Ultimele actualizari :
27/04/2026
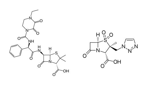
Antibiotic   Piperacillin sodium / tazobactam  
Injectabil
Stabilitatea in solutie Stabilitatea in amestec Factorii care influenteaza stabilitatea Compatibilitate Microunde Bibliografie pdf
   Formula chimica  

Denumirea comerciala   Denumirea comerciala     

Trade names are indicative and excipients composition can be different depending on the country and manufacturers

Bagotaz Argentina
Betampil Ecuador
Bioval Chilli
Petezam Argentina
Piperac Germania
Piperacillin tazobactam Belgia, Canada, Germania
Piperazam Brazilia
Pipetazo Chilli
Pipitaz Austria
Pixamol Columbia
Tazobac Ecuador, Elvetia, Italia, Portugalia
Tazocel Spania
Tazocilline Franta
Tazocin Africa de Sud, Argentina, Australia, Brazilia, Columbia, Croatia, Danemarca, Egipt, Emiratele Arabe Unite, Finlanda, Grecia, Irlanda de Nord, Italia, Luxemburg, Marea Britanie, Mexic, Norvegia, noua Zeelandă, Olanda, Peru, Polonia, Suedia, Turcia, Ungaria
Tazonam Austria, Chilli
Tazopip Australia
Tazpen Columbia, Mexic
Tazrobida Columbia
Tigux Chilli
Tratac Chilli
Trital Ecuador
Zosyn Japonia, SUA
Compatibilitate   Injectabil   Compatibilitate : Piperacillin sodium / tazobactam              
Acest ecran indică compatibilitățile sau incompatibilitățile cu, în acest caz, tipul de incompatibilitate (precipitații, schimbarea culorii, modificarea unei emulsii etc.). Compatibilitățile prezentate aici sunt în mare parte numai fizice, stabilitatea chimică a fiecărei molecule fiind rareori evaluată. Evaluarea acestor amestecuri a fost studiată pentru a lua în considerare posibilitatea administrării site-ului Y la pacient. Aceste date nu pot fi utilizate pentru prepararea în prealabil a amestecurilor în pungi sau seringi. Acest tip de informații este disponibil în ecranul „Stabilitate în amestec».
Molecula (substanta activa) Solvent Bibiografie
Precipitații după 1 oră Incompatibil
Injectabil Piperacillin sodium / tazobactam 40/5 mg/ml
Injectabil Aciclovir sodium 7 mg/ml
Glucoza 5% 81
Compatibil
Injectabil Piperacillin sodium / tazobactam 40/5 mg/ml
Nutriție parenterală (cu lipide) 1415
Compatibil
Injectabil Piperacillin sodium / tazobactam 200 mg/ml
Solutie Ringer lactat 4603
Compatibil
Injectabil Piperacillin sodium / tazobactam 80 mg/ml
Nutriție parenterală (cu lipide) 3948
Instabilitate chimică Incompatibil
Injectabil Piperacillin sodium / tazobactam
Injectabil Amikacin sulfate
3586
Compatibil
Injectabil Piperacillin sodium / tazobactam 200 mg/ml
Nutriție parenterală (cu lipide) 4924
Turbiditate în 24 ore Incompatibil
Injectabil Piperacillin sodium / tazobactam 60 mg/ml
Injectabil Amiodarone hydrochloride 6 mg/ml
Glucoza 5% 1611
Precipitații imediate Incompatibil
Injectabil Piperacillin sodium / tazobactam 40/5 mg/ml
Injectabil Amphotericin B 0.6 mg/ml
Glucoza 5% 81
Precipitații imediate Incompatibil
Injectabil Piperacillin sodium / tazobactam 40/5 mg/ml
Injectabil Amphotericin B cholesteryl sulfate complex 0.83 mg/ml
Glucoza 5% 921
Compatibil
Injectabil Piperacillin sodium / tazobactam 40/5 mg/ml
Injectabil Anidulafungin 0.5 mg/ml
Glucoza 5% 1982
Compatibil
Injectabil Piperacillin sodium / tazobactam 40/5 mg/ml
Injectabil Aztreonam 40 mg/ml
Glucoza 5% 81
Compatibil
Injectabil Piperacillin sodium / tazobactam 40/5 mg/ml
Injectabil Bivalirudin 5 mg/ml
Glucoza 5% 1713
Compatibil
Injectabil Piperacillin sodium / tazobactam 40/5 mg/ml
Injectabil Bleomycin sulfate 1 mg/ml
Glucoza 5% 81
Compatibil
Injectabil Piperacillin sodium / tazobactam 200 mg/ml
Injectabil Caffeine 10 mg/ml
fara 3964
Compatibil
Injectabil Piperacillin sodium / tazobactam 40/5 mg/ml
Injectabil Carboplatin 5 mg/ml
Glucoza 5% 81
Compatibil
Injectabil Piperacillin sodium / tazobactam 40/5 mg/ml
Injectabil Carmustine 1.5 mg/ml
Glucoza 5% 81
Compatibil
Injectabil Piperacillin sodium / tazobactam 40/5 mg/ml
Injectabil Ceftolozane / tazobactam 10/5 mg/ml
clorura de sodiu 0,9% 3828
Turbiditate imediată Incompatibil
Injectabil Piperacillin sodium / tazobactam 40/5 mg/ml
Injectabil Chlorpromazine hydrochloride 2 mg/ml
Glucoza 5% 81
Compatibil
Injectabil Piperacillin sodium / tazobactam 40/5 mg/ml
Injectabil Cisatracurium besylate 0.1 & 2 mg/ml
Glucoza 5% 299
Precipitații după 1 oră Incompatibil
Injectabil Piperacillin sodium / tazobactam 40/5 mg/ml
Injectabil Cisplatin 1 mg/ml
Glucoza 5% 81
Compatibil
Injectabil Piperacillin sodium / tazobactam 40/5 mg/ml
Injectabil Clindamycin phosphate 10 mg/ml
Glucoza 5% 81
Compatibil
Injectabil Piperacillin sodium / tazobactam 40/5 mg/ml
Injectabil Co-trimoxazole 0.8/4 mg/ml
Glucoza 5% 81
Compatibil
Injectabil Piperacillin sodium / tazobactam 40/0.5 mg/ml
Injectabil Colistin mesilate sodium 1.5 mg/ml
clorura de sodiu 0,9% 3997
Compatibil
Injectabil Piperacillin sodium / tazobactam 40/5 mg/ml
Injectabil Cyclophosphamide 10 mg/ml
Glucoza 5% 81
Compatibil
Injectabil Piperacillin sodium / tazobactam 40/5 mg/ml
Injectabil Cytarabine 50 mg/ml
Glucoza 5% 81
Precipitații imediate Incompatibil
Injectabil Piperacillin sodium / tazobactam 40/5 mg/ml
Injectabil Dacarbazine 4 mg/ml
Glucoza 5% 81
Turbiditate imediată Incompatibil
Injectabil Piperacillin sodium / tazobactam 40/5 mg/ml
Injectabil Daunorubicin hydrochloride 1 mg/ml
Glucoza 5% 81
Turbiditate imediată Incompatibil
Injectabil Piperacillin sodium / tazobactam
Injectabil Daunorubicin/cytarabine liposomale 0,4 mg/mL
clorura de sodiu 0,9% 4654
Turbiditate imediată Incompatibil
Injectabil Piperacillin sodium / tazobactam 40/5 mg/ml
Injectabil Dobutamine hydrochloride 4 mg/ml
Glucoza 5% 81
Compatibil
Injectabil Piperacillin sodium / tazobactam 40/5 mg/ml
Injectabil Docetaxel 0.9 mg/ml
Glucoza 5% 1754
Turbiditate imediată Incompatibil
Injectabil Piperacillin sodium / tazobactam 40/5 mg/ml
Injectabil Doxorubicin hydrochloride 2 mg/ml
Glucoza 5% 81
Turbiditate imediată Incompatibil
Injectabil Piperacillin sodium / tazobactam 40/5 mg/ml
Injectabil Doxycycline hyclate 1 mg/ml
Glucoza 5% 81
Precipitații imediate Incompatibil
Injectabil Piperacillin sodium / tazobactam 40/5 mg/ml
Injectabil Droperidol 0.4 mg/ml
Glucoza 5% 81
Compatibil
Injectabil Piperacillin sodium / tazobactam 40/5 mg/ml
Injectabil Etoposide 0.4 mg/ml
Glucoza 5% 81
Compatibil
Injectabil Piperacillin sodium / tazobactam 40/5 mg/ml
Injectabil Etoposide phosphate 5 mg/ml
clorura de sodiu 0,9% 1410
Precipitații imediate Incompatibil
Injectabil Piperacillin sodium / tazobactam 40/5 mg/ml
Injectabil Famotidine 2 mg/ml
Glucoza 5% 81
Compatibil
Injectabil Piperacillin sodium / tazobactam 40/5 mg/ml
Injectabil Fenoldopam mesylate 80 µg/ml
clorura de sodiu 0,9% 1803
Compatibil
Injectabil Piperacillin sodium / tazobactam 40/5 mg/ml
Injectabil Floxuridine 3 mg/ml
Glucoza 5% 81
Compatibil
Injectabil Piperacillin sodium / tazobactam 40/5 mg/ml
Injectabil Fluconazole 2 mg/ml
Glucoza 5% 81
Compatibil
Injectabil Piperacillin sodium / tazobactam 40/5 mg/ml
Injectabil Fludarabine phosphate 1 mg/ml
Glucoza 5% 81
Compatibil
Injectabil Piperacillin sodium / tazobactam 40/5 mg/ml
Injectabil Fluorouracil 16 mg/ml
Glucoza 5% 81
Compatibil
Injectabil Piperacillin sodium / tazobactam 40/5 mg/ml
Injectabil Fosfomycin 30 mg/ml
clorura de sodiu 0,9% 4055
Precipitații după 1 oră Incompatibil
Injectabil Piperacillin sodium / tazobactam 40/5 mg/ml
Injectabil Ganciclovir sodium 20 mg/ml
Glucoza 5% 81
Instabilitate chimică Incompatibil
Injectabil Piperacillin sodium / tazobactam
Injectabil Gentamicin sulfate
3586
Compatibil
Injectabil Piperacillin sodium / tazobactam 40/5 mg/ml
Injectabil Granisetron hydrochloride 0.05 mg/ml
Glucoza 5% 182
Precipitații imediate Incompatibil
Injectabil Piperacillin sodium / tazobactam 40/5 mg/ml
Injectabil Haloperidol lactate 0.2 mg/ml
Glucoza 5% 81
Incompatibilitate nespecificată Incompatibil
Injectabil Piperacillin sodium / tazobactam
Solutie Ringer lactat 3586
Incompatibilitate nespecificată Incompatibil
Injectabil Piperacillin sodium / tazobactam
Injectabil Aciclovir sodium
3595
Instabilitate chimică Incompatibil
Injectabil Piperacillin sodium / tazobactam
Injectabil Amikacin sulfate
3549
Compatibil
Injectabil Piperacillin sodium / tazobactam 40/5 mg/ml
Injectabil Aminophylline 2.5 mg/ml
Glucoza 5% 81
Compatibil
Injectabil Piperacillin sodium / tazobactam 100 mg/ml
Injectabil Amoxicillin sodium / clavulanic acid 100/10 mg/ml
3824
Precipitații imediate Incompatibil
Injectabil Piperacillin sodium / tazobactam 112.5 mg/ml
Injectabil Azithromycine 2 mg/ml
clorura de sodiu 0,9% 1800
Compatibil
Injectabil Piperacillin sodium / tazobactam 40/5 mg/ml
Injectabil Bumetanide 0.04 mg/ml
Glucoza 5% 81
Compatibil
Injectabil Piperacillin sodium / tazobactam 40/5 mg/ml
Injectabil Buprenorphine hydrochloride 0.04 mg/ml
Glucoza 5% 81
Compatibil
Injectabil Piperacillin sodium / tazobactam 40/5 mg/ml
Injectabil Butorphanol tartrate 0.04 mg/ml
Glucoza 5% 81
Compatibil
Injectabil Piperacillin sodium / tazobactam 200 mg/ml
Injectabil Caffeine 10 mg/ml
apa pentru preparate injectabile 4837
Compatibil
Injectabil Piperacillin sodium / tazobactam 200 mg/ml
Injectabil Caffeine citrate 20 mg/ml
apa pentru preparate injectabile 4837
Compatibil
Injectabil Piperacillin sodium / tazobactam 40/5 mg/ml
Injectabil Calcium gluconate 40 mg/ml
Glucoza 5% 81
Precipitații imediate Incompatibil
Injectabil Piperacillin sodium / tazobactam 90 mg/ml
Injectabil Caspofungin acetate 0.5 mg/ml
clorura de sodiu 0,9% 2233
Precipitații imediate Incompatibil
Injectabil Piperacillin sodium / tazobactam 40/5 mg/ml
Injectabil Caspofungin acetate 0,7 mg/ml
clorura de sodiu 0,9% 2247
Compatibil
Injectabil Piperacillin sodium / tazobactam 40/5 mg/ml
Injectabil Ceftolozane / tazobactam 10/5 mg/ml
Glucoza 5% 3828
Compatibil
Injectabil Piperacillin sodium / tazobactam 40/5 mg/ml
Injectabil Cimetidine hydrochloride 12 mg/ml
Glucoza 5% 81
Incompatibilitate nespecificată Incompatibil
Injectabil Piperacillin sodium / tazobactam
Injectabil Ciprofloxacin lactate
3529
Precipitații după 4 ore Incompatibil
Injectabil Piperacillin sodium / tazobactam 40/5 mg/ml
Injectabil Cisatracurium besylate 5 mg/ml
Glucoza 5% 299
Compatibil
Injectabil Piperacillin sodium / tazobactam 225 mg/ml
Injectabil Cloxacillin sodium 100 mg/ml
apa pentru preparate injectabile 3012
Incompatibilitate subvisuală Incompatibil
Injectabil Piperacillin sodium / tazobactam
Injectabil Daunorubicin/cytarabine liposomale
4354
Compatibil
Injectabil Piperacillin sodium / tazobactam 40/5 mg/ml
Injectabil Dexamethasone sodium phosphate 1 mg/ml
Glucoza 5% 81
Compatibil
Injectabil Piperacillin sodium / tazobactam 40/5 mg/ml
Injectabil Dexmedetomidine 4 µg/ml
clorura de sodiu 0,9% 1712
Compatibil
Injectabil Piperacillin sodium / tazobactam
Injectabil Dimenhydrinate
2087
Compatibil
Injectabil Piperacillin sodium / tazobactam 40/5 mg/ml
Injectabil Diphenhydramine hydrochloride 2 mg/ml
Glucoza 5% 81
Compatibil
Injectabil Piperacillin sodium / tazobactam 40/5 mg/ml
Injectabil Dopamine hydrochloride 3.2 mg/ml
Glucoza 5% 81
Pierderea turbidității Incompatibil
Injectabil Piperacillin sodium / tazobactam 40/5 mg/ml
Injectabil Doxorubicin hydrochloride liposome peg 0.4 mg/ml
Glucoza 5% 251
Compatibil
Injectabil Piperacillin sodium / tazobactam 40/5 mg/ml
Injectabil Enalaprilate 0.1 mg/ml
Glucoza 5% 81
Compatibil
Injectabil Piperacillin sodium / tazobactam 40/5 mg/ml
Injectabil Eravacycline 0,6 mg/ml
clorura de sodiu 0,9% 4434
Incompatibilitate nespecificată Incompatibil
Injectabil Piperacillin sodium / tazobactam
Injectabil Erythromycin lactobionate
3674
Compatibil
Injectabil Piperacillin sodium / tazobactam 40/5 mg/ml
Injectabil Folinate calcium 2 mg/ml
Glucoza 5% 81
Compatibil
Injectabil Piperacillin sodium / tazobactam 40/5 mg/ml
Injectabil Fosfomycin 30 mg/ml
Glucoza 5% 4055
Compatibil
Injectabil Piperacillin sodium / tazobactam 40/5 mg/ml
Injectabil Furosemide 3 mg/ml
Glucoza 5% 81
Compatibil
Injectabil Piperacillin sodium / tazobactam 40/5 mg/ml
Injectabil Gallium nitrate 0.4 mg/ml
Glucoza 5% 81
Turbiditate imediată Incompatibil
Injectabil Piperacillin sodium / tazobactam 40/5 mg/ml
Injectabil Gemcitabine hydrochloride 10 mg/ml
clorura de sodiu 0,9% 1423
Incompatibilitate nespecificată Incompatibil
Injectabil Piperacillin sodium / tazobactam
Injectabil Gentamicin sulfate
3520
Incompatibilitate nespecificată Incompatibil
Injectabil Piperacillin sodium / tazobactam
Injectabil Gentamicin sulfate
3643
Compatibil
Injectabil Piperacillin sodium / tazobactam 0.5/0.0625 mg/ml
Injectabil Heparin sodium 0.5 UI/ml
Dianéal® 1.5% glucose (Baxter) 4180
Compatibil
Injectabil Piperacillin sodium / tazobactam 0.5/0.0625 mg/ml
Injectabil Heparin sodium 0.5 UI/ml
Extraneal® (Baxter) 4180
Compatibil
Injectabil Piperacillin sodium / tazobactam 1.38/0.1725 mg/ml
Injectabil Heparin sodium 1.4 UI/ml
Physionéal® 2.27 (Baxter) 4180
Compatibil
Injectabil Piperacillin sodium / tazobactam 0.5/0.0625 mg/ml
Injectabil Heparin sodium 0.5 UI/ml
Dianéal® 4.25% glucose (Baxter) 4180
Compatibil
Injectabil Piperacillin sodium / tazobactam 1.38/0.1725 mg/ml
Injectabil Heparin sodium 1.4 UI/ml
Physionéal® 3.86 (Baxter) 4180
Compatibil
Injectabil Piperacillin sodium / tazobactam 1.38/0.1725 mg/ml
Injectabil Heparin sodium 1.4 UI/ml
Physionéal® 1.36 (Baxter) 4180
Compatibil
Injectabil Piperacillin sodium / tazobactam 0.5/0.0625 mg/ml
Injectabil Heparin sodium 0.5 UI/ml
Dianéal® 2.5% glucose (Baxter) 4180
Compatibil
Injectabil Piperacillin sodium / tazobactam 40/5 mg/ml
Injectabil Heparin sodium 100 UI/ml
Glucoza 5% 81
Compatibil
Injectabil Piperacillin sodium / tazobactam 40/5 mg/ml
Injectabil Hetastarch 60 mg/ml
specific de solvent 1721
Compatibil
Injectabil Piperacillin sodium / tazobactam 40/5 mg/ml
Injectabil Hydrocortisone sodium succinate 1 mg/ml
Glucoza 5% 81
Compatibil
Injectabil Piperacillin sodium / tazobactam 40/5 mg/ml
Injectabil Hydromorphone hydrochloride 0.5 mg/ml
Glucoza 5% 81
Precipitații imediate Incompatibil
Injectabil Piperacillin sodium / tazobactam 40/5 mg/ml
Injectabil Hydroxyzine dihydrochloride 4 mg/ml
Glucoza 5% 81
Turbiditate imediată Incompatibil
Injectabil Piperacillin sodium / tazobactam 40/5 mg/ml
Injectabil Idarubicin hydrochloride 0.5 mg/ml
Glucoza 5% 81
Compatibil
Injectabil Piperacillin sodium / tazobactam 40/5 mg/ml
Injectabil Ifosfamide 25 mg/ml
Glucoza 5% 81
Compatibil
Injectabil Piperacillin sodium / tazobactam 166/20.83 mg/ml
Injectabil Insulin 1 UI/ml
clorura de sodiu 0,9% 4254
Compatibil
Injectabil Piperacillin sodium / tazobactam 45 mg/ml
Injectabil Insulin aspart 1 UI/ml
clorura de sodiu 0,9% 1508
Compatibil
Injectabil Piperacillin sodium / tazobactam 45 mg/ml
Injectabil Insulin aspart 1 UI/ml
Glucoza 5% 1508
Compatibil
Injectabil Piperacillin sodium / tazobactam 40/5 mg/ml
Injectabil Isavuconazonium sulfate 1.5 mg/ml
clorura de sodiu 0,9% 3829
Compatibil
Injectabil Piperacillin sodium / tazobactam 40/5 mg/ml
Injectabil Lansoprazole 0.55 mg/ml
clorura de sodiu 0,9% 1625
Compatibil
Injectabil Piperacillin sodium / tazobactam 166/20.83 mg/ml
Injectabil Levetiracetam 20.83 mg/ml
Glucoza 5% 4254
Compatibil
Injectabil Piperacillin sodium / tazobactam 166/20.83 mg/ml
Injectabil Levetiracetam 20.83 mg/ml
clorura de sodiu 0,9% 4254
Compatibil
Injectabil Piperacillin sodium / tazobactam 80 mg/ml
Nutritie parenterala (amestec binar) 3948
Compatibil
Injectabil Piperacillin sodium / tazobactam 166/20.83 mg/ml
Injectabil Insulin 1 UI/ml
Glucoza 5% 4254
Compatibil
Injectabil Piperacillin sodium / tazobactam 33,75 mg/ml
Injectabil Levetiracetam 5 mg/ml
clorura de sodiu 0,9% 4569
Compatibil
Injectabil Piperacillin sodium / tazobactam 40/5 mg/ml
Nutritie parenterala (amestec binar) 301
Turbiditate imediată Incompatibil
Injectabil Piperacillin sodium / tazobactam 40/5 mg/ml
Injectabil Isavuconazonium sulfate 1.5 mg/ml
Glucoza 5% 3829
Incompatibilitate nespecificată Incompatibil
Injectabil Piperacillin sodium / tazobactam
NaHCO3 3586
Instabilitate chimică Incompatibil
Injectabil Piperacillin sodium / tazobactam
Injectabil Kanamycin sulfate
3586
Compatibil
Injectabil Piperacillin sodium / tazobactam 200 mg/ml
Injectabil Ketamine hydrochloride 50 mg/ml
2109
Incompatibilitate subvisuală Incompatibil
Injectabil Piperacillin sodium / tazobactam 45 mg/ml
Injectabil Levetiracetam 5 mg/ml
clorura de sodiu 0,9% 4569
Compatibil
Injectabil Piperacillin sodium / tazobactam 125 mg/ml
Injectabil Linezolid 2 mg/ml
4928
Compatibil
Injectabil Piperacillin sodium / tazobactam 40/5 mg/ml
Injectabil Linezolid 2 mg/ml
fara 1925
Compatibil
Injectabil Piperacillin sodium / tazobactam 40/5 mg/ml
Injectabil Lorazepam 0.1 mg/ml
Glucoza 5% 81
Compatibil
Injectabil Piperacillin sodium / tazobactam 40/5 mg/ml
Injectabil Magnesium sulfate 100 mg/ml
Glucoza 5% 81
Compatibil
Injectabil Piperacillin sodium / tazobactam 40/5 mg/ml
Injectabil Mannitol 150 mg/ml
Glucoza 5% 81
Compatibil
Injectabil Piperacillin sodium / tazobactam 200 mg/ml
Injectabil Meropenem 50 mg/ml
apa pentru preparate injectabile 4319
Compatibil
Injectabil Piperacillin sodium / tazobactam 40/5 mg/ml
Injectabil Mesna 10 mg/ml
Glucoza 5% 81
Compatibil
Injectabil Piperacillin sodium / tazobactam 40/5 mg/ml
Injectabil Methotrexate sodium 15 mg/ml
Glucoza 5% 81
Compatibil
Injectabil Piperacillin sodium / tazobactam 40/5 mg/ml
Injectabil Methylprednisolone sodium succinate 5 mg/ml
Glucoza 5% 81
Compatibil
Injectabil Piperacillin sodium / tazobactam 40/5 mg/ml
Injectabil Metoclopramide hydrochloride 5 mg/ml
Glucoza 5% 81
Compatibil
Injectabil Piperacillin sodium / tazobactam 40/5 mg/ml
Injectabil Metronidazole 5 mg/ml
Glucoza 5% 81
Precipitații imediate Incompatibil
Injectabil Piperacillin sodium / tazobactam 40/5 mg/ml
Injectabil Minocycline hydrochloride 1 mg/ml
Glucoza 5% 81
Schimbarea culorii după 4 ore Incompatibil
Injectabil Piperacillin sodium / tazobactam 40/5 mg/ml
Injectabil Mitomycin 0.5 mg/ml
Glucoza 5% 81
Precipitații imediate Incompatibil
Injectabil Piperacillin sodium / tazobactam 40/5 mg/ml
Injectabil Mitoxantrone dihydrochloride 0.5 mg/ml
Glucoza 5% 81
Compatibil
Injectabil Piperacillin sodium / tazobactam 40/5 mg/ml
Injectabil Morphine sulfate 1 mg/ml
Glucoza 5% 81
Compatibil
Injectabil Piperacillin sodium / tazobactam
Injectabil N-acetylcysteine 200 mg/ml
fara 3766
Turbiditate imediată Incompatibil
Injectabil Piperacillin sodium / tazobactam 40/5 mg/ml
Injectabil Nalbuphine hydrochloride 10 mg/ml
Glucoza 5% 81
Compatibil
Injectabil Piperacillin sodium / tazobactam 200 mg/ml
Injectabil Naloxone hydrochloride 0.4 mg/ml
fara 3408
Instabilitate chimică Incompatibil
Injectabil Piperacillin sodium / tazobactam
Injectabil Netilmicin sulfate
3586
Compatibil
Injectabil Piperacillin sodium / tazobactam 20/2,5 & 40/5 mg/ml
Injectabil Ondansetron hydrochloride 0,015 >> 0,15 mg/ml
clorura de sodiu 0,9% 16
Compatibil
Injectabil Piperacillin sodium / tazobactam 40/5 mg/ml
Injectabil Ondansetron hydrochloride 0.1 mg/ml
Glucoza 5% 81
Compatibil
Injectabil Piperacillin sodium / tazobactam 200/25 mg/ml
Injectabil Oxycodone hydrochloride 1 mg/ml
clorura de sodiu 0,9% 4842
Precipitații după 1 oră Incompatibil
Injectabil Piperacillin sodium / tazobactam
Injectabil Pantoprazole sodium
2090
Compatibil
Injectabil Piperacillin sodium / tazobactam 100 mg/ml
Injectabil Paracetamol 10 mg/ml
fara 3571
Compatibil
Injectabil Piperacillin sodium / tazobactam 100 mg/ml
Injectabil Paracetamol 10 mg/ml
4742
Compatibil
Injectabil Piperacillin sodium / tazobactam 200 mg/ml
Injectabil Pentoxifyllin 5 mg/ml
clorura de sodiu 0,9% 4538
Compatibil
Injectabil Piperacillin sodium / tazobactam 40/5 mg/ml
Injectabil Pethidine hydrochloride 4 mg/ml
Glucoza 5% 81
Instabilitate chimică Incompatibil
Injectabil Piperacillin sodium / tazobactam
Injectabil Plazomicin sulfate
3586
Compatibil
Injectabil Piperacillin sodium / tazobactam 40/5 mg/ml
Injectabil Plazomicin sulfate 24 mg/ml
clorura de sodiu 0,9% 4145
Precipitații imediate Incompatibil
Injectabil Piperacillin sodium / tazobactam 160 mg/ml
Injectabil Posaconazole 1,2 mg/ml
clorura de sodiu 0,9% 4521
Compatibil
Injectabil Piperacillin sodium / tazobactam 40/5 mg/ml
Injectabil Potassium chloride 100 mEq/l
Glucoza 5% 81
Turbiditate imediată Incompatibil
Injectabil Piperacillin sodium / tazobactam 40/5 mg/ml
Injectabil Prochlorperazine edysilate 0.5 mg/ml
Glucoza 5% 81
Turbiditate imediată Incompatibil
Injectabil Piperacillin sodium / tazobactam 40/5 mg/ml
Injectabil Promethazine hydrochloride 2 mg/ml
Glucoza 5% 81
Compatibil
Injectabil Piperacillin sodium / tazobactam 40/5 mg/ml
Injectabil Ranitidine hydrochloride 2 mg/ml
Glucoza 5% 81
Compatibil
Injectabil Piperacillin sodium / tazobactam 40/5 mg/ml
Injectabil Remifentanil hydrochloride 25 & 250 µg/ml
clorura de sodiu 0,9% 59
Precipitații imediate Incompatibil
Injectabil Piperacillin sodium / tazobactam 200 mg/ml
Injectabil Salbutamol sulfate 1 mg/ml
fara 3216
Compatibil
Injectabil Piperacillin sodium / tazobactam 40/5 mg/ml
Injectabil Sargramostim 10 µg/ml
Glucoza 5% 81
Compatibil
Injectabil Piperacillin sodium / tazobactam 200 mg/ml
Injectabil Sildenafil citrate 0,6 mg/ml
Glucoza 5% 4845
Incompatibilitate nespecificată Incompatibil
Injectabil Piperacillin sodium / tazobactam
Injectabil Sodium bicarbonate
3586
Compatibil
Injectabil Piperacillin sodium / tazobactam 40/5 mg/ml
Injectabil Sodium bicarbonate 84 mg/ml
Glucoza 5% 81
Instabilitate chimică Incompatibil
Injectabil Piperacillin sodium / tazobactam
Injectabil Streptomycin sulfate
3586
Precipitații după 1 oră Incompatibil
Injectabil Piperacillin sodium / tazobactam 40/5 mg/ml
Injectabil Streptozocin 40 mg/ml
Glucoza 5% 81
Compatibil
Injectabil Piperacillin sodium / tazobactam 40/5 mg/ml
Injectabil Sulbactam/durlobactam 15/15 mg/ml
clorura de sodiu 0,9% 4801
Compatibil
Injectabil Piperacillin sodium / tazobactam 40/5 mg/ml
Injectabil Tedizolid phosphate 0.8 mg/ml
clorura de sodiu 0,9% 3827
Compatibil
Injectabil Piperacillin sodium / tazobactam 40/5 mg/ml
Injectabil Telavancin hydrochloride 7.5 mg/ml
Glucoza 5% 3254
Compatibil
Injectabil Piperacillin sodium / tazobactam 40/5 mg/ml
Injectabil Telavancin hydrochloride 7.5 mg/ml
clorura de sodiu 0,9% 3254
Compatibil
Injectabil Piperacillin sodium / tazobactam 40/5 mg/ml
Injectabil Telavancin hydrochloride 7.5 mg/ml
Solutie Ringer lactat 3254
Instabilitate chimică Incompatibil
Injectabil Piperacillin sodium / tazobactam 200 mg/ml
Injectabil Temocilline 83.33 mg/ml
apa pentru preparate injectabile 2231
Incompatibilitate nespecificată Incompatibil
Injectabil Piperacillin sodium / tazobactam
Injectabil Temocilline
4470
Compatibil
Injectabil Piperacillin sodium / tazobactam 166/20.83 mg/ml
Injectabil Thiamine hydrochloride 0.4 mg/ml
Glucoza 5% 4254
Precipitații imediate Incompatibil
Injectabil Piperacillin sodium / tazobactam 200 mg/ml
Injectabil Thiopental sodium 25 mg/ml
clorura de sodiu 0,9% 3767
Compatibil
Injectabil Piperacillin sodium / tazobactam 40/5 mg/ml
Injectabil Thiotepa 1 mg/ml
Glucoza 5% 81
Compatibil
Injectabil Piperacillin sodium / tazobactam
Injectabil Tigecycline
clorura de sodiu 0,9% 3332
Instabilitate chimică Incompatibil
Injectabil Piperacillin sodium / tazobactam
Injectabil Tobramycin sulfate
3586
Precipitații imediate Incompatibil
Injectabil Piperacillin sodium / tazobactam 112,5 mg/ml
Injectabil Vancomycin hydrochloride 10 mg/ml
Glucoza 5% 3428
Compatibil
Injectabil Piperacillin sodium / tazobactam
Glucoza 5% 3586
Compatibil
Injectabil Piperacillin sodium / tazobactam
clorura de sodiu 0,9% 5069
Precipitații imediate Incompatibil
Injectabil Piperacillin sodium / tazobactam 100/12,5 mg/ml
Injectabil Vancomycin hydrochloride 10 mg/ml
3365
Precipitații imediate Incompatibil
Injectabil Piperacillin sodium / tazobactam 40 >> 100 mg/ml
Injectabil Vancomycin hydrochloride 10 mg/ml
clorura de sodiu 0,9% 2475
Precipitații imediate Incompatibil
Injectabil Piperacillin sodium / tazobactam
Injectabil Vancomycin hydrochloride >8 mg/ml
clorura de sodiu 0,9% 3841
Compatibil
Injectabil Piperacillin sodium / tazobactam 16 >> 100 mg/ml
Injectabil Vancomycin hydrochloride 2 mg/ml
clorura de sodiu 0,9% 2475
Compatibil
Injectabil Piperacillin sodium / tazobactam 16 >> 100 mg/ml
Injectabil Vancomycin hydrochloride 5 mg/ml
clorura de sodiu 0,9% 2475
Compatibil
Injectabil Piperacillin sodium / tazobactam 16 >> 30 mg/ml
Injectabil Vancomycin hydrochloride 10 mg/ml
clorura de sodiu 0,9% 2475
Compatibil
Injectabil Piperacillin sodium / tazobactam 30/3,75 mg/ml
Injectabil Vancomycin hydrochloride 4 mg/ml
clorura de sodiu 0,9% 3421
Compatibil
Injectabil Piperacillin sodium / tazobactam 40/5 mg/ml
Injectabil Vancomycin hydrochloride 4 mg/ml
clorura de sodiu 0,9% 3421
Compatibil
Injectabil Piperacillin sodium / tazobactam 33.75 >> 90 mg/ml
Injectabil Vancomycin hydrochloride 4 >> 7 mg/ml
clorura de sodiu 0,9% 3841
Precipitații imediate Incompatibil
Injectabil Piperacillin sodium / tazobactam 80 & 90 mg/ml
Injectabil Vancomycin hydrochloride 8 mg/ml
clorura de sodiu 0,9% 3841
Compatibil
Injectabil Piperacillin sodium / tazobactam 33.75 >> 67.5 mg/ml
Injectabil Vancomycin hydrochloride 8 mg/ml
clorura de sodiu 0,9% 3841
Turbiditate imediată Incompatibil
Injectabil Piperacillin sodium / tazobactam 40/5 mg/ml
Injectabil Vancomycin hydrochloride 10 mg/ml
Glucoza 5% 81
Incompatibilitate nespecificată Incompatibil
Injectabil Piperacillin sodium / tazobactam 200 mg/ml
Injectabil Vancomycin hydrochloride 10 mg/ml
Glucoza 5% 3385
Precipitații imediate Incompatibil
Injectabil Piperacillin sodium / tazobactam 10/1.25 >> 200/25 mg/ml
Injectabil Vancomycin hydrochloride 20 mg/ml
Glucoza 5% 1674
Precipitații imediate Incompatibil
Injectabil Piperacillin sodium / tazobactam 80 >> 100 mg/ml
Injectabil Vancomycin hydrochloride 4 mg/ml
Glucoza 5% 2475
Precipitații imediate Incompatibil
Injectabil Piperacillin sodium / tazobactam 16 >> 100 mg/ml
Injectabil Vancomycin hydrochloride 8 mg/ml
Glucoza 5% 2475
Precipitații imediate Incompatibil
Injectabil Piperacillin sodium / tazobactam 28 mg/ml
Injectabil Vancomycin hydrochloride 10 & 15 mg/ml
Glucoza 5% 3984
Precipitații imediate Incompatibil
Injectabil Piperacillin sodium / tazobactam 67,5 mg/ml
Injectabil Vancomycin hydrochloride 5 mg/ml
Glucoza 5% 3960
Compatibil
Injectabil Piperacillin sodium / tazobactam 16 >> 40 mg/ml
Injectabil Vancomycin hydrochloride 4 mg/ml
Glucoza 5% 2475
Compatibil
Injectabil Piperacillin sodium / tazobactam 28 mg/ml
Injectabil Vancomycin hydrochloride 5 mg/ml
Glucoza 5% 3984
Compatibil
Injectabil Piperacillin sodium / tazobactam 1/0.125 >> 200/25 mg/ml
Injectabil Vancomycin hydrochloride 2 mg/ml
Glucoza 5% 1674
Compatibil
Injectabil Piperacillin sodium / tazobactam 1/0.125 mg/ml
Injectabil Vancomycin hydrochloride 20 mg/ml
Glucoza 5% 1674
Compatibil
Injectabil Piperacillin sodium / tazobactam 112.5 mg/ml
Injectabil Vasopressin 0.2 UI/ml
clorura de sodiu 0,9% 2017
Compatibil
Injectabil Piperacillin sodium / tazobactam 40/5 mg/ml
Injectabil Vinblastine sulfate 0.12 mg/ml
Glucoza 5% 81
Compatibil
Injectabil Piperacillin sodium / tazobactam 40/5 mg/ml
Injectabil Vincristine sulfate 0.05 mg/ml
Glucoza 5% 81
Compatibil
Injectabil Piperacillin sodium / tazobactam 40/5 mg/ml
Injectabil Zidovudine 4 mg/ml
Glucoza 5% 81
Compatibil
Injectabil Piperacillin sodium / tazobactam 40/5 mg/ml
Normosol® 4655

  Mentions Légales