Poslední aktualizace :
27/04/2026
Antibiotikas   Piperacillin sodium / tazobactam  
Įpurškimas
Tirpalų stabilumas Mišinių stabilumas Stabilumą lemiantys veiksniai Suderinamumas Leidimo būdai Bibliografija pdf
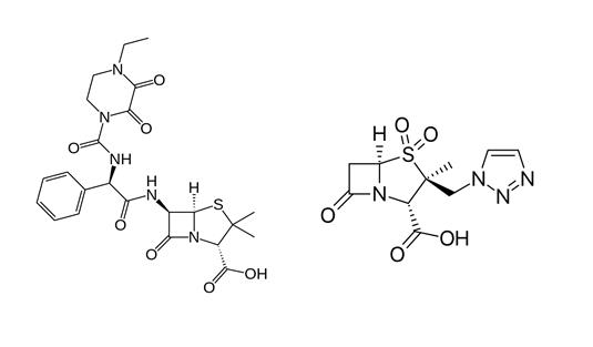
   Cheminė sandara  

Prekinis pavadinimas   Prekinis pavadinimas     

Trade names are indicative and excipients composition can be different depending on the country and manufacturers

Bagotaz Argentina
Betampil Ekvadoras
Bioval Čilė
Petezam Argentina
Piperac Vokietija
Piperacillin tazobactam Belgija, Kanada, Vokietija
Piperazam Brazilija
Pipetazo Čilė
Pipitaz Austrija
Pixamol Kolumbija
Tazobac Ekvadoras, Italija, Portugalija, Šveicarija
Tazocel Ispanija
Tazocilline Prancūzija
Tazocin Argentina, Australija, Brazilija, Danija, Didžioji Britanija, Egiptas, Graikija, Italija, Jungtiniai Arabų Emyratai, Kolumbija, Kroatija, Lenkija, Liuksemburgas, Meksikas, Naujojoje Zelandijoje, Norvegija, Olandija, Peru, Pietų Afrikos Respublika, Šiaurės Airijoje, Suomija, Švedija, Turkija, Vengrija
Tazonam Austrija, Čilė
Tazopip Australija
Tazpen Kolumbija, Meksikas
Tazrobida Kolumbija
Tigux Čilė
Tratac Čilė
Trital Ekvadoras
Zosyn Japonija, Jungtinės Amerikos Valstijos
Suderinamumas   Įpurškimas   Suderinamumas : Piperacillin sodium / tazobactam              
explication_incompatibilite_molecules
Molekulė Tirpiklis Nuorodos
Krituliai po 1 valandos Nesuderinamas
Įpurškimas Piperacillin sodium / tazobactam 40/5 mg/ml
Įpurškimas Aciclovir sodium 7 mg/ml
Gliukozė 5% 81
Suderinamas
Įpurškimas Piperacillin sodium / tazobactam 40/5 mg/ml
Parenteriniu būdu (su lipidų) 1415
Suderinamas
Įpurškimas Piperacillin sodium / tazobactam 200 mg/ml
Ringerio laktato tirpalas 4603
Suderinamas
Įpurškimas Piperacillin sodium / tazobactam 80 mg/ml
Parenteriniu būdu (su lipidų) 3948
Cheminis nestabilumas Nesuderinamas
Įpurškimas Piperacillin sodium / tazobactam
Įpurškimas Amikacin sulfate
3586
Suderinamas
Įpurškimas Piperacillin sodium / tazobactam 200 mg/ml
Parenteriniu būdu (su lipidų) 4924
Troebelheid in 24 uur Nesuderinamas
Įpurškimas Piperacillin sodium / tazobactam 60 mg/ml
Įpurškimas Amiodarone hydrochloride 6 mg/ml
Gliukozė 5% 1611
Nedelsiant krituliai Nesuderinamas
Įpurškimas Piperacillin sodium / tazobactam 40/5 mg/ml
Įpurškimas Amphotericin B 0.6 mg/ml
Gliukozė 5% 81
Nedelsiant krituliai Nesuderinamas
Įpurškimas Piperacillin sodium / tazobactam 40/5 mg/ml
Įpurškimas Amphotericin B cholesteryl sulfate complex 0.83 mg/ml
Gliukozė 5% 921
Suderinamas
Įpurškimas Piperacillin sodium / tazobactam 40/5 mg/ml
Įpurškimas Anidulafungin 0.5 mg/ml
Gliukozė 5% 1982
Suderinamas
Įpurškimas Piperacillin sodium / tazobactam 40/5 mg/ml
Įpurškimas Aztreonam 40 mg/ml
Gliukozė 5% 81
Suderinamas
Įpurškimas Piperacillin sodium / tazobactam 40/5 mg/ml
Įpurškimas Bivalirudin 5 mg/ml
Gliukozė 5% 1713
Suderinamas
Įpurškimas Piperacillin sodium / tazobactam 40/5 mg/ml
Įpurškimas Bleomycin sulfate 1 mg/ml
Gliukozė 5% 81
Suderinamas
Įpurškimas Piperacillin sodium / tazobactam 200 mg/ml
Įpurškimas Caffeine 10 mg/ml
Nėra 3964
Suderinamas
Įpurškimas Piperacillin sodium / tazobactam 40/5 mg/ml
Įpurškimas Carboplatin 5 mg/ml
Gliukozė 5% 81
Suderinamas
Įpurškimas Piperacillin sodium / tazobactam 40/5 mg/ml
Įpurškimas Carmustine 1.5 mg/ml
Gliukozė 5% 81
Suderinamas
Įpurškimas Piperacillin sodium / tazobactam 40/5 mg/ml
Įpurškimas Ceftolozane / tazobactam 10/5 mg/ml
Natrio chloridas 0,9% 3828
Tiesioginis drumstumas Nesuderinamas
Įpurškimas Piperacillin sodium / tazobactam 40/5 mg/ml
Įpurškimas Chlorpromazine hydrochloride 2 mg/ml
Gliukozė 5% 81
Suderinamas
Įpurškimas Piperacillin sodium / tazobactam 40/5 mg/ml
Įpurškimas Cisatracurium besylate 0.1 & 2 mg/ml
Gliukozė 5% 299
Krituliai po 1 valandos Nesuderinamas
Įpurškimas Piperacillin sodium / tazobactam 40/5 mg/ml
Įpurškimas Cisplatin 1 mg/ml
Gliukozė 5% 81
Suderinamas
Įpurškimas Piperacillin sodium / tazobactam 40/5 mg/ml
Įpurškimas Clindamycin phosphate 10 mg/ml
Gliukozė 5% 81
Suderinamas
Įpurškimas Piperacillin sodium / tazobactam 40/5 mg/ml
Įpurškimas Co-trimoxazole 0.8/4 mg/ml
Gliukozė 5% 81
Suderinamas
Įpurškimas Piperacillin sodium / tazobactam 40/0.5 mg/ml
Įpurškimas Colistin mesilate sodium 1.5 mg/ml
Natrio chloridas 0,9% 3997
Suderinamas
Įpurškimas Piperacillin sodium / tazobactam 40/5 mg/ml
Įpurškimas Cyclophosphamide 10 mg/ml
Gliukozė 5% 81
Suderinamas
Įpurškimas Piperacillin sodium / tazobactam 40/5 mg/ml
Įpurškimas Cytarabine 50 mg/ml
Gliukozė 5% 81
Nedelsiant krituliai Nesuderinamas
Įpurškimas Piperacillin sodium / tazobactam 40/5 mg/ml
Įpurškimas Dacarbazine 4 mg/ml
Gliukozė 5% 81
Tiesioginis drumstumas Nesuderinamas
Įpurškimas Piperacillin sodium / tazobactam 40/5 mg/ml
Įpurškimas Daunorubicin hydrochloride 1 mg/ml
Gliukozė 5% 81
Tiesioginis drumstumas Nesuderinamas
Įpurškimas Piperacillin sodium / tazobactam
Įpurškimas Daunorubicin/cytarabine liposomale 0,4 mg/mL
Natrio chloridas 0,9% 4654
Tiesioginis drumstumas Nesuderinamas
Įpurškimas Piperacillin sodium / tazobactam 40/5 mg/ml
Įpurškimas Dobutamine hydrochloride 4 mg/ml
Gliukozė 5% 81
Suderinamas
Įpurškimas Piperacillin sodium / tazobactam 40/5 mg/ml
Įpurškimas Docetaxel 0.9 mg/ml
Gliukozė 5% 1754
Tiesioginis drumstumas Nesuderinamas
Įpurškimas Piperacillin sodium / tazobactam 40/5 mg/ml
Įpurškimas Doxorubicin hydrochloride 2 mg/ml
Gliukozė 5% 81
Tiesioginis drumstumas Nesuderinamas
Įpurškimas Piperacillin sodium / tazobactam 40/5 mg/ml
Įpurškimas Doxycycline hyclate 1 mg/ml
Gliukozė 5% 81
Nedelsiant krituliai Nesuderinamas
Įpurškimas Piperacillin sodium / tazobactam 40/5 mg/ml
Įpurškimas Droperidol 0.4 mg/ml
Gliukozė 5% 81
Suderinamas
Įpurškimas Piperacillin sodium / tazobactam 40/5 mg/ml
Įpurškimas Etoposide 0.4 mg/ml
Gliukozė 5% 81
Suderinamas
Įpurškimas Piperacillin sodium / tazobactam 40/5 mg/ml
Įpurškimas Etoposide phosphate 5 mg/ml
Natrio chloridas 0,9% 1410
Nedelsiant krituliai Nesuderinamas
Įpurškimas Piperacillin sodium / tazobactam 40/5 mg/ml
Įpurškimas Famotidine 2 mg/ml
Gliukozė 5% 81
Suderinamas
Įpurškimas Piperacillin sodium / tazobactam 40/5 mg/ml
Įpurškimas Fenoldopam mesylate 80 µg/ml
Natrio chloridas 0,9% 1803
Suderinamas
Įpurškimas Piperacillin sodium / tazobactam 40/5 mg/ml
Įpurškimas Floxuridine 3 mg/ml
Gliukozė 5% 81
Suderinamas
Įpurškimas Piperacillin sodium / tazobactam 40/5 mg/ml
Įpurškimas Fluconazole 2 mg/ml
Gliukozė 5% 81
Suderinamas
Įpurškimas Piperacillin sodium / tazobactam 40/5 mg/ml
Įpurškimas Fludarabine phosphate 1 mg/ml
Gliukozė 5% 81
Suderinamas
Įpurškimas Piperacillin sodium / tazobactam 40/5 mg/ml
Įpurškimas Fluorouracil 16 mg/ml
Gliukozė 5% 81
Suderinamas
Įpurškimas Piperacillin sodium / tazobactam 40/5 mg/ml
Įpurškimas Fosfomycin 30 mg/ml
Natrio chloridas 0,9% 4055
Krituliai po 1 valandos Nesuderinamas
Įpurškimas Piperacillin sodium / tazobactam 40/5 mg/ml
Įpurškimas Ganciclovir sodium 20 mg/ml
Gliukozė 5% 81
Cheminis nestabilumas Nesuderinamas
Įpurškimas Piperacillin sodium / tazobactam
Įpurškimas Gentamicin sulfate
3586
Suderinamas
Įpurškimas Piperacillin sodium / tazobactam 40/5 mg/ml
Įpurškimas Granisetron hydrochloride 0.05 mg/ml
Gliukozė 5% 182
Nedelsiant krituliai Nesuderinamas
Įpurškimas Piperacillin sodium / tazobactam 40/5 mg/ml
Įpurškimas Haloperidol lactate 0.2 mg/ml
Gliukozė 5% 81
Nepatikslintas nesuderinamumas Nesuderinamas
Įpurškimas Piperacillin sodium / tazobactam
Ringerio laktato tirpalas 3586
Nepatikslintas nesuderinamumas Nesuderinamas
Įpurškimas Piperacillin sodium / tazobactam
Įpurškimas Aciclovir sodium
3595
Cheminis nestabilumas Nesuderinamas
Įpurškimas Piperacillin sodium / tazobactam
Įpurškimas Amikacin sulfate
3549
Suderinamas
Įpurškimas Piperacillin sodium / tazobactam 40/5 mg/ml
Įpurškimas Aminophylline 2.5 mg/ml
Gliukozė 5% 81
Suderinamas
Įpurškimas Piperacillin sodium / tazobactam 100 mg/ml
Įpurškimas Amoxicillin sodium / clavulanic acid 100/10 mg/ml
3824
Nedelsiant krituliai Nesuderinamas
Įpurškimas Piperacillin sodium / tazobactam 112.5 mg/ml
Įpurškimas Azithromycine 2 mg/ml
Natrio chloridas 0,9% 1800
Suderinamas
Įpurškimas Piperacillin sodium / tazobactam 40/5 mg/ml
Įpurškimas Bumetanide 0.04 mg/ml
Gliukozė 5% 81
Suderinamas
Įpurškimas Piperacillin sodium / tazobactam 40/5 mg/ml
Įpurškimas Buprenorphine hydrochloride 0.04 mg/ml
Gliukozė 5% 81
Suderinamas
Įpurškimas Piperacillin sodium / tazobactam 40/5 mg/ml
Įpurškimas Butorphanol tartrate 0.04 mg/ml
Gliukozė 5% 81
Suderinamas
Įpurškimas Piperacillin sodium / tazobactam 200 mg/ml
Įpurškimas Caffeine 10 mg/ml
Vanduo injekcijoms 4837
Suderinamas
Įpurškimas Piperacillin sodium / tazobactam 200 mg/ml
Įpurškimas Caffeine citrate 20 mg/ml
Vanduo injekcijoms 4837
Suderinamas
Įpurškimas Piperacillin sodium / tazobactam 40/5 mg/ml
Įpurškimas Calcium gluconate 40 mg/ml
Gliukozė 5% 81
Nedelsiant krituliai Nesuderinamas
Įpurškimas Piperacillin sodium / tazobactam 90 mg/ml
Įpurškimas Caspofungin acetate 0.5 mg/ml
Natrio chloridas 0,9% 2233
Nedelsiant krituliai Nesuderinamas
Įpurškimas Piperacillin sodium / tazobactam 40/5 mg/ml
Įpurškimas Caspofungin acetate 0,7 mg/ml
Natrio chloridas 0,9% 2247
Suderinamas
Įpurškimas Piperacillin sodium / tazobactam 40/5 mg/ml
Įpurškimas Ceftolozane / tazobactam 10/5 mg/ml
Gliukozė 5% 3828
Suderinamas
Įpurškimas Piperacillin sodium / tazobactam 40/5 mg/ml
Įpurškimas Cimetidine hydrochloride 12 mg/ml
Gliukozė 5% 81
Nepatikslintas nesuderinamumas Nesuderinamas
Įpurškimas Piperacillin sodium / tazobactam
Įpurškimas Ciprofloxacin lactate
3529
Krituliai po 4 valandų Nesuderinamas
Įpurškimas Piperacillin sodium / tazobactam 40/5 mg/ml
Įpurškimas Cisatracurium besylate 5 mg/ml
Gliukozė 5% 299
Suderinamas
Įpurškimas Piperacillin sodium / tazobactam 225 mg/ml
Įpurškimas Cloxacillin sodium 100 mg/ml
Vanduo injekcijoms 3012
Subvisualinis nesuderinamumas Nesuderinamas
Įpurškimas Piperacillin sodium / tazobactam
Įpurškimas Daunorubicin/cytarabine liposomale
4354
Suderinamas
Įpurškimas Piperacillin sodium / tazobactam 40/5 mg/ml
Įpurškimas Dexamethasone sodium phosphate 1 mg/ml
Gliukozė 5% 81
Suderinamas
Įpurškimas Piperacillin sodium / tazobactam 40/5 mg/ml
Įpurškimas Dexmedetomidine 4 µg/ml
Natrio chloridas 0,9% 1712
Suderinamas
Įpurškimas Piperacillin sodium / tazobactam
Įpurškimas Dimenhydrinate
2087
Suderinamas
Įpurškimas Piperacillin sodium / tazobactam 40/5 mg/ml
Įpurškimas Diphenhydramine hydrochloride 2 mg/ml
Gliukozė 5% 81
Suderinamas
Įpurškimas Piperacillin sodium / tazobactam 40/5 mg/ml
Įpurškimas Dopamine hydrochloride 3.2 mg/ml
Gliukozė 5% 81
Drumstumo praradimas Nesuderinamas
Įpurškimas Piperacillin sodium / tazobactam 40/5 mg/ml
Įpurškimas Doxorubicin hydrochloride liposome peg 0.4 mg/ml
Gliukozė 5% 251
Suderinamas
Įpurškimas Piperacillin sodium / tazobactam 40/5 mg/ml
Įpurškimas Enalaprilate 0.1 mg/ml
Gliukozė 5% 81
Suderinamas
Įpurškimas Piperacillin sodium / tazobactam 40/5 mg/ml
Įpurškimas Eravacycline 0,6 mg/ml
Natrio chloridas 0,9% 4434
Nepatikslintas nesuderinamumas Nesuderinamas
Įpurškimas Piperacillin sodium / tazobactam
Įpurškimas Erythromycin lactobionate
3674
Suderinamas
Įpurškimas Piperacillin sodium / tazobactam 40/5 mg/ml
Įpurškimas Folinate calcium 2 mg/ml
Gliukozė 5% 81
Suderinamas
Įpurškimas Piperacillin sodium / tazobactam 40/5 mg/ml
Įpurškimas Fosfomycin 30 mg/ml
Gliukozė 5% 4055
Suderinamas
Įpurškimas Piperacillin sodium / tazobactam 40/5 mg/ml
Įpurškimas Furosemide 3 mg/ml
Gliukozė 5% 81
Suderinamas
Įpurškimas Piperacillin sodium / tazobactam 40/5 mg/ml
Įpurškimas Gallium nitrate 0.4 mg/ml
Gliukozė 5% 81
Tiesioginis drumstumas Nesuderinamas
Įpurškimas Piperacillin sodium / tazobactam 40/5 mg/ml
Įpurškimas Gemcitabine hydrochloride 10 mg/ml
Natrio chloridas 0,9% 1423
Nepatikslintas nesuderinamumas Nesuderinamas
Įpurškimas Piperacillin sodium / tazobactam
Įpurškimas Gentamicin sulfate
3520
Nepatikslintas nesuderinamumas Nesuderinamas
Įpurškimas Piperacillin sodium / tazobactam
Įpurškimas Gentamicin sulfate
3643
Suderinamas
Įpurškimas Piperacillin sodium / tazobactam 0.5/0.0625 mg/ml
Įpurškimas Heparin sodium 0.5 UI/ml
Dianéal® 1.5% glucose (Baxter) 4180
Suderinamas
Įpurškimas Piperacillin sodium / tazobactam 0.5/0.0625 mg/ml
Įpurškimas Heparin sodium 0.5 UI/ml
Extraneal® (Baxter) 4180
Suderinamas
Įpurškimas Piperacillin sodium / tazobactam 1.38/0.1725 mg/ml
Įpurškimas Heparin sodium 1.4 UI/ml
Physionéal® 2.27 (Baxter) 4180
Suderinamas
Įpurškimas Piperacillin sodium / tazobactam 0.5/0.0625 mg/ml
Įpurškimas Heparin sodium 0.5 UI/ml
Dianéal® 4.25% glucose (Baxter) 4180
Suderinamas
Įpurškimas Piperacillin sodium / tazobactam 1.38/0.1725 mg/ml
Įpurškimas Heparin sodium 1.4 UI/ml
Physionéal® 3.86 (Baxter) 4180
Suderinamas
Įpurškimas Piperacillin sodium / tazobactam 1.38/0.1725 mg/ml
Įpurškimas Heparin sodium 1.4 UI/ml
Physionéal® 1.36 (Baxter) 4180
Suderinamas
Įpurškimas Piperacillin sodium / tazobactam 0.5/0.0625 mg/ml
Įpurškimas Heparin sodium 0.5 UI/ml
Dianéal® 2.5% glucose (Baxter) 4180
Suderinamas
Įpurškimas Piperacillin sodium / tazobactam 40/5 mg/ml
Įpurškimas Heparin sodium 100 UI/ml
Gliukozė 5% 81
Suderinamas
Įpurškimas Piperacillin sodium / tazobactam 40/5 mg/ml
Įpurškimas Hetastarch 60 mg/ml
specifinis tirpiklis 1721
Suderinamas
Įpurškimas Piperacillin sodium / tazobactam 40/5 mg/ml
Įpurškimas Hydrocortisone sodium succinate 1 mg/ml
Gliukozė 5% 81
Suderinamas
Įpurškimas Piperacillin sodium / tazobactam 40/5 mg/ml
Įpurškimas Hydromorphone hydrochloride 0.5 mg/ml
Gliukozė 5% 81
Nedelsiant krituliai Nesuderinamas
Įpurškimas Piperacillin sodium / tazobactam 40/5 mg/ml
Įpurškimas Hydroxyzine dihydrochloride 4 mg/ml
Gliukozė 5% 81
Tiesioginis drumstumas Nesuderinamas
Įpurškimas Piperacillin sodium / tazobactam 40/5 mg/ml
Įpurškimas Idarubicin hydrochloride 0.5 mg/ml
Gliukozė 5% 81
Suderinamas
Įpurškimas Piperacillin sodium / tazobactam 40/5 mg/ml
Įpurškimas Ifosfamide 25 mg/ml
Gliukozė 5% 81
Suderinamas
Įpurškimas Piperacillin sodium / tazobactam 166/20.83 mg/ml
Įpurškimas Insulin 1 UI/ml
Natrio chloridas 0,9% 4254
Suderinamas
Įpurškimas Piperacillin sodium / tazobactam 45 mg/ml
Įpurškimas Insulin aspart 1 UI/ml
Natrio chloridas 0,9% 1508
Suderinamas
Įpurškimas Piperacillin sodium / tazobactam 45 mg/ml
Įpurškimas Insulin aspart 1 UI/ml
Gliukozė 5% 1508
Suderinamas
Įpurškimas Piperacillin sodium / tazobactam 40/5 mg/ml
Įpurškimas Isavuconazonium sulfate 1.5 mg/ml
Natrio chloridas 0,9% 3829
Suderinamas
Įpurškimas Piperacillin sodium / tazobactam 40/5 mg/ml
Įpurškimas Lansoprazole 0.55 mg/ml
Natrio chloridas 0,9% 1625
Suderinamas
Įpurškimas Piperacillin sodium / tazobactam 166/20.83 mg/ml
Įpurškimas Levetiracetam 20.83 mg/ml
Gliukozė 5% 4254
Suderinamas
Įpurškimas Piperacillin sodium / tazobactam 166/20.83 mg/ml
Įpurškimas Levetiracetam 20.83 mg/ml
Natrio chloridas 0,9% 4254
Suderinamas
Įpurškimas Piperacillin sodium / tazobactam 80 mg/ml
Parenterinis maitinimas (lipidų nemokamai) 3948
Suderinamas
Įpurškimas Piperacillin sodium / tazobactam 166/20.83 mg/ml
Įpurškimas Insulin 1 UI/ml
Gliukozė 5% 4254
Suderinamas
Įpurškimas Piperacillin sodium / tazobactam 33,75 mg/ml
Įpurškimas Levetiracetam 5 mg/ml
Natrio chloridas 0,9% 4569
Suderinamas
Įpurškimas Piperacillin sodium / tazobactam 40/5 mg/ml
Parenterinis maitinimas (lipidų nemokamai) 301
Tiesioginis drumstumas Nesuderinamas
Įpurškimas Piperacillin sodium / tazobactam 40/5 mg/ml
Įpurškimas Isavuconazonium sulfate 1.5 mg/ml
Gliukozė 5% 3829
Nepatikslintas nesuderinamumas Nesuderinamas
Įpurškimas Piperacillin sodium / tazobactam
NaHCO3 3586
Cheminis nestabilumas Nesuderinamas
Įpurškimas Piperacillin sodium / tazobactam
Įpurškimas Kanamycin sulfate
3586
Suderinamas
Įpurškimas Piperacillin sodium / tazobactam 200 mg/ml
Įpurškimas Ketamine hydrochloride 50 mg/ml
2109
Subvisualinis nesuderinamumas Nesuderinamas
Įpurškimas Piperacillin sodium / tazobactam 45 mg/ml
Įpurškimas Levetiracetam 5 mg/ml
Natrio chloridas 0,9% 4569
Suderinamas
Įpurškimas Piperacillin sodium / tazobactam 125 mg/ml
Įpurškimas Linezolid 2 mg/ml
4928
Suderinamas
Įpurškimas Piperacillin sodium / tazobactam 40/5 mg/ml
Įpurškimas Linezolid 2 mg/ml
Nėra 1925
Suderinamas
Įpurškimas Piperacillin sodium / tazobactam 40/5 mg/ml
Įpurškimas Lorazepam 0.1 mg/ml
Gliukozė 5% 81
Suderinamas
Įpurškimas Piperacillin sodium / tazobactam 40/5 mg/ml
Įpurškimas Magnesium sulfate 100 mg/ml
Gliukozė 5% 81
Suderinamas
Įpurškimas Piperacillin sodium / tazobactam 40/5 mg/ml
Įpurškimas Mannitol 150 mg/ml
Gliukozė 5% 81
Suderinamas
Įpurškimas Piperacillin sodium / tazobactam 200 mg/ml
Įpurškimas Meropenem 50 mg/ml
Vanduo injekcijoms 4319
Suderinamas
Įpurškimas Piperacillin sodium / tazobactam 40/5 mg/ml
Įpurškimas Mesna 10 mg/ml
Gliukozė 5% 81
Suderinamas
Įpurškimas Piperacillin sodium / tazobactam 40/5 mg/ml
Įpurškimas Methotrexate sodium 15 mg/ml
Gliukozė 5% 81
Suderinamas
Įpurškimas Piperacillin sodium / tazobactam 40/5 mg/ml
Įpurškimas Methylprednisolone sodium succinate 5 mg/ml
Gliukozė 5% 81
Suderinamas
Įpurškimas Piperacillin sodium / tazobactam 40/5 mg/ml
Įpurškimas Metoclopramide hydrochloride 5 mg/ml
Gliukozė 5% 81
Suderinamas
Įpurškimas Piperacillin sodium / tazobactam 40/5 mg/ml
Įpurškimas Metronidazole 5 mg/ml
Gliukozė 5% 81
Nedelsiant krituliai Nesuderinamas
Įpurškimas Piperacillin sodium / tazobactam 40/5 mg/ml
Įpurškimas Minocycline hydrochloride 1 mg/ml
Gliukozė 5% 81
Spalvos pasikeitimas po 4 valandų Nesuderinamas
Įpurškimas Piperacillin sodium / tazobactam 40/5 mg/ml
Įpurškimas Mitomycin 0.5 mg/ml
Gliukozė 5% 81
Nedelsiant krituliai Nesuderinamas
Įpurškimas Piperacillin sodium / tazobactam 40/5 mg/ml
Įpurškimas Mitoxantrone dihydrochloride 0.5 mg/ml
Gliukozė 5% 81
Suderinamas
Įpurškimas Piperacillin sodium / tazobactam 40/5 mg/ml
Įpurškimas Morphine sulfate 1 mg/ml
Gliukozė 5% 81
Suderinamas
Įpurškimas Piperacillin sodium / tazobactam
Įpurškimas N-acetylcysteine 200 mg/ml
Nėra 3766
Tiesioginis drumstumas Nesuderinamas
Įpurškimas Piperacillin sodium / tazobactam 40/5 mg/ml
Įpurškimas Nalbuphine hydrochloride 10 mg/ml
Gliukozė 5% 81
Suderinamas
Įpurškimas Piperacillin sodium / tazobactam 200 mg/ml
Įpurškimas Naloxone hydrochloride 0.4 mg/ml
Nėra 3408
Cheminis nestabilumas Nesuderinamas
Įpurškimas Piperacillin sodium / tazobactam
Įpurškimas Netilmicin sulfate
3586
Suderinamas
Įpurškimas Piperacillin sodium / tazobactam 20/2,5 & 40/5 mg/ml
Įpurškimas Ondansetron hydrochloride 0,015 >> 0,15 mg/ml
Natrio chloridas 0,9% 16
Suderinamas
Įpurškimas Piperacillin sodium / tazobactam 40/5 mg/ml
Įpurškimas Ondansetron hydrochloride 0.1 mg/ml
Gliukozė 5% 81
Suderinamas
Įpurškimas Piperacillin sodium / tazobactam 200/25 mg/ml
Įpurškimas Oxycodone hydrochloride 1 mg/ml
Natrio chloridas 0,9% 4842
Krituliai po 1 valandos Nesuderinamas
Įpurškimas Piperacillin sodium / tazobactam
Įpurškimas Pantoprazole sodium
2090
Suderinamas
Įpurškimas Piperacillin sodium / tazobactam 100 mg/ml
Įpurškimas Paracetamol 10 mg/ml
Nėra 3571
Suderinamas
Įpurškimas Piperacillin sodium / tazobactam 100 mg/ml
Įpurškimas Paracetamol 10 mg/ml
4742
Suderinamas
Įpurškimas Piperacillin sodium / tazobactam 200 mg/ml
Įpurškimas Pentoxifyllin 5 mg/ml
Natrio chloridas 0,9% 4538
Suderinamas
Įpurškimas Piperacillin sodium / tazobactam 40/5 mg/ml
Įpurškimas Pethidine hydrochloride 4 mg/ml
Gliukozė 5% 81
Cheminis nestabilumas Nesuderinamas
Įpurškimas Piperacillin sodium / tazobactam
Įpurškimas Plazomicin sulfate
3586
Suderinamas
Įpurškimas Piperacillin sodium / tazobactam 40/5 mg/ml
Įpurškimas Plazomicin sulfate 24 mg/ml
Natrio chloridas 0,9% 4145
Nedelsiant krituliai Nesuderinamas
Įpurškimas Piperacillin sodium / tazobactam 160 mg/ml
Įpurškimas Posaconazole 1,2 mg/ml
Natrio chloridas 0,9% 4521
Suderinamas
Įpurškimas Piperacillin sodium / tazobactam 40/5 mg/ml
Įpurškimas Potassium chloride 100 mEq/l
Gliukozė 5% 81
Tiesioginis drumstumas Nesuderinamas
Įpurškimas Piperacillin sodium / tazobactam 40/5 mg/ml
Įpurškimas Prochlorperazine edysilate 0.5 mg/ml
Gliukozė 5% 81
Tiesioginis drumstumas Nesuderinamas
Įpurškimas Piperacillin sodium / tazobactam 40/5 mg/ml
Įpurškimas Promethazine hydrochloride 2 mg/ml
Gliukozė 5% 81
Suderinamas
Įpurškimas Piperacillin sodium / tazobactam 40/5 mg/ml
Įpurškimas Ranitidine hydrochloride 2 mg/ml
Gliukozė 5% 81
Suderinamas
Įpurškimas Piperacillin sodium / tazobactam 40/5 mg/ml
Įpurškimas Remifentanil hydrochloride 25 & 250 µg/ml
Natrio chloridas 0,9% 59
Nedelsiant krituliai Nesuderinamas
Įpurškimas Piperacillin sodium / tazobactam 200 mg/ml
Įpurškimas Salbutamol sulfate 1 mg/ml
Nėra 3216
Suderinamas
Įpurškimas Piperacillin sodium / tazobactam 40/5 mg/ml
Įpurškimas Sargramostim 10 µg/ml
Gliukozė 5% 81
Suderinamas
Įpurškimas Piperacillin sodium / tazobactam 200 mg/ml
Įpurškimas Sildenafil citrate 0,6 mg/ml
Gliukozė 5% 4845
Nepatikslintas nesuderinamumas Nesuderinamas
Įpurškimas Piperacillin sodium / tazobactam
Įpurškimas Sodium bicarbonate
3586
Suderinamas
Įpurškimas Piperacillin sodium / tazobactam 40/5 mg/ml
Įpurškimas Sodium bicarbonate 84 mg/ml
Gliukozė 5% 81
Cheminis nestabilumas Nesuderinamas
Įpurškimas Piperacillin sodium / tazobactam
Įpurškimas Streptomycin sulfate
3586
Krituliai po 1 valandos Nesuderinamas
Įpurškimas Piperacillin sodium / tazobactam 40/5 mg/ml
Įpurškimas Streptozocin 40 mg/ml
Gliukozė 5% 81
Suderinamas
Įpurškimas Piperacillin sodium / tazobactam 40/5 mg/ml
Įpurškimas Sulbactam/durlobactam 15/15 mg/ml
Natrio chloridas 0,9% 4801
Suderinamas
Įpurškimas Piperacillin sodium / tazobactam 40/5 mg/ml
Įpurškimas Tedizolid phosphate 0.8 mg/ml
Natrio chloridas 0,9% 3827
Suderinamas
Įpurškimas Piperacillin sodium / tazobactam 40/5 mg/ml
Įpurškimas Telavancin hydrochloride 7.5 mg/ml
Gliukozė 5% 3254
Suderinamas
Įpurškimas Piperacillin sodium / tazobactam 40/5 mg/ml
Įpurškimas Telavancin hydrochloride 7.5 mg/ml
Natrio chloridas 0,9% 3254
Suderinamas
Įpurškimas Piperacillin sodium / tazobactam 40/5 mg/ml
Įpurškimas Telavancin hydrochloride 7.5 mg/ml
Ringerio laktato tirpalas 3254
Cheminis nestabilumas Nesuderinamas
Įpurškimas Piperacillin sodium / tazobactam 200 mg/ml
Įpurškimas Temocilline 83.33 mg/ml
Vanduo injekcijoms 2231
Nepatikslintas nesuderinamumas Nesuderinamas
Įpurškimas Piperacillin sodium / tazobactam
Įpurškimas Temocilline
4470
Suderinamas
Įpurškimas Piperacillin sodium / tazobactam 166/20.83 mg/ml
Įpurškimas Thiamine hydrochloride 0.4 mg/ml
Gliukozė 5% 4254
Nedelsiant krituliai Nesuderinamas
Įpurškimas Piperacillin sodium / tazobactam 200 mg/ml
Įpurškimas Thiopental sodium 25 mg/ml
Natrio chloridas 0,9% 3767
Suderinamas
Įpurškimas Piperacillin sodium / tazobactam 40/5 mg/ml
Įpurškimas Thiotepa 1 mg/ml
Gliukozė 5% 81
Suderinamas
Įpurškimas Piperacillin sodium / tazobactam
Įpurškimas Tigecycline
Natrio chloridas 0,9% 3332
Cheminis nestabilumas Nesuderinamas
Įpurškimas Piperacillin sodium / tazobactam
Įpurškimas Tobramycin sulfate
3586
Nedelsiant krituliai Nesuderinamas
Įpurškimas Piperacillin sodium / tazobactam 112,5 mg/ml
Įpurškimas Vancomycin hydrochloride 10 mg/ml
Gliukozė 5% 3428
Suderinamas
Įpurškimas Piperacillin sodium / tazobactam
Gliukozė 5% 3586
Suderinamas
Įpurškimas Piperacillin sodium / tazobactam
Natrio chloridas 0,9% 5069
Nedelsiant krituliai Nesuderinamas
Įpurškimas Piperacillin sodium / tazobactam 100/12,5 mg/ml
Įpurškimas Vancomycin hydrochloride 10 mg/ml
3365
Nedelsiant krituliai Nesuderinamas
Įpurškimas Piperacillin sodium / tazobactam 40 >> 100 mg/ml
Įpurškimas Vancomycin hydrochloride 10 mg/ml
Natrio chloridas 0,9% 2475
Nedelsiant krituliai Nesuderinamas
Įpurškimas Piperacillin sodium / tazobactam
Įpurškimas Vancomycin hydrochloride >8 mg/ml
Natrio chloridas 0,9% 3841
Suderinamas
Įpurškimas Piperacillin sodium / tazobactam 16 >> 100 mg/ml
Įpurškimas Vancomycin hydrochloride 2 mg/ml
Natrio chloridas 0,9% 2475
Suderinamas
Įpurškimas Piperacillin sodium / tazobactam 16 >> 100 mg/ml
Įpurškimas Vancomycin hydrochloride 5 mg/ml
Natrio chloridas 0,9% 2475
Suderinamas
Įpurškimas Piperacillin sodium / tazobactam 16 >> 30 mg/ml
Įpurškimas Vancomycin hydrochloride 10 mg/ml
Natrio chloridas 0,9% 2475
Suderinamas
Įpurškimas Piperacillin sodium / tazobactam 30/3,75 mg/ml
Įpurškimas Vancomycin hydrochloride 4 mg/ml
Natrio chloridas 0,9% 3421
Suderinamas
Įpurškimas Piperacillin sodium / tazobactam 40/5 mg/ml
Įpurškimas Vancomycin hydrochloride 4 mg/ml
Natrio chloridas 0,9% 3421
Suderinamas
Įpurškimas Piperacillin sodium / tazobactam 33.75 >> 90 mg/ml
Įpurškimas Vancomycin hydrochloride 4 >> 7 mg/ml
Natrio chloridas 0,9% 3841
Nedelsiant krituliai Nesuderinamas
Įpurškimas Piperacillin sodium / tazobactam 80 & 90 mg/ml
Įpurškimas Vancomycin hydrochloride 8 mg/ml
Natrio chloridas 0,9% 3841
Suderinamas
Įpurškimas Piperacillin sodium / tazobactam 33.75 >> 67.5 mg/ml
Įpurškimas Vancomycin hydrochloride 8 mg/ml
Natrio chloridas 0,9% 3841
Tiesioginis drumstumas Nesuderinamas
Įpurškimas Piperacillin sodium / tazobactam 40/5 mg/ml
Įpurškimas Vancomycin hydrochloride 10 mg/ml
Gliukozė 5% 81
Nepatikslintas nesuderinamumas Nesuderinamas
Įpurškimas Piperacillin sodium / tazobactam 200 mg/ml
Įpurškimas Vancomycin hydrochloride 10 mg/ml
Gliukozė 5% 3385
Nedelsiant krituliai Nesuderinamas
Įpurškimas Piperacillin sodium / tazobactam 10/1.25 >> 200/25 mg/ml
Įpurškimas Vancomycin hydrochloride 20 mg/ml
Gliukozė 5% 1674
Nedelsiant krituliai Nesuderinamas
Įpurškimas Piperacillin sodium / tazobactam 80 >> 100 mg/ml
Įpurškimas Vancomycin hydrochloride 4 mg/ml
Gliukozė 5% 2475
Nedelsiant krituliai Nesuderinamas
Įpurškimas Piperacillin sodium / tazobactam 16 >> 100 mg/ml
Įpurškimas Vancomycin hydrochloride 8 mg/ml
Gliukozė 5% 2475
Nedelsiant krituliai Nesuderinamas
Įpurškimas Piperacillin sodium / tazobactam 28 mg/ml
Įpurškimas Vancomycin hydrochloride 10 & 15 mg/ml
Gliukozė 5% 3984
Nedelsiant krituliai Nesuderinamas
Įpurškimas Piperacillin sodium / tazobactam 67,5 mg/ml
Įpurškimas Vancomycin hydrochloride 5 mg/ml
Gliukozė 5% 3960
Suderinamas
Įpurškimas Piperacillin sodium / tazobactam 16 >> 40 mg/ml
Įpurškimas Vancomycin hydrochloride 4 mg/ml
Gliukozė 5% 2475
Suderinamas
Įpurškimas Piperacillin sodium / tazobactam 28 mg/ml
Įpurškimas Vancomycin hydrochloride 5 mg/ml
Gliukozė 5% 3984
Suderinamas
Įpurškimas Piperacillin sodium / tazobactam 1/0.125 >> 200/25 mg/ml
Įpurškimas Vancomycin hydrochloride 2 mg/ml
Gliukozė 5% 1674
Suderinamas
Įpurškimas Piperacillin sodium / tazobactam 1/0.125 mg/ml
Įpurškimas Vancomycin hydrochloride 20 mg/ml
Gliukozė 5% 1674
Suderinamas
Įpurškimas Piperacillin sodium / tazobactam 112.5 mg/ml
Įpurškimas Vasopressin 0.2 UI/ml
Natrio chloridas 0,9% 2017
Suderinamas
Įpurškimas Piperacillin sodium / tazobactam 40/5 mg/ml
Įpurškimas Vinblastine sulfate 0.12 mg/ml
Gliukozė 5% 81
Suderinamas
Įpurškimas Piperacillin sodium / tazobactam 40/5 mg/ml
Įpurškimas Vincristine sulfate 0.05 mg/ml
Gliukozė 5% 81
Suderinamas
Įpurškimas Piperacillin sodium / tazobactam 40/5 mg/ml
Įpurškimas Zidovudine 4 mg/ml
Gliukozė 5% 81
Suderinamas
Įpurškimas Piperacillin sodium / tazobactam 40/5 mg/ml
Normosol® 4655

  Mentions Légales