Utolsó frissítés :
27/04/2026
Antibiotikum   Piperacillin sodium / tazobactam  
Injekció
Az oldatok stabilitása A keverékek stabilitása Stabilitást befolyásoló tényezők Kompatibilitás Az alkalmazás módja Irodalom pdf
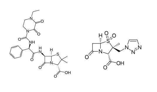
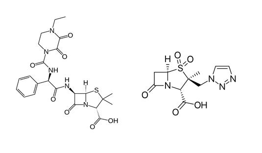
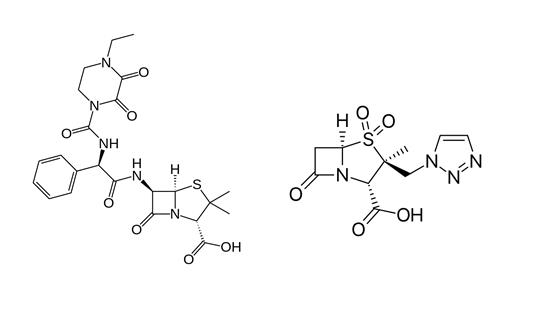
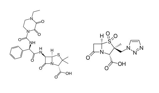
   Kémiai szerkezet   

Kereskedelmi név   Kereskedelmi név     

A kereskedelmi név meghatározó jelentőségű: a készítmények összetétele országonként, előállítóként eltérő lehet

Bagotaz Argentína
Betampil Ecuador
Bioval Chile
Petezam Argentína
Piperac Németország
Piperacillin tazobactam Belgium, Kanada, Németország
Piperazam Brazília
Pipetazo Chile
Pipitaz Ausztria
Pixamol Colombia
Tazobac Ecuador, Olaszország, Portugália, Svájc
Tazocel Spanyolország
Tazocilline Franciaország
Tazocin Argentína, Ausztrália, Brazília, Colombia, Dánia, Dél-Afrikai Köztársaság, Egyesült Arab Emírségek, Egyiptom, Észak-Írország, Finnország, Görögország, Hollandia, Horvátország, Lengyelország, Luxemburg, Magyarország, Mexikó, Nagy-Britannia, Norvégia, Olaszország, Peru, Svédország, Törökország, új-Zéland
Tazonam Ausztria, Chile
Tazopip Ausztrália
Tazpen Colombia, Mexikó
Tazrobida Colombia
Tigux Chile
Tratac Chile
Trital Ecuador
Zosyn Amerikai Egyesült Államok, Japán
Kompatibilitás   Injekció   Kompatibilitás : Piperacillin sodium / tazobactam              
Ovdje su prikazane kompatibilnosti ili nekompatibilnosti s tipom nekompatibilnosti (taloženje, promjena boje, modifikacija emulzije itd.) u ovom slučaju. Kompatibilnosti prikazane ovdje najčešće su fizikalne dok se kemijska stabilnost molekule rijetko procjenjuje. Procjena ovih mikstura je proučavana kako bi se razmotrila mogućnost primjene lijeka putem Y-mjesta. Ovi se podaci ne smiju koristiti za pripremu mikstura unaprijed u vrećicama ili štrcaljkama. Ova vrsta informacije se može pronaći u odjeljku « stabilnost u miksturama ».
Vegyület Oldószer Irodalom
Csapadék 1 óra után Összeegyeztethetetlen
Injekció Piperacillin sodium / tazobactam 40/5 mg/ml
Injekció Aciclovir sodium 7 mg/ml
5% glükóz 81
Összeegyeztethető
Injekció Piperacillin sodium / tazobactam 40/5 mg/ml
Parenterális táplálás (lipid) 1415
Összeegyeztethető
Injekció Piperacillin sodium / tazobactam 200 mg/ml
Ringer-laktát oldat 4603
Összeegyeztethető
Injekció Piperacillin sodium / tazobactam 80 mg/ml
Parenterális táplálás (lipid) 3948
Kémiai instabilitás Összeegyeztethetetlen
Injekció Piperacillin sodium / tazobactam
Injekció Amikacin sulfate
3586
Összeegyeztethető
Injekció Piperacillin sodium / tazobactam 200 mg/ml
Parenterális táplálás (lipid) 4924
Zavarosság 24 óra alatt Összeegyeztethetetlen
Injekció Piperacillin sodium / tazobactam 60 mg/ml
Injekció Amiodarone hydrochloride 6 mg/ml
5% glükóz 1611
Azonnali csapadék Összeegyeztethetetlen
Injekció Piperacillin sodium / tazobactam 40/5 mg/ml
Injekció Amphotericin B 0.6 mg/ml
5% glükóz 81
Azonnali csapadék Összeegyeztethetetlen
Injekció Piperacillin sodium / tazobactam 40/5 mg/ml
Injekció Amphotericin B cholesteryl sulfate complex 0.83 mg/ml
5% glükóz 921
Összeegyeztethető
Injekció Piperacillin sodium / tazobactam 40/5 mg/ml
Injekció Anidulafungin 0.5 mg/ml
5% glükóz 1982
Összeegyeztethető
Injekció Piperacillin sodium / tazobactam 40/5 mg/ml
Injekció Aztreonam 40 mg/ml
5% glükóz 81
Összeegyeztethető
Injekció Piperacillin sodium / tazobactam 40/5 mg/ml
Injekció Bivalirudin 5 mg/ml
5% glükóz 1713
Összeegyeztethető
Injekció Piperacillin sodium / tazobactam 40/5 mg/ml
Injekció Bleomycin sulfate 1 mg/ml
5% glükóz 81
Összeegyeztethető
Injekció Piperacillin sodium / tazobactam 200 mg/ml
Injekció Caffeine 10 mg/ml
Egy sem 3964
Összeegyeztethető
Injekció Piperacillin sodium / tazobactam 40/5 mg/ml
Injekció Carboplatin 5 mg/ml
5% glükóz 81
Összeegyeztethető
Injekció Piperacillin sodium / tazobactam 40/5 mg/ml
Injekció Carmustine 1.5 mg/ml
5% glükóz 81
Összeegyeztethető
Injekció Piperacillin sodium / tazobactam 40/5 mg/ml
Injekció Ceftolozane / tazobactam 10/5 mg/ml
0,9% nátrium-klorid 3828
Azonnali zavarosság Összeegyeztethetetlen
Injekció Piperacillin sodium / tazobactam 40/5 mg/ml
Injekció Chlorpromazine hydrochloride 2 mg/ml
5% glükóz 81
Összeegyeztethető
Injekció Piperacillin sodium / tazobactam 40/5 mg/ml
Injekció Cisatracurium besylate 0.1 & 2 mg/ml
5% glükóz 299
Csapadék 1 óra után Összeegyeztethetetlen
Injekció Piperacillin sodium / tazobactam 40/5 mg/ml
Injekció Cisplatin 1 mg/ml
5% glükóz 81
Összeegyeztethető
Injekció Piperacillin sodium / tazobactam 40/5 mg/ml
Injekció Clindamycin phosphate 10 mg/ml
5% glükóz 81
Összeegyeztethető
Injekció Piperacillin sodium / tazobactam 40/5 mg/ml
Injekció Co-trimoxazole 0.8/4 mg/ml
5% glükóz 81
Összeegyeztethető
Injekció Piperacillin sodium / tazobactam 40/0.5 mg/ml
Injekció Colistin mesilate sodium 1.5 mg/ml
0,9% nátrium-klorid 3997
Összeegyeztethető
Injekció Piperacillin sodium / tazobactam 40/5 mg/ml
Injekció Cyclophosphamide 10 mg/ml
5% glükóz 81
Összeegyeztethető
Injekció Piperacillin sodium / tazobactam 40/5 mg/ml
Injekció Cytarabine 50 mg/ml
5% glükóz 81
Azonnali csapadék Összeegyeztethetetlen
Injekció Piperacillin sodium / tazobactam 40/5 mg/ml
Injekció Dacarbazine 4 mg/ml
5% glükóz 81
Azonnali zavarosság Összeegyeztethetetlen
Injekció Piperacillin sodium / tazobactam 40/5 mg/ml
Injekció Daunorubicin hydrochloride 1 mg/ml
5% glükóz 81
Azonnali zavarosság Összeegyeztethetetlen
Injekció Piperacillin sodium / tazobactam
Injekció Daunorubicin/cytarabine liposomale 0,4 mg/mL
0,9% nátrium-klorid 4654
Azonnali zavarosság Összeegyeztethetetlen
Injekció Piperacillin sodium / tazobactam 40/5 mg/ml
Injekció Dobutamine hydrochloride 4 mg/ml
5% glükóz 81
Összeegyeztethető
Injekció Piperacillin sodium / tazobactam 40/5 mg/ml
Injekció Docetaxel 0.9 mg/ml
5% glükóz 1754
Azonnali zavarosság Összeegyeztethetetlen
Injekció Piperacillin sodium / tazobactam 40/5 mg/ml
Injekció Doxorubicin hydrochloride 2 mg/ml
5% glükóz 81
Azonnali zavarosság Összeegyeztethetetlen
Injekció Piperacillin sodium / tazobactam 40/5 mg/ml
Injekció Doxycycline hyclate 1 mg/ml
5% glükóz 81
Azonnali csapadék Összeegyeztethetetlen
Injekció Piperacillin sodium / tazobactam 40/5 mg/ml
Injekció Droperidol 0.4 mg/ml
5% glükóz 81
Összeegyeztethető
Injekció Piperacillin sodium / tazobactam 40/5 mg/ml
Injekció Etoposide 0.4 mg/ml
5% glükóz 81
Összeegyeztethető
Injekció Piperacillin sodium / tazobactam 40/5 mg/ml
Injekció Etoposide phosphate 5 mg/ml
0,9% nátrium-klorid 1410
Azonnali csapadék Összeegyeztethetetlen
Injekció Piperacillin sodium / tazobactam 40/5 mg/ml
Injekció Famotidine 2 mg/ml
5% glükóz 81
Összeegyeztethető
Injekció Piperacillin sodium / tazobactam 40/5 mg/ml
Injekció Fenoldopam mesylate 80 µg/ml
0,9% nátrium-klorid 1803
Összeegyeztethető
Injekció Piperacillin sodium / tazobactam 40/5 mg/ml
Injekció Floxuridine 3 mg/ml
5% glükóz 81
Összeegyeztethető
Injekció Piperacillin sodium / tazobactam 40/5 mg/ml
Injekció Fluconazole 2 mg/ml
5% glükóz 81
Összeegyeztethető
Injekció Piperacillin sodium / tazobactam 40/5 mg/ml
Injekció Fludarabine phosphate 1 mg/ml
5% glükóz 81
Összeegyeztethető
Injekció Piperacillin sodium / tazobactam 40/5 mg/ml
Injekció Fluorouracil 16 mg/ml
5% glükóz 81
Összeegyeztethető
Injekció Piperacillin sodium / tazobactam 40/5 mg/ml
Injekció Fosfomycin 30 mg/ml
0,9% nátrium-klorid 4055
Csapadék 1 óra után Összeegyeztethetetlen
Injekció Piperacillin sodium / tazobactam 40/5 mg/ml
Injekció Ganciclovir sodium 20 mg/ml
5% glükóz 81
Kémiai instabilitás Összeegyeztethetetlen
Injekció Piperacillin sodium / tazobactam
Injekció Gentamicin sulfate
3586
Összeegyeztethető
Injekció Piperacillin sodium / tazobactam 40/5 mg/ml
Injekció Granisetron hydrochloride 0.05 mg/ml
5% glükóz 182
Azonnali csapadék Összeegyeztethetetlen
Injekció Piperacillin sodium / tazobactam 40/5 mg/ml
Injekció Haloperidol lactate 0.2 mg/ml
5% glükóz 81
Meghatározatlan összeférhetetlenség Összeegyeztethetetlen
Injekció Piperacillin sodium / tazobactam
Ringer-laktát oldat 3586
Meghatározatlan összeférhetetlenség Összeegyeztethetetlen
Injekció Piperacillin sodium / tazobactam
Injekció Aciclovir sodium
3595
Kémiai instabilitás Összeegyeztethetetlen
Injekció Piperacillin sodium / tazobactam
Injekció Amikacin sulfate
3549
Összeegyeztethető
Injekció Piperacillin sodium / tazobactam 40/5 mg/ml
Injekció Aminophylline 2.5 mg/ml
5% glükóz 81
Összeegyeztethető
Injekció Piperacillin sodium / tazobactam 100 mg/ml
Injekció Amoxicillin sodium / clavulanic acid 100/10 mg/ml
3824
Azonnali csapadék Összeegyeztethetetlen
Injekció Piperacillin sodium / tazobactam 112.5 mg/ml
Injekció Azithromycine 2 mg/ml
0,9% nátrium-klorid 1800
Összeegyeztethető
Injekció Piperacillin sodium / tazobactam 40/5 mg/ml
Injekció Bumetanide 0.04 mg/ml
5% glükóz 81
Összeegyeztethető
Injekció Piperacillin sodium / tazobactam 40/5 mg/ml
Injekció Buprenorphine hydrochloride 0.04 mg/ml
5% glükóz 81
Összeegyeztethető
Injekció Piperacillin sodium / tazobactam 40/5 mg/ml
Injekció Butorphanol tartrate 0.04 mg/ml
5% glükóz 81
Összeegyeztethető
Injekció Piperacillin sodium / tazobactam 200 mg/ml
Injekció Caffeine 10 mg/ml
Injekcióhoz való víz 4837
Összeegyeztethető
Injekció Piperacillin sodium / tazobactam 200 mg/ml
Injekció Caffeine citrate 20 mg/ml
Injekcióhoz való víz 4837
Összeegyeztethető
Injekció Piperacillin sodium / tazobactam 40/5 mg/ml
Injekció Calcium gluconate 40 mg/ml
5% glükóz 81
Azonnali csapadék Összeegyeztethetetlen
Injekció Piperacillin sodium / tazobactam 90 mg/ml
Injekció Caspofungin acetate 0.5 mg/ml
0,9% nátrium-klorid 2233
Azonnali csapadék Összeegyeztethetetlen
Injekció Piperacillin sodium / tazobactam 40/5 mg/ml
Injekció Caspofungin acetate 0,7 mg/ml
0,9% nátrium-klorid 2247
Összeegyeztethető
Injekció Piperacillin sodium / tazobactam 40/5 mg/ml
Injekció Ceftolozane / tazobactam 10/5 mg/ml
5% glükóz 3828
Összeegyeztethető
Injekció Piperacillin sodium / tazobactam 40/5 mg/ml
Injekció Cimetidine hydrochloride 12 mg/ml
5% glükóz 81
Meghatározatlan összeférhetetlenség Összeegyeztethetetlen
Injekció Piperacillin sodium / tazobactam
Injekció Ciprofloxacin lactate
3529
Csapadék 4 óra után Összeegyeztethetetlen
Injekció Piperacillin sodium / tazobactam 40/5 mg/ml
Injekció Cisatracurium besylate 5 mg/ml
5% glükóz 299
Összeegyeztethető
Injekció Piperacillin sodium / tazobactam 225 mg/ml
Injekció Cloxacillin sodium 100 mg/ml
Injekcióhoz való víz 3012
Szubvizuális összeférhetetlenség Összeegyeztethetetlen
Injekció Piperacillin sodium / tazobactam
Injekció Daunorubicin/cytarabine liposomale
4354
Összeegyeztethető
Injekció Piperacillin sodium / tazobactam 40/5 mg/ml
Injekció Dexamethasone sodium phosphate 1 mg/ml
5% glükóz 81
Összeegyeztethető
Injekció Piperacillin sodium / tazobactam 40/5 mg/ml
Injekció Dexmedetomidine 4 µg/ml
0,9% nátrium-klorid 1712
Összeegyeztethető
Injekció Piperacillin sodium / tazobactam
Injekció Dimenhydrinate
2087
Összeegyeztethető
Injekció Piperacillin sodium / tazobactam 40/5 mg/ml
Injekció Diphenhydramine hydrochloride 2 mg/ml
5% glükóz 81
Összeegyeztethető
Injekció Piperacillin sodium / tazobactam 40/5 mg/ml
Injekció Dopamine hydrochloride 3.2 mg/ml
5% glükóz 81
A zavarosság elvesztése Összeegyeztethetetlen
Injekció Piperacillin sodium / tazobactam 40/5 mg/ml
Injekció Doxorubicin hydrochloride liposome peg 0.4 mg/ml
5% glükóz 251
Összeegyeztethető
Injekció Piperacillin sodium / tazobactam 40/5 mg/ml
Injekció Enalaprilate 0.1 mg/ml
5% glükóz 81
Összeegyeztethető
Injekció Piperacillin sodium / tazobactam 40/5 mg/ml
Injekció Eravacycline 0,6 mg/ml
0,9% nátrium-klorid 4434
Meghatározatlan összeférhetetlenség Összeegyeztethetetlen
Injekció Piperacillin sodium / tazobactam
Injekció Erythromycin lactobionate
3674
Összeegyeztethető
Injekció Piperacillin sodium / tazobactam 40/5 mg/ml
Injekció Folinate calcium 2 mg/ml
5% glükóz 81
Összeegyeztethető
Injekció Piperacillin sodium / tazobactam 40/5 mg/ml
Injekció Fosfomycin 30 mg/ml
5% glükóz 4055
Összeegyeztethető
Injekció Piperacillin sodium / tazobactam 40/5 mg/ml
Injekció Furosemide 3 mg/ml
5% glükóz 81
Összeegyeztethető
Injekció Piperacillin sodium / tazobactam 40/5 mg/ml
Injekció Gallium nitrate 0.4 mg/ml
5% glükóz 81
Azonnali zavarosság Összeegyeztethetetlen
Injekció Piperacillin sodium / tazobactam 40/5 mg/ml
Injekció Gemcitabine hydrochloride 10 mg/ml
0,9% nátrium-klorid 1423
Meghatározatlan összeférhetetlenség Összeegyeztethetetlen
Injekció Piperacillin sodium / tazobactam
Injekció Gentamicin sulfate
3520
Meghatározatlan összeférhetetlenség Összeegyeztethetetlen
Injekció Piperacillin sodium / tazobactam
Injekció Gentamicin sulfate
3643
Összeegyeztethető
Injekció Piperacillin sodium / tazobactam 0.5/0.0625 mg/ml
Injekció Heparin sodium 0.5 UI/ml
Dianéal® 1.5% glucose (Baxter) 4180
Összeegyeztethető
Injekció Piperacillin sodium / tazobactam 0.5/0.0625 mg/ml
Injekció Heparin sodium 0.5 UI/ml
Extraneal® (Baxter) 4180
Összeegyeztethető
Injekció Piperacillin sodium / tazobactam 1.38/0.1725 mg/ml
Injekció Heparin sodium 1.4 UI/ml
Physionéal® 2.27 (Baxter) 4180
Összeegyeztethető
Injekció Piperacillin sodium / tazobactam 0.5/0.0625 mg/ml
Injekció Heparin sodium 0.5 UI/ml
Dianéal® 4.25% glucose (Baxter) 4180
Összeegyeztethető
Injekció Piperacillin sodium / tazobactam 1.38/0.1725 mg/ml
Injekció Heparin sodium 1.4 UI/ml
Physionéal® 3.86 (Baxter) 4180
Összeegyeztethető
Injekció Piperacillin sodium / tazobactam 1.38/0.1725 mg/ml
Injekció Heparin sodium 1.4 UI/ml
Physionéal® 1.36 (Baxter) 4180
Összeegyeztethető
Injekció Piperacillin sodium / tazobactam 0.5/0.0625 mg/ml
Injekció Heparin sodium 0.5 UI/ml
Dianéal® 2.5% glucose (Baxter) 4180
Összeegyeztethető
Injekció Piperacillin sodium / tazobactam 40/5 mg/ml
Injekció Heparin sodium 100 UI/ml
5% glükóz 81
Összeegyeztethető
Injekció Piperacillin sodium / tazobactam 40/5 mg/ml
Injekció Hetastarch 60 mg/ml
egyedi oldószer 1721
Összeegyeztethető
Injekció Piperacillin sodium / tazobactam 40/5 mg/ml
Injekció Hydrocortisone sodium succinate 1 mg/ml
5% glükóz 81
Összeegyeztethető
Injekció Piperacillin sodium / tazobactam 40/5 mg/ml
Injekció Hydromorphone hydrochloride 0.5 mg/ml
5% glükóz 81
Azonnali csapadék Összeegyeztethetetlen
Injekció Piperacillin sodium / tazobactam 40/5 mg/ml
Injekció Hydroxyzine dihydrochloride 4 mg/ml
5% glükóz 81
Azonnali zavarosság Összeegyeztethetetlen
Injekció Piperacillin sodium / tazobactam 40/5 mg/ml
Injekció Idarubicin hydrochloride 0.5 mg/ml
5% glükóz 81
Összeegyeztethető
Injekció Piperacillin sodium / tazobactam 40/5 mg/ml
Injekció Ifosfamide 25 mg/ml
5% glükóz 81
Összeegyeztethető
Injekció Piperacillin sodium / tazobactam 166/20.83 mg/ml
Injekció Insulin 1 UI/ml
0,9% nátrium-klorid 4254
Összeegyeztethető
Injekció Piperacillin sodium / tazobactam 45 mg/ml
Injekció Insulin aspart 1 UI/ml
0,9% nátrium-klorid 1508
Összeegyeztethető
Injekció Piperacillin sodium / tazobactam 45 mg/ml
Injekció Insulin aspart 1 UI/ml
5% glükóz 1508
Összeegyeztethető
Injekció Piperacillin sodium / tazobactam 40/5 mg/ml
Injekció Isavuconazonium sulfate 1.5 mg/ml
0,9% nátrium-klorid 3829
Összeegyeztethető
Injekció Piperacillin sodium / tazobactam 40/5 mg/ml
Injekció Lansoprazole 0.55 mg/ml
0,9% nátrium-klorid 1625
Összeegyeztethető
Injekció Piperacillin sodium / tazobactam 166/20.83 mg/ml
Injekció Levetiracetam 20.83 mg/ml
5% glükóz 4254
Összeegyeztethető
Injekció Piperacillin sodium / tazobactam 166/20.83 mg/ml
Injekció Levetiracetam 20.83 mg/ml
0,9% nátrium-klorid 4254
Összeegyeztethető
Injekció Piperacillin sodium / tazobactam 80 mg/ml
Parenterális táplálás (lipid-mentes) 3948
Összeegyeztethető
Injekció Piperacillin sodium / tazobactam 166/20.83 mg/ml
Injekció Insulin 1 UI/ml
5% glükóz 4254
Összeegyeztethető
Injekció Piperacillin sodium / tazobactam 33,75 mg/ml
Injekció Levetiracetam 5 mg/ml
0,9% nátrium-klorid 4569
Összeegyeztethető
Injekció Piperacillin sodium / tazobactam 40/5 mg/ml
Parenterális táplálás (lipid-mentes) 301
Azonnali zavarosság Összeegyeztethetetlen
Injekció Piperacillin sodium / tazobactam 40/5 mg/ml
Injekció Isavuconazonium sulfate 1.5 mg/ml
5% glükóz 3829
Meghatározatlan összeférhetetlenség Összeegyeztethetetlen
Injekció Piperacillin sodium / tazobactam
NaHCO3 3586
Kémiai instabilitás Összeegyeztethetetlen
Injekció Piperacillin sodium / tazobactam
Injekció Kanamycin sulfate
3586
Összeegyeztethető
Injekció Piperacillin sodium / tazobactam 200 mg/ml
Injekció Ketamine hydrochloride 50 mg/ml
2109
Szubvizuális összeférhetetlenség Összeegyeztethetetlen
Injekció Piperacillin sodium / tazobactam 45 mg/ml
Injekció Levetiracetam 5 mg/ml
0,9% nátrium-klorid 4569
Összeegyeztethető
Injekció Piperacillin sodium / tazobactam 125 mg/ml
Injekció Linezolid 2 mg/ml
4928
Összeegyeztethető
Injekció Piperacillin sodium / tazobactam 40/5 mg/ml
Injekció Linezolid 2 mg/ml
Egy sem 1925
Összeegyeztethető
Injekció Piperacillin sodium / tazobactam 40/5 mg/ml
Injekció Lorazepam 0.1 mg/ml
5% glükóz 81
Összeegyeztethető
Injekció Piperacillin sodium / tazobactam 40/5 mg/ml
Injekció Magnesium sulfate 100 mg/ml
5% glükóz 81
Összeegyeztethető
Injekció Piperacillin sodium / tazobactam 40/5 mg/ml
Injekció Mannitol 150 mg/ml
5% glükóz 81
Összeegyeztethető
Injekció Piperacillin sodium / tazobactam 200 mg/ml
Injekció Meropenem 50 mg/ml
Injekcióhoz való víz 4319
Összeegyeztethető
Injekció Piperacillin sodium / tazobactam 40/5 mg/ml
Injekció Mesna 10 mg/ml
5% glükóz 81
Összeegyeztethető
Injekció Piperacillin sodium / tazobactam 40/5 mg/ml
Injekció Methotrexate sodium 15 mg/ml
5% glükóz 81
Összeegyeztethető
Injekció Piperacillin sodium / tazobactam 40/5 mg/ml
Injekció Methylprednisolone sodium succinate 5 mg/ml
5% glükóz 81
Összeegyeztethető
Injekció Piperacillin sodium / tazobactam 40/5 mg/ml
Injekció Metoclopramide hydrochloride 5 mg/ml
5% glükóz 81
Összeegyeztethető
Injekció Piperacillin sodium / tazobactam 40/5 mg/ml
Injekció Metronidazole 5 mg/ml
5% glükóz 81
Azonnali csapadék Összeegyeztethetetlen
Injekció Piperacillin sodium / tazobactam 40/5 mg/ml
Injekció Minocycline hydrochloride 1 mg/ml
5% glükóz 81
Színváltozás 4 óra után Összeegyeztethetetlen
Injekció Piperacillin sodium / tazobactam 40/5 mg/ml
Injekció Mitomycin 0.5 mg/ml
5% glükóz 81
Azonnali csapadék Összeegyeztethetetlen
Injekció Piperacillin sodium / tazobactam 40/5 mg/ml
Injekció Mitoxantrone dihydrochloride 0.5 mg/ml
5% glükóz 81
Összeegyeztethető
Injekció Piperacillin sodium / tazobactam 40/5 mg/ml
Injekció Morphine sulfate 1 mg/ml
5% glükóz 81
Összeegyeztethető
Injekció Piperacillin sodium / tazobactam
Injekció N-acetylcysteine 200 mg/ml
Egy sem 3766
Azonnali zavarosság Összeegyeztethetetlen
Injekció Piperacillin sodium / tazobactam 40/5 mg/ml
Injekció Nalbuphine hydrochloride 10 mg/ml
5% glükóz 81
Összeegyeztethető
Injekció Piperacillin sodium / tazobactam 200 mg/ml
Injekció Naloxone hydrochloride 0.4 mg/ml
Egy sem 3408
Kémiai instabilitás Összeegyeztethetetlen
Injekció Piperacillin sodium / tazobactam
Injekció Netilmicin sulfate
3586
Összeegyeztethető
Injekció Piperacillin sodium / tazobactam 20/2,5 & 40/5 mg/ml
Injekció Ondansetron hydrochloride 0,015 >> 0,15 mg/ml
0,9% nátrium-klorid 16
Összeegyeztethető
Injekció Piperacillin sodium / tazobactam 40/5 mg/ml
Injekció Ondansetron hydrochloride 0.1 mg/ml
5% glükóz 81
Összeegyeztethető
Injekció Piperacillin sodium / tazobactam 200/25 mg/ml
Injekció Oxycodone hydrochloride 1 mg/ml
0,9% nátrium-klorid 4842
Csapadék 1 óra után Összeegyeztethetetlen
Injekció Piperacillin sodium / tazobactam
Injekció Pantoprazole sodium
2090
Összeegyeztethető
Injekció Piperacillin sodium / tazobactam 100 mg/ml
Injekció Paracetamol 10 mg/ml
Egy sem 3571
Összeegyeztethető
Injekció Piperacillin sodium / tazobactam 100 mg/ml
Injekció Paracetamol 10 mg/ml
4742
Összeegyeztethető
Injekció Piperacillin sodium / tazobactam 200 mg/ml
Injekció Pentoxifyllin 5 mg/ml
0,9% nátrium-klorid 4538
Összeegyeztethető
Injekció Piperacillin sodium / tazobactam 40/5 mg/ml
Injekció Pethidine hydrochloride 4 mg/ml
5% glükóz 81
Kémiai instabilitás Összeegyeztethetetlen
Injekció Piperacillin sodium / tazobactam
Injekció Plazomicin sulfate
3586
Összeegyeztethető
Injekció Piperacillin sodium / tazobactam 40/5 mg/ml
Injekció Plazomicin sulfate 24 mg/ml
0,9% nátrium-klorid 4145
Azonnali csapadék Összeegyeztethetetlen
Injekció Piperacillin sodium / tazobactam 160 mg/ml
Injekció Posaconazole 1,2 mg/ml
0,9% nátrium-klorid 4521
Összeegyeztethető
Injekció Piperacillin sodium / tazobactam 40/5 mg/ml
Injekció Potassium chloride 100 mEq/l
5% glükóz 81
Azonnali zavarosság Összeegyeztethetetlen
Injekció Piperacillin sodium / tazobactam 40/5 mg/ml
Injekció Prochlorperazine edysilate 0.5 mg/ml
5% glükóz 81
Azonnali zavarosság Összeegyeztethetetlen
Injekció Piperacillin sodium / tazobactam 40/5 mg/ml
Injekció Promethazine hydrochloride 2 mg/ml
5% glükóz 81
Összeegyeztethető
Injekció Piperacillin sodium / tazobactam 40/5 mg/ml
Injekció Ranitidine hydrochloride 2 mg/ml
5% glükóz 81
Összeegyeztethető
Injekció Piperacillin sodium / tazobactam 40/5 mg/ml
Injekció Remifentanil hydrochloride 25 & 250 µg/ml
0,9% nátrium-klorid 59
Azonnali csapadék Összeegyeztethetetlen
Injekció Piperacillin sodium / tazobactam 200 mg/ml
Injekció Salbutamol sulfate 1 mg/ml
Egy sem 3216
Összeegyeztethető
Injekció Piperacillin sodium / tazobactam 40/5 mg/ml
Injekció Sargramostim 10 µg/ml
5% glükóz 81
Összeegyeztethető
Injekció Piperacillin sodium / tazobactam 200 mg/ml
Injekció Sildenafil citrate 0,6 mg/ml
5% glükóz 4845
Meghatározatlan összeférhetetlenség Összeegyeztethetetlen
Injekció Piperacillin sodium / tazobactam
Injekció Sodium bicarbonate
3586
Összeegyeztethető
Injekció Piperacillin sodium / tazobactam 40/5 mg/ml
Injekció Sodium bicarbonate 84 mg/ml
5% glükóz 81
Kémiai instabilitás Összeegyeztethetetlen
Injekció Piperacillin sodium / tazobactam
Injekció Streptomycin sulfate
3586
Csapadék 1 óra után Összeegyeztethetetlen
Injekció Piperacillin sodium / tazobactam 40/5 mg/ml
Injekció Streptozocin 40 mg/ml
5% glükóz 81
Összeegyeztethető
Injekció Piperacillin sodium / tazobactam 40/5 mg/ml
Injekció Sulbactam/durlobactam 15/15 mg/ml
0,9% nátrium-klorid 4801
Összeegyeztethető
Injekció Piperacillin sodium / tazobactam 40/5 mg/ml
Injekció Tedizolid phosphate 0.8 mg/ml
0,9% nátrium-klorid 3827
Összeegyeztethető
Injekció Piperacillin sodium / tazobactam 40/5 mg/ml
Injekció Telavancin hydrochloride 7.5 mg/ml
5% glükóz 3254
Összeegyeztethető
Injekció Piperacillin sodium / tazobactam 40/5 mg/ml
Injekció Telavancin hydrochloride 7.5 mg/ml
0,9% nátrium-klorid 3254
Összeegyeztethető
Injekció Piperacillin sodium / tazobactam 40/5 mg/ml
Injekció Telavancin hydrochloride 7.5 mg/ml
Ringer-laktát oldat 3254
Kémiai instabilitás Összeegyeztethetetlen
Injekció Piperacillin sodium / tazobactam 200 mg/ml
Injekció Temocilline 83.33 mg/ml
Injekcióhoz való víz 2231
Meghatározatlan összeférhetetlenség Összeegyeztethetetlen
Injekció Piperacillin sodium / tazobactam
Injekció Temocilline
4470
Összeegyeztethető
Injekció Piperacillin sodium / tazobactam 166/20.83 mg/ml
Injekció Thiamine hydrochloride 0.4 mg/ml
5% glükóz 4254
Azonnali csapadék Összeegyeztethetetlen
Injekció Piperacillin sodium / tazobactam 200 mg/ml
Injekció Thiopental sodium 25 mg/ml
0,9% nátrium-klorid 3767
Összeegyeztethető
Injekció Piperacillin sodium / tazobactam 40/5 mg/ml
Injekció Thiotepa 1 mg/ml
5% glükóz 81
Összeegyeztethető
Injekció Piperacillin sodium / tazobactam
Injekció Tigecycline
0,9% nátrium-klorid 3332
Kémiai instabilitás Összeegyeztethetetlen
Injekció Piperacillin sodium / tazobactam
Injekció Tobramycin sulfate
3586
Azonnali csapadék Összeegyeztethetetlen
Injekció Piperacillin sodium / tazobactam 112,5 mg/ml
Injekció Vancomycin hydrochloride 10 mg/ml
5% glükóz 3428
Összeegyeztethető
Injekció Piperacillin sodium / tazobactam
5% glükóz 3586
Összeegyeztethető
Injekció Piperacillin sodium / tazobactam
0,9% nátrium-klorid 5069
Azonnali csapadék Összeegyeztethetetlen
Injekció Piperacillin sodium / tazobactam 100/12,5 mg/ml
Injekció Vancomycin hydrochloride 10 mg/ml
3365
Azonnali csapadék Összeegyeztethetetlen
Injekció Piperacillin sodium / tazobactam 40 >> 100 mg/ml
Injekció Vancomycin hydrochloride 10 mg/ml
0,9% nátrium-klorid 2475
Azonnali csapadék Összeegyeztethetetlen
Injekció Piperacillin sodium / tazobactam
Injekció Vancomycin hydrochloride >8 mg/ml
0,9% nátrium-klorid 3841
Összeegyeztethető
Injekció Piperacillin sodium / tazobactam 16 >> 100 mg/ml
Injekció Vancomycin hydrochloride 2 mg/ml
0,9% nátrium-klorid 2475
Összeegyeztethető
Injekció Piperacillin sodium / tazobactam 16 >> 100 mg/ml
Injekció Vancomycin hydrochloride 5 mg/ml
0,9% nátrium-klorid 2475
Összeegyeztethető
Injekció Piperacillin sodium / tazobactam 16 >> 30 mg/ml
Injekció Vancomycin hydrochloride 10 mg/ml
0,9% nátrium-klorid 2475
Összeegyeztethető
Injekció Piperacillin sodium / tazobactam 30/3,75 mg/ml
Injekció Vancomycin hydrochloride 4 mg/ml
0,9% nátrium-klorid 3421
Összeegyeztethető
Injekció Piperacillin sodium / tazobactam 40/5 mg/ml
Injekció Vancomycin hydrochloride 4 mg/ml
0,9% nátrium-klorid 3421
Összeegyeztethető
Injekció Piperacillin sodium / tazobactam 33.75 >> 90 mg/ml
Injekció Vancomycin hydrochloride 4 >> 7 mg/ml
0,9% nátrium-klorid 3841
Azonnali csapadék Összeegyeztethetetlen
Injekció Piperacillin sodium / tazobactam 80 & 90 mg/ml
Injekció Vancomycin hydrochloride 8 mg/ml
0,9% nátrium-klorid 3841
Összeegyeztethető
Injekció Piperacillin sodium / tazobactam 33.75 >> 67.5 mg/ml
Injekció Vancomycin hydrochloride 8 mg/ml
0,9% nátrium-klorid 3841
Azonnali zavarosság Összeegyeztethetetlen
Injekció Piperacillin sodium / tazobactam 40/5 mg/ml
Injekció Vancomycin hydrochloride 10 mg/ml
5% glükóz 81
Meghatározatlan összeférhetetlenség Összeegyeztethetetlen
Injekció Piperacillin sodium / tazobactam 200 mg/ml
Injekció Vancomycin hydrochloride 10 mg/ml
5% glükóz 3385
Azonnali csapadék Összeegyeztethetetlen
Injekció Piperacillin sodium / tazobactam 10/1.25 >> 200/25 mg/ml
Injekció Vancomycin hydrochloride 20 mg/ml
5% glükóz 1674
Azonnali csapadék Összeegyeztethetetlen
Injekció Piperacillin sodium / tazobactam 80 >> 100 mg/ml
Injekció Vancomycin hydrochloride 4 mg/ml
5% glükóz 2475
Azonnali csapadék Összeegyeztethetetlen
Injekció Piperacillin sodium / tazobactam 16 >> 100 mg/ml
Injekció Vancomycin hydrochloride 8 mg/ml
5% glükóz 2475
Azonnali csapadék Összeegyeztethetetlen
Injekció Piperacillin sodium / tazobactam 28 mg/ml
Injekció Vancomycin hydrochloride 10 & 15 mg/ml
5% glükóz 3984
Azonnali csapadék Összeegyeztethetetlen
Injekció Piperacillin sodium / tazobactam 67,5 mg/ml
Injekció Vancomycin hydrochloride 5 mg/ml
5% glükóz 3960
Összeegyeztethető
Injekció Piperacillin sodium / tazobactam 16 >> 40 mg/ml
Injekció Vancomycin hydrochloride 4 mg/ml
5% glükóz 2475
Összeegyeztethető
Injekció Piperacillin sodium / tazobactam 28 mg/ml
Injekció Vancomycin hydrochloride 5 mg/ml
5% glükóz 3984
Összeegyeztethető
Injekció Piperacillin sodium / tazobactam 1/0.125 >> 200/25 mg/ml
Injekció Vancomycin hydrochloride 2 mg/ml
5% glükóz 1674
Összeegyeztethető
Injekció Piperacillin sodium / tazobactam 1/0.125 mg/ml
Injekció Vancomycin hydrochloride 20 mg/ml
5% glükóz 1674
Összeegyeztethető
Injekció Piperacillin sodium / tazobactam 112.5 mg/ml
Injekció Vasopressin 0.2 UI/ml
0,9% nátrium-klorid 2017
Összeegyeztethető
Injekció Piperacillin sodium / tazobactam 40/5 mg/ml
Injekció Vinblastine sulfate 0.12 mg/ml
5% glükóz 81
Összeegyeztethető
Injekció Piperacillin sodium / tazobactam 40/5 mg/ml
Injekció Vincristine sulfate 0.05 mg/ml
5% glükóz 81
Összeegyeztethető
Injekció Piperacillin sodium / tazobactam 40/5 mg/ml
Injekció Zidovudine 4 mg/ml
5% glükóz 81
Összeegyeztethető
Injekció Piperacillin sodium / tazobactam 40/5 mg/ml
Normosol® 4655

  Mentions Légales