inmediata Incompatible
Inyectables Piperacillin sodium / tazobactam 40/5 mg/ml
Inyectables Droperidol 0.4 mg/ml
Glucosa 5% 81
Compatible
Inyectables Piperacillin sodium / tazobactam 40/5 mg/ml
Inyectables Etoposide 0.4 mg/ml
Glucosa 5% 81
Compatible
Inyectables Piperacillin sodium / tazobactam 40/5 mg/ml
Inyectables Etoposide phosphate 5 mg/ml
Cloruro de sodio 0,9% 1410
Precipitación inmediata Incompatible
Inyectables Piperacillin sodium / tazobactam 40/5 mg/ml
Inyectables Famotidine 2 mg/ml
Glucosa 5% 81
Compatible
Inyectables Piperacillin sodium / tazobactam 40/5 mg/ml
Inyectables Fenoldopam mesylate 80 µg/ml
Cloruro de sodio 0,9% 1803
Compatible
Inyectables Piperacillin sodium / tazobactam 40/5 mg/ml
Inyectables Floxuridine 3 mg/ml
Glucosa 5% 81
Compatible
Inyectables Piperacillin sodium / tazobactam 40/5 mg/ml
Inyectables Fluconazole 2 mg/ml
Glucosa 5% 81
Compatible
Inyectables Piperacillin sodium / tazobactam 40/5 mg/ml
Inyectables Fludarabine phosphate 1 mg/ml
Glucosa 5% 81
Compatible
Inyectables Piperacillin sodium / tazobactam 40/5 mg/ml
Inyectables Fluorouracil 16 mg/ml
Glucosa 5% 81
Compatible
Inyectables Piperacillin sodium / tazobactam 40/5 mg/ml
Inyectables Fosfomycin 30 mg/ml
Cloruro de sodio 0,9% 4055
Precipitación después de 1 hora Incompatible
Inyectables Piperacillin sodium / tazobactam 40/5 mg/ml
Inyectables Ganciclovir sodium 20 mg/ml
Glucosa 5% 81
Inestabilidad química Incompatible
Inyectables Piperacillin sodium / tazobactam
Inyectables Gentamicin sulfate
3586
Compatible
Inyectables Piperacillin sodium / tazobactam 40/5 mg/ml
Inyectables Granisetron hydrochloride 0.05 mg/ml
Glucosa 5% 182
Precipitación inmediata Incompatible
Inyectables Piperacillin sodium / tazobactam 40/5 mg/ml
Inyectables Haloperidol lactate 0.2 mg/ml
Glucosa 5% 81
Incompatibilidad no especificada Incompatible
Inyectables Piperacillin sodium / tazobactam
Ringer lactato 3586
Incompatibilidad no especificada Incompatible
Inyectables Piperacillin sodium / tazobactam
Inyectables Aciclovir sodium
3595
Inestabilidad química Incompatible
Inyectables Piperacillin sodium / tazobactam
Inyectables Amikacin sulfate
3549
Compatible
Inyectables Piperacillin sodium / tazobactam 40/5 mg/ml
Inyectables Aminophylline 2.5 mg/ml
Glucosa 5% 81
Compatible
Inyectables Piperacillin sodium / tazobactam 100 mg/ml
Inyectables Amoxicillin sodium / clavulanic acid 100/10 mg/ml
3824
Precipitación inmediata Incompatible
Inyectables Piperacillin sodium / tazobactam 112.5 mg/ml
Inyectables Azithromycine 2 mg/ml
Cloruro de sodio 0,9% 1800
Compatible
Inyectables Piperacillin sodium / tazobactam 40/5 mg/ml
Inyectables Bumetanide 0.04 mg/ml
Glucosa 5% 81
Compatible
Inyectables Piperacillin sodium / tazobactam 40/5 mg/ml
Inyectables Buprenorphine hydrochloride 0.04 mg/ml
Glucosa 5% 81
Compatible
Inyectables Piperacillin sodium / tazobactam 40/5 mg/ml
Inyectables Butorphanol tartrate 0.04 mg/ml
Glucosa 5% 81
Compatible
Inyectables Piperacillin sodium / tazobactam 200 mg/ml
Inyectables Caffeine 10 mg/ml
Agua para preparación inyectable 4837
Compatible
Inyectables Piperacillin sodium / tazobactam 200 mg/ml
Inyectables Caffeine citrate 20 mg/ml
Agua para preparación inyectable 4837
Compatible
Inyectables Piperacillin sodium / tazobactam 40/5 mg/ml
Inyectables Calcium gluconate 40 mg/ml
Glucosa 5% 81
Precipitación inmediata Incompatible
Inyectables Piperacillin sodium / tazobactam 90 mg/ml
Inyectables Caspofungin acetate 0.5 mg/ml
Cloruro de sodio 0,9% 2233
Precipitación inmediata Incompatible
Inyectables Piperacillin sodium / tazobactam 40/5 mg/ml
Inyectables Caspofungin acetate 0,7 mg/ml
Cloruro de sodio 0,9% 2247
Compatible
Inyectables Piperacillin sodium / tazobactam 40/5 mg/ml
Inyectables Ceftolozane / tazobactam 10/5 mg/ml
Glucosa 5% 3828
Compatible
Inyectables Piperacillin sodium / tazobactam 40/5 mg/ml
Inyectables Cimetidine hydrochloride 12 mg/ml
Glucosa 5% 81
Incompatibilidad no especificada Incompatible
Inyectables Piperacillin sodium / tazobactam
Inyectables Ciprofloxacin lactate
3529
Precipitación después de 4 horas. Incompatible
Inyectables Piperacillin sodium / tazobactam 40/5 mg/ml
Inyectables Cisatracurium besylate 5 mg/ml
Glucosa 5% 299
Compatible
Inyectables Piperacillin sodium / tazobactam 225 mg/ml
Inyectables Cloxacillin sodium 100 mg/ml
Agua para preparación inyectable 3012
Incompatibilidad subvisual Incompatible
Inyectables Piperacillin sodium / tazobactam
Inyectables Daunorubicin/cytarabine liposomale
4354
Compatible
Inyectables Piperacillin sodium / tazobactam 40/5 mg/ml
Inyectables Dexamethasone sodium phosphate 1 mg/ml
Glucosa 5% 81
Compatible
Inyectables Piperacillin sodium / tazobactam 40/5 mg/ml
Inyectables Dexmedetomidine 4 µg/ml
Cloruro de sodio 0,9% 1712
Compatible
Inyectables Piperacillin sodium / tazobactam
Inyectables Dimenhydrinate
2087
Compatible
Inyectables Piperacillin sodium / tazobactam 40/5 mg/ml
Inyectables Diphenhydramine hydrochloride 2 mg/ml
Glucosa 5% 81
Compatible
Inyectables Piperacillin sodium / tazobactam 40/5 mg/ml
Inyectables Dopamine hydrochloride 3.2 mg/ml
Glucosa 5% 81
Pérdida de turbidez Incompatible
Inyectables Piperacillin sodium / tazobactam 40/5 mg/ml
Inyectables Doxorubicin hydrochloride liposome peg 0.4 mg/ml
Glucosa 5% 251
Compatible
Inyectables Piperacillin sodium / tazobactam 40/5 mg/ml
Inyectables Enalaprilate 0.1 mg/ml
Glucosa 5% 81
Compatible
Inyectables Piperacillin sodium / tazobactam 40/5 mg/ml
Inyectables Eravacycline 0,6 mg/ml
Cloruro de sodio 0,9% 4434
Incompatibilidad no especificada Incompatible
Inyectables Piperacillin sodium / tazobactam
Inyectables Erythromycin lactobionate
3674
Compatible
Inyectables Piperacillin sodium / tazobactam 40/5 mg/ml
Inyectables Folinate calcium 2 mg/ml
Glucosa 5% 81
Compatible
Inyectables Piperacillin sodium / tazobactam 40/5 mg/ml
Inyectables Fosfomycin 30 mg/ml
Glucosa 5% 4055
Compatible
Inyectables Piperacillin sodium / tazobactam 40/5 mg/ml
Inyectables Furosemide 3 mg/ml
Glucosa 5% 81
Compatible
Inyectables Piperacillin sodium / tazobactam 40/5 mg/ml
Inyectables Gallium nitrate 0.4 mg/ml
Glucosa 5% 81
Turbidez inmediata Incompatible
Inyectables Piperacillin sodium / tazobactam 40/5 mg/ml
Inyectables Gemcitabine hydrochloride 10 mg/ml
Cloruro de sodio 0,9% 1423
Incompatibilidad no especificada Incompatible
Inyectables Piperacillin sodium / tazobactam
Inyectables Gentamicin sulfate
3520
Incompatibilidad no especificada Incompatible
Inyectables Piperacillin sodium / tazobactam
Inyectables Gentamicin sulfate
3643
Compatible
Inyectables Piperacillin sodium / tazobactam 0.5/0.0625 mg/ml
Inyectables Heparin sodium 0.5 UI/ml
Dianéal® 1.5% glucose (Baxter) 4180
Compatible
Inyectables Piperacillin sodium / tazobactam 0.5/0.0625 mg/ml
Inyectables Heparin sodium 0.5 UI/ml
Extraneal® (Baxter) 4180
Compatible
Inyectables Piperacillin sodium / tazobactam 1.38/0.1725 mg/ml
Inyectables Heparin sodium 1.4 UI/ml
Physionéal® 2.27 (Baxter) 4180
Compatible
Inyectables Piperacillin sodium / tazobactam 0.5/0.0625 mg/ml
Inyectables Heparin sodium 0.5 UI/ml
Dianéal® 4.25% glucose (Baxter) 4180
Compatible
Inyectables Piperacillin sodium / tazobactam 1.38/0.1725 mg/ml
Inyectables Heparin sodium 1.4 UI/ml
Physionéal® 3.86 (Baxter) 4180
Compatible
Inyectables Piperacillin sodium / tazobactam 1.38/0.1725 mg/ml
Inyectables Heparin sodium 1.4 UI/ml
Physionéal® 1.36 (Baxter) 4180
Compatible
Inyectables Piperacillin sodium / tazobactam 0.5/0.0625 mg/ml
Inyectables Heparin sodium 0.5 UI/ml
Dianéal® 2.5% glucose (Baxter) 4180
Compatible
Inyectables Piperacillin sodium / tazobactam 40/5 mg/ml
Inyectables Heparin sodium 100 UI/ml
Glucosa 5% 81
Compatible
Inyectables Piperacillin sodium / tazobactam 40/5 mg/ml
Inyectables Hetastarch 60 mg/ml
específico disolvente 1721
Compatible
Inyectables Piperacillin sodium / tazobactam 40/5 mg/ml
Inyectables Hydrocortisone sodium succinate 1 mg/ml
Glucosa 5% 81
Compatible
Inyectables Piperacillin sodium / tazobactam 40/5 mg/ml
Inyectables Hydromorphone hydrochloride 0.5 mg/ml
Glucosa 5% 81
Precipitación inmediata Incompatible
Inyectables Piperacillin sodium / tazobactam 40/5 mg/ml
Inyectables Hydroxyzine dihydrochloride 4 mg/ml
Glucosa 5% 81
Turbidez inmediata Incompatible
Inyectables Piperacillin sodium / tazobactam 40/5 mg/ml
Inyectables Idarubicin hydrochloride 0.5 mg/ml
Glucosa 5% 81
Compatible
Inyectables Piperacillin sodium / tazobactam 40/5 mg/ml
Inyectables Ifosfamide 25 mg/ml
Glucosa 5% 81
Compatible
Inyectables Piperacillin sodium / tazobactam 166/20.83 mg/ml
Inyectables Insulin 1 UI/ml
Cloruro de sodio 0,9% 4254
Compatible
Inyectables Piperacillin sodium / tazobactam 45 mg/ml
Inyectables Insulin aspart 1 UI/ml
Cloruro de sodio 0,9% 1508
Compatible
Inyectables Piperacillin sodium / tazobactam 45 mg/ml
Inyectables Insulin aspart 1 UI/ml
Glucosa 5% 1508
Compatible
Inyectables Piperacillin sodium / tazobactam 40/5 mg/ml
Inyectables Isavuconazonium sulfate 1.5 mg/ml
Cloruro de sodio 0,9% 3829
Compatible
Inyectables Piperacillin sodium / tazobactam 40/5 mg/ml
Inyectables Lansoprazole 0.55 mg/ml
Cloruro de sodio 0,9% 1625
Compatible
Inyectables Piperacillin sodium / tazobactam 166/20.83 mg/ml
Inyectables Levetiracetam 20.83 mg/ml
Glucosa 5% 4254
Compatible
Inyectables Piperacillin sodium / tazobactam 166/20.83 mg/ml
Inyectables Levetiracetam 20.83 mg/ml
Cloruro de sodio 0,9% 4254
Compatible
Inyectables Piperacillin sodium / tazobactam 80 mg/ml
Nutrición parenteral (libre de lípidos) 3948
Compatible
Inyectables Piperacillin sodium / tazobactam 166/20.83 mg/ml
Inyectables Insulin 1 UI/ml
Glucosa 5% 4254
Compatible
Inyectables Piperacillin sodium / tazobactam 33,75 mg/ml
Inyectables Levetiracetam 5 mg/ml
Cloruro de sodio 0,9% 4569
Compatible
Inyectables Piperacillin sodium / tazobactam 40/5 mg/ml
Nutrición parenteral (libre de lípidos) 301
Turbidez inmediata Incompatible
Inyectables Piperacillin sodium / tazobactam 40/5 mg/ml
Inyectables Isavuconazonium sulfate 1.5 mg/ml
Glucosa 5% 3829
Incompatibilidad no especificada Incompatible
Inyectables Piperacillin sodium / tazobactam
NaHCO3 3586
Inestabilidad química Incompatible
Inyectables Piperacillin sodium / tazobactam
Inyectables Kanamycin sulfate
3586
Compatible
Inyectables Piperacillin sodium / tazobactam 200 mg/ml
Inyectables Ketamine hydrochloride 50 mg/ml
2109
Incompatibilidad subvisual Incompatible
Inyectables Piperacillin sodium / tazobactam 45 mg/ml
Inyectables Levetiracetam 5 mg/ml
Cloruro de sodio 0,9% 4569
Compatible
Inyectables Piperacillin sodium / tazobactam 125 mg/ml
Inyectables Linezolid 2 mg/ml
4928
Compatible
Inyectables Piperacillin sodium / tazobactam 40/5 mg/ml
Inyectables Linezolid 2 mg/ml
Ninguno 1925
Compatible
Inyectables Piperacillin sodium / tazobactam 40/5 mg/ml
Inyectables Lorazepam 0.1 mg/ml
Glucosa 5% 81
Compatible
Inyectables Piperacillin sodium / tazobactam 40/5 mg/ml
Inyectables Magnesium sulfate 100 mg/ml
Glucosa 5% 81
Compatible
Inyectables Piperacillin sodium / tazobactam 40/5 mg/ml
Inyectables Mannitol 150 mg/ml
Glucosa 5% 81
Compatible
Inyectables Piperacillin sodium / tazobactam 200 mg/ml
Inyectables Meropenem 50 mg/ml
Agua para preparación inyectable 4319
Compatible
Inyectables Piperacillin sodium / tazobactam 40/5 mg/ml
Inyectables Mesna 10 mg/ml
Glucosa 5% 81
Compatible
Inyectables Piperacillin sodium / tazobactam 40/5 mg/ml
Inyectables Methotrexate sodium 15 mg/ml
Glucosa 5% 81
Compatible
Inyectables Piperacillin sodium / tazobactam 40/5 mg/ml
Inyectables Methylprednisolone sodium succinate 5 mg/ml
Glucosa 5% 81
Compatible
Inyectables Piperacillin sodium / tazobactam 40/5 mg/ml
Inyectables Metoclopramide hydrochloride 5 mg/ml
Glucosa 5% 81
Compatible
Inyectables Piperacillin sodium / tazobactam 40/5 mg/ml
Inyectables Metronidazole 5 mg/ml
Glucosa 5% 81
Precipitación inmediata Incompatible
Inyectables Piperacillin sodium / tazobactam 40/5 mg/ml
Inyectables Minocycline hydrochloride 1 mg/ml
Glucosa 5% 81
Cambio de color después de 4 horas. Incompatible
Inyectables Piperacillin sodium / tazobactam 40/5 mg/ml
Inyectables Mitomycin 0.5 mg/ml
Glucosa 5% 81
Precipitación inmediata Incompatible
Inyectables Piperacillin sodium / tazobactam 40/5 mg/ml
Inyectables Mitoxantrone dihydrochloride 0.5 mg/ml
Glucosa 5% 81
Compatible
Inyectables Piperacillin sodium / tazobactam 40/5 mg/ml
Inyectables Morphine sulfate 1 mg/ml
Glucosa 5% 81
Compatible
Inyectables Piperacillin sodium / tazobactam
Inyectables N-acetylcysteine 200 mg/ml
Ninguno 3766
Turbidez inmediata Incompatible
Inyectables Piperacillin sodium / tazobactam 40/5 mg/ml
Inyectables Nalbuphine hydrochloride 10 mg/ml
Glucosa 5% 81
Compatible
Inyectables Piperacillin sodium / tazobactam 200 mg/ml
Inyectables Naloxone hydrochloride 0.4 mg/ml
Ninguno 3408
Inestabilidad química Incompatible
Inyectables Piperacillin sodium / tazobactam
Inyectables Netilmicin sulfate
3586
Compatible
Inyectables Piperacillin sodium / tazobactam 20/2,5 & 40/5 mg/ml
Inyectables Ondansetron hydrochloride 0,015 >> 0,15 mg/ml
Cloruro de sodio 0,9% 16
Compatible
Inyectables Piperacillin sodium / tazobactam 40/5 mg/ml
Inyectables Ondansetron hydrochloride 0.1 mg/ml
Glucosa 5% 81
Compatible
Inyectables Piperacillin sodium / tazobactam 200/25 mg/ml
Inyectables Oxycodone hydrochloride 1 mg/ml
Cloruro de sodio 0,9% 4842
Precipitación después de 1 hora Incompatible
Inyectables Piperacillin sodium / tazobactam
Inyectables Pantoprazole sodium
2090
Compatible
Inyectables Piperacillin sodium / tazobactam 100 mg/ml
Inyectables Paracetamol 10 mg/ml
Ninguno 3571
Compatible
Inyectables Piperacillin sodium / tazobactam 100 mg/ml
Inyectables Paracetamol 10 mg/ml
4742
Compatible
Inyectables Piperacillin sodium / tazobactam 200 mg/ml
Inyectables Pentoxifyllin 5 mg/ml
Cloruro de sodio 0,9% 4538
Compatible
Inyectables Piperacillin sodium / tazobactam 40/5 mg/ml
Inyectables Pethidine hydrochloride 4 mg/ml
Glucosa 5% 81
Inestabilidad química Incompatible
Inyectables Piperacillin sodium / tazobactam
Inyectables Plazomicin sulfate
3586
Compatible
Inyectables Piperacillin sodium / tazobactam 40/5 mg/ml
Inyectables Plazomicin sulfate 24 mg/ml
Cloruro de sodio 0,9% 4145
Precipitación inmediata Incompatible
Inyectables Piperacillin sodium / tazobactam 160 mg/ml
Inyectables Posaconazole 1,2 mg/ml
Cloruro de sodio 0,9% 4521
Compatible
Inyectables Piperacillin sodium / tazobactam 40/5 mg/ml
Inyectables Potassium chloride 100 mEq/l
Glucosa 5% 81
Turbidez inmediata Incompatible
Inyectables Piperacillin sodium / tazobactam 40/5 mg/ml
Inyectables Prochlorperazine edysilate 0.5 mg/ml
Glucosa 5% 81
Turbidez inmediata Incompatible
Inyectables Piperacillin sodium / tazobactam 40/5 mg/ml
Inyectables Promethazine hydrochloride 2 mg/ml
Glucosa 5% 81
Compatible
Inyectables Piperacillin sodium / tazobactam 40/5 mg/ml
Inyectables Ranitidine hydrochloride 2 mg/ml
Glucosa 5% 81
Compatible
Inyectables Piperacillin sodium / tazobactam 40/5 mg/ml
Inyectables Remifentanil hydrochloride 25 & 250 µg/ml
Cloruro de sodio 0,9% 59
Precipitación inmediata Incompatible
Inyectables Piperacillin sodium / tazobactam 200 mg/ml
Inyectables Salbutamol sulfate 1 mg/ml
Ninguno 3216
Compatible
Inyectables Piperacillin sodium / tazobactam 40/5 mg/ml
Inyectables Sargramostim 10 µg/ml
Glucosa 5% 81
Compatible
Inyectables Piperacillin sodium / tazobactam 200 mg/ml
Inyectables Sildenafil citrate 0,6 mg/ml
Glucosa 5% 4845
Incompatibilidad no especificada Incompatible
Inyectables Piperacillin sodium / tazobactam
Inyectables Sodium bicarbonate
3586
Compatible
Inyectables Piperacillin sodium / tazobactam 40/5 mg/ml
Inyectables Sodium bicarbonate 84 mg/ml
Glucosa 5% 81
Inestabilidad química Incompatible
Inyectables Piperacillin sodium / tazobactam
Inyectables Streptomycin sulfate
3586
Precipitación después de 1 hora Incompatible
Inyectables Piperacillin sodium / tazobactam 40/5 mg/ml
Inyectables Streptozocin 40 mg/ml
Glucosa 5% 81
Compatible
Inyectables Piperacillin sodium / tazobactam 40/5 mg/ml
Inyectables Sulbactam/durlobactam 15/15 mg/ml
Cloruro de sodio 0,9% 4801
Compatible
Inyectables Piperacillin sodium / tazobactam 40/5 mg/ml
Inyectables Tedizolid phosphate 0.8 mg/ml
Cloruro de sodio 0,9% 3827
Compatible
Inyectables Piperacillin sodium / tazobactam 40/5 mg/ml
Inyectables Telavancin hydrochloride 7.5 mg/ml
Glucosa 5% 3254
Compatible
Inyectables Piperacillin sodium / tazobactam 40/5 mg/ml
Inyectables Telavancin hydrochloride 7.5 mg/ml
Cloruro de sodio 0,9% 3254
Compatible
Inyectables Piperacillin sodium / tazobactam 40/5 mg/ml
Inyectables Telavancin hydrochloride 7.5 mg/ml
Ringer lactato 3254
Inestabilidad química Incompatible
Inyectables Piperacillin sodium / tazobactam 200 mg/ml
Inyectables Temocilline 83.33 mg/ml
Agua para preparación inyectable 2231
Incompatibilidad no especificada Incompatible
Inyectables Piperacillin sodium / tazobactam
Inyectables Temocilline
4470
Compatible
Inyectables Piperacillin sodium / tazobactam 166/20.83 mg/ml
Inyectables Thiamine hydrochloride 0.4 mg/ml
Glucosa 5% 4254
Precipitación inmediata Incompatible
Inyectables Piperacillin sodium / tazobactam 200 mg/ml
Inyectables Thiopental sodium 25 mg/ml
Cloruro de sodio 0,9% 3767
Compatible
Inyectables Piperacillin sodium / tazobactam 40/5 mg/ml
Inyectables Thiotepa 1 mg/ml
Glucosa 5% 81
Compatible
Inyectables Piperacillin sodium / tazobactam
Inyectables Tigecycline
Cloruro de sodio 0,9% 3332
Inestabilidad química Incompatible
Inyectables Piperacillin sodium / tazobactam
Inyectables Tobramycin sulfate
3586
Precipitación inmediata Incompatible
Inyectables Piperacillin sodium / tazobactam 112,5 mg/ml
Inyectables Vancomycin hydrochloride 10 mg/ml
Glucosa 5% 3428
Compatible
Inyectables Piperacillin sodium / tazobactam
Glucosa 5% 3586
Compatible
Inyectables Piperacillin sodium / tazobactam
Cloruro de sodio 0,9% 5069
Precipitación inmediata Incompatible
Inyectables Piperacillin sodium / tazobactam 100/12,5 mg/ml
Inyectables Vancomycin hydrochloride 10 mg/ml
3365
Precipitación inmediata Incompatible
Inyectables Piperacillin sodium / tazobactam 40 >> 100 mg/ml
Inyectables Vancomycin hydrochloride 10 mg/ml
Cloruro de sodio 0,9% 2475
Precipitación inmediata Incompatible
Inyectables Piperacillin sodium / tazobactam
Inyectables Vancomycin hydrochloride >8 mg/ml
Cloruro de sodio 0,9% 3841
Compatible
Inyectables Piperacillin sodium / tazobactam 16 >> 100 mg/ml
Inyectables Vancomycin hydrochloride 2 mg/ml
Cloruro de sodio 0,9% 2475
Compatible
Inyectables Piperacillin sodium / tazobactam 16 >> 100 mg/ml
Inyectables Vancomycin hydrochloride 5 mg/ml
Cloruro de sodio 0,9% 2475
Compatible
Inyectables Piperacillin sodium / tazobactam 16 >> 30 mg/ml
Inyectables Vancomycin hydrochloride 10 mg/ml
Cloruro de sodio 0,9% 2475
Compatible
Inyectables Piperacillin sodium / tazobactam 30/3,75 mg/ml
Inyectables Vancomycin hydrochloride 4 mg/ml
Cloruro de sodio 0,9% 3421
Compatible
Inyectables Piperacillin sodium / tazobactam 40/5 mg/ml
Inyectables Vancomycin hydrochloride 4 mg/ml
Cloruro de sodio 0,9% 3421
Compatible
Inyectables Piperacillin sodium / tazobactam 33.75 >> 90 mg/ml
Inyectables Vancomycin hydrochloride 4 >> 7 mg/ml
Cloruro de sodio 0,9% 3841
Precipitación inmediata Incompatible
Inyectables Piperacillin sodium / tazobactam 80 & 90 mg/ml
Inyectables Vancomycin hydrochloride 8 mg/ml
Cloruro de sodio 0,9% 3841
Compatible
Inyectables Piperacillin sodium / tazobactam 33.75 >> 67.5 mg/ml
Inyectables Vancomycin hydrochloride 8 mg/ml
Cloruro de sodio 0,9% 3841
Turbidez inmediata Incompatible
Inyectables Piperacillin sodium / tazobactam 40/5 mg/ml
Inyectables Vancomycin hydrochloride 10 mg/ml
Glucosa 5% 81
Incompatibilidad no especificada Incompatible
Inyectables Piperacillin sodium / tazobactam 200 mg/ml
Inyectables Vancomycin hydrochloride 10 mg/ml
Glucosa 5% 3385
Precipitación inmediata Incompatible
Inyectables Piperacillin sodium / tazobactam 10/1.25 >> 200/25 mg/ml
Inyectables Vancomycin hydrochloride 20 mg/ml
Glucosa 5% 1674
Precipitación inmediata Incompatible
Inyectables Piperacillin sodium / tazobactam 80 >> 100 mg/ml
Inyectables Vancomycin hydrochloride 4 mg/ml
Glucosa 5% 2475
Precipitación inmediata Incompatible
Inyectables Piperacillin sodium / tazobactam 16 >> 100 mg/ml
Inyectables Vancomycin hydrochloride 8 mg/ml
Glucosa 5% 2475
Precipitación inmediata Incompatible
Inyectables Piperacillin sodium / tazobactam 28 mg/ml
Inyectables Vancomycin hydrochloride 10 & 15 mg/ml
Glucosa 5% 3984
Precipitación inmediata Incompatible
Inyectables Piperacillin sodium / tazobactam 67,5 mg/ml
Inyectables Vancomycin hydrochloride 5 mg/ml
Glucosa 5% 3960
Compatible
Inyectables Piperacillin sodium / tazobactam 16 >> 40 mg/ml
Inyectables Vancomycin hydrochloride 4 mg/ml
Glucosa 5% 2475
Compatible
Inyectables Piperacillin sodium / tazobactam 28 mg/ml
Inyectables Vancomycin hydrochloride 5 mg/ml
Glucosa 5% 3984
Compatible
Inyectables Piperacillin sodium / tazobactam 1/0.125 >> 200/25 mg/ml
Inyectables Vancomycin hydrochloride 2 mg/ml
Glucosa 5% 1674
Compatible
Inyectables Piperacillin sodium / tazobactam 1/0.125 mg/ml
Inyectables Vancomycin hydrochloride 20 mg/ml
Glucosa 5% 1674
Compatible
Inyectables Piperacillin sodium / tazobactam 112.5 mg/ml
Inyectables Vasopressin 0.2 UI/ml
Cloruro de sodio 0,9% 2017
Compatible
Inyectables Piperacillin sodium / tazobactam 40/5 mg/ml
Inyectables Vinblastine sulfate 0.12 mg/ml
Glucosa 5% 81
Compatible
Inyectables Piperacillin sodium / tazobactam 40/5 mg/ml
Inyectables Vincristine sulfate 0.05 mg/ml
Glucosa 5% 81
Compatible
Inyectables Piperacillin sodium / tazobactam 40/5 mg/ml
Inyectables Zidovudine 4 mg/ml
Glucosa 5% 81
Compatible
Inyectables Piperacillin sodium / tazobactam 40/5 mg/ml
Normosol® 4655

  Mentions Légales