Ultimo aggiornamento :
27/04/2026
Antibiotico   Piperacillin sodium / tazobactam  
Iniezione
Stabilità in soluzione Stabilità in miscela Fattori che influenzano la stabilità Compatibilità metodo di iniezione Bibliografia pdf
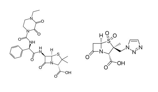
   Struttura chimica  

Nome commerciale   Nome commerciale     

Trade names are indicative and excipients composition can be different depending on the country and manufacturers

Bagotaz Argentina
Betampil Ecuador
Bioval Chile
Petezam Argentina
Piperac Germania
Piperacillin tazobactam Belgio, Canada, Germania
Piperazam Brasile
Pipetazo Chile
Pipitaz Austria
Pixamol Colombia
Tazobac Ecuador, Italia, Portogallo, Svizzera
Tazocel Spagna
Tazocilline Francia
Tazocin Africa del Sud, Argentina, Australia, Brasile, Colombia, Croazia, Danimarca, Egitto, Emirati Arabi Uniti, Finlandia, Gran Bretagna, Grecia, Irlanda del Nord, Italia, Lussemburgo, Messico, Norvegia, nuova Zelanda, Paesi Bassi, Perù, Polonia, Svezia, Turchia, Ungheria
Tazonam Austria, Chile
Tazopip Australia
Tazpen Colombia, Messico
Tazrobida Colombia
Tigux Chile
Tratac Chile
Trital Ecuador
Zosyn Giappone, Stati Uniti d’America
Compatibilità   Iniezione   Compatibilità : Piperacillin sodium / tazobactam              
explication_incompatibilite_molecules
Molecola Solvente Bibliografia
Precipitazioni dopo 1 ora Incompatibile
Iniezione Piperacillin sodium / tazobactam 40/5 mg/ml
Iniezione Aciclovir sodium 7 mg/ml
Glucosio 5% 81
Compatibile
Iniezione Piperacillin sodium / tazobactam 40/5 mg/ml
Nutrizione parenterale (con lipidi) 1415
Compatibile
Iniezione Piperacillin sodium / tazobactam 200 mg/ml
Ringer lattato 4603
Compatibile
Iniezione Piperacillin sodium / tazobactam 80 mg/ml
Nutrizione parenterale (con lipidi) 3948
Instabilità chimica Incompatibile
Iniezione Piperacillin sodium / tazobactam
Iniezione Amikacin sulfate
3586
Compatibile
Iniezione Piperacillin sodium / tazobactam 200 mg/ml
Nutrizione parenterale (con lipidi) 4924
Torbidità in 24 ore Incompatibile
Iniezione Piperacillin sodium / tazobactam 60 mg/ml
Iniezione Amiodarone hydrochloride 6 mg/ml
Glucosio 5% 1611
Precipitazioni immediate Incompatibile
Iniezione Piperacillin sodium / tazobactam 40/5 mg/ml
Iniezione Amphotericin B 0.6 mg/ml
Glucosio 5% 81
Precipitazioni immediate Incompatibile
Iniezione Piperacillin sodium / tazobactam 40/5 mg/ml
Iniezione Amphotericin B cholesteryl sulfate complex 0.83 mg/ml
Glucosio 5% 921
Compatibile
Iniezione Piperacillin sodium / tazobactam 40/5 mg/ml
Iniezione Anidulafungin 0.5 mg/ml
Glucosio 5% 1982
Compatibile
Iniezione Piperacillin sodium / tazobactam 40/5 mg/ml
Iniezione Aztreonam 40 mg/ml
Glucosio 5% 81
Compatibile
Iniezione Piperacillin sodium / tazobactam 40/5 mg/ml
Iniezione Bivalirudin 5 mg/ml
Glucosio 5% 1713
Compatibile
Iniezione Piperacillin sodium / tazobactam 40/5 mg/ml
Iniezione Bleomycin sulfate 1 mg/ml
Glucosio 5% 81
Compatibile
Iniezione Piperacillin sodium / tazobactam 200 mg/ml
Iniezione Caffeine 10 mg/ml
Nessuno 3964
Compatibile
Iniezione Piperacillin sodium / tazobactam 40/5 mg/ml
Iniezione Carboplatin 5 mg/ml
Glucosio 5% 81
Compatibile
Iniezione Piperacillin sodium / tazobactam 40/5 mg/ml
Iniezione Carmustine 1.5 mg/ml
Glucosio 5% 81
Compatibile
Iniezione Piperacillin sodium / tazobactam 40/5 mg/ml
Iniezione Ceftolozane / tazobactam 10/5 mg/ml
Cloruro di sodio 0,9% 3828
Torbidità immediata Incompatibile
Iniezione Piperacillin sodium / tazobactam 40/5 mg/ml
Iniezione Chlorpromazine hydrochloride 2 mg/ml
Glucosio 5% 81
Compatibile
Iniezione Piperacillin sodium / tazobactam 40/5 mg/ml
Iniezione Cisatracurium besylate 0.1 & 2 mg/ml
Glucosio 5% 299
Precipitazioni dopo 1 ora Incompatibile
Iniezione Piperacillin sodium / tazobactam 40/5 mg/ml
Iniezione Cisplatin 1 mg/ml
Glucosio 5% 81
Compatibile
Iniezione Piperacillin sodium / tazobactam 40/5 mg/ml
Iniezione Clindamycin phosphate 10 mg/ml
Glucosio 5% 81
Compatibile
Iniezione Piperacillin sodium / tazobactam 40/5 mg/ml
Iniezione Co-trimoxazole 0.8/4 mg/ml
Glucosio 5% 81
Compatibile
Iniezione Piperacillin sodium / tazobactam 40/0.5 mg/ml
Iniezione Colistin mesilate sodium 1.5 mg/ml
Cloruro di sodio 0,9% 3997
Compatibile
Iniezione Piperacillin sodium / tazobactam 40/5 mg/ml
Iniezione Cyclophosphamide 10 mg/ml
Glucosio 5% 81
Compatibile
Iniezione Piperacillin sodium / tazobactam 40/5 mg/ml
Iniezione Cytarabine 50 mg/ml
Glucosio 5% 81
Precipitazioni immediate Incompatibile
Iniezione Piperacillin sodium / tazobactam 40/5 mg/ml
Iniezione Dacarbazine 4 mg/ml
Glucosio 5% 81
Torbidità immediata Incompatibile
Iniezione Piperacillin sodium / tazobactam 40/5 mg/ml
Iniezione Daunorubicin hydrochloride 1 mg/ml
Glucosio 5% 81
Torbidità immediata Incompatibile
Iniezione Piperacillin sodium / tazobactam
Iniezione Daunorubicin/cytarabine liposomale 0,4 mg/mL
Cloruro di sodio 0,9% 4654
Torbidità immediata Incompatibile
Iniezione Piperacillin sodium / tazobactam 40/5 mg/ml
Iniezione Dobutamine hydrochloride 4 mg/ml
Glucosio 5% 81
Compatibile
Iniezione Piperacillin sodium / tazobactam 40/5 mg/ml
Iniezione Docetaxel 0.9 mg/ml
Glucosio 5% 1754
Torbidità immediata Incompatibile
Iniezione Piperacillin sodium / tazobactam 40/5 mg/ml
Iniezione Doxorubicin hydrochloride 2 mg/ml
Glucosio 5% 81
Torbidità immediata Incompatibile
Iniezione Piperacillin sodium / tazobactam 40/5 mg/ml
Iniezione Doxycycline hyclate 1 mg/ml
Glucosio 5% 81
Precipitazioni immediate Incompatibile
Iniezione Piperacillin sodium / tazobactam 40/5 mg/ml
Iniezione Droperidol 0.4 mg/ml
Glucosio 5% 81
Compatibile
Iniezione Piperacillin sodium / tazobactam 40/5 mg/ml
Iniezione Etoposide 0.4 mg/ml
Glucosio 5% 81
Compatibile
Iniezione Piperacillin sodium / tazobactam 40/5 mg/ml
Iniezione Etoposide phosphate 5 mg/ml
Cloruro di sodio 0,9% 1410
Precipitazioni immediate Incompatibile
Iniezione Piperacillin sodium / tazobactam 40/5 mg/ml
Iniezione Famotidine 2 mg/ml
Glucosio 5% 81
Compatibile
Iniezione Piperacillin sodium / tazobactam 40/5 mg/ml
Iniezione Fenoldopam mesylate 80 µg/ml
Cloruro di sodio 0,9% 1803
Compatibile
Iniezione Piperacillin sodium / tazobactam 40/5 mg/ml
Iniezione Floxuridine 3 mg/ml
Glucosio 5% 81
Compatibile
Iniezione Piperacillin sodium / tazobactam 40/5 mg/ml
Iniezione Fluconazole 2 mg/ml
Glucosio 5% 81
Compatibile
Iniezione Piperacillin sodium / tazobactam 40/5 mg/ml
Iniezione Fludarabine phosphate 1 mg/ml
Glucosio 5% 81
Compatibile
Iniezione Piperacillin sodium / tazobactam 40/5 mg/ml
Iniezione Fluorouracil 16 mg/ml
Glucosio 5% 81
Compatibile
Iniezione Piperacillin sodium / tazobactam 40/5 mg/ml
Iniezione Fosfomycin 30 mg/ml
Cloruro di sodio 0,9% 4055
Precipitazioni dopo 1 ora Incompatibile
Iniezione Piperacillin sodium / tazobactam 40/5 mg/ml
Iniezione Ganciclovir sodium 20 mg/ml
Glucosio 5% 81
Instabilità chimica Incompatibile
Iniezione Piperacillin sodium / tazobactam
Iniezione Gentamicin sulfate
3586
Compatibile
Iniezione Piperacillin sodium / tazobactam 40/5 mg/ml
Iniezione Granisetron hydrochloride 0.05 mg/ml
Glucosio 5% 182
Precipitazioni immediate Incompatibile
Iniezione Piperacillin sodium / tazobactam 40/5 mg/ml
Iniezione Haloperidol lactate 0.2 mg/ml
Glucosio 5% 81
Incompatibilità non specificata Incompatibile
Iniezione Piperacillin sodium / tazobactam
Ringer lattato 3586
Incompatibilità non specificata Incompatibile
Iniezione Piperacillin sodium / tazobactam
Iniezione Aciclovir sodium
3595
Instabilità chimica Incompatibile
Iniezione Piperacillin sodium / tazobactam
Iniezione Amikacin sulfate
3549
Compatibile
Iniezione Piperacillin sodium / tazobactam 40/5 mg/ml
Iniezione Aminophylline 2.5 mg/ml
Glucosio 5% 81
Compatibile
Iniezione Piperacillin sodium / tazobactam 100 mg/ml
Iniezione Amoxicillin sodium / clavulanic acid 100/10 mg/ml
3824
Precipitazioni immediate Incompatibile
Iniezione Piperacillin sodium / tazobactam 112.5 mg/ml
Iniezione Azithromycine 2 mg/ml
Cloruro di sodio 0,9% 1800
Compatibile
Iniezione Piperacillin sodium / tazobactam 40/5 mg/ml
Iniezione Bumetanide 0.04 mg/ml
Glucosio 5% 81
Compatibile
Iniezione Piperacillin sodium / tazobactam 40/5 mg/ml
Iniezione Buprenorphine hydrochloride 0.04 mg/ml
Glucosio 5% 81
Compatibile
Iniezione Piperacillin sodium / tazobactam 40/5 mg/ml
Iniezione Butorphanol tartrate 0.04 mg/ml
Glucosio 5% 81
Compatibile
Iniezione Piperacillin sodium / tazobactam 200 mg/ml
Iniezione Caffeine 10 mg/ml
Acqua per preparato iniettabile 4837
Compatibile
Iniezione Piperacillin sodium / tazobactam 200 mg/ml
Iniezione Caffeine citrate 20 mg/ml
Acqua per preparato iniettabile 4837
Compatibile
Iniezione Piperacillin sodium / tazobactam 40/5 mg/ml
Iniezione Calcium gluconate 40 mg/ml
Glucosio 5% 81
Precipitazioni immediate Incompatibile
Iniezione Piperacillin sodium / tazobactam 90 mg/ml
Iniezione Caspofungin acetate 0.5 mg/ml
Cloruro di sodio 0,9% 2233
Precipitazioni immediate Incompatibile
Iniezione Piperacillin sodium / tazobactam 40/5 mg/ml
Iniezione Caspofungin acetate 0,7 mg/ml
Cloruro di sodio 0,9% 2247
Compatibile
Iniezione Piperacillin sodium / tazobactam 40/5 mg/ml
Iniezione Ceftolozane / tazobactam 10/5 mg/ml
Glucosio 5% 3828
Compatibile
Iniezione Piperacillin sodium / tazobactam 40/5 mg/ml
Iniezione Cimetidine hydrochloride 12 mg/ml
Glucosio 5% 81
Incompatibilità non specificata Incompatibile
Iniezione Piperacillin sodium / tazobactam
Iniezione Ciprofloxacin lactate
3529
Precipitazioni dopo 4 ore Incompatibile
Iniezione Piperacillin sodium / tazobactam 40/5 mg/ml
Iniezione Cisatracurium besylate 5 mg/ml
Glucosio 5% 299
Compatibile
Iniezione Piperacillin sodium / tazobactam 225 mg/ml
Iniezione Cloxacillin sodium 100 mg/ml
Acqua per preparato iniettabile 3012
Incompatibilità subvisuale Incompatibile
Iniezione Piperacillin sodium / tazobactam
Iniezione Daunorubicin/cytarabine liposomale
4354
Compatibile
Iniezione Piperacillin sodium / tazobactam 40/5 mg/ml
Iniezione Dexamethasone sodium phosphate 1 mg/ml
Glucosio 5% 81
Compatibile
Iniezione Piperacillin sodium / tazobactam 40/5 mg/ml
Iniezione Dexmedetomidine 4 µg/ml
Cloruro di sodio 0,9% 1712
Compatibile
Iniezione Piperacillin sodium / tazobactam
Iniezione Dimenhydrinate
2087
Compatibile
Iniezione Piperacillin sodium / tazobactam 40/5 mg/ml
Iniezione Diphenhydramine hydrochloride 2 mg/ml
Glucosio 5% 81
Compatibile
Iniezione Piperacillin sodium / tazobactam 40/5 mg/ml
Iniezione Dopamine hydrochloride 3.2 mg/ml
Glucosio 5% 81
Perdita di torbidità Incompatibile
Iniezione Piperacillin sodium / tazobactam 40/5 mg/ml
Iniezione Doxorubicin hydrochloride liposome peg 0.4 mg/ml
Glucosio 5% 251
Compatibile
Iniezione Piperacillin sodium / tazobactam 40/5 mg/ml
Iniezione Enalaprilate 0.1 mg/ml
Glucosio 5% 81
Compatibile
Iniezione Piperacillin sodium / tazobactam 40/5 mg/ml
Iniezione Eravacycline 0,6 mg/ml
Cloruro di sodio 0,9% 4434
Incompatibilità non specificata Incompatibile
Iniezione Piperacillin sodium / tazobactam
Iniezione Erythromycin lactobionate
3674
Compatibile
Iniezione Piperacillin sodium / tazobactam 40/5 mg/ml
Iniezione Folinate calcium 2 mg/ml
Glucosio 5% 81
Compatibile
Iniezione Piperacillin sodium / tazobactam 40/5 mg/ml
Iniezione Fosfomycin 30 mg/ml
Glucosio 5% 4055
Compatibile
Iniezione Piperacillin sodium / tazobactam 40/5 mg/ml
Iniezione Furosemide 3 mg/ml
Glucosio 5% 81
Compatibile
Iniezione Piperacillin sodium / tazobactam 40/5 mg/ml
Iniezione Gallium nitrate 0.4 mg/ml
Glucosio 5% 81
Torbidità immediata Incompatibile
Iniezione Piperacillin sodium / tazobactam 40/5 mg/ml
Iniezione Gemcitabine hydrochloride 10 mg/ml
Cloruro di sodio 0,9% 1423
Incompatibilità non specificata Incompatibile
Iniezione Piperacillin sodium / tazobactam
Iniezione Gentamicin sulfate
3520
Incompatibilità non specificata Incompatibile
Iniezione Piperacillin sodium / tazobactam
Iniezione Gentamicin sulfate
3643
Compatibile
Iniezione Piperacillin sodium / tazobactam 0.5/0.0625 mg/ml
Iniezione Heparin sodium 0.5 UI/ml
Dianéal® 1.5% glucose (Baxter) 4180
Compatibile
Iniezione Piperacillin sodium / tazobactam 0.5/0.0625 mg/ml
Iniezione Heparin sodium 0.5 UI/ml
Extraneal® (Baxter) 4180
Compatibile
Iniezione Piperacillin sodium / tazobactam 1.38/0.1725 mg/ml
Iniezione Heparin sodium 1.4 UI/ml
Physionéal® 2.27 (Baxter) 4180
Compatibile
Iniezione Piperacillin sodium / tazobactam 0.5/0.0625 mg/ml
Iniezione Heparin sodium 0.5 UI/ml
Dianéal® 4.25% glucose (Baxter) 4180
Compatibile
Iniezione Piperacillin sodium / tazobactam 1.38/0.1725 mg/ml
Iniezione Heparin sodium 1.4 UI/ml
Physionéal® 3.86 (Baxter) 4180
Compatibile
Iniezione Piperacillin sodium / tazobactam 1.38/0.1725 mg/ml
Iniezione Heparin sodium 1.4 UI/ml
Physionéal® 1.36 (Baxter) 4180
Compatibile
Iniezione Piperacillin sodium / tazobactam 0.5/0.0625 mg/ml
Iniezione Heparin sodium 0.5 UI/ml
Dianéal® 2.5% glucose (Baxter) 4180
Compatibile
Iniezione Piperacillin sodium / tazobactam 40/5 mg/ml
Iniezione Heparin sodium 100 UI/ml
Glucosio 5% 81
Compatibile
Iniezione Piperacillin sodium / tazobactam 40/5 mg/ml
Iniezione Hetastarch 60 mg/ml
solvente specifico 1721
Compatibile
Iniezione Piperacillin sodium / tazobactam 40/5 mg/ml
Iniezione Hydrocortisone sodium succinate 1 mg/ml
Glucosio 5% 81
Compatibile
Iniezione Piperacillin sodium / tazobactam 40/5 mg/ml
Iniezione Hydromorphone hydrochloride 0.5 mg/ml
Glucosio 5% 81
Precipitazioni immediate Incompatibile
Iniezione Piperacillin sodium / tazobactam 40/5 mg/ml
Iniezione Hydroxyzine dihydrochloride 4 mg/ml
Glucosio 5% 81
Torbidità immediata Incompatibile
Iniezione Piperacillin sodium / tazobactam 40/5 mg/ml
Iniezione Idarubicin hydrochloride 0.5 mg/ml
Glucosio 5% 81
Compatibile
Iniezione Piperacillin sodium / tazobactam 40/5 mg/ml
Iniezione Ifosfamide 25 mg/ml
Glucosio 5% 81
Compatibile
Iniezione Piperacillin sodium / tazobactam 166/20.83 mg/ml
Iniezione Insulin 1 UI/ml
Cloruro di sodio 0,9% 4254
Compatibile
Iniezione Piperacillin sodium / tazobactam 45 mg/ml
Iniezione Insulin aspart 1 UI/ml
Cloruro di sodio 0,9% 1508
Compatibile
Iniezione Piperacillin sodium / tazobactam 45 mg/ml
Iniezione Insulin aspart 1 UI/ml
Glucosio 5% 1508
Compatibile
Iniezione Piperacillin sodium / tazobactam 40/5 mg/ml
Iniezione Isavuconazonium sulfate 1.5 mg/ml
Cloruro di sodio 0,9% 3829
Compatibile
Iniezione Piperacillin sodium / tazobactam 40/5 mg/ml
Iniezione Lansoprazole 0.55 mg/ml
Cloruro di sodio 0,9% 1625
Compatibile
Iniezione Piperacillin sodium / tazobactam 166/20.83 mg/ml
Iniezione Levetiracetam 20.83 mg/ml
Glucosio 5% 4254
Compatibile
Iniezione Piperacillin sodium / tazobactam 166/20.83 mg/ml
Iniezione Levetiracetam 20.83 mg/ml
Cloruro di sodio 0,9% 4254
Compatibile
Iniezione Piperacillin sodium / tazobactam 80 mg/ml
Nutrizione parenterale (privo di lipidi) 3948
Compatibile
Iniezione Piperacillin sodium / tazobactam 166/20.83 mg/ml
Iniezione Insulin 1 UI/ml
Glucosio 5% 4254
Compatibile
Iniezione Piperacillin sodium / tazobactam 33,75 mg/ml
Iniezione Levetiracetam 5 mg/ml
Cloruro di sodio 0,9% 4569
Compatibile
Iniezione Piperacillin sodium / tazobactam 40/5 mg/ml
Nutrizione parenterale (privo di lipidi) 301
Torbidità immediata Incompatibile
Iniezione Piperacillin sodium / tazobactam 40/5 mg/ml
Iniezione Isavuconazonium sulfate 1.5 mg/ml
Glucosio 5% 3829
Incompatibilità non specificata Incompatibile
Iniezione Piperacillin sodium / tazobactam
NaHCO3 3586
Instabilità chimica Incompatibile
Iniezione Piperacillin sodium / tazobactam
Iniezione Kanamycin sulfate
3586
Compatibile
Iniezione Piperacillin sodium / tazobactam 200 mg/ml
Iniezione Ketamine hydrochloride 50 mg/ml
2109
Incompatibilità subvisuale Incompatibile
Iniezione Piperacillin sodium / tazobactam 45 mg/ml
Iniezione Levetiracetam 5 mg/ml
Cloruro di sodio 0,9% 4569
Compatibile
Iniezione Piperacillin sodium / tazobactam 125 mg/ml
Iniezione Linezolid 2 mg/ml
4928
Compatibile
Iniezione Piperacillin sodium / tazobactam 40/5 mg/ml
Iniezione Linezolid 2 mg/ml
Nessuno 1925
Compatibile
Iniezione Piperacillin sodium / tazobactam 40/5 mg/ml
Iniezione Lorazepam 0.1 mg/ml
Glucosio 5% 81
Compatibile
Iniezione Piperacillin sodium / tazobactam 40/5 mg/ml
Iniezione Magnesium sulfate 100 mg/ml
Glucosio 5% 81
Compatibile
Iniezione Piperacillin sodium / tazobactam 40/5 mg/ml
Iniezione Mannitol 150 mg/ml
Glucosio 5% 81
Compatibile
Iniezione Piperacillin sodium / tazobactam 200 mg/ml
Iniezione Meropenem 50 mg/ml
Acqua per preparato iniettabile 4319
Compatibile
Iniezione Piperacillin sodium / tazobactam 40/5 mg/ml
Iniezione Mesna 10 mg/ml
Glucosio 5% 81
Compatibile
Iniezione Piperacillin sodium / tazobactam 40/5 mg/ml
Iniezione Methotrexate sodium 15 mg/ml
Glucosio 5% 81
Compatibile
Iniezione Piperacillin sodium / tazobactam 40/5 mg/ml
Iniezione Methylprednisolone sodium succinate 5 mg/ml
Glucosio 5% 81
Compatibile
Iniezione Piperacillin sodium / tazobactam 40/5 mg/ml
Iniezione Metoclopramide hydrochloride 5 mg/ml
Glucosio 5% 81
Compatibile
Iniezione Piperacillin sodium / tazobactam 40/5 mg/ml
Iniezione Metronidazole 5 mg/ml
Glucosio 5% 81
Precipitazioni immediate Incompatibile
Iniezione Piperacillin sodium / tazobactam 40/5 mg/ml
Iniezione Minocycline hydrochloride 1 mg/ml
Glucosio 5% 81
Cambio colore dopo 4 ore Incompatibile
Iniezione Piperacillin sodium / tazobactam 40/5 mg/ml
Iniezione Mitomycin 0.5 mg/ml
Glucosio 5% 81
Precipitazioni immediate Incompatibile
Iniezione Piperacillin sodium / tazobactam 40/5 mg/ml
Iniezione Mitoxantrone dihydrochloride 0.5 mg/ml
Glucosio 5% 81
Compatibile
Iniezione Piperacillin sodium / tazobactam 40/5 mg/ml
Iniezione Morphine sulfate 1 mg/ml
Glucosio 5% 81
Compatibile
Iniezione Piperacillin sodium / tazobactam
Iniezione N-acetylcysteine 200 mg/ml
Nessuno 3766
Torbidità immediata Incompatibile
Iniezione Piperacillin sodium / tazobactam 40/5 mg/ml
Iniezione Nalbuphine hydrochloride 10 mg/ml
Glucosio 5% 81
Compatibile
Iniezione Piperacillin sodium / tazobactam 200 mg/ml
Iniezione Naloxone hydrochloride 0.4 mg/ml
Nessuno 3408
Instabilità chimica Incompatibile
Iniezione Piperacillin sodium / tazobactam
Iniezione Netilmicin sulfate
3586
Compatibile
Iniezione Piperacillin sodium / tazobactam 20/2,5 & 40/5 mg/ml
Iniezione Ondansetron hydrochloride 0,015 >> 0,15 mg/ml
Cloruro di sodio 0,9% 16
Compatibile
Iniezione Piperacillin sodium / tazobactam 40/5 mg/ml
Iniezione Ondansetron hydrochloride 0.1 mg/ml
Glucosio 5% 81
Compatibile
Iniezione Piperacillin sodium / tazobactam 200/25 mg/ml
Iniezione Oxycodone hydrochloride 1 mg/ml
Cloruro di sodio 0,9% 4842
Precipitazioni dopo 1 ora Incompatibile
Iniezione Piperacillin sodium / tazobactam
Iniezione Pantoprazole sodium
2090
Compatibile
Iniezione Piperacillin sodium / tazobactam 100 mg/ml
Iniezione Paracetamol 10 mg/ml
Nessuno 3571
Compatibile
Iniezione Piperacillin sodium / tazobactam 100 mg/ml
Iniezione Paracetamol 10 mg/ml
4742
Compatibile
Iniezione Piperacillin sodium / tazobactam 200 mg/ml
Iniezione Pentoxifyllin 5 mg/ml
Cloruro di sodio 0,9% 4538
Compatibile
Iniezione Piperacillin sodium / tazobactam 40/5 mg/ml
Iniezione Pethidine hydrochloride 4 mg/ml
Glucosio 5% 81
Instabilità chimica Incompatibile
Iniezione Piperacillin sodium / tazobactam
Iniezione Plazomicin sulfate
3586
Compatibile
Iniezione Piperacillin sodium / tazobactam 40/5 mg/ml
Iniezione Plazomicin sulfate 24 mg/ml
Cloruro di sodio 0,9% 4145
Precipitazioni immediate Incompatibile
Iniezione Piperacillin sodium / tazobactam 160 mg/ml
Iniezione Posaconazole 1,2 mg/ml
Cloruro di sodio 0,9% 4521
Compatibile
Iniezione Piperacillin sodium / tazobactam 40/5 mg/ml
Iniezione Potassium chloride 100 mEq/l
Glucosio 5% 81
Torbidità immediata Incompatibile
Iniezione Piperacillin sodium / tazobactam 40/5 mg/ml
Iniezione Prochlorperazine edysilate 0.5 mg/ml
Glucosio 5% 81
Torbidità immediata Incompatibile
Iniezione Piperacillin sodium / tazobactam 40/5 mg/ml
Iniezione Promethazine hydrochloride 2 mg/ml
Glucosio 5% 81
Compatibile
Iniezione Piperacillin sodium / tazobactam 40/5 mg/ml
Iniezione Ranitidine hydrochloride 2 mg/ml
Glucosio 5% 81
Compatibile
Iniezione Piperacillin sodium / tazobactam 40/5 mg/ml
Iniezione Remifentanil hydrochloride 25 & 250 µg/ml
Cloruro di sodio 0,9% 59
Precipitazioni immediate Incompatibile
Iniezione Piperacillin sodium / tazobactam 200 mg/ml
Iniezione Salbutamol sulfate 1 mg/ml
Nessuno 3216
Compatibile
Iniezione Piperacillin sodium / tazobactam 40/5 mg/ml
Iniezione Sargramostim 10 µg/ml
Glucosio 5% 81
Compatibile
Iniezione Piperacillin sodium / tazobactam 200 mg/ml
Iniezione Sildenafil citrate 0,6 mg/ml
Glucosio 5% 4845
Incompatibilità non specificata Incompatibile
Iniezione Piperacillin sodium / tazobactam
Iniezione Sodium bicarbonate
3586
Compatibile
Iniezione Piperacillin sodium / tazobactam 40/5 mg/ml
Iniezione Sodium bicarbonate 84 mg/ml
Glucosio 5% 81
Instabilità chimica Incompatibile
Iniezione Piperacillin sodium / tazobactam
Iniezione Streptomycin sulfate
3586
Precipitazioni dopo 1 ora Incompatibile
Iniezione Piperacillin sodium / tazobactam 40/5 mg/ml
Iniezione Streptozocin 40 mg/ml
Glucosio 5% 81
Compatibile
Iniezione Piperacillin sodium / tazobactam 40/5 mg/ml
Iniezione Sulbactam/durlobactam 15/15 mg/ml
Cloruro di sodio 0,9% 4801
Compatibile
Iniezione Piperacillin sodium / tazobactam 40/5 mg/ml
Iniezione Tedizolid phosphate 0.8 mg/ml
Cloruro di sodio 0,9% 3827
Compatibile
Iniezione Piperacillin sodium / tazobactam 40/5 mg/ml
Iniezione Telavancin hydrochloride 7.5 mg/ml
Glucosio 5% 3254
Compatibile
Iniezione Piperacillin sodium / tazobactam 40/5 mg/ml
Iniezione Telavancin hydrochloride 7.5 mg/ml
Cloruro di sodio 0,9% 3254
Compatibile
Iniezione Piperacillin sodium / tazobactam 40/5 mg/ml
Iniezione Telavancin hydrochloride 7.5 mg/ml
Ringer lattato 3254
Instabilità chimica Incompatibile
Iniezione Piperacillin sodium / tazobactam 200 mg/ml
Iniezione Temocilline 83.33 mg/ml
Acqua per preparato iniettabile 2231
Incompatibilità non specificata Incompatibile
Iniezione Piperacillin sodium / tazobactam
Iniezione Temocilline
4470
Compatibile
Iniezione Piperacillin sodium / tazobactam 166/20.83 mg/ml
Iniezione Thiamine hydrochloride 0.4 mg/ml
Glucosio 5% 4254
Precipitazioni immediate Incompatibile
Iniezione Piperacillin sodium / tazobactam 200 mg/ml
Iniezione Thiopental sodium 25 mg/ml
Cloruro di sodio 0,9% 3767
Compatibile
Iniezione Piperacillin sodium / tazobactam 40/5 mg/ml
Iniezione Thiotepa 1 mg/ml
Glucosio 5% 81
Compatibile
Iniezione Piperacillin sodium / tazobactam
Iniezione Tigecycline
Cloruro di sodio 0,9% 3332
Instabilità chimica Incompatibile
Iniezione Piperacillin sodium / tazobactam
Iniezione Tobramycin sulfate
3586
Precipitazioni immediate Incompatibile
Iniezione Piperacillin sodium / tazobactam 112,5 mg/ml
Iniezione Vancomycin hydrochloride 10 mg/ml
Glucosio 5% 3428
Compatibile
Iniezione Piperacillin sodium / tazobactam
Glucosio 5% 3586
Compatibile
Iniezione Piperacillin sodium / tazobactam
Cloruro di sodio 0,9% 5069
Precipitazioni immediate Incompatibile
Iniezione Piperacillin sodium / tazobactam 100/12,5 mg/ml
Iniezione Vancomycin hydrochloride 10 mg/ml
3365
Precipitazioni immediate Incompatibile
Iniezione Piperacillin sodium / tazobactam 40 >> 100 mg/ml
Iniezione Vancomycin hydrochloride 10 mg/ml
Cloruro di sodio 0,9% 2475
Precipitazioni immediate Incompatibile
Iniezione Piperacillin sodium / tazobactam
Iniezione Vancomycin hydrochloride >8 mg/ml
Cloruro di sodio 0,9% 3841
Compatibile
Iniezione Piperacillin sodium / tazobactam 16 >> 100 mg/ml
Iniezione Vancomycin hydrochloride 2 mg/ml
Cloruro di sodio 0,9% 2475
Compatibile
Iniezione Piperacillin sodium / tazobactam 16 >> 100 mg/ml
Iniezione Vancomycin hydrochloride 5 mg/ml
Cloruro di sodio 0,9% 2475
Compatibile
Iniezione Piperacillin sodium / tazobactam 16 >> 30 mg/ml
Iniezione Vancomycin hydrochloride 10 mg/ml
Cloruro di sodio 0,9% 2475
Compatibile
Iniezione Piperacillin sodium / tazobactam 30/3,75 mg/ml
Iniezione Vancomycin hydrochloride 4 mg/ml
Cloruro di sodio 0,9% 3421
Compatibile
Iniezione Piperacillin sodium / tazobactam 40/5 mg/ml
Iniezione Vancomycin hydrochloride 4 mg/ml
Cloruro di sodio 0,9% 3421
Compatibile
Iniezione Piperacillin sodium / tazobactam 33.75 >> 90 mg/ml
Iniezione Vancomycin hydrochloride 4 >> 7 mg/ml
Cloruro di sodio 0,9% 3841
Precipitazioni immediate Incompatibile
Iniezione Piperacillin sodium / tazobactam 80 & 90 mg/ml
Iniezione Vancomycin hydrochloride 8 mg/ml
Cloruro di sodio 0,9% 3841
Compatibile
Iniezione Piperacillin sodium / tazobactam 33.75 >> 67.5 mg/ml
Iniezione Vancomycin hydrochloride 8 mg/ml
Cloruro di sodio 0,9% 3841
Torbidità immediata Incompatibile
Iniezione Piperacillin sodium / tazobactam 40/5 mg/ml
Iniezione Vancomycin hydrochloride 10 mg/ml
Glucosio 5% 81
Incompatibilità non specificata Incompatibile
Iniezione Piperacillin sodium / tazobactam 200 mg/ml
Iniezione Vancomycin hydrochloride 10 mg/ml
Glucosio 5% 3385
Precipitazioni immediate Incompatibile
Iniezione Piperacillin sodium / tazobactam 10/1.25 >> 200/25 mg/ml
Iniezione Vancomycin hydrochloride 20 mg/ml
Glucosio 5% 1674
Precipitazioni immediate Incompatibile
Iniezione Piperacillin sodium / tazobactam 80 >> 100 mg/ml
Iniezione Vancomycin hydrochloride 4 mg/ml
Glucosio 5% 2475
Precipitazioni immediate Incompatibile
Iniezione Piperacillin sodium / tazobactam 16 >> 100 mg/ml
Iniezione Vancomycin hydrochloride 8 mg/ml
Glucosio 5% 2475
Precipitazioni immediate Incompatibile
Iniezione Piperacillin sodium / tazobactam 28 mg/ml
Iniezione Vancomycin hydrochloride 10 & 15 mg/ml
Glucosio 5% 3984
Precipitazioni immediate Incompatibile
Iniezione Piperacillin sodium / tazobactam 67,5 mg/ml
Iniezione Vancomycin hydrochloride 5 mg/ml
Glucosio 5% 3960
Compatibile
Iniezione Piperacillin sodium / tazobactam 16 >> 40 mg/ml
Iniezione Vancomycin hydrochloride 4 mg/ml
Glucosio 5% 2475
Compatibile
Iniezione Piperacillin sodium / tazobactam 28 mg/ml
Iniezione Vancomycin hydrochloride 5 mg/ml
Glucosio 5% 3984
Compatibile
Iniezione Piperacillin sodium / tazobactam 1/0.125 >> 200/25 mg/ml
Iniezione Vancomycin hydrochloride 2 mg/ml
Glucosio 5% 1674
Compatibile
Iniezione Piperacillin sodium / tazobactam 1/0.125 mg/ml
Iniezione Vancomycin hydrochloride 20 mg/ml
Glucosio 5% 1674
Compatibile
Iniezione Piperacillin sodium / tazobactam 112.5 mg/ml
Iniezione Vasopressin 0.2 UI/ml
Cloruro di sodio 0,9% 2017
Compatibile
Iniezione Piperacillin sodium / tazobactam 40/5 mg/ml
Iniezione Vinblastine sulfate 0.12 mg/ml
Glucosio 5% 81
Compatibile
Iniezione Piperacillin sodium / tazobactam 40/5 mg/ml
Iniezione Vincristine sulfate 0.05 mg/ml
Glucosio 5% 81
Compatibile
Iniezione Piperacillin sodium / tazobactam 40/5 mg/ml
Iniezione Zidovudine 4 mg/ml
Glucosio 5% 81
Compatibile
Iniezione Piperacillin sodium / tazobactam 40/5 mg/ml
Normosol® 4655

  Mentions Légales