最新更新 :
27/04/2026
抗生素   Piperacillin sodium / tazobactam  
注射液
溶液稳定性 混合物稳定性 影响稳定性的因素 兼容性 用药途径 引用文献 PDF
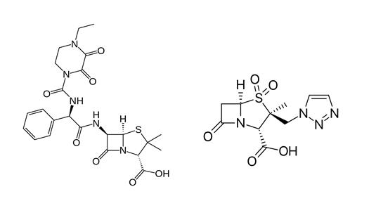
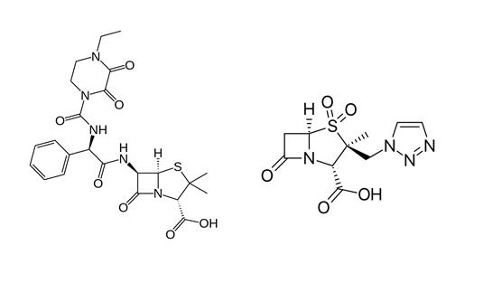
   化学式  

商品名   商品名     

商品名仅供参考, 药品所用的辅料可能依国家或厂商不同有所不同。

Bagotaz 阿根廷
Betampil 厄瓜多尔
Bioval 智利
Petezam 阿根廷
Piperac 德国
Piperacillin tazobactam 加拿大, 德国, 比利时
Piperazam 巴西
Pipetazo 智利
Pipitaz 奥地利
Pixamol 哥伦比亚
Tazobac 厄瓜多尔, 意大利, 瑞士, 葡萄牙
Tazocel 西班牙
Tazocilline 法国
Tazocin 丹麦, 克罗地亚, 匈牙利, 北愛爾蘭, 南非, 卢森堡, 哥伦比亚, 土耳其, 埃及, 墨西哥, 巴西, 希腊, 意大利, 挪威, 新西蘭, 波兰, 澳大利亚, 瑞典, 秘鲁, 芬兰, 英国, 荷兰, 阿根廷, 阿联酋
Tazonam 奥地利, 智利
Tazopip 澳大利亚
Tazpen 哥伦比亚, 墨西哥
Tazrobida 哥伦比亚
Tigux 智利
Tratac 智利
Trital 厄瓜多尔
Zosyn 日本, 美国
兼容性   注射液   兼容性 : Piperacillin sodium / tazobactam              
This screen indicates the compatibilities or incompatibilities with, in this case, the type of incompatibility (precipitation, color change, modification of an emulsion, etc.). The compatibilities shown here are mostly physical only, with the chemical stability of each molecule rarely being assessed. The evaluation of these mixtures was studied to consider the possibility of Y-site administration to the patient. These data cannot be used for making mixtures in advance in bags or syringes. This type of information is available in the screen "Stability in mixture ».
分子 溶剂 引用文献
1小時後析出 不相容
注射液 Piperacillin sodium / tazobactam 40/5 mg/ml
注射液 Aciclovir sodium 7 mg/ml
葡萄糖5% 81
兼容
注射液 Piperacillin sodium / tazobactam 40/5 mg/ml
肠外营养(含脂肪) 1415
兼容
注射液 Piperacillin sodium / tazobactam 200 mg/ml
Ringer乳酸溶液 4603
兼容
注射液 Piperacillin sodium / tazobactam 80 mg/ml
肠外营养(含脂肪) 3948
化學不穩定性 不相容
注射液 Piperacillin sodium / tazobactam
注射液 Amikacin sulfate
3586
兼容
注射液 Piperacillin sodium / tazobactam 200 mg/ml
肠外营养(含脂肪) 4924
24小時內渾濁 不相容
注射液 Piperacillin sodium / tazobactam 60 mg/ml
注射液 Amiodarone hydrochloride 6 mg/ml
葡萄糖5% 1611
立即沉澱 不相容
注射液 Piperacillin sodium / tazobactam 40/5 mg/ml
注射液 Amphotericin B 0.6 mg/ml
葡萄糖5% 81
立即沉澱 不相容
注射液 Piperacillin sodium / tazobactam 40/5 mg/ml
注射液 Amphotericin B cholesteryl sulfate complex 0.83 mg/ml
葡萄糖5% 921
兼容
注射液 Piperacillin sodium / tazobactam 40/5 mg/ml
注射液 Anidulafungin 0.5 mg/ml
葡萄糖5% 1982
兼容
注射液 Piperacillin sodium / tazobactam 40/5 mg/ml
注射液 Aztreonam 40 mg/ml
葡萄糖5% 81
兼容
注射液 Piperacillin sodium / tazobactam 40/5 mg/ml
注射液 Bivalirudin 5 mg/ml
葡萄糖5% 1713
兼容
注射液 Piperacillin sodium / tazobactam 40/5 mg/ml
注射液 Bleomycin sulfate 1 mg/ml
葡萄糖5% 81
兼容
注射液 Piperacillin sodium / tazobactam 200 mg/ml
注射液 Caffeine 10 mg/ml
无 3964
兼容
注射液 Piperacillin sodium / tazobactam 40/5 mg/ml
注射液 Carboplatin 5 mg/ml
葡萄糖5% 81
兼容
注射液 Piperacillin sodium / tazobactam 40/5 mg/ml
注射液 Carmustine 1.5 mg/ml
葡萄糖5% 81
兼容
注射液 Piperacillin sodium / tazobactam 40/5 mg/ml
注射液 Ceftolozane / tazobactam 10/5 mg/ml
NaCl 0,9% 3828
立即渾濁 不相容
注射液 Piperacillin sodium / tazobactam 40/5 mg/ml
注射液 Chlorpromazine hydrochloride 2 mg/ml
葡萄糖5% 81
兼容
注射液 Piperacillin sodium / tazobactam 40/5 mg/ml
注射液 Cisatracurium besylate 0.1 & 2 mg/ml
葡萄糖5% 299
1小時後析出 不相容
注射液 Piperacillin sodium / tazobactam 40/5 mg/ml
注射液 Cisplatin 1 mg/ml
葡萄糖5% 81
兼容
注射液 Piperacillin sodium / tazobactam 40/5 mg/ml
注射液 Clindamycin phosphate 10 mg/ml
葡萄糖5% 81
兼容
注射液 Piperacillin sodium / tazobactam 40/5 mg/ml
注射液 Co-trimoxazole 0.8/4 mg/ml
葡萄糖5% 81
兼容
注射液 Piperacillin sodium / tazobactam 40/0.5 mg/ml
注射液 Colistin mesilate sodium 1.5 mg/ml
NaCl 0,9% 3997
兼容
注射液 Piperacillin sodium / tazobactam 40/5 mg/ml
注射液 Cyclophosphamide 10 mg/ml
葡萄糖5% 81
兼容
注射液 Piperacillin sodium / tazobactam 40/5 mg/ml
注射液 Cytarabine 50 mg/ml
葡萄糖5% 81
立即沉澱 不相容
注射液 Piperacillin sodium / tazobactam 40/5 mg/ml
注射液 Dacarbazine 4 mg/ml
葡萄糖5% 81
立即渾濁 不相容
注射液 Piperacillin sodium / tazobactam 40/5 mg/ml
注射液 Daunorubicin hydrochloride 1 mg/ml
葡萄糖5% 81
立即渾濁 不相容
注射液 Piperacillin sodium / tazobactam
注射液 Daunorubicin/cytarabine liposomale 0,4 mg/mL
NaCl 0,9% 4654
立即渾濁 不相容
注射液 Piperacillin sodium / tazobactam 40/5 mg/ml
注射液 Dobutamine hydrochloride 4 mg/ml
葡萄糖5% 81
兼容
注射液 Piperacillin sodium / tazobactam 40/5 mg/ml
注射液 Docetaxel 0.9 mg/ml
葡萄糖5% 1754
立即渾濁 不相容
注射液 Piperacillin sodium / tazobactam 40/5 mg/ml
注射液 Doxorubicin hydrochloride 2 mg/ml
葡萄糖5% 81
立即渾濁 不相容
注射液 Piperacillin sodium / tazobactam 40/5 mg/ml
注射液 Doxycycline hyclate 1 mg/ml
葡萄糖5% 81
立即沉澱 不相容
注射液 Piperacillin sodium / tazobactam 40/5 mg/ml
注射液 Droperidol 0.4 mg/ml
葡萄糖5% 81
兼容
注射液 Piperacillin sodium / tazobactam 40/5 mg/ml
注射液 Etoposide 0.4 mg/ml
葡萄糖5% 81
兼容
注射液 Piperacillin sodium / tazobactam 40/5 mg/ml
注射液 Etoposide phosphate 5 mg/ml
NaCl 0,9% 1410
立即沉澱 不相容
注射液 Piperacillin sodium / tazobactam 40/5 mg/ml
注射液 Famotidine 2 mg/ml
葡萄糖5% 81
兼容
注射液 Piperacillin sodium / tazobactam 40/5 mg/ml
注射液 Fenoldopam mesylate 80 µg/ml
NaCl 0,9% 1803
兼容
注射液 Piperacillin sodium / tazobactam 40/5 mg/ml
注射液 Floxuridine 3 mg/ml
葡萄糖5% 81
兼容
注射液 Piperacillin sodium / tazobactam 40/5 mg/ml
注射液 Fluconazole 2 mg/ml
葡萄糖5% 81
兼容
注射液 Piperacillin sodium / tazobactam 40/5 mg/ml
注射液 Fludarabine phosphate 1 mg/ml
葡萄糖5% 81
兼容
注射液 Piperacillin sodium / tazobactam 40/5 mg/ml
注射液 Fluorouracil 16 mg/ml
葡萄糖5% 81
兼容
注射液 Piperacillin sodium / tazobactam 40/5 mg/ml
注射液 Fosfomycin 30 mg/ml
NaCl 0,9% 4055
1小時後析出 不相容
注射液 Piperacillin sodium / tazobactam 40/5 mg/ml
注射液 Ganciclovir sodium 20 mg/ml
葡萄糖5% 81
化學不穩定性 不相容
注射液 Piperacillin sodium / tazobactam
注射液 Gentamicin sulfate
3586
兼容
注射液 Piperacillin sodium / tazobactam 40/5 mg/ml
注射液 Granisetron hydrochloride 0.05 mg/ml
葡萄糖5% 182
立即沉澱 不相容
注射液 Piperacillin sodium / tazobactam 40/5 mg/ml
注射液 Haloperidol lactate 0.2 mg/ml
葡萄糖5% 81
未指定的不兼容性 不相容
注射液 Piperacillin sodium / tazobactam
Ringer乳酸溶液 3586
未指定的不兼容性 不相容
注射液 Piperacillin sodium / tazobactam
注射液 Aciclovir sodium
3595
化學不穩定性 不相容
注射液 Piperacillin sodium / tazobactam
注射液 Amikacin sulfate
3549
兼容
注射液 Piperacillin sodium / tazobactam 40/5 mg/ml
注射液 Aminophylline 2.5 mg/ml
葡萄糖5% 81
兼容
注射液 Piperacillin sodium / tazobactam 100 mg/ml
注射液 Amoxicillin sodium / clavulanic acid 100/10 mg/ml
3824
立即沉澱 不相容
注射液 Piperacillin sodium / tazobactam 112.5 mg/ml
注射液 Azithromycine 2 mg/ml
NaCl 0,9% 1800
兼容
注射液 Piperacillin sodium / tazobactam 40/5 mg/ml
注射液 Bumetanide 0.04 mg/ml
葡萄糖5% 81
兼容
注射液 Piperacillin sodium / tazobactam 40/5 mg/ml
注射液 Buprenorphine hydrochloride 0.04 mg/ml
葡萄糖5% 81
兼容
注射液 Piperacillin sodium / tazobactam 40/5 mg/ml
注射液 Butorphanol tartrate 0.04 mg/ml
葡萄糖5% 81
兼容
注射液 Piperacillin sodium / tazobactam 200 mg/ml
注射液 Caffeine 10 mg/ml
注射用水 4837
兼容
注射液 Piperacillin sodium / tazobactam 200 mg/ml
注射液 Caffeine citrate 20 mg/ml
注射用水 4837
兼容
注射液 Piperacillin sodium / tazobactam 40/5 mg/ml
注射液 Calcium gluconate 40 mg/ml
葡萄糖5% 81
立即沉澱 不相容
注射液 Piperacillin sodium / tazobactam 90 mg/ml
注射液 Caspofungin acetate 0.5 mg/ml
NaCl 0,9% 2233
立即沉澱 不相容
注射液 Piperacillin sodium / tazobactam 40/5 mg/ml
注射液 Caspofungin acetate 0,7 mg/ml
NaCl 0,9% 2247
兼容
注射液 Piperacillin sodium / tazobactam 40/5 mg/ml
注射液 Ceftolozane / tazobactam 10/5 mg/ml
葡萄糖5% 3828
兼容
注射液 Piperacillin sodium / tazobactam 40/5 mg/ml
注射液 Cimetidine hydrochloride 12 mg/ml
葡萄糖5% 81
未指定的不兼容性 不相容
注射液 Piperacillin sodium / tazobactam
注射液 Ciprofloxacin lactate
3529
4小時後出現沉澱 不相容
注射液 Piperacillin sodium / tazobactam 40/5 mg/ml
注射液 Cisatracurium besylate 5 mg/ml
葡萄糖5% 299
兼容
注射液 Piperacillin sodium / tazobactam 225 mg/ml
注射液 Cloxacillin sodium 100 mg/ml
注射用水 3012
亞視覺不兼容 不相容
注射液 Piperacillin sodium / tazobactam
注射液 Daunorubicin/cytarabine liposomale
4354
兼容
注射液 Piperacillin sodium / tazobactam 40/5 mg/ml
注射液 Dexamethasone sodium phosphate 1 mg/ml
葡萄糖5% 81
兼容
注射液 Piperacillin sodium / tazobactam 40/5 mg/ml
注射液 Dexmedetomidine 4 µg/ml
NaCl 0,9% 1712
兼容
注射液 Piperacillin sodium / tazobactam
注射液 Dimenhydrinate
2087
兼容
注射液 Piperacillin sodium / tazobactam 40/5 mg/ml
注射液 Diphenhydramine hydrochloride 2 mg/ml
葡萄糖5% 81
兼容
注射液 Piperacillin sodium / tazobactam 40/5 mg/ml
注射液 Dopamine hydrochloride 3.2 mg/ml
葡萄糖5% 81
濁度損失 不相容
注射液 Piperacillin sodium / tazobactam 40/5 mg/ml
注射液 Doxorubicin hydrochloride liposome peg 0.4 mg/ml
葡萄糖5% 251
兼容
注射液 Piperacillin sodium / tazobactam 40/5 mg/ml
注射液 Enalaprilate 0.1 mg/ml
葡萄糖5% 81
兼容
注射液 Piperacillin sodium / tazobactam 40/5 mg/ml
注射液 Eravacycline 0,6 mg/ml
NaCl 0,9% 4434
未指定的不兼容性 不相容
注射液 Piperacillin sodium / tazobactam
注射液 Erythromycin lactobionate
3674
兼容
注射液 Piperacillin sodium / tazobactam 40/5 mg/ml
注射液 Folinate calcium 2 mg/ml
葡萄糖5% 81
兼容
注射液 Piperacillin sodium / tazobactam 40/5 mg/ml
注射液 Fosfomycin 30 mg/ml
葡萄糖5% 4055
兼容
注射液 Piperacillin sodium / tazobactam 40/5 mg/ml
注射液 Furosemide 3 mg/ml
葡萄糖5% 81
兼容
注射液 Piperacillin sodium / tazobactam 40/5 mg/ml
注射液 Gallium nitrate 0.4 mg/ml
葡萄糖5% 81
立即渾濁 不相容
注射液 Piperacillin sodium / tazobactam 40/5 mg/ml
注射液 Gemcitabine hydrochloride 10 mg/ml
NaCl 0,9% 1423
未指定的不兼容性 不相容
注射液 Piperacillin sodium / tazobactam
注射液 Gentamicin sulfate
3520
未指定的不兼容性 不相容
注射液 Piperacillin sodium / tazobactam
注射液 Gentamicin sulfate
3643
兼容
注射液 Piperacillin sodium / tazobactam 0.5/0.0625 mg/ml
注射液 Heparin sodium 0.5 UI/ml
Dianéal® 1.5% glucose (Baxter) 4180
兼容
注射液 Piperacillin sodium / tazobactam 0.5/0.0625 mg/ml
注射液 Heparin sodium 0.5 UI/ml
Extraneal® (Baxter) 4180
兼容
注射液 Piperacillin sodium / tazobactam 1.38/0.1725 mg/ml
注射液 Heparin sodium 1.4 UI/ml
Physionéal® 2.27 (Baxter) 4180
兼容
注射液 Piperacillin sodium / tazobactam 0.5/0.0625 mg/ml
注射液 Heparin sodium 0.5 UI/ml
Dianéal® 4.25% glucose (Baxter) 4180
兼容
注射液 Piperacillin sodium / tazobactam 1.38/0.1725 mg/ml
注射液 Heparin sodium 1.4 UI/ml
Physionéal® 3.86 (Baxter) 4180
兼容
注射液 Piperacillin sodium / tazobactam 1.38/0.1725 mg/ml
注射液 Heparin sodium 1.4 UI/ml
Physionéal® 1.36 (Baxter) 4180
兼容
注射液 Piperacillin sodium / tazobactam 0.5/0.0625 mg/ml
注射液 Heparin sodium 0.5 UI/ml
Dianéal® 2.5% glucose (Baxter) 4180
兼容
注射液 Piperacillin sodium / tazobactam 40/5 mg/ml
注射液 Heparin sodium 100 UI/ml
葡萄糖5% 81
兼容
注射液 Piperacillin sodium / tazobactam 40/5 mg/ml
注射液 Hetastarch 60 mg/ml
特定溶液 1721
兼容
注射液 Piperacillin sodium / tazobactam 40/5 mg/ml
注射液 Hydrocortisone sodium succinate 1 mg/ml
葡萄糖5% 81
兼容
注射液 Piperacillin sodium / tazobactam 40/5 mg/ml
注射液 Hydromorphone hydrochloride 0.5 mg/ml
葡萄糖5% 81
立即沉澱 不相容
注射液 Piperacillin sodium / tazobactam 40/5 mg/ml
注射液 Hydroxyzine dihydrochloride 4 mg/ml
葡萄糖5% 81
立即渾濁 不相容
注射液 Piperacillin sodium / tazobactam 40/5 mg/ml
注射液 Idarubicin hydrochloride 0.5 mg/ml
葡萄糖5% 81
兼容
注射液 Piperacillin sodium / tazobactam 40/5 mg/ml
注射液 Ifosfamide 25 mg/ml
葡萄糖5% 81
兼容
注射液 Piperacillin sodium / tazobactam 166/20.83 mg/ml
注射液 Insulin 1 UI/ml
NaCl 0,9% 4254
兼容
注射液 Piperacillin sodium / tazobactam 45 mg/ml
注射液 Insulin aspart 1 UI/ml
NaCl 0,9% 1508
兼容
注射液 Piperacillin sodium / tazobactam 45 mg/ml
注射液 Insulin aspart 1 UI/ml
葡萄糖5% 1508
兼容
注射液 Piperacillin sodium / tazobactam 40/5 mg/ml
注射液 Isavuconazonium sulfate 1.5 mg/ml
NaCl 0,9% 3829
兼容
注射液 Piperacillin sodium / tazobactam 40/5 mg/ml
注射液 Lansoprazole 0.55 mg/ml
NaCl 0,9% 1625
兼容
注射液 Piperacillin sodium / tazobactam 166/20.83 mg/ml
注射液 Levetiracetam 20.83 mg/ml
葡萄糖5% 4254
兼容
注射液 Piperacillin sodium / tazobactam 166/20.83 mg/ml
注射液 Levetiracetam 20.83 mg/ml
NaCl 0,9% 4254
兼容
注射液 Piperacillin sodium / tazobactam 80 mg/ml
肠外营养(二种混合物) 3948
兼容
注射液 Piperacillin sodium / tazobactam 166/20.83 mg/ml
注射液 Insulin 1 UI/ml
葡萄糖5% 4254
兼容
注射液 Piperacillin sodium / tazobactam 33,75 mg/ml
注射液 Levetiracetam 5 mg/ml
NaCl 0,9% 4569
兼容
注射液 Piperacillin sodium / tazobactam 40/5 mg/ml
肠外营养(二种混合物) 301
立即渾濁 不相容
注射液 Piperacillin sodium / tazobactam 40/5 mg/ml
注射液 Isavuconazonium sulfate 1.5 mg/ml
葡萄糖5% 3829
未指定的不兼容性 不相容
注射液 Piperacillin sodium / tazobactam
NaHCO3 3586
化學不穩定性 不相容
注射液 Piperacillin sodium / tazobactam
注射液 Kanamycin sulfate
3586
兼容
注射液 Piperacillin sodium / tazobactam 200 mg/ml
注射液 Ketamine hydrochloride 50 mg/ml
2109
亞視覺不兼容 不相容
注射液 Piperacillin sodium / tazobactam 45 mg/ml
注射液 Levetiracetam 5 mg/ml
NaCl 0,9% 4569
兼容
注射液 Piperacillin sodium / tazobactam 125 mg/ml
注射液 Linezolid 2 mg/ml
4928
兼容
注射液 Piperacillin sodium / tazobactam 40/5 mg/ml
注射液 Linezolid 2 mg/ml
无 1925
兼容
注射液 Piperacillin sodium / tazobactam 40/5 mg/ml
注射液 Lorazepam 0.1 mg/ml
葡萄糖5% 81
兼容
注射液 Piperacillin sodium / tazobactam 40/5 mg/ml
注射液 Magnesium sulfate 100 mg/ml
葡萄糖5% 81
兼容
注射液 Piperacillin sodium / tazobactam 40/5 mg/ml
注射液 Mannitol 150 mg/ml
葡萄糖5% 81
兼容
注射液 Piperacillin sodium / tazobactam 200 mg/ml
注射液 Meropenem 50 mg/ml
注射用水 4319
兼容
注射液 Piperacillin sodium / tazobactam 40/5 mg/ml
注射液 Mesna 10 mg/ml
葡萄糖5% 81
兼容
注射液 Piperacillin sodium / tazobactam 40/5 mg/ml
注射液 Methotrexate sodium 15 mg/ml
葡萄糖5% 81
兼容
注射液 Piperacillin sodium / tazobactam 40/5 mg/ml
注射液 Methylprednisolone sodium succinate 5 mg/ml
葡萄糖5% 81
兼容
注射液 Piperacillin sodium / tazobactam 40/5 mg/ml
注射液 Metoclopramide hydrochloride 5 mg/ml
葡萄糖5% 81
兼容
注射液 Piperacillin sodium / tazobactam 40/5 mg/ml
注射液 Metronidazole 5 mg/ml
葡萄糖5% 81
立即沉澱 不相容
注射液 Piperacillin sodium / tazobactam 40/5 mg/ml
注射液 Minocycline hydrochloride 1 mg/ml
葡萄糖5% 81
4小時後變色 不相容
注射液 Piperacillin sodium / tazobactam 40/5 mg/ml
注射液 Mitomycin 0.5 mg/ml
葡萄糖5% 81
立即沉澱 不相容
注射液 Piperacillin sodium / tazobactam 40/5 mg/ml
注射液 Mitoxantrone dihydrochloride 0.5 mg/ml
葡萄糖5% 81
兼容
注射液 Piperacillin sodium / tazobactam 40/5 mg/ml
注射液 Morphine sulfate 1 mg/ml
葡萄糖5% 81
兼容
注射液 Piperacillin sodium / tazobactam
注射液 N-acetylcysteine 200 mg/ml
无 3766
立即渾濁 不相容
注射液 Piperacillin sodium / tazobactam 40/5 mg/ml
注射液 Nalbuphine hydrochloride 10 mg/ml
葡萄糖5% 81
兼容
注射液 Piperacillin sodium / tazobactam 200 mg/ml
注射液 Naloxone hydrochloride 0.4 mg/ml
无 3408
化學不穩定性 不相容
注射液 Piperacillin sodium / tazobactam
注射液 Netilmicin sulfate
3586
兼容
注射液 Piperacillin sodium / tazobactam 20/2,5 & 40/5 mg/ml
注射液 Ondansetron hydrochloride 0,015 >> 0,15 mg/ml
NaCl 0,9% 16
兼容
注射液 Piperacillin sodium / tazobactam 40/5 mg/ml
注射液 Ondansetron hydrochloride 0.1 mg/ml
葡萄糖5% 81
兼容
注射液 Piperacillin sodium / tazobactam 200/25 mg/ml
注射液 Oxycodone hydrochloride 1 mg/ml
NaCl 0,9% 4842
1小時後析出 不相容
注射液 Piperacillin sodium / tazobactam
注射液 Pantoprazole sodium
2090
兼容
注射液 Piperacillin sodium / tazobactam 100 mg/ml
注射液 Paracetamol 10 mg/ml
无 3571
兼容
注射液 Piperacillin sodium / tazobactam 100 mg/ml
注射液 Paracetamol 10 mg/ml
4742
兼容
注射液 Piperacillin sodium / tazobactam 200 mg/ml
注射液 Pentoxifyllin 5 mg/ml
NaCl 0,9% 4538
兼容
注射液 Piperacillin sodium / tazobactam 40/5 mg/ml
注射液 Pethidine hydrochloride 4 mg/ml
葡萄糖5% 81
化學不穩定性 不相容
注射液 Piperacillin sodium / tazobactam
注射液 Plazomicin sulfate
3586
兼容
注射液 Piperacillin sodium / tazobactam 40/5 mg/ml
注射液 Plazomicin sulfate 24 mg/ml
NaCl 0,9% 4145
立即沉澱 不相容
注射液 Piperacillin sodium / tazobactam 160 mg/ml
注射液 Posaconazole 1,2 mg/ml
NaCl 0,9% 4521
兼容
注射液 Piperacillin sodium / tazobactam 40/5 mg/ml
注射液 Potassium chloride 100 mEq/l
葡萄糖5% 81
立即渾濁 不相容
注射液 Piperacillin sodium / tazobactam 40/5 mg/ml
注射液 Prochlorperazine edysilate 0.5 mg/ml
葡萄糖5% 81
立即渾濁 不相容
注射液 Piperacillin sodium / tazobactam 40/5 mg/ml
注射液 Promethazine hydrochloride 2 mg/ml
葡萄糖5% 81
兼容
注射液 Piperacillin sodium / tazobactam 40/5 mg/ml
注射液 Ranitidine hydrochloride 2 mg/ml
葡萄糖5% 81
兼容
注射液 Piperacillin sodium / tazobactam 40/5 mg/ml
注射液 Remifentanil hydrochloride 25 & 250 µg/ml
NaCl 0,9% 59
立即沉澱 不相容
注射液 Piperacillin sodium / tazobactam 200 mg/ml
注射液 Salbutamol sulfate 1 mg/ml
无 3216
兼容
注射液 Piperacillin sodium / tazobactam 40/5 mg/ml
注射液 Sargramostim 10 µg/ml
葡萄糖5% 81
兼容
注射液 Piperacillin sodium / tazobactam 200 mg/ml
注射液 Sildenafil citrate 0,6 mg/ml
葡萄糖5% 4845
未指定的不兼容性 不相容
注射液 Piperacillin sodium / tazobactam
注射液 Sodium bicarbonate
3586
兼容
注射液 Piperacillin sodium / tazobactam 40/5 mg/ml
注射液 Sodium bicarbonate 84 mg/ml
葡萄糖5% 81
化學不穩定性 不相容
注射液 Piperacillin sodium / tazobactam
注射液 Streptomycin sulfate
3586
1小時後析出 不相容
注射液 Piperacillin sodium / tazobactam 40/5 mg/ml
注射液 Streptozocin 40 mg/ml
葡萄糖5% 81
兼容
注射液 Piperacillin sodium / tazobactam 40/5 mg/ml
注射液 Sulbactam/durlobactam 15/15 mg/ml
NaCl 0,9% 4801
兼容
注射液 Piperacillin sodium / tazobactam 40/5 mg/ml
注射液 Tedizolid phosphate 0.8 mg/ml
NaCl 0,9% 3827
兼容
注射液 Piperacillin sodium / tazobactam 40/5 mg/ml
注射液 Telavancin hydrochloride 7.5 mg/ml
葡萄糖5% 3254
兼容
注射液 Piperacillin sodium / tazobactam 40/5 mg/ml
注射液 Telavancin hydrochloride 7.5 mg/ml
NaCl 0,9% 3254
兼容
注射液 Piperacillin sodium / tazobactam 40/5 mg/ml
注射液 Telavancin hydrochloride 7.5 mg/ml
Ringer乳酸溶液 3254
化學不穩定性 不相容
注射液 Piperacillin sodium / tazobactam 200 mg/ml
注射液 Temocilline 83.33 mg/ml
注射用水 2231
未指定的不兼容性 不相容
注射液 Piperacillin sodium / tazobactam
注射液 Temocilline
4470
兼容
注射液 Piperacillin sodium / tazobactam 166/20.83 mg/ml
注射液 Thiamine hydrochloride 0.4 mg/ml
葡萄糖5% 4254
立即沉澱 不相容
注射液 Piperacillin sodium / tazobactam 200 mg/ml
注射液 Thiopental sodium 25 mg/ml
NaCl 0,9% 3767
兼容
注射液 Piperacillin sodium / tazobactam 40/5 mg/ml
注射液 Thiotepa 1 mg/ml
葡萄糖5% 81
兼容
注射液 Piperacillin sodium / tazobactam
注射液 Tigecycline
NaCl 0,9% 3332
化學不穩定性 不相容
注射液 Piperacillin sodium / tazobactam
注射液 Tobramycin sulfate
3586
立即沉澱 不相容
注射液 Piperacillin sodium / tazobactam 112,5 mg/ml
注射液 Vancomycin hydrochloride 10 mg/ml
葡萄糖5% 3428
兼容
注射液 Piperacillin sodium / tazobactam
葡萄糖5% 3586
兼容
注射液 Piperacillin sodium / tazobactam
NaCl 0,9% 5069
立即沉澱 不相容
注射液 Piperacillin sodium / tazobactam 100/12,5 mg/ml
注射液 Vancomycin hydrochloride 10 mg/ml
3365
立即沉澱 不相容
注射液 Piperacillin sodium / tazobactam 40 >> 100 mg/ml
注射液 Vancomycin hydrochloride 10 mg/ml
NaCl 0,9% 2475
立即沉澱 不相容
注射液 Piperacillin sodium / tazobactam
注射液 Vancomycin hydrochloride >8 mg/ml
NaCl 0,9% 3841
兼容
注射液 Piperacillin sodium / tazobactam 16 >> 100 mg/ml
注射液 Vancomycin hydrochloride 2 mg/ml
NaCl 0,9% 2475
兼容
注射液 Piperacillin sodium / tazobactam 16 >> 100 mg/ml
注射液 Vancomycin hydrochloride 5 mg/ml
NaCl 0,9% 2475
兼容
注射液 Piperacillin sodium / tazobactam 16 >> 30 mg/ml
注射液 Vancomycin hydrochloride 10 mg/ml
NaCl 0,9% 2475
兼容
注射液 Piperacillin sodium / tazobactam 30/3,75 mg/ml
注射液 Vancomycin hydrochloride 4 mg/ml
NaCl 0,9% 3421
兼容
注射液 Piperacillin sodium / tazobactam 40/5 mg/ml
注射液 Vancomycin hydrochloride 4 mg/ml
NaCl 0,9% 3421
兼容
注射液 Piperacillin sodium / tazobactam 33.75 >> 90 mg/ml
注射液 Vancomycin hydrochloride 4 >> 7 mg/ml
NaCl 0,9% 3841
立即沉澱 不相容
注射液 Piperacillin sodium / tazobactam 80 & 90 mg/ml
注射液 Vancomycin hydrochloride 8 mg/ml
NaCl 0,9% 3841
兼容
注射液 Piperacillin sodium / tazobactam 33.75 >> 67.5 mg/ml
注射液 Vancomycin hydrochloride 8 mg/ml
NaCl 0,9% 3841
立即渾濁 不相容
注射液 Piperacillin sodium / tazobactam 40/5 mg/ml
注射液 Vancomycin hydrochloride 10 mg/ml
葡萄糖5% 81
未指定的不兼容性 不相容
注射液 Piperacillin sodium / tazobactam 200 mg/ml
注射液 Vancomycin hydrochloride 10 mg/ml
葡萄糖5% 3385
立即沉澱 不相容
注射液 Piperacillin sodium / tazobactam 10/1.25 >> 200/25 mg/ml
注射液 Vancomycin hydrochloride 20 mg/ml
葡萄糖5% 1674
立即沉澱 不相容
注射液 Piperacillin sodium / tazobactam 80 >> 100 mg/ml
注射液 Vancomycin hydrochloride 4 mg/ml
葡萄糖5% 2475
立即沉澱 不相容
注射液 Piperacillin sodium / tazobactam 16 >> 100 mg/ml
注射液 Vancomycin hydrochloride 8 mg/ml
葡萄糖5% 2475
立即沉澱 不相容
注射液 Piperacillin sodium / tazobactam 28 mg/ml
注射液 Vancomycin hydrochloride 10 & 15 mg/ml
葡萄糖5% 3984
立即沉澱 不相容
注射液 Piperacillin sodium / tazobactam 67,5 mg/ml
注射液 Vancomycin hydrochloride 5 mg/ml
葡萄糖5% 3960
兼容
注射液 Piperacillin sodium / tazobactam 16 >> 40 mg/ml
注射液 Vancomycin hydrochloride 4 mg/ml
葡萄糖5% 2475
兼容
注射液 Piperacillin sodium / tazobactam 28 mg/ml
注射液 Vancomycin hydrochloride 5 mg/ml
葡萄糖5% 3984
兼容
注射液 Piperacillin sodium / tazobactam 1/0.125 >> 200/25 mg/ml
注射液 Vancomycin hydrochloride 2 mg/ml
葡萄糖5% 1674
兼容
注射液 Piperacillin sodium / tazobactam 1/0.125 mg/ml
注射液 Vancomycin hydrochloride 20 mg/ml
葡萄糖5% 1674
兼容
注射液 Piperacillin sodium / tazobactam 112.5 mg/ml
注射液 Vasopressin 0.2 UI/ml
NaCl 0,9% 2017
兼容
注射液 Piperacillin sodium / tazobactam 40/5 mg/ml
注射液 Vinblastine sulfate 0.12 mg/ml
葡萄糖5% 81
兼容
注射液 Piperacillin sodium / tazobactam 40/5 mg/ml
注射液 Vincristine sulfate 0.05 mg/ml
葡萄糖5% 81
兼容
注射液 Piperacillin sodium / tazobactam 40/5 mg/ml
注射液 Zidovudine 4 mg/ml
葡萄糖5% 81
兼容
注射液 Piperacillin sodium / tazobactam 40/5 mg/ml
Normosol® 4655

  Mentions Légales