Ostatnia aktualizacja :
27/04/2026
Antybiotyk   Piperacillin sodium / tazobactam  
Injekcje
Trwałość roztworów Trwałość w mieszaninie Czynnik wpływający na trwałość Zgodność Sposób podania Bibliografia pdf
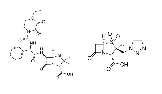
   Struktura chemiczna  

Nazwa handlowa   Nazwa handlowa     

Trade names are indicative and excipients composition can be different depending on the country and manufacturers

Bagotaz Argentyna
Betampil Ekwador
Bioval Chile
Petezam Argentyna
Piperac Niemcy
Piperacillin tazobactam Belgia, Kanada, Niemcy
Piperazam Brazylia
Pipetazo Chile
Pipitaz Austria
Pixamol KolumbiaKolumbia
Tazobac Ekwador, Portugalia, Szwajcaria, Włochy
Tazocel Hiszpania
Tazocilline Francja
Tazocin Afryka Południowa, Argentyna, Australia, Brazylia, Chorwacja, Dania, Egipt, Finlandia, Grecja, Holandia, Irlandia Północna, KolumbiaKolumbia, Luksemburg, Meksyk, Norwegia, nowa Zelandia, Peru, Polska, Szwecja, Turcja, Węgry, Wielka Brytania, Włochy, Zjednoczone Emiraty Arabskie
Tazonam Austria, Chile
Tazopip Australia
Tazpen KolumbiaKolumbia, Meksyk
Tazrobida KolumbiaKolumbia
Tigux Chile
Tratac Chile
Trital Ekwador
Zosyn Japonia, Stany Zjednoczone Ameryki
Zgodność   Injekcje   Zgodność : Piperacillin sodium / tazobactam              
Ekran ten wskazuje na kompatybilności lub niezgodności z, w tym przypadku, rodzajem niezgodności (strącanie, zmiana koloru, modyfikacja emulsji, itp.). Przedstawione tutaj kompatybilności są głównie fizyczne, a stabilność chemiczna każdej cząsteczki jest rzadko oceniana. Ocenę tych mieszanin badano w celu rozważenia możliwości podania pacjentowi w miejscu Y. Dane te nie mogą być wykorzystywane do sporządzania mieszanin z wyprzedzeniem w workach lub strzykawkach. Tego typu informacje są dostępne na ekranie „Stabilność w mieszaninie”.
Związek Rozpuszczalnik Bibliografia
Opady po 1 godzinie Niekompatybilny
Injekcje Piperacillin sodium / tazobactam 40/5 mg/ml
Injekcje Aciclovir sodium 7 mg/ml
Glukoza 5% 81
Zgodny
Injekcje Piperacillin sodium / tazobactam 40/5 mg/ml
Żywienie pozajelitowe (lipidami) 1415
Zgodny
Injekcje Piperacillin sodium / tazobactam 200 mg/ml
Roztwór Ringera z mleczanem sodowym 4603
Zgodny
Injekcje Piperacillin sodium / tazobactam 80 mg/ml
Żywienie pozajelitowe (lipidami) 3948
Niestabilność chemiczna Niekompatybilny
Injekcje Piperacillin sodium / tazobactam
Injekcje Amikacin sulfate
3586
Zgodny
Injekcje Piperacillin sodium / tazobactam 200 mg/ml
Żywienie pozajelitowe (lipidami) 4924
Zmętnienie w 24 godziny Niekompatybilny
Injekcje Piperacillin sodium / tazobactam 60 mg/ml
Injekcje Amiodarone hydrochloride 6 mg/ml
Glukoza 5% 1611
Natychmiastowe opady Niekompatybilny
Injekcje Piperacillin sodium / tazobactam 40/5 mg/ml
Injekcje Amphotericin B 0.6 mg/ml
Glukoza 5% 81
Natychmiastowe opady Niekompatybilny
Injekcje Piperacillin sodium / tazobactam 40/5 mg/ml
Injekcje Amphotericin B cholesteryl sulfate complex 0.83 mg/ml
Glukoza 5% 921
Zgodny
Injekcje Piperacillin sodium / tazobactam 40/5 mg/ml
Injekcje Anidulafungin 0.5 mg/ml
Glukoza 5% 1982
Zgodny
Injekcje Piperacillin sodium / tazobactam 40/5 mg/ml
Injekcje Aztreonam 40 mg/ml
Glukoza 5% 81
Zgodny
Injekcje Piperacillin sodium / tazobactam 40/5 mg/ml
Injekcje Bivalirudin 5 mg/ml
Glukoza 5% 1713
Zgodny
Injekcje Piperacillin sodium / tazobactam 40/5 mg/ml
Injekcje Bleomycin sulfate 1 mg/ml
Glukoza 5% 81
Zgodny
Injekcje Piperacillin sodium / tazobactam 200 mg/ml
Injekcje Caffeine 10 mg/ml
Żaden 3964
Zgodny
Injekcje Piperacillin sodium / tazobactam 40/5 mg/ml
Injekcje Carboplatin 5 mg/ml
Glukoza 5% 81
Zgodny
Injekcje Piperacillin sodium / tazobactam 40/5 mg/ml
Injekcje Carmustine 1.5 mg/ml
Glukoza 5% 81
Zgodny
Injekcje Piperacillin sodium / tazobactam 40/5 mg/ml
Injekcje Ceftolozane / tazobactam 10/5 mg/ml
Chlorek sodu 0,9% 3828
Natychmiastowe zmętnienie Niekompatybilny
Injekcje Piperacillin sodium / tazobactam 40/5 mg/ml
Injekcje Chlorpromazine hydrochloride 2 mg/ml
Glukoza 5% 81
Zgodny
Injekcje Piperacillin sodium / tazobactam 40/5 mg/ml
Injekcje Cisatracurium besylate 0.1 & 2 mg/ml
Glukoza 5% 299
Opady po 1 godzinie Niekompatybilny
Injekcje Piperacillin sodium / tazobactam 40/5 mg/ml
Injekcje Cisplatin 1 mg/ml
Glukoza 5% 81
Zgodny
Injekcje Piperacillin sodium / tazobactam 40/5 mg/ml
Injekcje Clindamycin phosphate 10 mg/ml
Glukoza 5% 81
Zgodny
Injekcje Piperacillin sodium / tazobactam 40/5 mg/ml
Injekcje Co-trimoxazole 0.8/4 mg/ml
Glukoza 5% 81
Zgodny
Injekcje Piperacillin sodium / tazobactam 40/0.5 mg/ml
Injekcje Colistin mesilate sodium 1.5 mg/ml
Chlorek sodu 0,9% 3997
Zgodny
Injekcje Piperacillin sodium / tazobactam 40/5 mg/ml
Injekcje Cyclophosphamide 10 mg/ml
Glukoza 5% 81
Zgodny
Injekcje Piperacillin sodium / tazobactam 40/5 mg/ml
Injekcje Cytarabine 50 mg/ml
Glukoza 5% 81
Natychmiastowe opady Niekompatybilny
Injekcje Piperacillin sodium / tazobactam 40/5 mg/ml
Injekcje Dacarbazine 4 mg/ml
Glukoza 5% 81
Natychmiastowe zmętnienie Niekompatybilny
Injekcje Piperacillin sodium / tazobactam 40/5 mg/ml
Injekcje Daunorubicin hydrochloride 1 mg/ml
Glukoza 5% 81
Natychmiastowe zmętnienie Niekompatybilny
Injekcje Piperacillin sodium / tazobactam
Injekcje Daunorubicin/cytarabine liposomale 0,4 mg/mL
Chlorek sodu 0,9% 4654
Natychmiastowe zmętnienie Niekompatybilny
Injekcje Piperacillin sodium / tazobactam 40/5 mg/ml
Injekcje Dobutamine hydrochloride 4 mg/ml
Glukoza 5% 81
Zgodny
Injekcje Piperacillin sodium / tazobactam 40/5 mg/ml
Injekcje Docetaxel 0.9 mg/ml
Glukoza 5% 1754
Natychmiastowe zmętnienie Niekompatybilny
Injekcje Piperacillin sodium / tazobactam 40/5 mg/ml
Injekcje Doxorubicin hydrochloride 2 mg/ml
Glukoza 5% 81
Natychmiastowe zmętnienie Niekompatybilny
Injekcje Piperacillin sodium / tazobactam 40/5 mg/ml
Injekcje Doxycycline hyclate 1 mg/ml
Glukoza 5% 81
Natychmiastowe opady Niekompatybilny
Injekcje Piperacillin sodium / tazobactam 40/5 mg/ml
Injekcje Droperidol 0.4 mg/ml
Glukoza 5% 81
Zgodny
Injekcje Piperacillin sodium / tazobactam 40/5 mg/ml
Injekcje Etoposide 0.4 mg/ml
Glukoza 5% 81
Zgodny
Injekcje Piperacillin sodium / tazobactam 40/5 mg/ml
Injekcje Etoposide phosphate 5 mg/ml
Chlorek sodu 0,9% 1410
Natychmiastowe opady Niekompatybilny
Injekcje Piperacillin sodium / tazobactam 40/5 mg/ml
Injekcje Famotidine 2 mg/ml
Glukoza 5% 81
Zgodny
Injekcje Piperacillin sodium / tazobactam 40/5 mg/ml
Injekcje Fenoldopam mesylate 80 µg/ml
Chlorek sodu 0,9% 1803
Zgodny
Injekcje Piperacillin sodium / tazobactam 40/5 mg/ml
Injekcje Floxuridine 3 mg/ml
Glukoza 5% 81
Zgodny
Injekcje Piperacillin sodium / tazobactam 40/5 mg/ml
Injekcje Fluconazole 2 mg/ml
Glukoza 5% 81
Zgodny
Injekcje Piperacillin sodium / tazobactam 40/5 mg/ml
Injekcje Fludarabine phosphate 1 mg/ml
Glukoza 5% 81
Zgodny
Injekcje Piperacillin sodium / tazobactam 40/5 mg/ml
Injekcje Fluorouracil 16 mg/ml
Glukoza 5% 81
Zgodny
Injekcje Piperacillin sodium / tazobactam 40/5 mg/ml
Injekcje Fosfomycin 30 mg/ml
Chlorek sodu 0,9% 4055
Opady po 1 godzinie Niekompatybilny
Injekcje Piperacillin sodium / tazobactam 40/5 mg/ml
Injekcje Ganciclovir sodium 20 mg/ml
Glukoza 5% 81
Niestabilność chemiczna Niekompatybilny
Injekcje Piperacillin sodium / tazobactam
Injekcje Gentamicin sulfate
3586
Zgodny
Injekcje Piperacillin sodium / tazobactam 40/5 mg/ml
Injekcje Granisetron hydrochloride 0.05 mg/ml
Glukoza 5% 182
Natychmiastowe opady Niekompatybilny
Injekcje Piperacillin sodium / tazobactam 40/5 mg/ml
Injekcje Haloperidol lactate 0.2 mg/ml
Glukoza 5% 81
Nieokreślona niezgodność Niekompatybilny
Injekcje Piperacillin sodium / tazobactam
Roztwór Ringera z mleczanem sodowym 3586
Nieokreślona niezgodność Niekompatybilny
Injekcje Piperacillin sodium / tazobactam
Injekcje Aciclovir sodium
3595
Niestabilność chemiczna Niekompatybilny
Injekcje Piperacillin sodium / tazobactam
Injekcje Amikacin sulfate
3549
Zgodny
Injekcje Piperacillin sodium / tazobactam 40/5 mg/ml
Injekcje Aminophylline 2.5 mg/ml
Glukoza 5% 81
Zgodny
Injekcje Piperacillin sodium / tazobactam 100 mg/ml
Injekcje Amoxicillin sodium / clavulanic acid 100/10 mg/ml
3824
Natychmiastowe opady Niekompatybilny
Injekcje Piperacillin sodium / tazobactam 112.5 mg/ml
Injekcje Azithromycine 2 mg/ml
Chlorek sodu 0,9% 1800
Zgodny
Injekcje Piperacillin sodium / tazobactam 40/5 mg/ml
Injekcje Bumetanide 0.04 mg/ml
Glukoza 5% 81
Zgodny
Injekcje Piperacillin sodium / tazobactam 40/5 mg/ml
Injekcje Buprenorphine hydrochloride 0.04 mg/ml
Glukoza 5% 81
Zgodny
Injekcje Piperacillin sodium / tazobactam 40/5 mg/ml
Injekcje Butorphanol tartrate 0.04 mg/ml
Glukoza 5% 81
Zgodny
Injekcje Piperacillin sodium / tazobactam 200 mg/ml
Injekcje Caffeine 10 mg/ml
Woda do wstrzyknięć 4837
Zgodny
Injekcje Piperacillin sodium / tazobactam 200 mg/ml
Injekcje Caffeine citrate 20 mg/ml
Woda do wstrzyknięć 4837
Zgodny
Injekcje Piperacillin sodium / tazobactam 40/5 mg/ml
Injekcje Calcium gluconate 40 mg/ml
Glukoza 5% 81
Natychmiastowe opady Niekompatybilny
Injekcje Piperacillin sodium / tazobactam 90 mg/ml
Injekcje Caspofungin acetate 0.5 mg/ml
Chlorek sodu 0,9% 2233
Natychmiastowe opady Niekompatybilny
Injekcje Piperacillin sodium / tazobactam 40/5 mg/ml
Injekcje Caspofungin acetate 0,7 mg/ml
Chlorek sodu 0,9% 2247
Zgodny
Injekcje Piperacillin sodium / tazobactam 40/5 mg/ml
Injekcje Ceftolozane / tazobactam 10/5 mg/ml
Glukoza 5% 3828
Zgodny
Injekcje Piperacillin sodium / tazobactam 40/5 mg/ml
Injekcje Cimetidine hydrochloride 12 mg/ml
Glukoza 5% 81
Nieokreślona niezgodność Niekompatybilny
Injekcje Piperacillin sodium / tazobactam
Injekcje Ciprofloxacin lactate
3529
Opady po 4 godzinach Niekompatybilny
Injekcje Piperacillin sodium / tazobactam 40/5 mg/ml
Injekcje Cisatracurium besylate 5 mg/ml
Glukoza 5% 299
Zgodny
Injekcje Piperacillin sodium / tazobactam 225 mg/ml
Injekcje Cloxacillin sodium 100 mg/ml
Woda do wstrzyknięć 3012
Niezgodność wizualna Niekompatybilny
Injekcje Piperacillin sodium / tazobactam
Injekcje Daunorubicin/cytarabine liposomale
4354
Zgodny
Injekcje Piperacillin sodium / tazobactam 40/5 mg/ml
Injekcje Dexamethasone sodium phosphate 1 mg/ml
Glukoza 5% 81
Zgodny
Injekcje Piperacillin sodium / tazobactam 40/5 mg/ml
Injekcje Dexmedetomidine 4 µg/ml
Chlorek sodu 0,9% 1712
Zgodny
Injekcje Piperacillin sodium / tazobactam
Injekcje Dimenhydrinate
2087
Zgodny
Injekcje Piperacillin sodium / tazobactam 40/5 mg/ml
Injekcje Diphenhydramine hydrochloride 2 mg/ml
Glukoza 5% 81
Zgodny
Injekcje Piperacillin sodium / tazobactam 40/5 mg/ml
Injekcje Dopamine hydrochloride 3.2 mg/ml
Glukoza 5% 81
Utrata zmętnienia Niekompatybilny
Injekcje Piperacillin sodium / tazobactam 40/5 mg/ml
Injekcje Doxorubicin hydrochloride liposome peg 0.4 mg/ml
Glukoza 5% 251
Zgodny
Injekcje Piperacillin sodium / tazobactam 40/5 mg/ml
Injekcje Enalaprilate 0.1 mg/ml
Glukoza 5% 81
Zgodny
Injekcje Piperacillin sodium / tazobactam 40/5 mg/ml
Injekcje Eravacycline 0,6 mg/ml
Chlorek sodu 0,9% 4434
Nieokreślona niezgodność Niekompatybilny
Injekcje Piperacillin sodium / tazobactam
Injekcje Erythromycin lactobionate
3674
Zgodny
Injekcje Piperacillin sodium / tazobactam 40/5 mg/ml
Injekcje Folinate calcium 2 mg/ml
Glukoza 5% 81
Zgodny
Injekcje Piperacillin sodium / tazobactam 40/5 mg/ml
Injekcje Fosfomycin 30 mg/ml
Glukoza 5% 4055
Zgodny
Injekcje Piperacillin sodium / tazobactam 40/5 mg/ml
Injekcje Furosemide 3 mg/ml
Glukoza 5% 81
Zgodny
Injekcje Piperacillin sodium / tazobactam 40/5 mg/ml
Injekcje Gallium nitrate 0.4 mg/ml
Glukoza 5% 81
Natychmiastowe zmętnienie Niekompatybilny
Injekcje Piperacillin sodium / tazobactam 40/5 mg/ml
Injekcje Gemcitabine hydrochloride 10 mg/ml
Chlorek sodu 0,9% 1423
Nieokreślona niezgodność Niekompatybilny
Injekcje Piperacillin sodium / tazobactam
Injekcje Gentamicin sulfate
3520
Nieokreślona niezgodność Niekompatybilny
Injekcje Piperacillin sodium / tazobactam
Injekcje Gentamicin sulfate
3643
Zgodny
Injekcje Piperacillin sodium / tazobactam 0.5/0.0625 mg/ml
Injekcje Heparin sodium 0.5 UI/ml
Dianéal® 1.5% glucose (Baxter) 4180
Zgodny
Injekcje Piperacillin sodium / tazobactam 0.5/0.0625 mg/ml
Injekcje Heparin sodium 0.5 UI/ml
Extraneal® (Baxter) 4180
Zgodny
Injekcje Piperacillin sodium / tazobactam 1.38/0.1725 mg/ml
Injekcje Heparin sodium 1.4 UI/ml
Physionéal® 2.27 (Baxter) 4180
Zgodny
Injekcje Piperacillin sodium / tazobactam 0.5/0.0625 mg/ml
Injekcje Heparin sodium 0.5 UI/ml
Dianéal® 4.25% glucose (Baxter) 4180
Zgodny
Injekcje Piperacillin sodium / tazobactam 1.38/0.1725 mg/ml
Injekcje Heparin sodium 1.4 UI/ml
Physionéal® 3.86 (Baxter) 4180
Zgodny
Injekcje Piperacillin sodium / tazobactam 1.38/0.1725 mg/ml
Injekcje Heparin sodium 1.4 UI/ml
Physionéal® 1.36 (Baxter) 4180
Zgodny
Injekcje Piperacillin sodium / tazobactam 0.5/0.0625 mg/ml
Injekcje Heparin sodium 0.5 UI/ml
Dianéal® 2.5% glucose (Baxter) 4180
Zgodny
Injekcje Piperacillin sodium / tazobactam 40/5 mg/ml
Injekcje Heparin sodium 100 UI/ml
Glukoza 5% 81
Zgodny
Injekcje Piperacillin sodium / tazobactam 40/5 mg/ml
Injekcje Hetastarch 60 mg/ml
danego rozpuszczalnika 1721
Zgodny
Injekcje Piperacillin sodium / tazobactam 40/5 mg/ml
Injekcje Hydrocortisone sodium succinate 1 mg/ml
Glukoza 5% 81
Zgodny
Injekcje Piperacillin sodium / tazobactam 40/5 mg/ml
Injekcje Hydromorphone hydrochloride 0.5 mg/ml
Glukoza 5% 81
Natychmiastowe opady Niekompatybilny
Injekcje Piperacillin sodium / tazobactam 40/5 mg/ml
Injekcje Hydroxyzine dihydrochloride 4 mg/ml
Glukoza 5% 81
Natychmiastowe zmętnienie Niekompatybilny
Injekcje Piperacillin sodium / tazobactam 40/5 mg/ml
Injekcje Idarubicin hydrochloride 0.5 mg/ml
Glukoza 5% 81
Zgodny
Injekcje Piperacillin sodium / tazobactam 40/5 mg/ml
Injekcje Ifosfamide 25 mg/ml
Glukoza 5% 81
Zgodny
Injekcje Piperacillin sodium / tazobactam 166/20.83 mg/ml
Injekcje Insulin 1 UI/ml
Chlorek sodu 0,9% 4254
Zgodny
Injekcje Piperacillin sodium / tazobactam 45 mg/ml
Injekcje Insulin aspart 1 UI/ml
Chlorek sodu 0,9% 1508
Zgodny
Injekcje Piperacillin sodium / tazobactam 45 mg/ml
Injekcje Insulin aspart 1 UI/ml
Glukoza 5% 1508
Zgodny
Injekcje Piperacillin sodium / tazobactam 40/5 mg/ml
Injekcje Isavuconazonium sulfate 1.5 mg/ml
Chlorek sodu 0,9% 3829
Zgodny
Injekcje Piperacillin sodium / tazobactam 40/5 mg/ml
Injekcje Lansoprazole 0.55 mg/ml
Chlorek sodu 0,9% 1625
Zgodny
Injekcje Piperacillin sodium / tazobactam 166/20.83 mg/ml
Injekcje Levetiracetam 20.83 mg/ml
Glukoza 5% 4254
Zgodny
Injekcje Piperacillin sodium / tazobactam 166/20.83 mg/ml
Injekcje Levetiracetam 20.83 mg/ml
Chlorek sodu 0,9% 4254
Zgodny
Injekcje Piperacillin sodium / tazobactam 80 mg/ml
Odżywianie pozajelitowe (mieszanina binarny) 3948
Zgodny
Injekcje Piperacillin sodium / tazobactam 166/20.83 mg/ml
Injekcje Insulin 1 UI/ml
Glukoza 5% 4254
Zgodny
Injekcje Piperacillin sodium / tazobactam 33,75 mg/ml
Injekcje Levetiracetam 5 mg/ml
Chlorek sodu 0,9% 4569
Zgodny
Injekcje Piperacillin sodium / tazobactam 40/5 mg/ml
Odżywianie pozajelitowe (mieszanina binarny) 301
Natychmiastowe zmętnienie Niekompatybilny
Injekcje Piperacillin sodium / tazobactam 40/5 mg/ml
Injekcje Isavuconazonium sulfate 1.5 mg/ml
Glukoza 5% 3829
Nieokreślona niezgodność Niekompatybilny
Injekcje Piperacillin sodium / tazobactam
NaHCO3 3586
Niestabilność chemiczna Niekompatybilny
Injekcje Piperacillin sodium / tazobactam
Injekcje Kanamycin sulfate
3586
Zgodny
Injekcje Piperacillin sodium / tazobactam 200 mg/ml
Injekcje Ketamine hydrochloride 50 mg/ml
2109
Niezgodność wizualna Niekompatybilny
Injekcje Piperacillin sodium / tazobactam 45 mg/ml
Injekcje Levetiracetam 5 mg/ml
Chlorek sodu 0,9% 4569
Zgodny
Injekcje Piperacillin sodium / tazobactam 125 mg/ml
Injekcje Linezolid 2 mg/ml
4928
Zgodny
Injekcje Piperacillin sodium / tazobactam 40/5 mg/ml
Injekcje Linezolid 2 mg/ml
Żaden 1925
Zgodny
Injekcje Piperacillin sodium / tazobactam 40/5 mg/ml
Injekcje Lorazepam 0.1 mg/ml
Glukoza 5% 81
Zgodny
Injekcje Piperacillin sodium / tazobactam 40/5 mg/ml
Injekcje Magnesium sulfate 100 mg/ml
Glukoza 5% 81
Zgodny
Injekcje Piperacillin sodium / tazobactam 40/5 mg/ml
Injekcje Mannitol 150 mg/ml
Glukoza 5% 81
Zgodny
Injekcje Piperacillin sodium / tazobactam 200 mg/ml
Injekcje Meropenem 50 mg/ml
Woda do wstrzyknięć 4319
Zgodny
Injekcje Piperacillin sodium / tazobactam 40/5 mg/ml
Injekcje Mesna 10 mg/ml
Glukoza 5% 81
Zgodny
Injekcje Piperacillin sodium / tazobactam 40/5 mg/ml
Injekcje Methotrexate sodium 15 mg/ml
Glukoza 5% 81
Zgodny
Injekcje Piperacillin sodium / tazobactam 40/5 mg/ml
Injekcje Methylprednisolone sodium succinate 5 mg/ml
Glukoza 5% 81
Zgodny
Injekcje Piperacillin sodium / tazobactam 40/5 mg/ml
Injekcje Metoclopramide hydrochloride 5 mg/ml
Glukoza 5% 81
Zgodny
Injekcje Piperacillin sodium / tazobactam 40/5 mg/ml
Injekcje Metronidazole 5 mg/ml
Glukoza 5% 81
Natychmiastowe opady Niekompatybilny
Injekcje Piperacillin sodium / tazobactam 40/5 mg/ml
Injekcje Minocycline hydrochloride 1 mg/ml
Glukoza 5% 81
Zmiana koloru po 4 godzinach Niekompatybilny
Injekcje Piperacillin sodium / tazobactam 40/5 mg/ml
Injekcje Mitomycin 0.5 mg/ml
Glukoza 5% 81
Natychmiastowe opady Niekompatybilny
Injekcje Piperacillin sodium / tazobactam 40/5 mg/ml
Injekcje Mitoxantrone dihydrochloride 0.5 mg/ml
Glukoza 5% 81
Zgodny
Injekcje Piperacillin sodium / tazobactam 40/5 mg/ml
Injekcje Morphine sulfate 1 mg/ml
Glukoza 5% 81
Zgodny
Injekcje Piperacillin sodium / tazobactam
Injekcje N-acetylcysteine 200 mg/ml
Żaden 3766
Natychmiastowe zmętnienie Niekompatybilny
Injekcje Piperacillin sodium / tazobactam 40/5 mg/ml
Injekcje Nalbuphine hydrochloride 10 mg/ml
Glukoza 5% 81
Zgodny
Injekcje Piperacillin sodium / tazobactam 200 mg/ml
Injekcje Naloxone hydrochloride 0.4 mg/ml
Żaden 3408
Niestabilność chemiczna Niekompatybilny
Injekcje Piperacillin sodium / tazobactam
Injekcje Netilmicin sulfate
3586
Zgodny
Injekcje Piperacillin sodium / tazobactam 20/2,5 & 40/5 mg/ml
Injekcje Ondansetron hydrochloride 0,015 >> 0,15 mg/ml
Chlorek sodu 0,9% 16
Zgodny
Injekcje Piperacillin sodium / tazobactam 40/5 mg/ml
Injekcje Ondansetron hydrochloride 0.1 mg/ml
Glukoza 5% 81
Zgodny
Injekcje Piperacillin sodium / tazobactam 200/25 mg/ml
Injekcje Oxycodone hydrochloride 1 mg/ml
Chlorek sodu 0,9% 4842
Opady po 1 godzinie Niekompatybilny
Injekcje Piperacillin sodium / tazobactam
Injekcje Pantoprazole sodium
2090
Zgodny
Injekcje Piperacillin sodium / tazobactam 100 mg/ml
Injekcje Paracetamol 10 mg/ml
Żaden 3571
Zgodny
Injekcje Piperacillin sodium / tazobactam 100 mg/ml
Injekcje Paracetamol 10 mg/ml
4742
Zgodny
Injekcje Piperacillin sodium / tazobactam 200 mg/ml
Injekcje Pentoxifyllin 5 mg/ml
Chlorek sodu 0,9% 4538
Zgodny
Injekcje Piperacillin sodium / tazobactam 40/5 mg/ml
Injekcje Pethidine hydrochloride 4 mg/ml
Glukoza 5% 81
Niestabilność chemiczna Niekompatybilny
Injekcje Piperacillin sodium / tazobactam
Injekcje Plazomicin sulfate
3586
Zgodny
Injekcje Piperacillin sodium / tazobactam 40/5 mg/ml
Injekcje Plazomicin sulfate 24 mg/ml
Chlorek sodu 0,9% 4145
Natychmiastowe opady Niekompatybilny
Injekcje Piperacillin sodium / tazobactam 160 mg/ml
Injekcje Posaconazole 1,2 mg/ml
Chlorek sodu 0,9% 4521
Zgodny
Injekcje Piperacillin sodium / tazobactam 40/5 mg/ml
Injekcje Potassium chloride 100 mEq/l
Glukoza 5% 81
Natychmiastowe zmętnienie Niekompatybilny
Injekcje Piperacillin sodium / tazobactam 40/5 mg/ml
Injekcje Prochlorperazine edysilate 0.5 mg/ml
Glukoza 5% 81
Natychmiastowe zmętnienie Niekompatybilny
Injekcje Piperacillin sodium / tazobactam 40/5 mg/ml
Injekcje Promethazine hydrochloride 2 mg/ml
Glukoza 5% 81
Zgodny
Injekcje Piperacillin sodium / tazobactam 40/5 mg/ml
Injekcje Ranitidine hydrochloride 2 mg/ml
Glukoza 5% 81
Zgodny
Injekcje Piperacillin sodium / tazobactam 40/5 mg/ml
Injekcje Remifentanil hydrochloride 25 & 250 µg/ml
Chlorek sodu 0,9% 59
Natychmiastowe opady Niekompatybilny
Injekcje Piperacillin sodium / tazobactam 200 mg/ml
Injekcje Salbutamol sulfate 1 mg/ml
Żaden 3216
Zgodny
Injekcje Piperacillin sodium / tazobactam 40/5 mg/ml
Injekcje Sargramostim 10 µg/ml
Glukoza 5% 81
Zgodny
Injekcje Piperacillin sodium / tazobactam 200 mg/ml
Injekcje Sildenafil citrate 0,6 mg/ml
Glukoza 5% 4845
Nieokreślona niezgodność Niekompatybilny
Injekcje Piperacillin sodium / tazobactam
Injekcje Sodium bicarbonate
3586
Zgodny
Injekcje Piperacillin sodium / tazobactam 40/5 mg/ml
Injekcje Sodium bicarbonate 84 mg/ml
Glukoza 5% 81
Niestabilność chemiczna Niekompatybilny
Injekcje Piperacillin sodium / tazobactam
Injekcje Streptomycin sulfate
3586
Opady po 1 godzinie Niekompatybilny
Injekcje Piperacillin sodium / tazobactam 40/5 mg/ml
Injekcje Streptozocin 40 mg/ml
Glukoza 5% 81
Zgodny
Injekcje Piperacillin sodium / tazobactam 40/5 mg/ml
Injekcje Sulbactam/durlobactam 15/15 mg/ml
Chlorek sodu 0,9% 4801
Zgodny
Injekcje Piperacillin sodium / tazobactam 40/5 mg/ml
Injekcje Tedizolid phosphate 0.8 mg/ml
Chlorek sodu 0,9% 3827
Zgodny
Injekcje Piperacillin sodium / tazobactam 40/5 mg/ml
Injekcje Telavancin hydrochloride 7.5 mg/ml
Glukoza 5% 3254
Zgodny
Injekcje Piperacillin sodium / tazobactam 40/5 mg/ml
Injekcje Telavancin hydrochloride 7.5 mg/ml
Chlorek sodu 0,9% 3254
Zgodny
Injekcje Piperacillin sodium / tazobactam 40/5 mg/ml
Injekcje Telavancin hydrochloride 7.5 mg/ml
Roztwór Ringera z mleczanem sodowym 3254
Niestabilność chemiczna Niekompatybilny
Injekcje Piperacillin sodium / tazobactam 200 mg/ml
Injekcje Temocilline 83.33 mg/ml
Woda do wstrzyknięć 2231
Nieokreślona niezgodność Niekompatybilny
Injekcje Piperacillin sodium / tazobactam
Injekcje Temocilline
4470
Zgodny
Injekcje Piperacillin sodium / tazobactam 166/20.83 mg/ml
Injekcje Thiamine hydrochloride 0.4 mg/ml
Glukoza 5% 4254
Natychmiastowe opady Niekompatybilny
Injekcje Piperacillin sodium / tazobactam 200 mg/ml
Injekcje Thiopental sodium 25 mg/ml
Chlorek sodu 0,9% 3767
Zgodny
Injekcje Piperacillin sodium / tazobactam 40/5 mg/ml
Injekcje Thiotepa 1 mg/ml
Glukoza 5% 81
Zgodny
Injekcje Piperacillin sodium / tazobactam
Injekcje Tigecycline
Chlorek sodu 0,9% 3332
Niestabilność chemiczna Niekompatybilny
Injekcje Piperacillin sodium / tazobactam
Injekcje Tobramycin sulfate
3586
Natychmiastowe opady Niekompatybilny
Injekcje Piperacillin sodium / tazobactam 112,5 mg/ml
Injekcje Vancomycin hydrochloride 10 mg/ml
Glukoza 5% 3428
Zgodny
Injekcje Piperacillin sodium / tazobactam
Glukoza 5% 3586
Zgodny
Injekcje Piperacillin sodium / tazobactam
Chlorek sodu 0,9% 5069
Natychmiastowe opady Niekompatybilny
Injekcje Piperacillin sodium / tazobactam 100/12,5 mg/ml
Injekcje Vancomycin hydrochloride 10 mg/ml
3365
Natychmiastowe opady Niekompatybilny
Injekcje Piperacillin sodium / tazobactam 40 >> 100 mg/ml
Injekcje Vancomycin hydrochloride 10 mg/ml
Chlorek sodu 0,9% 2475
Natychmiastowe opady Niekompatybilny
Injekcje Piperacillin sodium / tazobactam
Injekcje Vancomycin hydrochloride >8 mg/ml
Chlorek sodu 0,9% 3841
Zgodny
Injekcje Piperacillin sodium / tazobactam 16 >> 100 mg/ml
Injekcje Vancomycin hydrochloride 2 mg/ml
Chlorek sodu 0,9% 2475
Zgodny
Injekcje Piperacillin sodium / tazobactam 16 >> 100 mg/ml
Injekcje Vancomycin hydrochloride 5 mg/ml
Chlorek sodu 0,9% 2475
Zgodny
Injekcje Piperacillin sodium / tazobactam 16 >> 30 mg/ml
Injekcje Vancomycin hydrochloride 10 mg/ml
Chlorek sodu 0,9% 2475
Zgodny
Injekcje Piperacillin sodium / tazobactam 30/3,75 mg/ml
Injekcje Vancomycin hydrochloride 4 mg/ml
Chlorek sodu 0,9% 3421
Zgodny
Injekcje Piperacillin sodium / tazobactam 40/5 mg/ml
Injekcje Vancomycin hydrochloride 4 mg/ml
Chlorek sodu 0,9% 3421
Zgodny
Injekcje Piperacillin sodium / tazobactam 33.75 >> 90 mg/ml
Injekcje Vancomycin hydrochloride 4 >> 7 mg/ml
Chlorek sodu 0,9% 3841
Natychmiastowe opady Niekompatybilny
Injekcje Piperacillin sodium / tazobactam 80 & 90 mg/ml
Injekcje Vancomycin hydrochloride 8 mg/ml
Chlorek sodu 0,9% 3841
Zgodny
Injekcje Piperacillin sodium / tazobactam 33.75 >> 67.5 mg/ml
Injekcje Vancomycin hydrochloride 8 mg/ml
Chlorek sodu 0,9% 3841
Natychmiastowe zmętnienie Niekompatybilny
Injekcje Piperacillin sodium / tazobactam 40/5 mg/ml
Injekcje Vancomycin hydrochloride 10 mg/ml
Glukoza 5% 81
Nieokreślona niezgodność Niekompatybilny
Injekcje Piperacillin sodium / tazobactam 200 mg/ml
Injekcje Vancomycin hydrochloride 10 mg/ml
Glukoza 5% 3385
Natychmiastowe opady Niekompatybilny
Injekcje Piperacillin sodium / tazobactam 10/1.25 >> 200/25 mg/ml
Injekcje Vancomycin hydrochloride 20 mg/ml
Glukoza 5% 1674
Natychmiastowe opady Niekompatybilny
Injekcje Piperacillin sodium / tazobactam 80 >> 100 mg/ml
Injekcje Vancomycin hydrochloride 4 mg/ml
Glukoza 5% 2475
Natychmiastowe opady Niekompatybilny
Injekcje Piperacillin sodium / tazobactam 16 >> 100 mg/ml
Injekcje Vancomycin hydrochloride 8 mg/ml
Glukoza 5% 2475
Natychmiastowe opady Niekompatybilny
Injekcje Piperacillin sodium / tazobactam 28 mg/ml
Injekcje Vancomycin hydrochloride 10 & 15 mg/ml
Glukoza 5% 3984
Natychmiastowe opady Niekompatybilny
Injekcje Piperacillin sodium / tazobactam 67,5 mg/ml
Injekcje Vancomycin hydrochloride 5 mg/ml
Glukoza 5% 3960
Zgodny
Injekcje Piperacillin sodium / tazobactam 16 >> 40 mg/ml
Injekcje Vancomycin hydrochloride 4 mg/ml
Glukoza 5% 2475
Zgodny
Injekcje Piperacillin sodium / tazobactam 28 mg/ml
Injekcje Vancomycin hydrochloride 5 mg/ml
Glukoza 5% 3984
Zgodny
Injekcje Piperacillin sodium / tazobactam 1/0.125 >> 200/25 mg/ml
Injekcje Vancomycin hydrochloride 2 mg/ml
Glukoza 5% 1674
Zgodny
Injekcje Piperacillin sodium / tazobactam 1/0.125 mg/ml
Injekcje Vancomycin hydrochloride 20 mg/ml
Glukoza 5% 1674
Zgodny
Injekcje Piperacillin sodium / tazobactam 112.5 mg/ml
Injekcje Vasopressin 0.2 UI/ml
Chlorek sodu 0,9% 2017
Zgodny
Injekcje Piperacillin sodium / tazobactam 40/5 mg/ml
Injekcje Vinblastine sulfate 0.12 mg/ml
Glukoza 5% 81
Zgodny
Injekcje Piperacillin sodium / tazobactam 40/5 mg/ml
Injekcje Vincristine sulfate 0.05 mg/ml
Glukoza 5% 81
Zgodny
Injekcje Piperacillin sodium / tazobactam 40/5 mg/ml
Injekcje Zidovudine 4 mg/ml
Glukoza 5% 81
Zgodny
Injekcje Piperacillin sodium / tazobactam 40/5 mg/ml
Normosol® 4655

  Mentions Légales