Letztes “update” :
27/04/2026
Antibiotikum   Piperacillin sodium / tazobactam  
Injektion
Stabilität der Lösung Gemengestabilität Stabilitätbeeinflussende Faktoren Kompatibilitäten Applikationsart Literaturverzeichnis pdf
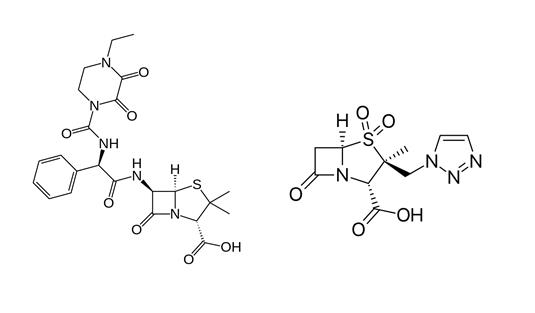
   Chemische Struktur  

Handelsmarke   Handelsmarke     

Handelsnamen sind als beispielhaft anzusehen. Sonstige Bestandteile können je nach Hersteller oder Land verschieden sein

Bagotaz Argentinien
Betampil Ecuador
Bioval Chile
Petezam Argentinien
Piperac Deutschland
Piperacillin tazobactam Belgien, Deutschland, Kanada
Piperazam Brasilien
Pipetazo Chile
Pipitaz Österreich
Pixamol Kolumbien
Tazobac Ecuador, Italien, Portugal, Schweiz
Tazocel Spanien
Tazocilline Frankreich
Tazocin Ägypten, Argentinien, Australien, Brasilien, Dänemark, Finnland, Griechenland, Großbritannien, Italien, Kolumbien, Kroatien, Luxemburg, Mexiko, Neuseeland, Niederlande, Nordirland, Norwegen, Peru, Polen, Schweden, Südafrika, Türkei, Ungarn, Vereinigte Arabische Emirate
Tazonam Chile, Österreich
Tazopip Australien
Tazpen Kolumbien, Mexiko
Tazrobida Kolumbien
Tigux Chile
Tratac Chile
Trital Ecuador
Zosyn Japan, Vereinigte Staaten von Amerika
Kompatibilitäten   Injektion   Kompatibilitäten : Piperacillin sodium / tazobactam              
Dieser Bildschirm zeigt die Kompatibilitäten oder Inkompatibilitäten mit der Art der Inkompatibilität (hier: Ausfällung, Farbänderung, Modifikation einer Emulsion usw.) an. Die hier gezeigten Kompatibilitäten sind meist nur physikalisch, wobei die chemische Stabilität jedes Moleküls selten bewertet wird. Die Bewertung dieser Gemische wurde untersucht, um die Möglichkeit einer Verabreichung über eine Y-Verbindung zu berücksichtigen. Diese Daten können daher nicht zur Herstellung von Mischungen im Voraus in Beuteln oder Spritzen verwendet werden. Sie finden diese Informationen auf dem Bildschirm "Stabilität in Mischung».
Molekül Lösungsmittel Literaturverzeichnis
Niederschlag nach 1 Stunde nicht kompatibel
Injektion Piperacillin sodium / tazobactam 40/5 mg/ml
Injektion Aciclovir sodium 7 mg/ml
5% Glucose 81
kompatibel
Injektion Piperacillin sodium / tazobactam 40/5 mg/ml
Parenterale Ernährung (mit Lipiden) 1415
kompatibel
Injektion Piperacillin sodium / tazobactam 200 mg/ml
Ringer Lactat - Lösung 4603
kompatibel
Injektion Piperacillin sodium / tazobactam 80 mg/ml
Parenterale Ernährung (mit Lipiden) 3948
Chemische Instabilität nicht kompatibel
Injektion Piperacillin sodium / tazobactam
Injektion Amikacin sulfate
3586
kompatibel
Injektion Piperacillin sodium / tazobactam 200 mg/ml
Parenterale Ernährung (mit Lipiden) 4924
Trübung in 24 Stunden nicht kompatibel
Injektion Piperacillin sodium / tazobactam 60 mg/ml
Injektion Amiodarone hydrochloride 6 mg/ml
5% Glucose 1611
Sofortiger Niederschlag nicht kompatibel
Injektion Piperacillin sodium / tazobactam 40/5 mg/ml
Injektion Amphotericin B 0.6 mg/ml
5% Glucose 81
Sofortiger Niederschlag nicht kompatibel
Injektion Piperacillin sodium / tazobactam 40/5 mg/ml
Injektion Amphotericin B cholesteryl sulfate complex 0.83 mg/ml
5% Glucose 921
kompatibel
Injektion Piperacillin sodium / tazobactam 40/5 mg/ml
Injektion Anidulafungin 0.5 mg/ml
5% Glucose 1982
kompatibel
Injektion Piperacillin sodium / tazobactam 40/5 mg/ml
Injektion Aztreonam 40 mg/ml
5% Glucose 81
kompatibel
Injektion Piperacillin sodium / tazobactam 40/5 mg/ml
Injektion Bivalirudin 5 mg/ml
5% Glucose 1713
kompatibel
Injektion Piperacillin sodium / tazobactam 40/5 mg/ml
Injektion Bleomycin sulfate 1 mg/ml
5% Glucose 81
kompatibel
Injektion Piperacillin sodium / tazobactam 200 mg/ml
Injektion Caffeine 10 mg/ml
Kein 3964
kompatibel
Injektion Piperacillin sodium / tazobactam 40/5 mg/ml
Injektion Carboplatin 5 mg/ml
5% Glucose 81
kompatibel
Injektion Piperacillin sodium / tazobactam 40/5 mg/ml
Injektion Carmustine 1.5 mg/ml
5% Glucose 81
kompatibel
Injektion Piperacillin sodium / tazobactam 40/5 mg/ml
Injektion Ceftolozane / tazobactam 10/5 mg/ml
0,9% Natriumchlorid 3828
Sofortige Trübung nicht kompatibel
Injektion Piperacillin sodium / tazobactam 40/5 mg/ml
Injektion Chlorpromazine hydrochloride 2 mg/ml
5% Glucose 81
kompatibel
Injektion Piperacillin sodium / tazobactam 40/5 mg/ml
Injektion Cisatracurium besylate 0.1 & 2 mg/ml
5% Glucose 299
Niederschlag nach 1 Stunde nicht kompatibel
Injektion Piperacillin sodium / tazobactam 40/5 mg/ml
Injektion Cisplatin 1 mg/ml
5% Glucose 81
kompatibel
Injektion Piperacillin sodium / tazobactam 40/5 mg/ml
Injektion Clindamycin phosphate 10 mg/ml
5% Glucose 81
kompatibel
Injektion Piperacillin sodium / tazobactam 40/5 mg/ml
Injektion Co-trimoxazole 0.8/4 mg/ml
5% Glucose 81
kompatibel
Injektion Piperacillin sodium / tazobactam 40/0.5 mg/ml
Injektion Colistin mesilate sodium 1.5 mg/ml
0,9% Natriumchlorid 3997
kompatibel
Injektion Piperacillin sodium / tazobactam 40/5 mg/ml
Injektion Cyclophosphamide 10 mg/ml
5% Glucose 81
kompatibel
Injektion Piperacillin sodium / tazobactam 40/5 mg/ml
Injektion Cytarabine 50 mg/ml
5% Glucose 81
Sofortiger Niederschlag nicht kompatibel
Injektion Piperacillin sodium / tazobactam 40/5 mg/ml
Injektion Dacarbazine 4 mg/ml
5% Glucose 81
Sofortige Trübung nicht kompatibel
Injektion Piperacillin sodium / tazobactam 40/5 mg/ml
Injektion Daunorubicin hydrochloride 1 mg/ml
5% Glucose 81
Sofortige Trübung nicht kompatibel
Injektion Piperacillin sodium / tazobactam
Injektion Daunorubicin/cytarabine liposomale 0,4 mg/mL
0,9% Natriumchlorid 4654
Sofortige Trübung nicht kompatibel
Injektion Piperacillin sodium / tazobactam 40/5 mg/ml
Injektion Dobutamine hydrochloride 4 mg/ml
5% Glucose 81
kompatibel
Injektion Piperacillin sodium / tazobactam 40/5 mg/ml
Injektion Docetaxel 0.9 mg/ml
5% Glucose 1754
Sofortige Trübung nicht kompatibel
Injektion Piperacillin sodium / tazobactam 40/5 mg/ml
Injektion Doxorubicin hydrochloride 2 mg/ml
5% Glucose 81
Sofortige Trübung nicht kompatibel
Injektion Piperacillin sodium / tazobactam 40/5 mg/ml
Injektion Doxycycline hyclate 1 mg/ml
5% Glucose 81
Sofortiger Niederschlag nicht kompatibel
Injektion Piperacillin sodium / tazobactam 40/5 mg/ml
Injektion Droperidol 0.4 mg/ml
5% Glucose 81
kompatibel
Injektion Piperacillin sodium / tazobactam 40/5 mg/ml
Injektion Etoposide 0.4 mg/ml
5% Glucose 81
kompatibel
Injektion Piperacillin sodium / tazobactam 40/5 mg/ml
Injektion Etoposide phosphate 5 mg/ml
0,9% Natriumchlorid 1410
Sofortiger Niederschlag nicht kompatibel
Injektion Piperacillin sodium / tazobactam 40/5 mg/ml
Injektion Famotidine 2 mg/ml
5% Glucose 81
kompatibel
Injektion Piperacillin sodium / tazobactam 40/5 mg/ml
Injektion Fenoldopam mesylate 80 µg/ml
0,9% Natriumchlorid 1803
kompatibel
Injektion Piperacillin sodium / tazobactam 40/5 mg/ml
Injektion Floxuridine 3 mg/ml
5% Glucose 81
kompatibel
Injektion Piperacillin sodium / tazobactam 40/5 mg/ml
Injektion Fluconazole 2 mg/ml
5% Glucose 81
kompatibel
Injektion Piperacillin sodium / tazobactam 40/5 mg/ml
Injektion Fludarabine phosphate 1 mg/ml
5% Glucose 81
kompatibel
Injektion Piperacillin sodium / tazobactam 40/5 mg/ml
Injektion Fluorouracil 16 mg/ml
5% Glucose 81
kompatibel
Injektion Piperacillin sodium / tazobactam 40/5 mg/ml
Injektion Fosfomycin 30 mg/ml
0,9% Natriumchlorid 4055
Niederschlag nach 1 Stunde nicht kompatibel
Injektion Piperacillin sodium / tazobactam 40/5 mg/ml
Injektion Ganciclovir sodium 20 mg/ml
5% Glucose 81
Chemische Instabilität nicht kompatibel
Injektion Piperacillin sodium / tazobactam
Injektion Gentamicin sulfate
3586
kompatibel
Injektion Piperacillin sodium / tazobactam 40/5 mg/ml
Injektion Granisetron hydrochloride 0.05 mg/ml
5% Glucose 182
Sofortiger Niederschlag nicht kompatibel
Injektion Piperacillin sodium / tazobactam 40/5 mg/ml
Injektion Haloperidol lactate 0.2 mg/ml
5% Glucose 81
Nicht spezifizierte Inkompatibilität nicht kompatibel
Injektion Piperacillin sodium / tazobactam
Ringer Lactat - Lösung 3586
Nicht spezifizierte Inkompatibilität nicht kompatibel
Injektion Piperacillin sodium / tazobactam
Injektion Aciclovir sodium
3595
Chemische Instabilität nicht kompatibel
Injektion Piperacillin sodium / tazobactam
Injektion Amikacin sulfate
3549
kompatibel
Injektion Piperacillin sodium / tazobactam 40/5 mg/ml
Injektion Aminophylline 2.5 mg/ml
5% Glucose 81
kompatibel
Injektion Piperacillin sodium / tazobactam 100 mg/ml
Injektion Amoxicillin sodium / clavulanic acid 100/10 mg/ml
3824
Sofortiger Niederschlag nicht kompatibel
Injektion Piperacillin sodium / tazobactam 112.5 mg/ml
Injektion Azithromycine 2 mg/ml
0,9% Natriumchlorid 1800
kompatibel
Injektion Piperacillin sodium / tazobactam 40/5 mg/ml
Injektion Bumetanide 0.04 mg/ml
5% Glucose 81
kompatibel
Injektion Piperacillin sodium / tazobactam 40/5 mg/ml
Injektion Buprenorphine hydrochloride 0.04 mg/ml
5% Glucose 81
kompatibel
Injektion Piperacillin sodium / tazobactam 40/5 mg/ml
Injektion Butorphanol tartrate 0.04 mg/ml
5% Glucose 81
kompatibel
Injektion Piperacillin sodium / tazobactam 200 mg/ml
Injektion Caffeine 10 mg/ml
Wasser für injektable präparate 4837
kompatibel
Injektion Piperacillin sodium / tazobactam 200 mg/ml
Injektion Caffeine citrate 20 mg/ml
Wasser für injektable präparate 4837
kompatibel
Injektion Piperacillin sodium / tazobactam 40/5 mg/ml
Injektion Calcium gluconate 40 mg/ml
5% Glucose 81
Sofortiger Niederschlag nicht kompatibel
Injektion Piperacillin sodium / tazobactam 90 mg/ml
Injektion Caspofungin acetate 0.5 mg/ml
0,9% Natriumchlorid 2233
Sofortiger Niederschlag nicht kompatibel
Injektion Piperacillin sodium / tazobactam 40/5 mg/ml
Injektion Caspofungin acetate 0,7 mg/ml
0,9% Natriumchlorid 2247
kompatibel
Injektion Piperacillin sodium / tazobactam 40/5 mg/ml
Injektion Ceftolozane / tazobactam 10/5 mg/ml
5% Glucose 3828
kompatibel
Injektion Piperacillin sodium / tazobactam 40/5 mg/ml
Injektion Cimetidine hydrochloride 12 mg/ml
5% Glucose 81
Nicht spezifizierte Inkompatibilität nicht kompatibel
Injektion Piperacillin sodium / tazobactam
Injektion Ciprofloxacin lactate
3529
Niederschlag nach 4 Stunden nicht kompatibel
Injektion Piperacillin sodium / tazobactam 40/5 mg/ml
Injektion Cisatracurium besylate 5 mg/ml
5% Glucose 299
kompatibel
Injektion Piperacillin sodium / tazobactam 225 mg/ml
Injektion Cloxacillin sodium 100 mg/ml
Wasser für injektable präparate 3012
Subvisuelle Inkompatibilität nicht kompatibel
Injektion Piperacillin sodium / tazobactam
Injektion Daunorubicin/cytarabine liposomale
4354
kompatibel
Injektion Piperacillin sodium / tazobactam 40/5 mg/ml
Injektion Dexamethasone sodium phosphate 1 mg/ml
5% Glucose 81
kompatibel
Injektion Piperacillin sodium / tazobactam 40/5 mg/ml
Injektion Dexmedetomidine 4 µg/ml
0,9% Natriumchlorid 1712
kompatibel
Injektion Piperacillin sodium / tazobactam
Injektion Dimenhydrinate
2087
kompatibel
Injektion Piperacillin sodium / tazobactam 40/5 mg/ml
Injektion Diphenhydramine hydrochloride 2 mg/ml
5% Glucose 81
kompatibel
Injektion Piperacillin sodium / tazobactam 40/5 mg/ml
Injektion Dopamine hydrochloride 3.2 mg/ml
5% Glucose 81
Trübungsverlust nicht kompatibel
Injektion Piperacillin sodium / tazobactam 40/5 mg/ml
Injektion Doxorubicin hydrochloride liposome peg 0.4 mg/ml
5% Glucose 251
kompatibel
Injektion Piperacillin sodium / tazobactam 40/5 mg/ml
Injektion Enalaprilate 0.1 mg/ml
5% Glucose 81
kompatibel
Injektion Piperacillin sodium / tazobactam 40/5 mg/ml
Injektion Eravacycline 0,6 mg/ml
0,9% Natriumchlorid 4434
Nicht spezifizierte Inkompatibilität nicht kompatibel
Injektion Piperacillin sodium / tazobactam
Injektion Erythromycin lactobionate
3674
kompatibel
Injektion Piperacillin sodium / tazobactam 40/5 mg/ml
Injektion Folinate calcium 2 mg/ml
5% Glucose 81
kompatibel
Injektion Piperacillin sodium / tazobactam 40/5 mg/ml
Injektion Fosfomycin 30 mg/ml
5% Glucose 4055
kompatibel
Injektion Piperacillin sodium / tazobactam 40/5 mg/ml
Injektion Furosemide 3 mg/ml
5% Glucose 81
kompatibel
Injektion Piperacillin sodium / tazobactam 40/5 mg/ml
Injektion Gallium nitrate 0.4 mg/ml
5% Glucose 81
Sofortige Trübung nicht kompatibel
Injektion Piperacillin sodium / tazobactam 40/5 mg/ml
Injektion Gemcitabine hydrochloride 10 mg/ml
0,9% Natriumchlorid 1423
Nicht spezifizierte Inkompatibilität nicht kompatibel
Injektion Piperacillin sodium / tazobactam
Injektion Gentamicin sulfate
3520
Nicht spezifizierte Inkompatibilität nicht kompatibel
Injektion Piperacillin sodium / tazobactam
Injektion Gentamicin sulfate
3643
kompatibel
Injektion Piperacillin sodium / tazobactam 0.5/0.0625 mg/ml
Injektion Heparin sodium 0.5 UI/ml
Dianéal® 1.5% glucose (Baxter) 4180
kompatibel
Injektion Piperacillin sodium / tazobactam 0.5/0.0625 mg/ml
Injektion Heparin sodium 0.5 UI/ml
Extraneal® (Baxter) 4180
kompatibel
Injektion Piperacillin sodium / tazobactam 1.38/0.1725 mg/ml
Injektion Heparin sodium 1.4 UI/ml
Physionéal® 2.27 (Baxter) 4180
kompatibel
Injektion Piperacillin sodium / tazobactam 0.5/0.0625 mg/ml
Injektion Heparin sodium 0.5 UI/ml
Dianéal® 4.25% glucose (Baxter) 4180
kompatibel
Injektion Piperacillin sodium / tazobactam 1.38/0.1725 mg/ml
Injektion Heparin sodium 1.4 UI/ml
Physionéal® 3.86 (Baxter) 4180
kompatibel
Injektion Piperacillin sodium / tazobactam 1.38/0.1725 mg/ml
Injektion Heparin sodium 1.4 UI/ml
Physionéal® 1.36 (Baxter) 4180
kompatibel
Injektion Piperacillin sodium / tazobactam 0.5/0.0625 mg/ml
Injektion Heparin sodium 0.5 UI/ml
Dianéal® 2.5% glucose (Baxter) 4180
kompatibel
Injektion Piperacillin sodium / tazobactam 40/5 mg/ml
Injektion Heparin sodium 100 UI/ml
5% Glucose 81
kompatibel
Injektion Piperacillin sodium / tazobactam 40/5 mg/ml
Injektion Hetastarch 60 mg/ml
spezifische Lösungsmittel 1721
kompatibel
Injektion Piperacillin sodium / tazobactam 40/5 mg/ml
Injektion Hydrocortisone sodium succinate 1 mg/ml
5% Glucose 81
kompatibel
Injektion Piperacillin sodium / tazobactam 40/5 mg/ml
Injektion Hydromorphone hydrochloride 0.5 mg/ml
5% Glucose 81
Sofortiger Niederschlag nicht kompatibel
Injektion Piperacillin sodium / tazobactam 40/5 mg/ml
Injektion Hydroxyzine dihydrochloride 4 mg/ml
5% Glucose 81
Sofortige Trübung nicht kompatibel
Injektion Piperacillin sodium / tazobactam 40/5 mg/ml
Injektion Idarubicin hydrochloride 0.5 mg/ml
5% Glucose 81
kompatibel
Injektion Piperacillin sodium / tazobactam 40/5 mg/ml
Injektion Ifosfamide 25 mg/ml
5% Glucose 81
kompatibel
Injektion Piperacillin sodium / tazobactam 166/20.83 mg/ml
Injektion Insulin 1 UI/ml
0,9% Natriumchlorid 4254
kompatibel
Injektion Piperacillin sodium / tazobactam 45 mg/ml
Injektion Insulin aspart 1 UI/ml
0,9% Natriumchlorid 1508
kompatibel
Injektion Piperacillin sodium / tazobactam 45 mg/ml
Injektion Insulin aspart 1 UI/ml
5% Glucose 1508
kompatibel
Injektion Piperacillin sodium / tazobactam 40/5 mg/ml
Injektion Isavuconazonium sulfate 1.5 mg/ml
0,9% Natriumchlorid 3829
kompatibel
Injektion Piperacillin sodium / tazobactam 40/5 mg/ml
Injektion Lansoprazole 0.55 mg/ml
0,9% Natriumchlorid 1625
kompatibel
Injektion Piperacillin sodium / tazobactam 166/20.83 mg/ml
Injektion Levetiracetam 20.83 mg/ml
5% Glucose 4254
kompatibel
Injektion Piperacillin sodium / tazobactam 166/20.83 mg/ml
Injektion Levetiracetam 20.83 mg/ml
0,9% Natriumchlorid 4254
kompatibel
Injektion Piperacillin sodium / tazobactam 80 mg/ml
Parenterale Ernährung (Lipid-frei) 3948
kompatibel
Injektion Piperacillin sodium / tazobactam 166/20.83 mg/ml
Injektion Insulin 1 UI/ml
5% Glucose 4254
kompatibel
Injektion Piperacillin sodium / tazobactam 33,75 mg/ml
Injektion Levetiracetam 5 mg/ml
0,9% Natriumchlorid 4569
kompatibel
Injektion Piperacillin sodium / tazobactam 40/5 mg/ml
Parenterale Ernährung (Lipid-frei) 301
Sofortige Trübung nicht kompatibel
Injektion Piperacillin sodium / tazobactam 40/5 mg/ml
Injektion Isavuconazonium sulfate 1.5 mg/ml
5% Glucose 3829
Nicht spezifizierte Inkompatibilität nicht kompatibel
Injektion Piperacillin sodium / tazobactam
NaHCO3 3586
Chemische Instabilität nicht kompatibel
Injektion Piperacillin sodium / tazobactam
Injektion Kanamycin sulfate
3586
kompatibel
Injektion Piperacillin sodium / tazobactam 200 mg/ml
Injektion Ketamine hydrochloride 50 mg/ml
2109
Subvisuelle Inkompatibilität nicht kompatibel
Injektion Piperacillin sodium / tazobactam 45 mg/ml
Injektion Levetiracetam 5 mg/ml
0,9% Natriumchlorid 4569
kompatibel
Injektion Piperacillin sodium / tazobactam 125 mg/ml
Injektion Linezolid 2 mg/ml
4928
kompatibel
Injektion Piperacillin sodium / tazobactam 40/5 mg/ml
Injektion Linezolid 2 mg/ml
Kein 1925
kompatibel
Injektion Piperacillin sodium / tazobactam 40/5 mg/ml
Injektion Lorazepam 0.1 mg/ml
5% Glucose 81
kompatibel
Injektion Piperacillin sodium / tazobactam 40/5 mg/ml
Injektion Magnesium sulfate 100 mg/ml
5% Glucose 81
kompatibel
Injektion Piperacillin sodium / tazobactam 40/5 mg/ml
Injektion Mannitol 150 mg/ml
5% Glucose 81
kompatibel
Injektion Piperacillin sodium / tazobactam 200 mg/ml
Injektion Meropenem 50 mg/ml
Wasser für injektable präparate 4319
kompatibel
Injektion Piperacillin sodium / tazobactam 40/5 mg/ml
Injektion Mesna 10 mg/ml
5% Glucose 81
kompatibel
Injektion Piperacillin sodium / tazobactam 40/5 mg/ml
Injektion Methotrexate sodium 15 mg/ml
5% Glucose 81
kompatibel
Injektion Piperacillin sodium / tazobactam 40/5 mg/ml
Injektion Methylprednisolone sodium succinate 5 mg/ml
5% Glucose 81
kompatibel
Injektion Piperacillin sodium / tazobactam 40/5 mg/ml
Injektion Metoclopramide hydrochloride 5 mg/ml
5% Glucose 81
kompatibel
Injektion Piperacillin sodium / tazobactam 40/5 mg/ml
Injektion Metronidazole 5 mg/ml
5% Glucose 81
Sofortiger Niederschlag nicht kompatibel
Injektion Piperacillin sodium / tazobactam 40/5 mg/ml
Injektion Minocycline hydrochloride 1 mg/ml
5% Glucose 81
Farbwechsel nach 4 Stunden nicht kompatibel
Injektion Piperacillin sodium / tazobactam 40/5 mg/ml
Injektion Mitomycin 0.5 mg/ml
5% Glucose 81
Sofortiger Niederschlag nicht kompatibel
Injektion Piperacillin sodium / tazobactam 40/5 mg/ml
Injektion Mitoxantrone dihydrochloride 0.5 mg/ml
5% Glucose 81
kompatibel
Injektion Piperacillin sodium / tazobactam 40/5 mg/ml
Injektion Morphine sulfate 1 mg/ml
5% Glucose 81
kompatibel
Injektion Piperacillin sodium / tazobactam
Injektion N-acetylcysteine 200 mg/ml
Kein 3766
Sofortige Trübung nicht kompatibel
Injektion Piperacillin sodium / tazobactam 40/5 mg/ml
Injektion Nalbuphine hydrochloride 10 mg/ml
5% Glucose 81
kompatibel
Injektion Piperacillin sodium / tazobactam 200 mg/ml
Injektion Naloxone hydrochloride 0.4 mg/ml
Kein 3408
Chemische Instabilität nicht kompatibel
Injektion Piperacillin sodium / tazobactam
Injektion Netilmicin sulfate
3586
kompatibel
Injektion Piperacillin sodium / tazobactam 20/2,5 & 40/5 mg/ml
Injektion Ondansetron hydrochloride 0,015 >> 0,15 mg/ml
0,9% Natriumchlorid 16
kompatibel
Injektion Piperacillin sodium / tazobactam 40/5 mg/ml
Injektion Ondansetron hydrochloride 0.1 mg/ml
5% Glucose 81
kompatibel
Injektion Piperacillin sodium / tazobactam 200/25 mg/ml
Injektion Oxycodone hydrochloride 1 mg/ml
0,9% Natriumchlorid 4842
Niederschlag nach 1 Stunde nicht kompatibel
Injektion Piperacillin sodium / tazobactam
Injektion Pantoprazole sodium
2090
kompatibel
Injektion Piperacillin sodium / tazobactam 100 mg/ml
Injektion Paracetamol 10 mg/ml
Kein 3571
kompatibel
Injektion Piperacillin sodium / tazobactam 100 mg/ml
Injektion Paracetamol 10 mg/ml
4742
kompatibel
Injektion Piperacillin sodium / tazobactam 200 mg/ml
Injektion Pentoxifyllin 5 mg/ml
0,9% Natriumchlorid 4538
kompatibel
Injektion Piperacillin sodium / tazobactam 40/5 mg/ml
Injektion Pethidine hydrochloride 4 mg/ml
5% Glucose 81
Chemische Instabilität nicht kompatibel
Injektion Piperacillin sodium / tazobactam
Injektion Plazomicin sulfate
3586
kompatibel
Injektion Piperacillin sodium / tazobactam 40/5 mg/ml
Injektion Plazomicin sulfate 24 mg/ml
0,9% Natriumchlorid 4145
Sofortiger Niederschlag nicht kompatibel
Injektion Piperacillin sodium / tazobactam 160 mg/ml
Injektion Posaconazole 1,2 mg/ml
0,9% Natriumchlorid 4521
kompatibel
Injektion Piperacillin sodium / tazobactam 40/5 mg/ml
Injektion Potassium chloride 100 mEq/l
5% Glucose 81
Sofortige Trübung nicht kompatibel
Injektion Piperacillin sodium / tazobactam 40/5 mg/ml
Injektion Prochlorperazine edysilate 0.5 mg/ml
5% Glucose 81
Sofortige Trübung nicht kompatibel
Injektion Piperacillin sodium / tazobactam 40/5 mg/ml
Injektion Promethazine hydrochloride 2 mg/ml
5% Glucose 81
kompatibel
Injektion Piperacillin sodium / tazobactam 40/5 mg/ml
Injektion Ranitidine hydrochloride 2 mg/ml
5% Glucose 81
kompatibel
Injektion Piperacillin sodium / tazobactam 40/5 mg/ml
Injektion Remifentanil hydrochloride 25 & 250 µg/ml
0,9% Natriumchlorid 59
Sofortiger Niederschlag nicht kompatibel
Injektion Piperacillin sodium / tazobactam 200 mg/ml
Injektion Salbutamol sulfate 1 mg/ml
Kein 3216
kompatibel
Injektion Piperacillin sodium / tazobactam 40/5 mg/ml
Injektion Sargramostim 10 µg/ml
5% Glucose 81
kompatibel
Injektion Piperacillin sodium / tazobactam 200 mg/ml
Injektion Sildenafil citrate 0,6 mg/ml
5% Glucose 4845
Nicht spezifizierte Inkompatibilität nicht kompatibel
Injektion Piperacillin sodium / tazobactam
Injektion Sodium bicarbonate
3586
kompatibel
Injektion Piperacillin sodium / tazobactam 40/5 mg/ml
Injektion Sodium bicarbonate 84 mg/ml
5% Glucose 81
Chemische Instabilität nicht kompatibel
Injektion Piperacillin sodium / tazobactam
Injektion Streptomycin sulfate
3586
Niederschlag nach 1 Stunde nicht kompatibel
Injektion Piperacillin sodium / tazobactam 40/5 mg/ml
Injektion Streptozocin 40 mg/ml
5% Glucose 81
kompatibel
Injektion Piperacillin sodium / tazobactam 40/5 mg/ml
Injektion Sulbactam/durlobactam 15/15 mg/ml
0,9% Natriumchlorid 4801
kompatibel
Injektion Piperacillin sodium / tazobactam 40/5 mg/ml
Injektion Tedizolid phosphate 0.8 mg/ml
0,9% Natriumchlorid 3827
kompatibel
Injektion Piperacillin sodium / tazobactam 40/5 mg/ml
Injektion Telavancin hydrochloride 7.5 mg/ml
5% Glucose 3254
kompatibel
Injektion Piperacillin sodium / tazobactam 40/5 mg/ml
Injektion Telavancin hydrochloride 7.5 mg/ml
0,9% Natriumchlorid 3254
kompatibel
Injektion Piperacillin sodium / tazobactam 40/5 mg/ml
Injektion Telavancin hydrochloride 7.5 mg/ml
Ringer Lactat - Lösung 3254
Chemische Instabilität nicht kompatibel
Injektion Piperacillin sodium / tazobactam 200 mg/ml
Injektion Temocilline 83.33 mg/ml
Wasser für injektable präparate 2231
Nicht spezifizierte Inkompatibilität nicht kompatibel
Injektion Piperacillin sodium / tazobactam
Injektion Temocilline
4470
kompatibel
Injektion Piperacillin sodium / tazobactam 166/20.83 mg/ml
Injektion Thiamine hydrochloride 0.4 mg/ml
5% Glucose 4254
Sofortiger Niederschlag nicht kompatibel
Injektion Piperacillin sodium / tazobactam 200 mg/ml
Injektion Thiopental sodium 25 mg/ml
0,9% Natriumchlorid 3767
kompatibel
Injektion Piperacillin sodium / tazobactam 40/5 mg/ml
Injektion Thiotepa 1 mg/ml
5% Glucose 81
kompatibel
Injektion Piperacillin sodium / tazobactam
Injektion Tigecycline
0,9% Natriumchlorid 3332
Chemische Instabilität nicht kompatibel
Injektion Piperacillin sodium / tazobactam
Injektion Tobramycin sulfate
3586
Sofortiger Niederschlag nicht kompatibel
Injektion Piperacillin sodium / tazobactam 112,5 mg/ml
Injektion Vancomycin hydrochloride 10 mg/ml
5% Glucose 3428
kompatibel
Injektion Piperacillin sodium / tazobactam
5% Glucose 3586
kompatibel
Injektion Piperacillin sodium / tazobactam
0,9% Natriumchlorid 5069
Sofortiger Niederschlag nicht kompatibel
Injektion Piperacillin sodium / tazobactam 100/12,5 mg/ml
Injektion Vancomycin hydrochloride 10 mg/ml
3365
Sofortiger Niederschlag nicht kompatibel
Injektion Piperacillin sodium / tazobactam 40 >> 100 mg/ml
Injektion Vancomycin hydrochloride 10 mg/ml
0,9% Natriumchlorid 2475
Sofortiger Niederschlag nicht kompatibel
Injektion Piperacillin sodium / tazobactam
Injektion Vancomycin hydrochloride >8 mg/ml
0,9% Natriumchlorid 3841
kompatibel
Injektion Piperacillin sodium / tazobactam 16 >> 100 mg/ml
Injektion Vancomycin hydrochloride 2 mg/ml
0,9% Natriumchlorid 2475
kompatibel
Injektion Piperacillin sodium / tazobactam 16 >> 100 mg/ml
Injektion Vancomycin hydrochloride 5 mg/ml
0,9% Natriumchlorid 2475
kompatibel
Injektion Piperacillin sodium / tazobactam 16 >> 30 mg/ml
Injektion Vancomycin hydrochloride 10 mg/ml
0,9% Natriumchlorid 2475
kompatibel
Injektion Piperacillin sodium / tazobactam 30/3,75 mg/ml
Injektion Vancomycin hydrochloride 4 mg/ml
0,9% Natriumchlorid 3421
kompatibel
Injektion Piperacillin sodium / tazobactam 40/5 mg/ml
Injektion Vancomycin hydrochloride 4 mg/ml
0,9% Natriumchlorid 3421
kompatibel
Injektion Piperacillin sodium / tazobactam 33.75 >> 90 mg/ml
Injektion Vancomycin hydrochloride 4 >> 7 mg/ml
0,9% Natriumchlorid 3841
Sofortiger Niederschlag nicht kompatibel
Injektion Piperacillin sodium / tazobactam 80 & 90 mg/ml
Injektion Vancomycin hydrochloride 8 mg/ml
0,9% Natriumchlorid 3841
kompatibel
Injektion Piperacillin sodium / tazobactam 33.75 >> 67.5 mg/ml
Injektion Vancomycin hydrochloride 8 mg/ml
0,9% Natriumchlorid 3841
Sofortige Trübung nicht kompatibel
Injektion Piperacillin sodium / tazobactam 40/5 mg/ml
Injektion Vancomycin hydrochloride 10 mg/ml
5% Glucose 81
Nicht spezifizierte Inkompatibilität nicht kompatibel
Injektion Piperacillin sodium / tazobactam 200 mg/ml
Injektion Vancomycin hydrochloride 10 mg/ml
5% Glucose 3385
Sofortiger Niederschlag nicht kompatibel
Injektion Piperacillin sodium / tazobactam 10/1.25 >> 200/25 mg/ml
Injektion Vancomycin hydrochloride 20 mg/ml
5% Glucose 1674
Sofortiger Niederschlag nicht kompatibel
Injektion Piperacillin sodium / tazobactam 80 >> 100 mg/ml
Injektion Vancomycin hydrochloride 4 mg/ml
5% Glucose 2475
Sofortiger Niederschlag nicht kompatibel
Injektion Piperacillin sodium / tazobactam 16 >> 100 mg/ml
Injektion Vancomycin hydrochloride 8 mg/ml
5% Glucose 2475
Sofortiger Niederschlag nicht kompatibel
Injektion Piperacillin sodium / tazobactam 28 mg/ml
Injektion Vancomycin hydrochloride 10 & 15 mg/ml
5% Glucose 3984
Sofortiger Niederschlag nicht kompatibel
Injektion Piperacillin sodium / tazobactam 67,5 mg/ml
Injektion Vancomycin hydrochloride 5 mg/ml
5% Glucose 3960
kompatibel
Injektion Piperacillin sodium / tazobactam 16 >> 40 mg/ml
Injektion Vancomycin hydrochloride 4 mg/ml
5% Glucose 2475
kompatibel
Injektion Piperacillin sodium / tazobactam 28 mg/ml
Injektion Vancomycin hydrochloride 5 mg/ml
5% Glucose 3984
kompatibel
Injektion Piperacillin sodium / tazobactam 1/0.125 >> 200/25 mg/ml
Injektion Vancomycin hydrochloride 2 mg/ml
5% Glucose 1674
kompatibel
Injektion Piperacillin sodium / tazobactam 1/0.125 mg/ml
Injektion Vancomycin hydrochloride 20 mg/ml
5% Glucose 1674
kompatibel
Injektion Piperacillin sodium / tazobactam 112.5 mg/ml
Injektion Vasopressin 0.2 UI/ml
0,9% Natriumchlorid 2017
kompatibel
Injektion Piperacillin sodium / tazobactam 40/5 mg/ml
Injektion Vinblastine sulfate 0.12 mg/ml
5% Glucose 81
kompatibel
Injektion Piperacillin sodium / tazobactam 40/5 mg/ml
Injektion Vincristine sulfate 0.05 mg/ml
5% Glucose 81
kompatibel
Injektion Piperacillin sodium / tazobactam 40/5 mg/ml
Injektion Zidovudine 4 mg/ml
5% Glucose 81
kompatibel
Injektion Piperacillin sodium / tazobactam 40/5 mg/ml
Normosol® 4655

  Mentions Légales