Seneste opdatering :
27/04/2026
Antibiotisk   Piperacillin sodium / tazobactam  
Injektion
Stabilitet i (vandige) opløsninger Stabilitet i blandinger Faktorer der påvirker stabiliteten Kompatibilitet Administrationsvej Bibliografi pdf
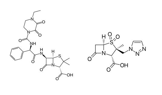
   Kemisk struktur  

Handelsnavn   Handelsnavn     

Handel navne er vejledende og hjælpestoffer sammensætning kan være forskellig afhængigt af landet og laboratorier

Bagotaz Argentina
Betampil Ecuador
Bioval Chile
Petezam Argentina
Piperac Tyskland
Piperacillin tazobactam Belgien, Canada, Tyskland
Piperazam Brasilien
Pipetazo Chile
Pipitaz Østrig
Pixamol Colombia
Tazobac Ecuador, Italien, Portugal, Schweiz
Tazocel Spanien
Tazocilline Frankrig
Tazocin Argentina, Australien, Brasilien, Colombia, Danmark, Finland, Forenede Arabiske Emirater, Grækenland, Holland, Italien, Kroatien, Luxemborg, Marokko, Mexico, New Zealand, Nordirland, Norge, Polen, Storbritanien, Sverige, Sydafrika, Tyrkiet, Ungarn, Ægypten
Tazonam Chile, Østrig
Tazopip Australien
Tazpen Colombia, Mexico
Tazrobida Colombia
Tigux Chile
Tratac Chile
Trital Ecuador
Zosyn Japan, USA
Kompatibilitet   Injektion   Kompatibilitet : Piperacillin sodium / tazobactam              
Denne skærm viser kompatibilitet eller uforenelighed med, i dette tilfælde typen af inkompatibilitet (udfældning, farveændring, ændring af en emulsion osv.). Kompatibiliteterne vist her er for det meste kun fysiske, idet den kemiske stabilitet af hvert molekyle sjældent vurderes. Evalueringen af disse blandinger blev undersøgt for at overveje muligheden for Y-sted-administration til patienten. Disse data kan ikke bruges til at fremstille blandinger på forhånd i poser eller sprøjter. Denne type information findes på skærmen "Stabilitet i blanding".
Molekyle Opløsningsmiddel Bibliografi
Nedbør efter 1 time Uforenelig
Injektion Piperacillin sodium / tazobactam 40/5 mg/ml
Injektion Aciclovir sodium 7 mg/ml
5 % Glukose 81
Kompatibel
Injektion Piperacillin sodium / tazobactam 40/5 mg/ml
Parenteral ernæring (lipider) 1415
Kompatibel
Injektion Piperacillin sodium / tazobactam 200 mg/ml
Ringer laktat 4603
Kompatibel
Injektion Piperacillin sodium / tazobactam 80 mg/ml
Parenteral ernæring (lipider) 3948
Kemisk ustabilitet Uforenelig
Injektion Piperacillin sodium / tazobactam
Injektion Amikacin sulfate
3586
Kompatibel
Injektion Piperacillin sodium / tazobactam 200 mg/ml
Parenteral ernæring (lipider) 4924
Turbiditet på 24 timer Uforenelig
Injektion Piperacillin sodium / tazobactam 60 mg/ml
Injektion Amiodarone hydrochloride 6 mg/ml
5 % Glukose 1611
Umiddelbar nedbør Uforenelig
Injektion Piperacillin sodium / tazobactam 40/5 mg/ml
Injektion Amphotericin B 0.6 mg/ml
5 % Glukose 81
Umiddelbar nedbør Uforenelig
Injektion Piperacillin sodium / tazobactam 40/5 mg/ml
Injektion Amphotericin B cholesteryl sulfate complex 0.83 mg/ml
5 % Glukose 921
Kompatibel
Injektion Piperacillin sodium / tazobactam 40/5 mg/ml
Injektion Anidulafungin 0.5 mg/ml
5 % Glukose 1982
Kompatibel
Injektion Piperacillin sodium / tazobactam 40/5 mg/ml
Injektion Aztreonam 40 mg/ml
5 % Glukose 81
Kompatibel
Injektion Piperacillin sodium / tazobactam 40/5 mg/ml
Injektion Bivalirudin 5 mg/ml
5 % Glukose 1713
Kompatibel
Injektion Piperacillin sodium / tazobactam 40/5 mg/ml
Injektion Bleomycin sulfate 1 mg/ml
5 % Glukose 81
Kompatibel
Injektion Piperacillin sodium / tazobactam 200 mg/ml
Injektion Caffeine 10 mg/ml
Ingen 3964
Kompatibel
Injektion Piperacillin sodium / tazobactam 40/5 mg/ml
Injektion Carboplatin 5 mg/ml
5 % Glukose 81
Kompatibel
Injektion Piperacillin sodium / tazobactam 40/5 mg/ml
Injektion Carmustine 1.5 mg/ml
5 % Glukose 81
Kompatibel
Injektion Piperacillin sodium / tazobactam 40/5 mg/ml
Injektion Ceftolozane / tazobactam 10/5 mg/ml
0,9 % Natriumklorid 3828
Umiddelbar turbiditet Uforenelig
Injektion Piperacillin sodium / tazobactam 40/5 mg/ml
Injektion Chlorpromazine hydrochloride 2 mg/ml
5 % Glukose 81
Kompatibel
Injektion Piperacillin sodium / tazobactam 40/5 mg/ml
Injektion Cisatracurium besylate 0.1 & 2 mg/ml
5 % Glukose 299
Nedbør efter 1 time Uforenelig
Injektion Piperacillin sodium / tazobactam 40/5 mg/ml
Injektion Cisplatin 1 mg/ml
5 % Glukose 81
Kompatibel
Injektion Piperacillin sodium / tazobactam 40/5 mg/ml
Injektion Clindamycin phosphate 10 mg/ml
5 % Glukose 81
Kompatibel
Injektion Piperacillin sodium / tazobactam 40/5 mg/ml
Injektion Co-trimoxazole 0.8/4 mg/ml
5 % Glukose 81
Kompatibel
Injektion Piperacillin sodium / tazobactam 40/0.5 mg/ml
Injektion Colistin mesilate sodium 1.5 mg/ml
0,9 % Natriumklorid 3997
Kompatibel
Injektion Piperacillin sodium / tazobactam 40/5 mg/ml
Injektion Cyclophosphamide 10 mg/ml
5 % Glukose 81
Kompatibel
Injektion Piperacillin sodium / tazobactam 40/5 mg/ml
Injektion Cytarabine 50 mg/ml
5 % Glukose 81
Umiddelbar nedbør Uforenelig
Injektion Piperacillin sodium / tazobactam 40/5 mg/ml
Injektion Dacarbazine 4 mg/ml
5 % Glukose 81
Umiddelbar turbiditet Uforenelig
Injektion Piperacillin sodium / tazobactam 40/5 mg/ml
Injektion Daunorubicin hydrochloride 1 mg/ml
5 % Glukose 81
Umiddelbar turbiditet Uforenelig
Injektion Piperacillin sodium / tazobactam
Injektion Daunorubicin/cytarabine liposomale 0,4 mg/mL
0,9 % Natriumklorid 4654
Umiddelbar turbiditet Uforenelig
Injektion Piperacillin sodium / tazobactam 40/5 mg/ml
Injektion Dobutamine hydrochloride 4 mg/ml
5 % Glukose 81
Kompatibel
Injektion Piperacillin sodium / tazobactam 40/5 mg/ml
Injektion Docetaxel 0.9 mg/ml
5 % Glukose 1754
Umiddelbar turbiditet Uforenelig
Injektion Piperacillin sodium / tazobactam 40/5 mg/ml
Injektion Doxorubicin hydrochloride 2 mg/ml
5 % Glukose 81
Umiddelbar turbiditet Uforenelig
Injektion Piperacillin sodium / tazobactam 40/5 mg/ml
Injektion Doxycycline hyclate 1 mg/ml
5 % Glukose 81
Umiddelbar nedbør Uforenelig
Injektion Piperacillin sodium / tazobactam 40/5 mg/ml
Injektion Droperidol 0.4 mg/ml
5 % Glukose 81
Kompatibel
Injektion Piperacillin sodium / tazobactam 40/5 mg/ml
Injektion Etoposide 0.4 mg/ml
5 % Glukose 81
Kompatibel
Injektion Piperacillin sodium / tazobactam 40/5 mg/ml
Injektion Etoposide phosphate 5 mg/ml
0,9 % Natriumklorid 1410
Umiddelbar nedbør Uforenelig
Injektion Piperacillin sodium / tazobactam 40/5 mg/ml
Injektion Famotidine 2 mg/ml
5 % Glukose 81
Kompatibel
Injektion Piperacillin sodium / tazobactam 40/5 mg/ml
Injektion Fenoldopam mesylate 80 µg/ml
0,9 % Natriumklorid 1803
Kompatibel
Injektion Piperacillin sodium / tazobactam 40/5 mg/ml
Injektion Floxuridine 3 mg/ml
5 % Glukose 81
Kompatibel
Injektion Piperacillin sodium / tazobactam 40/5 mg/ml
Injektion Fluconazole 2 mg/ml
5 % Glukose 81
Kompatibel
Injektion Piperacillin sodium / tazobactam 40/5 mg/ml
Injektion Fludarabine phosphate 1 mg/ml
5 % Glukose 81
Kompatibel
Injektion Piperacillin sodium / tazobactam 40/5 mg/ml
Injektion Fluorouracil 16 mg/ml
5 % Glukose 81
Kompatibel
Injektion Piperacillin sodium / tazobactam 40/5 mg/ml
Injektion Fosfomycin 30 mg/ml
0,9 % Natriumklorid 4055
Nedbør efter 1 time Uforenelig
Injektion Piperacillin sodium / tazobactam 40/5 mg/ml
Injektion Ganciclovir sodium 20 mg/ml
5 % Glukose 81
Kemisk ustabilitet Uforenelig
Injektion Piperacillin sodium / tazobactam
Injektion Gentamicin sulfate
3586
Kompatibel
Injektion Piperacillin sodium / tazobactam 40/5 mg/ml
Injektion Granisetron hydrochloride 0.05 mg/ml
5 % Glukose 182
Umiddelbar nedbør Uforenelig
Injektion Piperacillin sodium / tazobactam 40/5 mg/ml
Injektion Haloperidol lactate 0.2 mg/ml
5 % Glukose 81
Uspecificeret inkompatibilitet Uforenelig
Injektion Piperacillin sodium / tazobactam
Ringer laktat 3586
Uspecificeret inkompatibilitet Uforenelig
Injektion Piperacillin sodium / tazobactam
Injektion Aciclovir sodium
3595
Kemisk ustabilitet Uforenelig
Injektion Piperacillin sodium / tazobactam
Injektion Amikacin sulfate
3549
Kompatibel
Injektion Piperacillin sodium / tazobactam 40/5 mg/ml
Injektion Aminophylline 2.5 mg/ml
5 % Glukose 81
Kompatibel
Injektion Piperacillin sodium / tazobactam 100 mg/ml
Injektion Amoxicillin sodium / clavulanic acid 100/10 mg/ml
3824
Umiddelbar nedbør Uforenelig
Injektion Piperacillin sodium / tazobactam 112.5 mg/ml
Injektion Azithromycine 2 mg/ml
0,9 % Natriumklorid 1800
Kompatibel
Injektion Piperacillin sodium / tazobactam 40/5 mg/ml
Injektion Bumetanide 0.04 mg/ml
5 % Glukose 81
Kompatibel
Injektion Piperacillin sodium / tazobactam 40/5 mg/ml
Injektion Buprenorphine hydrochloride 0.04 mg/ml
5 % Glukose 81
Kompatibel
Injektion Piperacillin sodium / tazobactam 40/5 mg/ml
Injektion Butorphanol tartrate 0.04 mg/ml
5 % Glukose 81
Kompatibel
Injektion Piperacillin sodium / tazobactam 200 mg/ml
Injektion Caffeine 10 mg/ml
Vand til injektion 4837
Kompatibel
Injektion Piperacillin sodium / tazobactam 200 mg/ml
Injektion Caffeine citrate 20 mg/ml
Vand til injektion 4837
Kompatibel
Injektion Piperacillin sodium / tazobactam 40/5 mg/ml
Injektion Calcium gluconate 40 mg/ml
5 % Glukose 81
Umiddelbar nedbør Uforenelig
Injektion Piperacillin sodium / tazobactam 90 mg/ml
Injektion Caspofungin acetate 0.5 mg/ml
0,9 % Natriumklorid 2233
Umiddelbar nedbør Uforenelig
Injektion Piperacillin sodium / tazobactam 40/5 mg/ml
Injektion Caspofungin acetate 0,7 mg/ml
0,9 % Natriumklorid 2247
Kompatibel
Injektion Piperacillin sodium / tazobactam 40/5 mg/ml
Injektion Ceftolozane / tazobactam 10/5 mg/ml
5 % Glukose 3828
Kompatibel
Injektion Piperacillin sodium / tazobactam 40/5 mg/ml
Injektion Cimetidine hydrochloride 12 mg/ml
5 % Glukose 81
Uspecificeret inkompatibilitet Uforenelig
Injektion Piperacillin sodium / tazobactam
Injektion Ciprofloxacin lactate
3529
Nedbør efter 4 timer Uforenelig
Injektion Piperacillin sodium / tazobactam 40/5 mg/ml
Injektion Cisatracurium besylate 5 mg/ml
5 % Glukose 299
Kompatibel
Injektion Piperacillin sodium / tazobactam 225 mg/ml
Injektion Cloxacillin sodium 100 mg/ml
Vand til injektion 3012
Subvisuel uforenelighed Uforenelig
Injektion Piperacillin sodium / tazobactam
Injektion Daunorubicin/cytarabine liposomale
4354
Kompatibel
Injektion Piperacillin sodium / tazobactam 40/5 mg/ml
Injektion Dexamethasone sodium phosphate 1 mg/ml
5 % Glukose 81
Kompatibel
Injektion Piperacillin sodium / tazobactam 40/5 mg/ml
Injektion Dexmedetomidine 4 µg/ml
0,9 % Natriumklorid 1712
Kompatibel
Injektion Piperacillin sodium / tazobactam
Injektion Dimenhydrinate
2087
Kompatibel
Injektion Piperacillin sodium / tazobactam 40/5 mg/ml
Injektion Diphenhydramine hydrochloride 2 mg/ml
5 % Glukose 81
Kompatibel
Injektion Piperacillin sodium / tazobactam 40/5 mg/ml
Injektion Dopamine hydrochloride 3.2 mg/ml
5 % Glukose 81
Tab af uklarhed Uforenelig
Injektion Piperacillin sodium / tazobactam 40/5 mg/ml
Injektion Doxorubicin hydrochloride liposome peg 0.4 mg/ml
5 % Glukose 251
Kompatibel
Injektion Piperacillin sodium / tazobactam 40/5 mg/ml
Injektion Enalaprilate 0.1 mg/ml
5 % Glukose 81
Kompatibel
Injektion Piperacillin sodium / tazobactam 40/5 mg/ml
Injektion Eravacycline 0,6 mg/ml
0,9 % Natriumklorid 4434
Uspecificeret inkompatibilitet Uforenelig
Injektion Piperacillin sodium / tazobactam
Injektion Erythromycin lactobionate
3674
Kompatibel
Injektion Piperacillin sodium / tazobactam 40/5 mg/ml
Injektion Folinate calcium 2 mg/ml
5 % Glukose 81
Kompatibel
Injektion Piperacillin sodium / tazobactam 40/5 mg/ml
Injektion Fosfomycin 30 mg/ml
5 % Glukose 4055
Kompatibel
Injektion Piperacillin sodium / tazobactam 40/5 mg/ml
Injektion Furosemide 3 mg/ml
5 % Glukose 81
Kompatibel
Injektion Piperacillin sodium / tazobactam 40/5 mg/ml
Injektion Gallium nitrate 0.4 mg/ml
5 % Glukose 81
Umiddelbar turbiditet Uforenelig
Injektion Piperacillin sodium / tazobactam 40/5 mg/ml
Injektion Gemcitabine hydrochloride 10 mg/ml
0,9 % Natriumklorid 1423
Uspecificeret inkompatibilitet Uforenelig
Injektion Piperacillin sodium / tazobactam
Injektion Gentamicin sulfate
3520
Uspecificeret inkompatibilitet Uforenelig
Injektion Piperacillin sodium / tazobactam
Injektion Gentamicin sulfate
3643
Kompatibel
Injektion Piperacillin sodium / tazobactam 0.5/0.0625 mg/ml
Injektion Heparin sodium 0.5 UI/ml
Dianéal® 1.5% glucose (Baxter) 4180
Kompatibel
Injektion Piperacillin sodium / tazobactam 0.5/0.0625 mg/ml
Injektion Heparin sodium 0.5 UI/ml
Extraneal® (Baxter) 4180
Kompatibel
Injektion Piperacillin sodium / tazobactam 1.38/0.1725 mg/ml
Injektion Heparin sodium 1.4 UI/ml
Physionéal® 2.27 (Baxter) 4180
Kompatibel
Injektion Piperacillin sodium / tazobactam 0.5/0.0625 mg/ml
Injektion Heparin sodium 0.5 UI/ml
Dianéal® 4.25% glucose (Baxter) 4180
Kompatibel
Injektion Piperacillin sodium / tazobactam 1.38/0.1725 mg/ml
Injektion Heparin sodium 1.4 UI/ml
Physionéal® 3.86 (Baxter) 4180
Kompatibel
Injektion Piperacillin sodium / tazobactam 1.38/0.1725 mg/ml
Injektion Heparin sodium 1.4 UI/ml
Physionéal® 1.36 (Baxter) 4180
Kompatibel
Injektion Piperacillin sodium / tazobactam 0.5/0.0625 mg/ml
Injektion Heparin sodium 0.5 UI/ml
Dianéal® 2.5% glucose (Baxter) 4180
Kompatibel
Injektion Piperacillin sodium / tazobactam 40/5 mg/ml
Injektion Heparin sodium 100 UI/ml
5 % Glukose 81
Kompatibel
Injektion Piperacillin sodium / tazobactam 40/5 mg/ml
Injektion Hetastarch 60 mg/ml
specifikt opløsningsmiddel 1721
Kompatibel
Injektion Piperacillin sodium / tazobactam 40/5 mg/ml
Injektion Hydrocortisone sodium succinate 1 mg/ml
5 % Glukose 81
Kompatibel
Injektion Piperacillin sodium / tazobactam 40/5 mg/ml
Injektion Hydromorphone hydrochloride 0.5 mg/ml
5 % Glukose 81
Umiddelbar nedbør Uforenelig
Injektion Piperacillin sodium / tazobactam 40/5 mg/ml
Injektion Hydroxyzine dihydrochloride 4 mg/ml
5 % Glukose 81
Umiddelbar turbiditet Uforenelig
Injektion Piperacillin sodium / tazobactam 40/5 mg/ml
Injektion Idarubicin hydrochloride 0.5 mg/ml
5 % Glukose 81
Kompatibel
Injektion Piperacillin sodium / tazobactam 40/5 mg/ml
Injektion Ifosfamide 25 mg/ml
5 % Glukose 81
Kompatibel
Injektion Piperacillin sodium / tazobactam 166/20.83 mg/ml
Injektion Insulin 1 UI/ml
0,9 % Natriumklorid 4254
Kompatibel
Injektion Piperacillin sodium / tazobactam 45 mg/ml
Injektion Insulin aspart 1 UI/ml
0,9 % Natriumklorid 1508
Kompatibel
Injektion Piperacillin sodium / tazobactam 45 mg/ml
Injektion Insulin aspart 1 UI/ml
5 % Glukose 1508
Kompatibel
Injektion Piperacillin sodium / tazobactam 40/5 mg/ml
Injektion Isavuconazonium sulfate 1.5 mg/ml
0,9 % Natriumklorid 3829
Kompatibel
Injektion Piperacillin sodium / tazobactam 40/5 mg/ml
Injektion Lansoprazole 0.55 mg/ml
0,9 % Natriumklorid 1625
Kompatibel
Injektion Piperacillin sodium / tazobactam 166/20.83 mg/ml
Injektion Levetiracetam 20.83 mg/ml
5 % Glukose 4254
Kompatibel
Injektion Piperacillin sodium / tazobactam 166/20.83 mg/ml
Injektion Levetiracetam 20.83 mg/ml
0,9 % Natriumklorid 4254
Kompatibel
Injektion Piperacillin sodium / tazobactam 80 mg/ml
Parenteral ernæring (lipid-fri) 3948
Kompatibel
Injektion Piperacillin sodium / tazobactam 166/20.83 mg/ml
Injektion Insulin 1 UI/ml
5 % Glukose 4254
Kompatibel
Injektion Piperacillin sodium / tazobactam 33,75 mg/ml
Injektion Levetiracetam 5 mg/ml
0,9 % Natriumklorid 4569
Kompatibel
Injektion Piperacillin sodium / tazobactam 40/5 mg/ml
Parenteral ernæring (lipid-fri) 301
Umiddelbar turbiditet Uforenelig
Injektion Piperacillin sodium / tazobactam 40/5 mg/ml
Injektion Isavuconazonium sulfate 1.5 mg/ml
5 % Glukose 3829
Uspecificeret inkompatibilitet Uforenelig
Injektion Piperacillin sodium / tazobactam
NaHCO3 3586
Kemisk ustabilitet Uforenelig
Injektion Piperacillin sodium / tazobactam
Injektion Kanamycin sulfate
3586
Kompatibel
Injektion Piperacillin sodium / tazobactam 200 mg/ml
Injektion Ketamine hydrochloride 50 mg/ml
2109
Subvisuel uforenelighed Uforenelig
Injektion Piperacillin sodium / tazobactam 45 mg/ml
Injektion Levetiracetam 5 mg/ml
0,9 % Natriumklorid 4569
Kompatibel
Injektion Piperacillin sodium / tazobactam 125 mg/ml
Injektion Linezolid 2 mg/ml
4928
Kompatibel
Injektion Piperacillin sodium / tazobactam 40/5 mg/ml
Injektion Linezolid 2 mg/ml
Ingen 1925
Kompatibel
Injektion Piperacillin sodium / tazobactam 40/5 mg/ml
Injektion Lorazepam 0.1 mg/ml
5 % Glukose 81
Kompatibel
Injektion Piperacillin sodium / tazobactam 40/5 mg/ml
Injektion Magnesium sulfate 100 mg/ml
5 % Glukose 81
Kompatibel
Injektion Piperacillin sodium / tazobactam 40/5 mg/ml
Injektion Mannitol 150 mg/ml
5 % Glukose 81
Kompatibel
Injektion Piperacillin sodium / tazobactam 200 mg/ml
Injektion Meropenem 50 mg/ml
Vand til injektion 4319
Kompatibel
Injektion Piperacillin sodium / tazobactam 40/5 mg/ml
Injektion Mesna 10 mg/ml
5 % Glukose 81
Kompatibel
Injektion Piperacillin sodium / tazobactam 40/5 mg/ml
Injektion Methotrexate sodium 15 mg/ml
5 % Glukose 81
Kompatibel
Injektion Piperacillin sodium / tazobactam 40/5 mg/ml
Injektion Methylprednisolone sodium succinate 5 mg/ml
5 % Glukose 81
Kompatibel
Injektion Piperacillin sodium / tazobactam 40/5 mg/ml
Injektion Metoclopramide hydrochloride 5 mg/ml
5 % Glukose 81
Kompatibel
Injektion Piperacillin sodium / tazobactam 40/5 mg/ml
Injektion Metronidazole 5 mg/ml
5 % Glukose 81
Umiddelbar nedbør Uforenelig
Injektion Piperacillin sodium / tazobactam 40/5 mg/ml
Injektion Minocycline hydrochloride 1 mg/ml
5 % Glukose 81
Farveændring efter 4 timer Uforenelig
Injektion Piperacillin sodium / tazobactam 40/5 mg/ml
Injektion Mitomycin 0.5 mg/ml
5 % Glukose 81
Umiddelbar nedbør Uforenelig
Injektion Piperacillin sodium / tazobactam 40/5 mg/ml
Injektion Mitoxantrone dihydrochloride 0.5 mg/ml
5 % Glukose 81
Kompatibel
Injektion Piperacillin sodium / tazobactam 40/5 mg/ml
Injektion Morphine sulfate 1 mg/ml
5 % Glukose 81
Kompatibel
Injektion Piperacillin sodium / tazobactam
Injektion N-acetylcysteine 200 mg/ml
Ingen 3766
Umiddelbar turbiditet Uforenelig
Injektion Piperacillin sodium / tazobactam 40/5 mg/ml
Injektion Nalbuphine hydrochloride 10 mg/ml
5 % Glukose 81
Kompatibel
Injektion Piperacillin sodium / tazobactam 200 mg/ml
Injektion Naloxone hydrochloride 0.4 mg/ml
Ingen 3408
Kemisk ustabilitet Uforenelig
Injektion Piperacillin sodium / tazobactam
Injektion Netilmicin sulfate
3586
Kompatibel
Injektion Piperacillin sodium / tazobactam 20/2,5 & 40/5 mg/ml
Injektion Ondansetron hydrochloride 0,015 >> 0,15 mg/ml
0,9 % Natriumklorid 16
Kompatibel
Injektion Piperacillin sodium / tazobactam 40/5 mg/ml
Injektion Ondansetron hydrochloride 0.1 mg/ml
5 % Glukose 81
Kompatibel
Injektion Piperacillin sodium / tazobactam 200/25 mg/ml
Injektion Oxycodone hydrochloride 1 mg/ml
0,9 % Natriumklorid 4842
Nedbør efter 1 time Uforenelig
Injektion Piperacillin sodium / tazobactam
Injektion Pantoprazole sodium
2090
Kompatibel
Injektion Piperacillin sodium / tazobactam 100 mg/ml
Injektion Paracetamol 10 mg/ml
Ingen 3571
Kompatibel
Injektion Piperacillin sodium / tazobactam 100 mg/ml
Injektion Paracetamol 10 mg/ml
4742
Kompatibel
Injektion Piperacillin sodium / tazobactam 200 mg/ml
Injektion Pentoxifyllin 5 mg/ml
0,9 % Natriumklorid 4538
Kompatibel
Injektion Piperacillin sodium / tazobactam 40/5 mg/ml
Injektion Pethidine hydrochloride 4 mg/ml
5 % Glukose 81
Kemisk ustabilitet Uforenelig
Injektion Piperacillin sodium / tazobactam
Injektion Plazomicin sulfate
3586
Kompatibel
Injektion Piperacillin sodium / tazobactam 40/5 mg/ml
Injektion Plazomicin sulfate 24 mg/ml
0,9 % Natriumklorid 4145
Umiddelbar nedbør Uforenelig
Injektion Piperacillin sodium / tazobactam 160 mg/ml
Injektion Posaconazole 1,2 mg/ml
0,9 % Natriumklorid 4521
Kompatibel
Injektion Piperacillin sodium / tazobactam 40/5 mg/ml
Injektion Potassium chloride 100 mEq/l
5 % Glukose 81
Umiddelbar turbiditet Uforenelig
Injektion Piperacillin sodium / tazobactam 40/5 mg/ml
Injektion Prochlorperazine edysilate 0.5 mg/ml
5 % Glukose 81
Umiddelbar turbiditet Uforenelig
Injektion Piperacillin sodium / tazobactam 40/5 mg/ml
Injektion Promethazine hydrochloride 2 mg/ml
5 % Glukose 81
Kompatibel
Injektion Piperacillin sodium / tazobactam 40/5 mg/ml
Injektion Ranitidine hydrochloride 2 mg/ml
5 % Glukose 81
Kompatibel
Injektion Piperacillin sodium / tazobactam 40/5 mg/ml
Injektion Remifentanil hydrochloride 25 & 250 µg/ml
0,9 % Natriumklorid 59
Umiddelbar nedbør Uforenelig
Injektion Piperacillin sodium / tazobactam 200 mg/ml
Injektion Salbutamol sulfate 1 mg/ml
Ingen 3216
Kompatibel
Injektion Piperacillin sodium / tazobactam 40/5 mg/ml
Injektion Sargramostim 10 µg/ml
5 % Glukose 81
Kompatibel
Injektion Piperacillin sodium / tazobactam 200 mg/ml
Injektion Sildenafil citrate 0,6 mg/ml
5 % Glukose 4845
Uspecificeret inkompatibilitet Uforenelig
Injektion Piperacillin sodium / tazobactam
Injektion Sodium bicarbonate
3586
Kompatibel
Injektion Piperacillin sodium / tazobactam 40/5 mg/ml
Injektion Sodium bicarbonate 84 mg/ml
5 % Glukose 81
Kemisk ustabilitet Uforenelig
Injektion Piperacillin sodium / tazobactam
Injektion Streptomycin sulfate
3586
Nedbør efter 1 time Uforenelig
Injektion Piperacillin sodium / tazobactam 40/5 mg/ml
Injektion Streptozocin 40 mg/ml
5 % Glukose 81
Kompatibel
Injektion Piperacillin sodium / tazobactam 40/5 mg/ml
Injektion Sulbactam/durlobactam 15/15 mg/ml
0,9 % Natriumklorid 4801
Kompatibel
Injektion Piperacillin sodium / tazobactam 40/5 mg/ml
Injektion Tedizolid phosphate 0.8 mg/ml
0,9 % Natriumklorid 3827
Kompatibel
Injektion Piperacillin sodium / tazobactam 40/5 mg/ml
Injektion Telavancin hydrochloride 7.5 mg/ml
5 % Glukose 3254
Kompatibel
Injektion Piperacillin sodium / tazobactam 40/5 mg/ml
Injektion Telavancin hydrochloride 7.5 mg/ml
0,9 % Natriumklorid 3254
Kompatibel
Injektion Piperacillin sodium / tazobactam 40/5 mg/ml
Injektion Telavancin hydrochloride 7.5 mg/ml
Ringer laktat 3254
Kemisk ustabilitet Uforenelig
Injektion Piperacillin sodium / tazobactam 200 mg/ml
Injektion Temocilline 83.33 mg/ml
Vand til injektion 2231
Uspecificeret inkompatibilitet Uforenelig
Injektion Piperacillin sodium / tazobactam
Injektion Temocilline
4470
Kompatibel
Injektion Piperacillin sodium / tazobactam 166/20.83 mg/ml
Injektion Thiamine hydrochloride 0.4 mg/ml
5 % Glukose 4254
Umiddelbar nedbør Uforenelig
Injektion Piperacillin sodium / tazobactam 200 mg/ml
Injektion Thiopental sodium 25 mg/ml
0,9 % Natriumklorid 3767
Kompatibel
Injektion Piperacillin sodium / tazobactam 40/5 mg/ml
Injektion Thiotepa 1 mg/ml
5 % Glukose 81
Kompatibel
Injektion Piperacillin sodium / tazobactam
Injektion Tigecycline
0,9 % Natriumklorid 3332
Kemisk ustabilitet Uforenelig
Injektion Piperacillin sodium / tazobactam
Injektion Tobramycin sulfate
3586
Umiddelbar nedbør Uforenelig
Injektion Piperacillin sodium / tazobactam 112,5 mg/ml
Injektion Vancomycin hydrochloride 10 mg/ml
5 % Glukose 3428
Kompatibel
Injektion Piperacillin sodium / tazobactam
5 % Glukose 3586
Kompatibel
Injektion Piperacillin sodium / tazobactam
0,9 % Natriumklorid 5069
Umiddelbar nedbør Uforenelig
Injektion Piperacillin sodium / tazobactam 100/12,5 mg/ml
Injektion Vancomycin hydrochloride 10 mg/ml
3365
Umiddelbar nedbør Uforenelig
Injektion Piperacillin sodium / tazobactam 40 >> 100 mg/ml
Injektion Vancomycin hydrochloride 10 mg/ml
0,9 % Natriumklorid 2475
Umiddelbar nedbør Uforenelig
Injektion Piperacillin sodium / tazobactam
Injektion Vancomycin hydrochloride >8 mg/ml
0,9 % Natriumklorid 3841
Kompatibel
Injektion Piperacillin sodium / tazobactam 16 >> 100 mg/ml
Injektion Vancomycin hydrochloride 2 mg/ml
0,9 % Natriumklorid 2475
Kompatibel
Injektion Piperacillin sodium / tazobactam 16 >> 100 mg/ml
Injektion Vancomycin hydrochloride 5 mg/ml
0,9 % Natriumklorid 2475
Kompatibel
Injektion Piperacillin sodium / tazobactam 16 >> 30 mg/ml
Injektion Vancomycin hydrochloride 10 mg/ml
0,9 % Natriumklorid 2475
Kompatibel
Injektion Piperacillin sodium / tazobactam 30/3,75 mg/ml
Injektion Vancomycin hydrochloride 4 mg/ml
0,9 % Natriumklorid 3421
Kompatibel
Injektion Piperacillin sodium / tazobactam 40/5 mg/ml
Injektion Vancomycin hydrochloride 4 mg/ml
0,9 % Natriumklorid 3421
Kompatibel
Injektion Piperacillin sodium / tazobactam 33.75 >> 90 mg/ml
Injektion Vancomycin hydrochloride 4 >> 7 mg/ml
0,9 % Natriumklorid 3841
Umiddelbar nedbør Uforenelig
Injektion Piperacillin sodium / tazobactam 80 & 90 mg/ml
Injektion Vancomycin hydrochloride 8 mg/ml
0,9 % Natriumklorid 3841
Kompatibel
Injektion Piperacillin sodium / tazobactam 33.75 >> 67.5 mg/ml
Injektion Vancomycin hydrochloride 8 mg/ml
0,9 % Natriumklorid 3841
Umiddelbar turbiditet Uforenelig
Injektion Piperacillin sodium / tazobactam 40/5 mg/ml
Injektion Vancomycin hydrochloride 10 mg/ml
5 % Glukose 81
Uspecificeret inkompatibilitet Uforenelig
Injektion Piperacillin sodium / tazobactam 200 mg/ml
Injektion Vancomycin hydrochloride 10 mg/ml
5 % Glukose 3385
Umiddelbar nedbør Uforenelig
Injektion Piperacillin sodium / tazobactam 10/1.25 >> 200/25 mg/ml
Injektion Vancomycin hydrochloride 20 mg/ml
5 % Glukose 1674
Umiddelbar nedbør Uforenelig
Injektion Piperacillin sodium / tazobactam 80 >> 100 mg/ml
Injektion Vancomycin hydrochloride 4 mg/ml
5 % Glukose 2475
Umiddelbar nedbør Uforenelig
Injektion Piperacillin sodium / tazobactam 16 >> 100 mg/ml
Injektion Vancomycin hydrochloride 8 mg/ml
5 % Glukose 2475
Umiddelbar nedbør Uforenelig
Injektion Piperacillin sodium / tazobactam 28 mg/ml
Injektion Vancomycin hydrochloride 10 & 15 mg/ml
5 % Glukose 3984
Umiddelbar nedbør Uforenelig
Injektion Piperacillin sodium / tazobactam 67,5 mg/ml
Injektion Vancomycin hydrochloride 5 mg/ml
5 % Glukose 3960
Kompatibel
Injektion Piperacillin sodium / tazobactam 16 >> 40 mg/ml
Injektion Vancomycin hydrochloride 4 mg/ml
5 % Glukose 2475
Kompatibel
Injektion Piperacillin sodium / tazobactam 28 mg/ml
Injektion Vancomycin hydrochloride 5 mg/ml
5 % Glukose 3984
Kompatibel
Injektion Piperacillin sodium / tazobactam 1/0.125 >> 200/25 mg/ml
Injektion Vancomycin hydrochloride 2 mg/ml
5 % Glukose 1674
Kompatibel
Injektion Piperacillin sodium / tazobactam 1/0.125 mg/ml
Injektion Vancomycin hydrochloride 20 mg/ml
5 % Glukose 1674
Kompatibel
Injektion Piperacillin sodium / tazobactam 112.5 mg/ml
Injektion Vasopressin 0.2 UI/ml
0,9 % Natriumklorid 2017
Kompatibel
Injektion Piperacillin sodium / tazobactam 40/5 mg/ml
Injektion Vinblastine sulfate 0.12 mg/ml
5 % Glukose 81
Kompatibel
Injektion Piperacillin sodium / tazobactam 40/5 mg/ml
Injektion Vincristine sulfate 0.05 mg/ml
5 % Glukose 81
Kompatibel
Injektion Piperacillin sodium / tazobactam 40/5 mg/ml
Injektion Zidovudine 4 mg/ml
5 % Glukose 81
Kompatibel
Injektion Piperacillin sodium / tazobactam 40/5 mg/ml
Normosol® 4655

  Mentions Légales