Последно актуализиране :
27/04/2026
Антибиотик   Piperacillin sodium / tazobactam  
Инжекция/Инжекционен
Стабилност на разтвори Стабилност на смеси Фактори, повлияващи стабилността Съвместимост Път на въвеждане Библиография Pdf
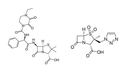
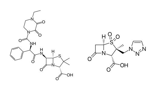
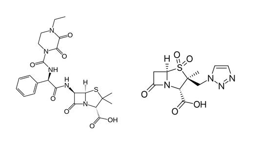
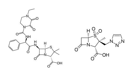
   Химична структура  

Търговско наименование   Търговско наименование     

Търговските имена са примерни и съставът на помощните вещества може да бъде различен в зависимост от държавата и лабораториите

Bagotaz Аржентина
Betampil Еквадор
Bioval Чили
Petezam Аржентина
Piperac Германия
Piperacillin tazobactam Белгия, Германия, Канада
Piperazam Бразилия
Pipetazo Чили
Pipitaz Австрия
Pixamol Колумбия
Tazobac Еквадор, Италия, Португалия, Швейцария
Tazocel Испания
Tazocilline Франция
Tazocin Австралия, Аржентина, Бразилия, Великобритания, Гърция, Дания, Египет, Италия, Колумбия, Люксенбург, Мексико, нова Зеландия, Норвегия, Обединени арабски емирства, Перу, Полша, Северна Ирландия, Турция, Унгария, Финландия, Холандия, Хърватия, Швеция, Южноафриканска република / ЮАР
Tazonam Австрия, Чили
Tazopip Австралия
Tazpen Колумбия, Мексико
Tazrobida Колумбия
Tigux Чили
Tratac Чили
Trital Еквадор
Zosyn Съединени Американски щати / САЩ, Япония
Съвместимост   Инжекция/Инжекционен   Съвместимост : Piperacillin sodium / tazobactam              
Този екран показва съвместимостта или несъвместимостта с, в този случай, вида на несъвместимостта (утаяване, промяна на цвета, модификация на емулсия и др.). Показаните тук съвместимости са предимно физически, като рядко се оценява химическата стабилност на всяка молекула. Оценката на тези смеси беше проучена, за да се разгледа възможността за приложение на Y-място на пациента. Тези данни не могат да се използват за предварително приготвяне на смеси в торбички или спринцовки. Този тип информация е достъпна на екрана "Стабилност в сместа".
Състав / молекула Разтворител Библиография
Валежи след 1 час Несъвместим
Инжекция/Инжекционен Piperacillin sodium / tazobactam 40/5 mg/ml
Инжекция/Инжекционен Aciclovir sodium 7 mg/ml
Glucose 5% 81
съвместим
Инжекция/Инжекционен Piperacillin sodium / tazobactam 40/5 mg/ml
Парентерално хранене (с липиди) 1415
съвместим
Инжекция/Инжекционен Piperacillin sodium / tazobactam 200 mg/ml
Ринтер лактат 4603
съвместим
Инжекция/Инжекционен Piperacillin sodium / tazobactam 80 mg/ml
Парентерално хранене (с липиди) 3948
Химическа нестабилност Несъвместим
Инжекция/Инжекционен Piperacillin sodium / tazobactam
Инжекция/Инжекционен Amikacin sulfate
3586
съвместим
Инжекция/Инжекционен Piperacillin sodium / tazobactam 200 mg/ml
Парентерално хранене (с липиди) 4924
Мътност за 24 часа Несъвместим
Инжекция/Инжекционен Piperacillin sodium / tazobactam 60 mg/ml
Инжекция/Инжекционен Amiodarone hydrochloride 6 mg/ml
Glucose 5% 1611
Незабавни валежи Несъвместим
Инжекция/Инжекционен Piperacillin sodium / tazobactam 40/5 mg/ml
Инжекция/Инжекционен Amphotericin B 0.6 mg/ml
Glucose 5% 81
Незабавни валежи Несъвместим
Инжекция/Инжекционен Piperacillin sodium / tazobactam 40/5 mg/ml
Инжекция/Инжекционен Amphotericin B cholesteryl sulfate complex 0.83 mg/ml
Glucose 5% 921
съвместим
Инжекция/Инжекционен Piperacillin sodium / tazobactam 40/5 mg/ml
Инжекция/Инжекционен Anidulafungin 0.5 mg/ml
Glucose 5% 1982
съвместим
Инжекция/Инжекционен Piperacillin sodium / tazobactam 40/5 mg/ml
Инжекция/Инжекционен Aztreonam 40 mg/ml
Glucose 5% 81
съвместим
Инжекция/Инжекционен Piperacillin sodium / tazobactam 40/5 mg/ml
Инжекция/Инжекционен Bivalirudin 5 mg/ml
Glucose 5% 1713
съвместим
Инжекция/Инжекционен Piperacillin sodium / tazobactam 40/5 mg/ml
Инжекция/Инжекционен Bleomycin sulfate 1 mg/ml
Glucose 5% 81
съвместим
Инжекция/Инжекционен Piperacillin sodium / tazobactam 200 mg/ml
Инжекция/Инжекционен Caffeine 10 mg/ml
Няма 3964
съвместим
Инжекция/Инжекционен Piperacillin sodium / tazobactam 40/5 mg/ml
Инжекция/Инжекционен Carboplatin 5 mg/ml
Glucose 5% 81
съвместим
Инжекция/Инжекционен Piperacillin sodium / tazobactam 40/5 mg/ml
Инжекция/Инжекционен Carmustine 1.5 mg/ml
Glucose 5% 81
съвместим
Инжекция/Инжекционен Piperacillin sodium / tazobactam 40/5 mg/ml
Инжекция/Инжекционен Ceftolozane / tazobactam 10/5 mg/ml
Sodium chloride 0,9% 3828
Незабавна мътност Несъвместим
Инжекция/Инжекционен Piperacillin sodium / tazobactam 40/5 mg/ml
Инжекция/Инжекционен Chlorpromazine hydrochloride 2 mg/ml
Glucose 5% 81
съвместим
Инжекция/Инжекционен Piperacillin sodium / tazobactam 40/5 mg/ml
Инжекция/Инжекционен Cisatracurium besylate 0.1 & 2 mg/ml
Glucose 5% 299
Валежи след 1 час Несъвместим
Инжекция/Инжекционен Piperacillin sodium / tazobactam 40/5 mg/ml
Инжекция/Инжекционен Cisplatin 1 mg/ml
Glucose 5% 81
съвместим
Инжекция/Инжекционен Piperacillin sodium / tazobactam 40/5 mg/ml
Инжекция/Инжекционен Clindamycin phosphate 10 mg/ml
Glucose 5% 81
съвместим
Инжекция/Инжекционен Piperacillin sodium / tazobactam 40/5 mg/ml
Инжекция/Инжекционен Co-trimoxazole 0.8/4 mg/ml
Glucose 5% 81
съвместим
Инжекция/Инжекционен Piperacillin sodium / tazobactam 40/0.5 mg/ml
Инжекция/Инжекционен Colistin mesilate sodium 1.5 mg/ml
Sodium chloride 0,9% 3997
съвместим
Инжекция/Инжекционен Piperacillin sodium / tazobactam 40/5 mg/ml
Инжекция/Инжекционен Cyclophosphamide 10 mg/ml
Glucose 5% 81
съвместим
Инжекция/Инжекционен Piperacillin sodium / tazobactam 40/5 mg/ml
Инжекция/Инжекционен Cytarabine 50 mg/ml
Glucose 5% 81
Незабавни валежи Несъвместим
Инжекция/Инжекционен Piperacillin sodium / tazobactam 40/5 mg/ml
Инжекция/Инжекционен Dacarbazine 4 mg/ml
Glucose 5% 81
Незабавна мътност Несъвместим
Инжекция/Инжекционен Piperacillin sodium / tazobactam 40/5 mg/ml
Инжекция/Инжекционен Daunorubicin hydrochloride 1 mg/ml
Glucose 5% 81
Незабавна мътност Несъвместим
Инжекция/Инжекционен Piperacillin sodium / tazobactam
Инжекция/Инжекционен Daunorubicin/cytarabine liposomale 0,4 mg/mL
Sodium chloride 0,9% 4654
Незабавна мътност Несъвместим
Инжекция/Инжекционен Piperacillin sodium / tazobactam 40/5 mg/ml
Инжекция/Инжекционен Dobutamine hydrochloride 4 mg/ml
Glucose 5% 81
съвместим
Инжекция/Инжекционен Piperacillin sodium / tazobactam 40/5 mg/ml
Инжекция/Инжекционен Docetaxel 0.9 mg/ml
Glucose 5% 1754
Незабавна мътност Несъвместим
Инжекция/Инжекционен Piperacillin sodium / tazobactam 40/5 mg/ml
Инжекция/Инжекционен Doxorubicin hydrochloride 2 mg/ml
Glucose 5% 81
Незабавна мътност Несъвместим
Инжекция/Инжекционен Piperacillin sodium / tazobactam 40/5 mg/ml
Инжекция/Инжекционен Doxycycline hyclate 1 mg/ml
Glucose 5% 81
Незабавни валежи Несъвместим
Инжекция/Инжекционен Piperacillin sodium / tazobactam 40/5 mg/ml
Инжекция/Инжекционен Droperidol 0.4 mg/ml
Glucose 5% 81
съвместим
Инжекция/Инжекционен Piperacillin sodium / tazobactam 40/5 mg/ml
Инжекция/Инжекционен Etoposide 0.4 mg/ml
Glucose 5% 81
съвместим
Инжекция/Инжекционен Piperacillin sodium / tazobactam 40/5 mg/ml
Инжекция/Инжекционен Etoposide phosphate 5 mg/ml
Sodium chloride 0,9% 1410
Незабавни валежи Несъвместим
Инжекция/Инжекционен Piperacillin sodium / tazobactam 40/5 mg/ml
Инжекция/Инжекционен Famotidine 2 mg/ml
Glucose 5% 81
съвместим
Инжекция/Инжекционен Piperacillin sodium / tazobactam 40/5 mg/ml
Инжекция/Инжекционен Fenoldopam mesylate 80 µg/ml
Sodium chloride 0,9% 1803
съвместим
Инжекция/Инжекционен Piperacillin sodium / tazobactam 40/5 mg/ml
Инжекция/Инжекционен Floxuridine 3 mg/ml
Glucose 5% 81
съвместим
Инжекция/Инжекционен Piperacillin sodium / tazobactam 40/5 mg/ml
Инжекция/Инжекционен Fluconazole 2 mg/ml
Glucose 5% 81
съвместим
Инжекция/Инжекционен Piperacillin sodium / tazobactam 40/5 mg/ml
Инжекция/Инжекционен Fludarabine phosphate 1 mg/ml
Glucose 5% 81
съвместим
Инжекция/Инжекционен Piperacillin sodium / tazobactam 40/5 mg/ml
Инжекция/Инжекционен Fluorouracil 16 mg/ml
Glucose 5% 81
съвместим
Инжекция/Инжекционен Piperacillin sodium / tazobactam 40/5 mg/ml
Инжекция/Инжекционен Fosfomycin 30 mg/ml
Sodium chloride 0,9% 4055
Валежи след 1 час Несъвместим
Инжекция/Инжекционен Piperacillin sodium / tazobactam 40/5 mg/ml
Инжекция/Инжекционен Ganciclovir sodium 20 mg/ml
Glucose 5% 81
Химическа нестабилност Несъвместим
Инжекция/Инжекционен Piperacillin sodium / tazobactam
Инжекция/Инжекционен Gentamicin sulfate
3586
съвместим
Инжекция/Инжекционен Piperacillin sodium / tazobactam 40/5 mg/ml
Инжекция/Инжекционен Granisetron hydrochloride 0.05 mg/ml
Glucose 5% 182
Незабавни валежи Несъвместим
Инжекция/Инжекционен Piperacillin sodium / tazobactam 40/5 mg/ml
Инжекция/Инжекционен Haloperidol lactate 0.2 mg/ml
Glucose 5% 81
Неопределена несъвместимост Несъвместим
Инжекция/Инжекционен Piperacillin sodium / tazobactam
Ринтер лактат 3586
Неопределена несъвместимост Несъвместим
Инжекция/Инжекционен Piperacillin sodium / tazobactam
Инжекция/Инжекционен Aciclovir sodium
3595
Химическа нестабилност Несъвместим
Инжекция/Инжекционен Piperacillin sodium / tazobactam
Инжекция/Инжекционен Amikacin sulfate
3549
съвместим
Инжекция/Инжекционен Piperacillin sodium / tazobactam 40/5 mg/ml
Инжекция/Инжекционен Aminophylline 2.5 mg/ml
Glucose 5% 81
съвместим
Инжекция/Инжекционен Piperacillin sodium / tazobactam 100 mg/ml
Инжекция/Инжекционен Amoxicillin sodium / clavulanic acid 100/10 mg/ml
3824
Незабавни валежи Несъвместим
Инжекция/Инжекционен Piperacillin sodium / tazobactam 112.5 mg/ml
Инжекция/Инжекционен Azithromycine 2 mg/ml
Sodium chloride 0,9% 1800
съвместим
Инжекция/Инжекционен Piperacillin sodium / tazobactam 40/5 mg/ml
Инжекция/Инжекционен Bumetanide 0.04 mg/ml
Glucose 5% 81
съвместим
Инжекция/Инжекционен Piperacillin sodium / tazobactam 40/5 mg/ml
Инжекция/Инжекционен Buprenorphine hydrochloride 0.04 mg/ml
Glucose 5% 81
съвместим
Инжекция/Инжекционен Piperacillin sodium / tazobactam 40/5 mg/ml
Инжекция/Инжекционен Butorphanol tartrate 0.04 mg/ml
Glucose 5% 81
съвместим
Инжекция/Инжекционен Piperacillin sodium / tazobactam 200 mg/ml
Инжекция/Инжекционен Caffeine 10 mg/ml
Вода за инжекции 4837
съвместим
Инжекция/Инжекционен Piperacillin sodium / tazobactam 200 mg/ml
Инжекция/Инжекционен Caffeine citrate 20 mg/ml
Вода за инжекции 4837
съвместим
Инжекция/Инжекционен Piperacillin sodium / tazobactam 40/5 mg/ml
Инжекция/Инжекционен Calcium gluconate 40 mg/ml
Glucose 5% 81
Незабавни валежи Несъвместим
Инжекция/Инжекционен Piperacillin sodium / tazobactam 90 mg/ml
Инжекция/Инжекционен Caspofungin acetate 0.5 mg/ml
Sodium chloride 0,9% 2233
Незабавни валежи Несъвместим
Инжекция/Инжекционен Piperacillin sodium / tazobactam 40/5 mg/ml
Инжекция/Инжекционен Caspofungin acetate 0,7 mg/ml
Sodium chloride 0,9% 2247
съвместим
Инжекция/Инжекционен Piperacillin sodium / tazobactam 40/5 mg/ml
Инжекция/Инжекционен Ceftolozane / tazobactam 10/5 mg/ml
Glucose 5% 3828
съвместим
Инжекция/Инжекционен Piperacillin sodium / tazobactam 40/5 mg/ml
Инжекция/Инжекционен Cimetidine hydrochloride 12 mg/ml
Glucose 5% 81
Неопределена несъвместимост Несъвместим
Инжекция/Инжекционен Piperacillin sodium / tazobactam
Инжекция/Инжекционен Ciprofloxacin lactate
3529
Валежи след 4 часа Несъвместим
Инжекция/Инжекционен Piperacillin sodium / tazobactam 40/5 mg/ml
Инжекция/Инжекционен Cisatracurium besylate 5 mg/ml
Glucose 5% 299
съвместим
Инжекция/Инжекционен Piperacillin sodium / tazobactam 225 mg/ml
Инжекция/Инжекционен Cloxacillin sodium 100 mg/ml
Вода за инжекции 3012
Субизуална несъвместимост Несъвместим
Инжекция/Инжекционен Piperacillin sodium / tazobactam
Инжекция/Инжекционен Daunorubicin/cytarabine liposomale
4354
съвместим
Инжекция/Инжекционен Piperacillin sodium / tazobactam 40/5 mg/ml
Инжекция/Инжекционен Dexamethasone sodium phosphate 1 mg/ml
Glucose 5% 81
съвместим
Инжекция/Инжекционен Piperacillin sodium / tazobactam 40/5 mg/ml
Инжекция/Инжекционен Dexmedetomidine 4 µg/ml
Sodium chloride 0,9% 1712
съвместим
Инжекция/Инжекционен Piperacillin sodium / tazobactam
Инжекция/Инжекционен Dimenhydrinate
2087
съвместим
Инжекция/Инжекционен Piperacillin sodium / tazobactam 40/5 mg/ml
Инжекция/Инжекционен Diphenhydramine hydrochloride 2 mg/ml
Glucose 5% 81
съвместим
Инжекция/Инжекционен Piperacillin sodium / tazobactam 40/5 mg/ml
Инжекция/Инжекционен Dopamine hydrochloride 3.2 mg/ml
Glucose 5% 81
Загуба на мътност Несъвместим
Инжекция/Инжекционен Piperacillin sodium / tazobactam 40/5 mg/ml
Инжекция/Инжекционен Doxorubicin hydrochloride liposome peg 0.4 mg/ml
Glucose 5% 251
съвместим
Инжекция/Инжекционен Piperacillin sodium / tazobactam 40/5 mg/ml
Инжекция/Инжекционен Enalaprilate 0.1 mg/ml
Glucose 5% 81
съвместим
Инжекция/Инжекционен Piperacillin sodium / tazobactam 40/5 mg/ml
Инжекция/Инжекционен Eravacycline 0,6 mg/ml
Sodium chloride 0,9% 4434
Неопределена несъвместимост Несъвместим
Инжекция/Инжекционен Piperacillin sodium / tazobactam
Инжекция/Инжекционен Erythromycin lactobionate
3674
съвместим
Инжекция/Инжекционен Piperacillin sodium / tazobactam 40/5 mg/ml
Инжекция/Инжекционен Folinate calcium 2 mg/ml
Glucose 5% 81
съвместим
Инжекция/Инжекционен Piperacillin sodium / tazobactam 40/5 mg/ml
Инжекция/Инжекционен Fosfomycin 30 mg/ml
Glucose 5% 4055
съвместим
Инжекция/Инжекционен Piperacillin sodium / tazobactam 40/5 mg/ml
Инжекция/Инжекционен Furosemide 3 mg/ml
Glucose 5% 81
съвместим
Инжекция/Инжекционен Piperacillin sodium / tazobactam 40/5 mg/ml
Инжекция/Инжекционен Gallium nitrate 0.4 mg/ml
Glucose 5% 81
Незабавна мътност Несъвместим
Инжекция/Инжекционен Piperacillin sodium / tazobactam 40/5 mg/ml
Инжекция/Инжекционен Gemcitabine hydrochloride 10 mg/ml
Sodium chloride 0,9% 1423
Неопределена несъвместимост Несъвместим
Инжекция/Инжекционен Piperacillin sodium / tazobactam
Инжекция/Инжекционен Gentamicin sulfate
3520
Неопределена несъвместимост Несъвместим
Инжекция/Инжекционен Piperacillin sodium / tazobactam
Инжекция/Инжекционен Gentamicin sulfate
3643
съвместим
Инжекция/Инжекционен Piperacillin sodium / tazobactam 0.5/0.0625 mg/ml
Инжекция/Инжекционен Heparin sodium 0.5 UI/ml
Dianéal® 1.5% glucose (Baxter) 4180
съвместим
Инжекция/Инжекционен Piperacillin sodium / tazobactam 0.5/0.0625 mg/ml
Инжекция/Инжекционен Heparin sodium 0.5 UI/ml
Extraneal® (Baxter) 4180
съвместим
Инжекция/Инжекционен Piperacillin sodium / tazobactam 1.38/0.1725 mg/ml
Инжекция/Инжекционен Heparin sodium 1.4 UI/ml
Physionéal® 2.27 (Baxter) 4180
съвместим
Инжекция/Инжекционен Piperacillin sodium / tazobactam 0.5/0.0625 mg/ml
Инжекция/Инжекционен Heparin sodium 0.5 UI/ml
Dianéal® 4.25% glucose (Baxter) 4180
съвместим
Инжекция/Инжекционен Piperacillin sodium / tazobactam 1.38/0.1725 mg/ml
Инжекция/Инжекционен Heparin sodium 1.4 UI/ml
Physionéal® 3.86 (Baxter) 4180
съвместим
Инжекция/Инжекционен Piperacillin sodium / tazobactam 1.38/0.1725 mg/ml
Инжекция/Инжекционен Heparin sodium 1.4 UI/ml
Physionéal® 1.36 (Baxter) 4180
съвместим
Инжекция/Инжекционен Piperacillin sodium / tazobactam 0.5/0.0625 mg/ml
Инжекция/Инжекционен Heparin sodium 0.5 UI/ml
Dianéal® 2.5% glucose (Baxter) 4180
съвместим
Инжекция/Инжекционен Piperacillin sodium / tazobactam 40/5 mg/ml
Инжекция/Инжекционен Heparin sodium 100 UI/ml
Glucose 5% 81
съвместим
Инжекция/Инжекционен Piperacillin sodium / tazobactam 40/5 mg/ml
Инжекция/Инжекционен Hetastarch 60 mg/ml
Специфична разтворител 1721
съвместим
Инжекция/Инжекционен Piperacillin sodium / tazobactam 40/5 mg/ml
Инжекция/Инжекционен Hydrocortisone sodium succinate 1 mg/ml
Glucose 5% 81
съвместим
Инжекция/Инжекционен Piperacillin sodium / tazobactam 40/5 mg/ml
Инжекция/Инжекционен Hydromorphone hydrochloride 0.5 mg/ml
Glucose 5% 81
Незабавни валежи Несъвместим
Инжекция/Инжекционен Piperacillin sodium / tazobactam 40/5 mg/ml
Инжекция/Инжекционен Hydroxyzine dihydrochloride 4 mg/ml
Glucose 5% 81
Незабавна мътност Несъвместим
Инжекция/Инжекционен Piperacillin sodium / tazobactam 40/5 mg/ml
Инжекция/Инжекционен Idarubicin hydrochloride 0.5 mg/ml
Glucose 5% 81
съвместим
Инжекция/Инжекционен Piperacillin sodium / tazobactam 40/5 mg/ml
Инжекция/Инжекционен Ifosfamide 25 mg/ml
Glucose 5% 81
съвместим
Инжекция/Инжекционен Piperacillin sodium / tazobactam 166/20.83 mg/ml
Инжекция/Инжекционен Insulin 1 UI/ml
Sodium chloride 0,9% 4254
съвместим
Инжекция/Инжекционен Piperacillin sodium / tazobactam 45 mg/ml
Инжекция/Инжекционен Insulin aspart 1 UI/ml
Sodium chloride 0,9% 1508
съвместим
Инжекция/Инжекционен Piperacillin sodium / tazobactam 45 mg/ml
Инжекция/Инжекционен Insulin aspart 1 UI/ml
Glucose 5% 1508
съвместим
Инжекция/Инжекционен Piperacillin sodium / tazobactam 40/5 mg/ml
Инжекция/Инжекционен Isavuconazonium sulfate 1.5 mg/ml
Sodium chloride 0,9% 3829
съвместим
Инжекция/Инжекционен Piperacillin sodium / tazobactam 40/5 mg/ml
Инжекция/Инжекционен Lansoprazole 0.55 mg/ml
Sodium chloride 0,9% 1625
съвместим
Инжекция/Инжекционен Piperacillin sodium / tazobactam 166/20.83 mg/ml
Инжекция/Инжекционен Levetiracetam 20.83 mg/ml
Glucose 5% 4254
съвместим
Инжекция/Инжекционен Piperacillin sodium / tazobactam 166/20.83 mg/ml
Инжекция/Инжекционен Levetiracetam 20.83 mg/ml
Sodium chloride 0,9% 4254
съвместим
Инжекция/Инжекционен Piperacillin sodium / tazobactam 80 mg/ml
Парентерално хранене (липидите безплатно) 3948
съвместим
Инжекция/Инжекционен Piperacillin sodium / tazobactam 166/20.83 mg/ml
Инжекция/Инжекционен Insulin 1 UI/ml
Glucose 5% 4254
съвместим
Инжекция/Инжекционен Piperacillin sodium / tazobactam 33,75 mg/ml
Инжекция/Инжекционен Levetiracetam 5 mg/ml
Sodium chloride 0,9% 4569
съвместим
Инжекция/Инжекционен Piperacillin sodium / tazobactam 40/5 mg/ml
Парентерално хранене (липидите безплатно) 301
Незабавна мътност Несъвместим
Инжекция/Инжекционен Piperacillin sodium / tazobactam 40/5 mg/ml
Инжекция/Инжекционен Isavuconazonium sulfate 1.5 mg/ml
Glucose 5% 3829
Неопределена несъвместимост Несъвместим
Инжекция/Инжекционен Piperacillin sodium / tazobactam
NaHCO3 3586
Химическа нестабилност Несъвместим
Инжекция/Инжекционен Piperacillin sodium / tazobactam
Инжекция/Инжекционен Kanamycin sulfate
3586
съвместим
Инжекция/Инжекционен Piperacillin sodium / tazobactam 200 mg/ml
Инжекция/Инжекционен Ketamine hydrochloride 50 mg/ml
2109
Субизуална несъвместимост Несъвместим
Инжекция/Инжекционен Piperacillin sodium / tazobactam 45 mg/ml
Инжекция/Инжекционен Levetiracetam 5 mg/ml
Sodium chloride 0,9% 4569
съвместим
Инжекция/Инжекционен Piperacillin sodium / tazobactam 125 mg/ml
Инжекция/Инжекционен Linezolid 2 mg/ml
4928
съвместим
Инжекция/Инжекционен Piperacillin sodium / tazobactam 40/5 mg/ml
Инжекция/Инжекционен Linezolid 2 mg/ml
Няма 1925
съвместим
Инжекция/Инжекционен Piperacillin sodium / tazobactam 40/5 mg/ml
Инжекция/Инжекционен Lorazepam 0.1 mg/ml
Glucose 5% 81
съвместим
Инжекция/Инжекционен Piperacillin sodium / tazobactam 40/5 mg/ml
Инжекция/Инжекционен Magnesium sulfate 100 mg/ml
Glucose 5% 81
съвместим
Инжекция/Инжекционен Piperacillin sodium / tazobactam 40/5 mg/ml
Инжекция/Инжекционен Mannitol 150 mg/ml
Glucose 5% 81
съвместим
Инжекция/Инжекционен Piperacillin sodium / tazobactam 200 mg/ml
Инжекция/Инжекционен Meropenem 50 mg/ml
Вода за инжекции 4319
съвместим
Инжекция/Инжекционен Piperacillin sodium / tazobactam 40/5 mg/ml
Инжекция/Инжекционен Mesna 10 mg/ml
Glucose 5% 81
съвместим
Инжекция/Инжекционен Piperacillin sodium / tazobactam 40/5 mg/ml
Инжекция/Инжекционен Methotrexate sodium 15 mg/ml
Glucose 5% 81
съвместим
Инжекция/Инжекционен Piperacillin sodium / tazobactam 40/5 mg/ml
Инжекция/Инжекционен Methylprednisolone sodium succinate 5 mg/ml
Glucose 5% 81
съвместим
Инжекция/Инжекционен Piperacillin sodium / tazobactam 40/5 mg/ml
Инжекция/Инжекционен Metoclopramide hydrochloride 5 mg/ml
Glucose 5% 81
съвместим
Инжекция/Инжекционен Piperacillin sodium / tazobactam 40/5 mg/ml
Инжекция/Инжекционен Metronidazole 5 mg/ml
Glucose 5% 81
Незабавни валежи Несъвместим
Инжекция/Инжекционен Piperacillin sodium / tazobactam 40/5 mg/ml
Инжекция/Инжекционен Minocycline hydrochloride 1 mg/ml
Glucose 5% 81
Промяна на цвета след 4 часа Несъвместим
Инжекция/Инжекционен Piperacillin sodium / tazobactam 40/5 mg/ml
Инжекция/Инжекционен Mitomycin 0.5 mg/ml
Glucose 5% 81
Незабавни валежи Несъвместим
Инжекция/Инжекционен Piperacillin sodium / tazobactam 40/5 mg/ml
Инжекция/Инжекционен Mitoxantrone dihydrochloride 0.5 mg/ml
Glucose 5% 81
съвместим
Инжекция/Инжекционен Piperacillin sodium / tazobactam 40/5 mg/ml
Инжекция/Инжекционен Morphine sulfate 1 mg/ml
Glucose 5% 81
съвместим
Инжекция/Инжекционен Piperacillin sodium / tazobactam
Инжекция/Инжекционен N-acetylcysteine 200 mg/ml
Няма 3766
Незабавна мътност Несъвместим
Инжекция/Инжекционен Piperacillin sodium / tazobactam 40/5 mg/ml
Инжекция/Инжекционен Nalbuphine hydrochloride 10 mg/ml
Glucose 5% 81
съвместим
Инжекция/Инжекционен Piperacillin sodium / tazobactam 200 mg/ml
Инжекция/Инжекционен Naloxone hydrochloride 0.4 mg/ml
Няма 3408
Химическа нестабилност Несъвместим
Инжекция/Инжекционен Piperacillin sodium / tazobactam
Инжекция/Инжекционен Netilmicin sulfate
3586
съвместим
Инжекция/Инжекционен Piperacillin sodium / tazobactam 20/2,5 & 40/5 mg/ml
Инжекция/Инжекционен Ondansetron hydrochloride 0,015 >> 0,15 mg/ml
Sodium chloride 0,9% 16
съвместим
Инжекция/Инжекционен Piperacillin sodium / tazobactam 40/5 mg/ml
Инжекция/Инжекционен Ondansetron hydrochloride 0.1 mg/ml
Glucose 5% 81
съвместим
Инжекция/Инжекционен Piperacillin sodium / tazobactam 200/25 mg/ml
Инжекция/Инжекционен Oxycodone hydrochloride 1 mg/ml
Sodium chloride 0,9% 4842
Валежи след 1 час Несъвместим
Инжекция/Инжекционен Piperacillin sodium / tazobactam
Инжекция/Инжекционен Pantoprazole sodium
2090
съвместим
Инжекция/Инжекционен Piperacillin sodium / tazobactam 100 mg/ml
Инжекция/Инжекционен Paracetamol 10 mg/ml
Няма 3571
съвместим
Инжекция/Инжекционен Piperacillin sodium / tazobactam 100 mg/ml
Инжекция/Инжекционен Paracetamol 10 mg/ml
4742
съвместим
Инжекция/Инжекционен Piperacillin sodium / tazobactam 200 mg/ml
Инжекция/Инжекционен Pentoxifyllin 5 mg/ml
Sodium chloride 0,9% 4538
съвместим
Инжекция/Инжекционен Piperacillin sodium / tazobactam 40/5 mg/ml
Инжекция/Инжекционен Pethidine hydrochloride 4 mg/ml
Glucose 5% 81
Химическа нестабилност Несъвместим
Инжекция/Инжекционен Piperacillin sodium / tazobactam
Инжекция/Инжекционен Plazomicin sulfate
3586
съвместим
Инжекция/Инжекционен Piperacillin sodium / tazobactam 40/5 mg/ml
Инжекция/Инжекционен Plazomicin sulfate 24 mg/ml
Sodium chloride 0,9% 4145
Незабавни валежи Несъвместим
Инжекция/Инжекционен Piperacillin sodium / tazobactam 160 mg/ml
Инжекция/Инжекционен Posaconazole 1,2 mg/ml
Sodium chloride 0,9% 4521
съвместим
Инжекция/Инжекционен Piperacillin sodium / tazobactam 40/5 mg/ml
Инжекция/Инжекционен Potassium chloride 100 mEq/l
Glucose 5% 81
Незабавна мътност Несъвместим
Инжекция/Инжекционен Piperacillin sodium / tazobactam 40/5 mg/ml
Инжекция/Инжекционен Prochlorperazine edysilate 0.5 mg/ml
Glucose 5% 81
Незабавна мътност Несъвместим
Инжекция/Инжекционен Piperacillin sodium / tazobactam 40/5 mg/ml
Инжекция/Инжекционен Promethazine hydrochloride 2 mg/ml
Glucose 5% 81
съвместим
Инжекция/Инжекционен Piperacillin sodium / tazobactam 40/5 mg/ml
Инжекция/Инжекционен Ranitidine hydrochloride 2 mg/ml
Glucose 5% 81
съвместим
Инжекция/Инжекционен Piperacillin sodium / tazobactam 40/5 mg/ml
Инжекция/Инжекционен Remifentanil hydrochloride 25 & 250 µg/ml
Sodium chloride 0,9% 59
Незабавни валежи Несъвместим
Инжекция/Инжекционен Piperacillin sodium / tazobactam 200 mg/ml
Инжекция/Инжекционен Salbutamol sulfate 1 mg/ml
Няма 3216
съвместим
Инжекция/Инжекционен Piperacillin sodium / tazobactam 40/5 mg/ml
Инжекция/Инжекционен Sargramostim 10 µg/ml
Glucose 5% 81
съвместим
Инжекция/Инжекционен Piperacillin sodium / tazobactam 200 mg/ml
Инжекция/Инжекционен Sildenafil citrate 0,6 mg/ml
Glucose 5% 4845
Неопределена несъвместимост Несъвместим
Инжекция/Инжекционен Piperacillin sodium / tazobactam
Инжекция/Инжекционен Sodium bicarbonate
3586
съвместим
Инжекция/Инжекционен Piperacillin sodium / tazobactam 40/5 mg/ml
Инжекция/Инжекционен Sodium bicarbonate 84 mg/ml
Glucose 5% 81
Химическа нестабилност Несъвместим
Инжекция/Инжекционен Piperacillin sodium / tazobactam
Инжекция/Инжекционен Streptomycin sulfate
3586
Валежи след 1 час Несъвместим
Инжекция/Инжекционен Piperacillin sodium / tazobactam 40/5 mg/ml
Инжекция/Инжекционен Streptozocin 40 mg/ml
Glucose 5% 81
съвместим
Инжекция/Инжекционен Piperacillin sodium / tazobactam 40/5 mg/ml
Инжекция/Инжекционен Sulbactam/durlobactam 15/15 mg/ml
Sodium chloride 0,9% 4801
съвместим
Инжекция/Инжекционен Piperacillin sodium / tazobactam 40/5 mg/ml
Инжекция/Инжекционен Tedizolid phosphate 0.8 mg/ml
Sodium chloride 0,9% 3827
съвместим
Инжекция/Инжекционен Piperacillin sodium / tazobactam 40/5 mg/ml
Инжекция/Инжекционен Telavancin hydrochloride 7.5 mg/ml
Glucose 5% 3254
съвместим
Инжекция/Инжекционен Piperacillin sodium / tazobactam 40/5 mg/ml
Инжекция/Инжекционен Telavancin hydrochloride 7.5 mg/ml
Sodium chloride 0,9% 3254
съвместим
Инжекция/Инжекционен Piperacillin sodium / tazobactam 40/5 mg/ml
Инжекция/Инжекционен Telavancin hydrochloride 7.5 mg/ml
Ринтер лактат 3254
Химическа нестабилност Несъвместим
Инжекция/Инжекционен Piperacillin sodium / tazobactam 200 mg/ml
Инжекция/Инжекционен Temocilline 83.33 mg/ml
Вода за инжекции 2231
Неопределена несъвместимост Несъвместим
Инжекция/Инжекционен Piperacillin sodium / tazobactam
Инжекция/Инжекционен Temocilline
4470
съвместим
Инжекция/Инжекционен Piperacillin sodium / tazobactam 166/20.83 mg/ml
Инжекция/Инжекционен Thiamine hydrochloride 0.4 mg/ml
Glucose 5% 4254
Незабавни валежи Несъвместим
Инжекция/Инжекционен Piperacillin sodium / tazobactam 200 mg/ml
Инжекция/Инжекционен Thiopental sodium 25 mg/ml
Sodium chloride 0,9% 3767
съвместим
Инжекция/Инжекционен Piperacillin sodium / tazobactam 40/5 mg/ml
Инжекция/Инжекционен Thiotepa 1 mg/ml
Glucose 5% 81
съвместим
Инжекция/Инжекционен Piperacillin sodium / tazobactam
Инжекция/Инжекционен Tigecycline
Sodium chloride 0,9% 3332
Химическа нестабилност Несъвместим
Инжекция/Инжекционен Piperacillin sodium / tazobactam
Инжекция/Инжекционен Tobramycin sulfate
3586
Незабавни валежи Несъвместим
Инжекция/Инжекционен Piperacillin sodium / tazobactam 112,5 mg/ml
Инжекция/Инжекционен Vancomycin hydrochloride 10 mg/ml
Glucose 5% 3428
съвместим
Инжекция/Инжекционен Piperacillin sodium / tazobactam
Glucose 5% 3586
съвместим
Инжекция/Инжекционен Piperacillin sodium / tazobactam
Sodium chloride 0,9% 5069
Незабавни валежи Несъвместим
Инжекция/Инжекционен Piperacillin sodium / tazobactam 100/12,5 mg/ml
Инжекция/Инжекционен Vancomycin hydrochloride 10 mg/ml
3365
Незабавни валежи Несъвместим
Инжекция/Инжекционен Piperacillin sodium / tazobactam 40 >> 100 mg/ml
Инжекция/Инжекционен Vancomycin hydrochloride 10 mg/ml
Sodium chloride 0,9% 2475
Незабавни валежи Несъвместим
Инжекция/Инжекционен Piperacillin sodium / tazobactam
Инжекция/Инжекционен Vancomycin hydrochloride >8 mg/ml
Sodium chloride 0,9% 3841
съвместим
Инжекция/Инжекционен Piperacillin sodium / tazobactam 16 >> 100 mg/ml
Инжекция/Инжекционен Vancomycin hydrochloride 2 mg/ml
Sodium chloride 0,9% 2475
съвместим
Инжекция/Инжекционен Piperacillin sodium / tazobactam 16 >> 100 mg/ml
Инжекция/Инжекционен Vancomycin hydrochloride 5 mg/ml
Sodium chloride 0,9% 2475
съвместим
Инжекция/Инжекционен Piperacillin sodium / tazobactam 16 >> 30 mg/ml
Инжекция/Инжекционен Vancomycin hydrochloride 10 mg/ml
Sodium chloride 0,9% 2475
съвместим
Инжекция/Инжекционен Piperacillin sodium / tazobactam 30/3,75 mg/ml
Инжекция/Инжекционен Vancomycin hydrochloride 4 mg/ml
Sodium chloride 0,9% 3421
съвместим
Инжекция/Инжекционен Piperacillin sodium / tazobactam 40/5 mg/ml
Инжекция/Инжекционен Vancomycin hydrochloride 4 mg/ml
Sodium chloride 0,9% 3421
съвместим
Инжекция/Инжекционен Piperacillin sodium / tazobactam 33.75 >> 90 mg/ml
Инжекция/Инжекционен Vancomycin hydrochloride 4 >> 7 mg/ml
Sodium chloride 0,9% 3841
Незабавни валежи Несъвместим
Инжекция/Инжекционен Piperacillin sodium / tazobactam 80 & 90 mg/ml
Инжекция/Инжекционен Vancomycin hydrochloride 8 mg/ml
Sodium chloride 0,9% 3841
съвместим
Инжекция/Инжекционен Piperacillin sodium / tazobactam 33.75 >> 67.5 mg/ml
Инжекция/Инжекционен Vancomycin hydrochloride 8 mg/ml
Sodium chloride 0,9% 3841
Незабавна мътност Несъвместим
Инжекция/Инжекционен Piperacillin sodium / tazobactam 40/5 mg/ml
Инжекция/Инжекционен Vancomycin hydrochloride 10 mg/ml
Glucose 5% 81
Неопределена несъвместимост Несъвместим
Инжекция/Инжекционен Piperacillin sodium / tazobactam 200 mg/ml
Инжекция/Инжекционен Vancomycin hydrochloride 10 mg/ml
Glucose 5% 3385
Незабавни валежи Несъвместим
Инжекция/Инжекционен Piperacillin sodium / tazobactam 10/1.25 >> 200/25 mg/ml
Инжекция/Инжекционен Vancomycin hydrochloride 20 mg/ml
Glucose 5% 1674
Незабавни валежи Несъвместим
Инжекция/Инжекционен Piperacillin sodium / tazobactam 80 >> 100 mg/ml
Инжекция/Инжекционен Vancomycin hydrochloride 4 mg/ml
Glucose 5% 2475
Незабавни валежи Несъвместим
Инжекция/Инжекционен Piperacillin sodium / tazobactam 16 >> 100 mg/ml
Инжекция/Инжекционен Vancomycin hydrochloride 8 mg/ml
Glucose 5% 2475
Незабавни валежи Несъвместим
Инжекция/Инжекционен Piperacillin sodium / tazobactam 28 mg/ml
Инжекция/Инжекционен Vancomycin hydrochloride 10 & 15 mg/ml
Glucose 5% 3984
Незабавни валежи Несъвместим
Инжекция/Инжекционен Piperacillin sodium / tazobactam 67,5 mg/ml
Инжекция/Инжекционен Vancomycin hydrochloride 5 mg/ml
Glucose 5% 3960
съвместим
Инжекция/Инжекционен Piperacillin sodium / tazobactam 16 >> 40 mg/ml
Инжекция/Инжекционен Vancomycin hydrochloride 4 mg/ml
Glucose 5% 2475
съвместим
Инжекция/Инжекционен Piperacillin sodium / tazobactam 28 mg/ml
Инжекция/Инжекционен Vancomycin hydrochloride 5 mg/ml
Glucose 5% 3984
съвместим
Инжекция/Инжекционен Piperacillin sodium / tazobactam 1/0.125 >> 200/25 mg/ml
Инжекция/Инжекционен Vancomycin hydrochloride 2 mg/ml
Glucose 5% 1674
съвместим
Инжекция/Инжекционен Piperacillin sodium / tazobactam 1/0.125 mg/ml
Инжекция/Инжекционен Vancomycin hydrochloride 20 mg/ml
Glucose 5% 1674
съвместим
Инжекция/Инжекционен Piperacillin sodium / tazobactam 112.5 mg/ml
Инжекция/Инжекционен Vasopressin 0.2 UI/ml
Sodium chloride 0,9% 2017
съвместим
Инжекция/Инжекционен Piperacillin sodium / tazobactam 40/5 mg/ml
Инжекция/Инжекционен Vinblastine sulfate 0.12 mg/ml
Glucose 5% 81
съвместим
Инжекция/Инжекционен Piperacillin sodium / tazobactam 40/5 mg/ml
Инжекция/Инжекционен Vincristine sulfate 0.05 mg/ml
Glucose 5% 81
съвместим
Инжекция/Инжекционен Piperacillin sodium / tazobactam 40/5 mg/ml
Инжекция/Инжекционен Zidovudine 4 mg/ml
Glucose 5% 81
съвместим
Инжекция/Инжекционен Piperacillin sodium / tazobactam 40/5 mg/ml
Normosol® 4655

  Mentions Légales