Última actualização :
27/04/2026
antibiótico   Piperacillin sodium / tazobactam  
injetável
Estabilidade em soluções simples Estabilidade em misturas Factores que afectam a sua estabilidade Compatibilidade Método de administração Bibliografía pdf
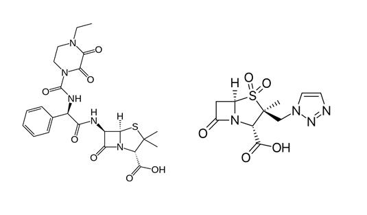
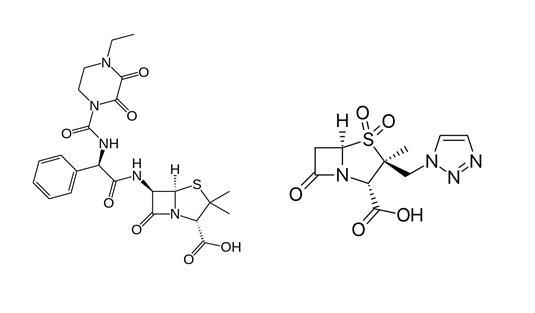
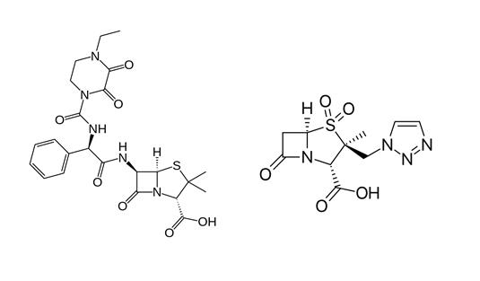
   estrutura química  

Nomes comerciais nos diversos países   Nomes comerciais nos diversos países     

OS NOMES COMERCIAIS SÃO INDICATIVOS E OS EXCIPIENTES DA FORMULAÇÃO PODEM SER DIFERENTES CONFORME O PAÍS E FABRICANTE.

Bagotaz Argentina
Betampil Equator
Bioval Chilli
Petezam Argentina
Piperac Alemanha
Piperacillin tazobactam Alemanha, Bélgica, Canadá
Piperazam Brasil
Pipetazo Chilli
Pipitaz Austria
Pixamol Colômbia
Tazobac Equator, Itália, Portugal, Suicia
Tazocel Espanha
Tazocilline França
Tazocin Africa do sul, Argentina, Australia, Brasil, Colômbia, Croácia, Dinamarca, Egipto, Emirados Árabes Unidos, Finlandia, Gran-bretanha, Grècia, Hungria, Irlanda do norte, Itália, Luxemburgo, México, Noruega, nova Zelândia, Países Baixos, Peru, Polonia, Suècia, Turquia
Tazonam Austria, Chilli
Tazopip Australia
Tazpen Colômbia, México
Tazrobida Colômbia
Tigux Chilli
Tratac Chilli
Trital Equator
Zosyn Estados Unidos de América, Japón
Compatibilidade   injetável   Compatibilidade : Piperacillin sodium / tazobactam              
Este ecrã indica as compatibilidades ou incompatibilidades com, neste caso, o tipo de incompatibilidade (precipitação, mudança de cor, modificação de uma emulsão, etc.). As compatibilidades mostradas aqui são principalmente físicas, com a estabilidade química de cada molécula raramente sendo avaliada. A avaliação dessas misturas foi estudada para considerar a possibilidade de administração do local Y ao paciente. Estes dados não podem ser usados para fazer misturas antecipadamente em sacos ou seringas. Este tipo de informação está disponível na tela “Estabilidade na mistura».
molécula Solvente Bibliografia
Precipitação após 1 hora Incompatível
injetável Piperacillin sodium / tazobactam 40/5 mg/ml
injetável Aciclovir sodium 7 mg/ml
Glucose 5% 81
Compatível
injetável Piperacillin sodium / tazobactam 40/5 mg/ml
Nutrição parenteral (com lípidos) 1415
Compatível
injetável Piperacillin sodium / tazobactam 200 mg/ml
Ringer lactato 4603
Compatível
injetável Piperacillin sodium / tazobactam 80 mg/ml
Nutrição parenteral (com lípidos) 3948
Instabilidade química Incompatível
injetável Piperacillin sodium / tazobactam
injetável Amikacin sulfate
3586
Compatível
injetável Piperacillin sodium / tazobactam 200 mg/ml
Nutrição parenteral (com lípidos) 4924
Turbidez em 24 horas Incompatível
injetável Piperacillin sodium / tazobactam 60 mg/ml
injetável Amiodarone hydrochloride 6 mg/ml
Glucose 5% 1611
Precipitação imediata Incompatível
injetável Piperacillin sodium / tazobactam 40/5 mg/ml
injetável Amphotericin B 0.6 mg/ml
Glucose 5% 81
Precipitação imediata Incompatível
injetável Piperacillin sodium / tazobactam 40/5 mg/ml
injetável Amphotericin B cholesteryl sulfate complex 0.83 mg/ml
Glucose 5% 921
Compatível
injetável Piperacillin sodium / tazobactam 40/5 mg/ml
injetável Anidulafungin 0.5 mg/ml
Glucose 5% 1982
Compatível
injetável Piperacillin sodium / tazobactam 40/5 mg/ml
injetável Aztreonam 40 mg/ml
Glucose 5% 81
Compatível
injetável Piperacillin sodium / tazobactam 40/5 mg/ml
injetável Bivalirudin 5 mg/ml
Glucose 5% 1713
Compatível
injetável Piperacillin sodium / tazobactam 40/5 mg/ml
injetável Bleomycin sulfate 1 mg/ml
Glucose 5% 81
Compatível
injetável Piperacillin sodium / tazobactam 200 mg/ml
injetável Caffeine 10 mg/ml
nenhum 3964
Compatível
injetável Piperacillin sodium / tazobactam 40/5 mg/ml
injetável Carboplatin 5 mg/ml
Glucose 5% 81
Compatível
injetável Piperacillin sodium / tazobactam 40/5 mg/ml
injetável Carmustine 1.5 mg/ml
Glucose 5% 81
Compatível
injetável Piperacillin sodium / tazobactam 40/5 mg/ml
injetável Ceftolozane / tazobactam 10/5 mg/ml
cloreto de sódio 0,9% 3828
Turvação imediata Incompatível
injetável Piperacillin sodium / tazobactam 40/5 mg/ml
injetável Chlorpromazine hydrochloride 2 mg/ml
Glucose 5% 81
Compatível
injetável Piperacillin sodium / tazobactam 40/5 mg/ml
injetável Cisatracurium besylate 0.1 & 2 mg/ml
Glucose 5% 299
Precipitação após 1 hora Incompatível
injetável Piperacillin sodium / tazobactam 40/5 mg/ml
injetável Cisplatin 1 mg/ml
Glucose 5% 81
Compatível
injetável Piperacillin sodium / tazobactam 40/5 mg/ml
injetável Clindamycin phosphate 10 mg/ml
Glucose 5% 81
Compatível
injetável Piperacillin sodium / tazobactam 40/5 mg/ml
injetável Co-trimoxazole 0.8/4 mg/ml
Glucose 5% 81
Compatível
injetável Piperacillin sodium / tazobactam 40/0.5 mg/ml
injetável Colistin mesilate sodium 1.5 mg/ml
cloreto de sódio 0,9% 3997
Compatível
injetável Piperacillin sodium / tazobactam 40/5 mg/ml
injetável Cyclophosphamide 10 mg/ml
Glucose 5% 81
Compatível
injetável Piperacillin sodium / tazobactam 40/5 mg/ml
injetável Cytarabine 50 mg/ml
Glucose 5% 81
Precipitação imediata Incompatível
injetável Piperacillin sodium / tazobactam 40/5 mg/ml
injetável Dacarbazine 4 mg/ml
Glucose 5% 81
Turvação imediata Incompatível
injetável Piperacillin sodium / tazobactam 40/5 mg/ml
injetável Daunorubicin hydrochloride 1 mg/ml
Glucose 5% 81
Turvação imediata Incompatível
injetável Piperacillin sodium / tazobactam
injetável Daunorubicin/cytarabine liposomale 0,4 mg/mL
cloreto de sódio 0,9% 4654
Turvação imediata Incompatível
injetável Piperacillin sodium / tazobactam 40/5 mg/ml
injetável Dobutamine hydrochloride 4 mg/ml
Glucose 5% 81
Compatível
injetável Piperacillin sodium / tazobactam 40/5 mg/ml
injetável Docetaxel 0.9 mg/ml
Glucose 5% 1754
Turvação imediata Incompatível
injetável Piperacillin sodium / tazobactam 40/5 mg/ml
injetável Doxorubicin hydrochloride 2 mg/ml
Glucose 5% 81
Turvação imediata Incompatível
injetável Piperacillin sodium / tazobactam 40/5 mg/ml
injetável Doxycycline hyclate 1 mg/ml
Glucose 5% 81
Precipitação imediata Incompatível
injetável Piperacillin sodium / tazobactam 40/5 mg/ml
injetável Droperidol 0.4 mg/ml
Glucose 5% 81
Compatível
injetável Piperacillin sodium / tazobactam 40/5 mg/ml
injetável Etoposide 0.4 mg/ml
Glucose 5% 81
Compatível
injetável Piperacillin sodium / tazobactam 40/5 mg/ml
injetável Etoposide phosphate 5 mg/ml
cloreto de sódio 0,9% 1410
Precipitação imediata Incompatível
injetável Piperacillin sodium / tazobactam 40/5 mg/ml
injetável Famotidine 2 mg/ml
Glucose 5% 81
Compatível
injetável Piperacillin sodium / tazobactam 40/5 mg/ml
injetável Fenoldopam mesylate 80 µg/ml
cloreto de sódio 0,9% 1803
Compatível
injetável Piperacillin sodium / tazobactam 40/5 mg/ml
injetável Floxuridine 3 mg/ml
Glucose 5% 81
Compatível
injetável Piperacillin sodium / tazobactam 40/5 mg/ml
injetável Fluconazole 2 mg/ml
Glucose 5% 81
Compatível
injetável Piperacillin sodium / tazobactam 40/5 mg/ml
injetável Fludarabine phosphate 1 mg/ml
Glucose 5% 81
Compatível
injetável Piperacillin sodium / tazobactam 40/5 mg/ml
injetável Fluorouracil 16 mg/ml
Glucose 5% 81
Compatível
injetável Piperacillin sodium / tazobactam 40/5 mg/ml
injetável Fosfomycin 30 mg/ml
cloreto de sódio 0,9% 4055
Precipitação após 1 hora Incompatível
injetável Piperacillin sodium / tazobactam 40/5 mg/ml
injetável Ganciclovir sodium 20 mg/ml
Glucose 5% 81
Instabilidade química Incompatível
injetável Piperacillin sodium / tazobactam
injetável Gentamicin sulfate
3586
Compatível
injetável Piperacillin sodium / tazobactam 40/5 mg/ml
injetável Granisetron hydrochloride 0.05 mg/ml
Glucose 5% 182
Precipitação imediata Incompatível
injetável Piperacillin sodium / tazobactam 40/5 mg/ml
injetável Haloperidol lactate 0.2 mg/ml
Glucose 5% 81
Incompatibilidade não especificada Incompatível
injetável Piperacillin sodium / tazobactam
Ringer lactato 3586
Incompatibilidade não especificada Incompatível
injetável Piperacillin sodium / tazobactam
injetável Aciclovir sodium
3595
Instabilidade química Incompatível
injetável Piperacillin sodium / tazobactam
injetável Amikacin sulfate
3549
Compatível
injetável Piperacillin sodium / tazobactam 40/5 mg/ml
injetável Aminophylline 2.5 mg/ml
Glucose 5% 81
Compatível
injetável Piperacillin sodium / tazobactam 100 mg/ml
injetável Amoxicillin sodium / clavulanic acid 100/10 mg/ml
3824
Precipitação imediata Incompatível
injetável Piperacillin sodium / tazobactam 112.5 mg/ml
injetável Azithromycine 2 mg/ml
cloreto de sódio 0,9% 1800
Compatível
injetável Piperacillin sodium / tazobactam 40/5 mg/ml
injetável Bumetanide 0.04 mg/ml
Glucose 5% 81
Compatível
injetável Piperacillin sodium / tazobactam 40/5 mg/ml
injetável Buprenorphine hydrochloride 0.04 mg/ml
Glucose 5% 81
Compatível
injetável Piperacillin sodium / tazobactam 40/5 mg/ml
injetável Butorphanol tartrate 0.04 mg/ml
Glucose 5% 81
Compatível
injetável Piperacillin sodium / tazobactam 200 mg/ml
injetável Caffeine 10 mg/ml
Agua para injectaveis 4837
Compatível
injetável Piperacillin sodium / tazobactam 200 mg/ml
injetável Caffeine citrate 20 mg/ml
Agua para injectaveis 4837
Compatível
injetável Piperacillin sodium / tazobactam 40/5 mg/ml
injetável Calcium gluconate 40 mg/ml
Glucose 5% 81
Precipitação imediata Incompatível
injetável Piperacillin sodium / tazobactam 90 mg/ml
injetável Caspofungin acetate 0.5 mg/ml
cloreto de sódio 0,9% 2233
Precipitação imediata Incompatível
injetável Piperacillin sodium / tazobactam 40/5 mg/ml
injetável Caspofungin acetate 0,7 mg/ml
cloreto de sódio 0,9% 2247
Compatível
injetável Piperacillin sodium / tazobactam 40/5 mg/ml
injetável Ceftolozane / tazobactam 10/5 mg/ml
Glucose 5% 3828
Compatível
injetável Piperacillin sodium / tazobactam 40/5 mg/ml
injetável Cimetidine hydrochloride 12 mg/ml
Glucose 5% 81
Incompatibilidade não especificada Incompatível
injetável Piperacillin sodium / tazobactam
injetável Ciprofloxacin lactate
3529
Precipitação após 4 horas Incompatível
injetável Piperacillin sodium / tazobactam 40/5 mg/ml
injetável Cisatracurium besylate 5 mg/ml
Glucose 5% 299
Compatível
injetável Piperacillin sodium / tazobactam 225 mg/ml
injetável Cloxacillin sodium 100 mg/ml
Agua para injectaveis 3012
Incompatibilidade subvisual Incompatível
injetável Piperacillin sodium / tazobactam
injetável Daunorubicin/cytarabine liposomale
4354
Compatível
injetável Piperacillin sodium / tazobactam 40/5 mg/ml
injetável Dexamethasone sodium phosphate 1 mg/ml
Glucose 5% 81
Compatível
injetável Piperacillin sodium / tazobactam 40/5 mg/ml
injetável Dexmedetomidine 4 µg/ml
cloreto de sódio 0,9% 1712
Compatível
injetável Piperacillin sodium / tazobactam
injetável Dimenhydrinate
2087
Compatível
injetável Piperacillin sodium / tazobactam 40/5 mg/ml
injetável Diphenhydramine hydrochloride 2 mg/ml
Glucose 5% 81
Compatível
injetável Piperacillin sodium / tazobactam 40/5 mg/ml
injetável Dopamine hydrochloride 3.2 mg/ml
Glucose 5% 81
Perda de turbidez Incompatível
injetável Piperacillin sodium / tazobactam 40/5 mg/ml
injetável Doxorubicin hydrochloride liposome peg 0.4 mg/ml
Glucose 5% 251
Compatível
injetável Piperacillin sodium / tazobactam 40/5 mg/ml
injetável Enalaprilate 0.1 mg/ml
Glucose 5% 81
Compatível
injetável Piperacillin sodium / tazobactam 40/5 mg/ml
injetável Eravacycline 0,6 mg/ml
cloreto de sódio 0,9% 4434
Incompatibilidade não especificada Incompatível
injetável Piperacillin sodium / tazobactam
injetável Erythromycin lactobionate
3674
Compatível
injetável Piperacillin sodium / tazobactam 40/5 mg/ml
injetável Folinate calcium 2 mg/ml
Glucose 5% 81
Compatível
injetável Piperacillin sodium / tazobactam 40/5 mg/ml
injetável Fosfomycin 30 mg/ml
Glucose 5% 4055
Compatível
injetável Piperacillin sodium / tazobactam 40/5 mg/ml
injetável Furosemide 3 mg/ml
Glucose 5% 81
Compatível
injetável Piperacillin sodium / tazobactam 40/5 mg/ml
injetável Gallium nitrate 0.4 mg/ml
Glucose 5% 81
Turvação imediata Incompatível
injetável Piperacillin sodium / tazobactam 40/5 mg/ml
injetável Gemcitabine hydrochloride 10 mg/ml
cloreto de sódio 0,9% 1423
Incompatibilidade não especificada Incompatível
injetável Piperacillin sodium / tazobactam
injetável Gentamicin sulfate
3520
Incompatibilidade não especificada Incompatível
injetável Piperacillin sodium / tazobactam
injetável Gentamicin sulfate
3643
Compatível
injetável Piperacillin sodium / tazobactam 0.5/0.0625 mg/ml
injetável Heparin sodium 0.5 UI/ml
Dianéal® 1.5% glucose (Baxter) 4180
Compatível
injetável Piperacillin sodium / tazobactam 0.5/0.0625 mg/ml
injetável Heparin sodium 0.5 UI/ml
Extraneal® (Baxter) 4180
Compatível
injetável Piperacillin sodium / tazobactam 1.38/0.1725 mg/ml
injetável Heparin sodium 1.4 UI/ml
Physionéal® 2.27 (Baxter) 4180
Compatível
injetável Piperacillin sodium / tazobactam 0.5/0.0625 mg/ml
injetável Heparin sodium 0.5 UI/ml
Dianéal® 4.25% glucose (Baxter) 4180
Compatível
injetável Piperacillin sodium / tazobactam 1.38/0.1725 mg/ml
injetável Heparin sodium 1.4 UI/ml
Physionéal® 3.86 (Baxter) 4180
Compatível
injetável Piperacillin sodium / tazobactam 1.38/0.1725 mg/ml
injetável Heparin sodium 1.4 UI/ml
Physionéal® 1.36 (Baxter) 4180
Compatível
injetável Piperacillin sodium / tazobactam 0.5/0.0625 mg/ml
injetável Heparin sodium 0.5 UI/ml
Dianéal® 2.5% glucose (Baxter) 4180
Compatível
injetável Piperacillin sodium / tazobactam 40/5 mg/ml
injetável Heparin sodium 100 UI/ml
Glucose 5% 81
Compatível
injetável Piperacillin sodium / tazobactam 40/5 mg/ml
injetável Hetastarch 60 mg/ml
solvente específico 1721
Compatível
injetável Piperacillin sodium / tazobactam 40/5 mg/ml
injetável Hydrocortisone sodium succinate 1 mg/ml
Glucose 5% 81
Compatível
injetável Piperacillin sodium / tazobactam 40/5 mg/ml
injetável Hydromorphone hydrochloride 0.5 mg/ml
Glucose 5% 81
Precipitação imediata Incompatível
injetável Piperacillin sodium / tazobactam 40/5 mg/ml
injetável Hydroxyzine dihydrochloride 4 mg/ml
Glucose 5% 81
Turvação imediata Incompatível
injetável Piperacillin sodium / tazobactam 40/5 mg/ml
injetável Idarubicin hydrochloride 0.5 mg/ml
Glucose 5% 81
Compatível
injetável Piperacillin sodium / tazobactam 40/5 mg/ml
injetável Ifosfamide 25 mg/ml
Glucose 5% 81
Compatível
injetável Piperacillin sodium / tazobactam 166/20.83 mg/ml
injetável Insulin 1 UI/ml
cloreto de sódio 0,9% 4254
Compatível
injetável Piperacillin sodium / tazobactam 45 mg/ml
injetável Insulin aspart 1 UI/ml
cloreto de sódio 0,9% 1508
Compatível
injetável Piperacillin sodium / tazobactam 45 mg/ml
injetável Insulin aspart 1 UI/ml
Glucose 5% 1508
Compatível
injetável Piperacillin sodium / tazobactam 40/5 mg/ml
injetável Isavuconazonium sulfate 1.5 mg/ml
cloreto de sódio 0,9% 3829
Compatível
injetável Piperacillin sodium / tazobactam 40/5 mg/ml
injetável Lansoprazole 0.55 mg/ml
cloreto de sódio 0,9% 1625
Compatível
injetável Piperacillin sodium / tazobactam 166/20.83 mg/ml
injetável Levetiracetam 20.83 mg/ml
Glucose 5% 4254
Compatível
injetável Piperacillin sodium / tazobactam 166/20.83 mg/ml
injetável Levetiracetam 20.83 mg/ml
cloreto de sódio 0,9% 4254
Compatível
injetável Piperacillin sodium / tazobactam 80 mg/ml
Nutrição parenterica (mistura binária) 3948
Compatível
injetável Piperacillin sodium / tazobactam 166/20.83 mg/ml
injetável Insulin 1 UI/ml
Glucose 5% 4254
Compatível
injetável Piperacillin sodium / tazobactam 33,75 mg/ml
injetável Levetiracetam 5 mg/ml
cloreto de sódio 0,9% 4569
Compatível
injetável Piperacillin sodium / tazobactam 40/5 mg/ml
Nutrição parenterica (mistura binária) 301
Turvação imediata Incompatível
injetável Piperacillin sodium / tazobactam 40/5 mg/ml
injetável Isavuconazonium sulfate 1.5 mg/ml
Glucose 5% 3829
Incompatibilidade não especificada Incompatível
injetável Piperacillin sodium / tazobactam
NaHCO3 3586
Instabilidade química Incompatível
injetável Piperacillin sodium / tazobactam
injetável Kanamycin sulfate
3586
Compatível
injetável Piperacillin sodium / tazobactam 200 mg/ml
injetável Ketamine hydrochloride 50 mg/ml
2109
Incompatibilidade subvisual Incompatível
injetável Piperacillin sodium / tazobactam 45 mg/ml
injetável Levetiracetam 5 mg/ml
cloreto de sódio 0,9% 4569
Compatível
injetável Piperacillin sodium / tazobactam 125 mg/ml
injetável Linezolid 2 mg/ml
4928
Compatível
injetável Piperacillin sodium / tazobactam 40/5 mg/ml
injetável Linezolid 2 mg/ml
nenhum 1925
Compatível
injetável Piperacillin sodium / tazobactam 40/5 mg/ml
injetável Lorazepam 0.1 mg/ml
Glucose 5% 81
Compatível
injetável Piperacillin sodium / tazobactam 40/5 mg/ml
injetável Magnesium sulfate 100 mg/ml
Glucose 5% 81
Compatível
injetável Piperacillin sodium / tazobactam 40/5 mg/ml
injetável Mannitol 150 mg/ml
Glucose 5% 81
Compatível
injetável Piperacillin sodium / tazobactam 200 mg/ml
injetável Meropenem 50 mg/ml
Agua para injectaveis 4319
Compatível
injetável Piperacillin sodium / tazobactam 40/5 mg/ml
injetável Mesna 10 mg/ml
Glucose 5% 81
Compatível
injetável Piperacillin sodium / tazobactam 40/5 mg/ml
injetável Methotrexate sodium 15 mg/ml
Glucose 5% 81
Compatível
injetável Piperacillin sodium / tazobactam 40/5 mg/ml
injetável Methylprednisolone sodium succinate 5 mg/ml
Glucose 5% 81
Compatível
injetável Piperacillin sodium / tazobactam 40/5 mg/ml
injetável Metoclopramide hydrochloride 5 mg/ml
Glucose 5% 81
Compatível
injetável Piperacillin sodium / tazobactam 40/5 mg/ml
injetável Metronidazole 5 mg/ml
Glucose 5% 81
Precipitação imediata Incompatível
injetável Piperacillin sodium / tazobactam 40/5 mg/ml
injetável Minocycline hydrochloride 1 mg/ml
Glucose 5% 81
Mudança de cor após 4 horas Incompatível
injetável Piperacillin sodium / tazobactam 40/5 mg/ml
injetável Mitomycin 0.5 mg/ml
Glucose 5% 81
Precipitação imediata Incompatível
injetável Piperacillin sodium / tazobactam 40/5 mg/ml
injetável Mitoxantrone dihydrochloride 0.5 mg/ml
Glucose 5% 81
Compatível
injetável Piperacillin sodium / tazobactam 40/5 mg/ml
injetável Morphine sulfate 1 mg/ml
Glucose 5% 81
Compatível
injetável Piperacillin sodium / tazobactam
injetável N-acetylcysteine 200 mg/ml
nenhum 3766
Turvação imediata Incompatível
injetável Piperacillin sodium / tazobactam 40/5 mg/ml
injetável Nalbuphine hydrochloride 10 mg/ml
Glucose 5% 81
Compatível
injetável Piperacillin sodium / tazobactam 200 mg/ml
injetável Naloxone hydrochloride 0.4 mg/ml
nenhum 3408
Instabilidade química Incompatível
injetável Piperacillin sodium / tazobactam
injetável Netilmicin sulfate
3586
Compatível
injetável Piperacillin sodium / tazobactam 20/2,5 & 40/5 mg/ml
injetável Ondansetron hydrochloride 0,015 >> 0,15 mg/ml
cloreto de sódio 0,9% 16
Compatível
injetável Piperacillin sodium / tazobactam 40/5 mg/ml
injetável Ondansetron hydrochloride 0.1 mg/ml
Glucose 5% 81
Compatível
injetável Piperacillin sodium / tazobactam 200/25 mg/ml
injetável Oxycodone hydrochloride 1 mg/ml
cloreto de sódio 0,9% 4842
Precipitação após 1 hora Incompatível
injetável Piperacillin sodium / tazobactam
injetável Pantoprazole sodium
2090
Compatível
injetável Piperacillin sodium / tazobactam 100 mg/ml
injetável Paracetamol 10 mg/ml
nenhum 3571
Compatível
injetável Piperacillin sodium / tazobactam 100 mg/ml
injetável Paracetamol 10 mg/ml
4742
Compatível
injetável Piperacillin sodium / tazobactam 200 mg/ml
injetável Pentoxifyllin 5 mg/ml
cloreto de sódio 0,9% 4538
Compatível
injetável Piperacillin sodium / tazobactam 40/5 mg/ml
injetável Pethidine hydrochloride 4 mg/ml
Glucose 5% 81
Instabilidade química Incompatível
injetável Piperacillin sodium / tazobactam
injetável Plazomicin sulfate
3586
Compatível
injetável Piperacillin sodium / tazobactam 40/5 mg/ml
injetável Plazomicin sulfate 24 mg/ml
cloreto de sódio 0,9% 4145
Precipitação imediata Incompatível
injetável Piperacillin sodium / tazobactam 160 mg/ml
injetável Posaconazole 1,2 mg/ml
cloreto de sódio 0,9% 4521
Compatível
injetável Piperacillin sodium / tazobactam 40/5 mg/ml
injetável Potassium chloride 100 mEq/l
Glucose 5% 81
Turvação imediata Incompatível
injetável Piperacillin sodium / tazobactam 40/5 mg/ml
injetável Prochlorperazine edysilate 0.5 mg/ml
Glucose 5% 81
Turvação imediata Incompatível
injetável Piperacillin sodium / tazobactam 40/5 mg/ml
injetável Promethazine hydrochloride 2 mg/ml
Glucose 5% 81
Compatível
injetável Piperacillin sodium / tazobactam 40/5 mg/ml
injetável Ranitidine hydrochloride 2 mg/ml
Glucose 5% 81
Compatível
injetável Piperacillin sodium / tazobactam 40/5 mg/ml
injetável Remifentanil hydrochloride 25 & 250 µg/ml
cloreto de sódio 0,9% 59
Precipitação imediata Incompatível
injetável Piperacillin sodium / tazobactam 200 mg/ml
injetável Salbutamol sulfate 1 mg/ml
nenhum 3216
Compatível
injetável Piperacillin sodium / tazobactam 40/5 mg/ml
injetável Sargramostim 10 µg/ml
Glucose 5% 81
Compatível
injetável Piperacillin sodium / tazobactam 200 mg/ml
injetável Sildenafil citrate 0,6 mg/ml
Glucose 5% 4845
Incompatibilidade não especificada Incompatível
injetável Piperacillin sodium / tazobactam
injetável Sodium bicarbonate
3586
Compatível
injetável Piperacillin sodium / tazobactam 40/5 mg/ml
injetável Sodium bicarbonate 84 mg/ml
Glucose 5% 81
Instabilidade química Incompatível
injetável Piperacillin sodium / tazobactam
injetável Streptomycin sulfate
3586
Precipitação após 1 hora Incompatível
injetável Piperacillin sodium / tazobactam 40/5 mg/ml
injetável Streptozocin 40 mg/ml
Glucose 5% 81
Compatível
injetável Piperacillin sodium / tazobactam 40/5 mg/ml
injetável Sulbactam/durlobactam 15/15 mg/ml
cloreto de sódio 0,9% 4801
Compatível
injetável Piperacillin sodium / tazobactam 40/5 mg/ml
injetável Tedizolid phosphate 0.8 mg/ml
cloreto de sódio 0,9% 3827
Compatível
injetável Piperacillin sodium / tazobactam 40/5 mg/ml
injetável Telavancin hydrochloride 7.5 mg/ml
Glucose 5% 3254
Compatível
injetável Piperacillin sodium / tazobactam 40/5 mg/ml
injetável Telavancin hydrochloride 7.5 mg/ml
cloreto de sódio 0,9% 3254
Compatível
injetável Piperacillin sodium / tazobactam 40/5 mg/ml
injetável Telavancin hydrochloride 7.5 mg/ml
Ringer lactato 3254
Instabilidade química Incompatível
injetável Piperacillin sodium / tazobactam 200 mg/ml
injetável Temocilline 83.33 mg/ml
Agua para injectaveis 2231
Incompatibilidade não especificada Incompatível
injetável Piperacillin sodium / tazobactam
injetável Temocilline
4470
Compatível
injetável Piperacillin sodium / tazobactam 166/20.83 mg/ml
injetável Thiamine hydrochloride 0.4 mg/ml
Glucose 5% 4254
Precipitação imediata Incompatível
injetável Piperacillin sodium / tazobactam 200 mg/ml
injetável Thiopental sodium 25 mg/ml
cloreto de sódio 0,9% 3767
Compatível
injetável Piperacillin sodium / tazobactam 40/5 mg/ml
injetável Thiotepa 1 mg/ml
Glucose 5% 81
Compatível
injetável Piperacillin sodium / tazobactam
injetável Tigecycline
cloreto de sódio 0,9% 3332
Instabilidade química Incompatível
injetável Piperacillin sodium / tazobactam
injetável Tobramycin sulfate
3586
Precipitação imediata Incompatível
injetável Piperacillin sodium / tazobactam 112,5 mg/ml
injetável Vancomycin hydrochloride 10 mg/ml
Glucose 5% 3428
Compatível
injetável Piperacillin sodium / tazobactam
Glucose 5% 3586
Compatível
injetável Piperacillin sodium / tazobactam
cloreto de sódio 0,9% 5069
Precipitação imediata Incompatível
injetável Piperacillin sodium / tazobactam 100/12,5 mg/ml
injetável Vancomycin hydrochloride 10 mg/ml
3365
Precipitação imediata Incompatível
injetável Piperacillin sodium / tazobactam 40 >> 100 mg/ml
injetável Vancomycin hydrochloride 10 mg/ml
cloreto de sódio 0,9% 2475
Precipitação imediata Incompatível
injetável Piperacillin sodium / tazobactam
injetável Vancomycin hydrochloride >8 mg/ml
cloreto de sódio 0,9% 3841
Compatível
injetável Piperacillin sodium / tazobactam 16 >> 100 mg/ml
injetável Vancomycin hydrochloride 2 mg/ml
cloreto de sódio 0,9% 2475
Compatível
injetável Piperacillin sodium / tazobactam 16 >> 100 mg/ml
injetável Vancomycin hydrochloride 5 mg/ml
cloreto de sódio 0,9% 2475
Compatível
injetável Piperacillin sodium / tazobactam 16 >> 30 mg/ml
injetável Vancomycin hydrochloride 10 mg/ml
cloreto de sódio 0,9% 2475
Compatível
injetável Piperacillin sodium / tazobactam 30/3,75 mg/ml
injetável Vancomycin hydrochloride 4 mg/ml
cloreto de sódio 0,9% 3421
Compatível
injetável Piperacillin sodium / tazobactam 40/5 mg/ml
injetável Vancomycin hydrochloride 4 mg/ml
cloreto de sódio 0,9% 3421
Compatível
injetável Piperacillin sodium / tazobactam 33.75 >> 90 mg/ml
injetável Vancomycin hydrochloride 4 >> 7 mg/ml
cloreto de sódio 0,9% 3841
Precipitação imediata Incompatível
injetável Piperacillin sodium / tazobactam 80 & 90 mg/ml
injetável Vancomycin hydrochloride 8 mg/ml
cloreto de sódio 0,9% 3841
Compatível
injetável Piperacillin sodium / tazobactam 33.75 >> 67.5 mg/ml
injetável Vancomycin hydrochloride 8 mg/ml
cloreto de sódio 0,9% 3841
Turvação imediata Incompatível
injetável Piperacillin sodium / tazobactam 40/5 mg/ml
injetável Vancomycin hydrochloride 10 mg/ml
Glucose 5% 81
Incompatibilidade não especificada Incompatível
injetável Piperacillin sodium / tazobactam 200 mg/ml
injetável Vancomycin hydrochloride 10 mg/ml
Glucose 5% 3385
Precipitação imediata Incompatível
injetável Piperacillin sodium / tazobactam 10/1.25 >> 200/25 mg/ml
injetável Vancomycin hydrochloride 20 mg/ml
Glucose 5% 1674
Precipitação imediata Incompatível
injetável Piperacillin sodium / tazobactam 80 >> 100 mg/ml
injetável Vancomycin hydrochloride 4 mg/ml
Glucose 5% 2475
Precipitação imediata Incompatível
injetável Piperacillin sodium / tazobactam 16 >> 100 mg/ml
injetável Vancomycin hydrochloride 8 mg/ml
Glucose 5% 2475
Precipitação imediata Incompatível
injetável Piperacillin sodium / tazobactam 28 mg/ml
injetável Vancomycin hydrochloride 10 & 15 mg/ml
Glucose 5% 3984
Precipitação imediata Incompatível
injetável Piperacillin sodium / tazobactam 67,5 mg/ml
injetável Vancomycin hydrochloride 5 mg/ml
Glucose 5% 3960
Compatível
injetável Piperacillin sodium / tazobactam 16 >> 40 mg/ml
injetável Vancomycin hydrochloride 4 mg/ml
Glucose 5% 2475
Compatível
injetável Piperacillin sodium / tazobactam 28 mg/ml
injetável Vancomycin hydrochloride 5 mg/ml
Glucose 5% 3984
Compatível
injetável Piperacillin sodium / tazobactam 1/0.125 >> 200/25 mg/ml
injetável Vancomycin hydrochloride 2 mg/ml
Glucose 5% 1674
Compatível
injetável Piperacillin sodium / tazobactam 1/0.125 mg/ml
injetável Vancomycin hydrochloride 20 mg/ml
Glucose 5% 1674
Compatível
injetável Piperacillin sodium / tazobactam 112.5 mg/ml
injetável Vasopressin 0.2 UI/ml
cloreto de sódio 0,9% 2017
Compatível
injetável Piperacillin sodium / tazobactam 40/5 mg/ml
injetável Vinblastine sulfate 0.12 mg/ml
Glucose 5% 81
Compatível
injetável Piperacillin sodium / tazobactam 40/5 mg/ml
injetável Vincristine sulfate 0.05 mg/ml
Glucose 5% 81
Compatível
injetável Piperacillin sodium / tazobactam 40/5 mg/ml
injetável Zidovudine 4 mg/ml
Glucose 5% 81
Compatível
injetável Piperacillin sodium / tazobactam 40/5 mg/ml
Normosol® 4655

  Mentions Légales