آخر تحديث :
27/04/2026
مضاد حيوي   Piperacillin sodium / tazobactam  
حقن
الاستقرار في حلول استقرار مخاليط العوامل التي تؤثر على الاستقرار التوافق طريقة التعاطي مراجع pdf
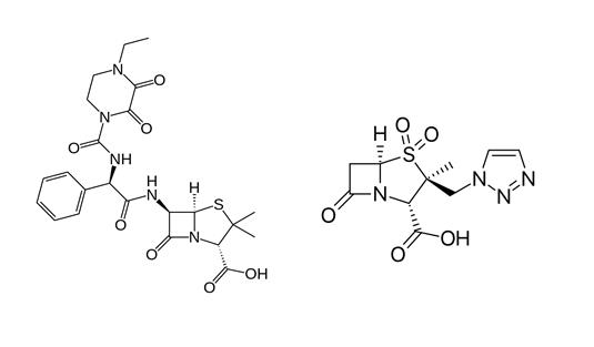
   التركيب الكيميائي  

حجز الاسم التجاري   حجز الاسم التجاري     

تحذير الأسماء التجاريه المختلفه قد تحتوي علي محتوي إضافات مختلفة حسب الدوله و المعمل

Bagotaz الأرجنتين
Betampil الإكوادور
Bioval تشيلي
Petezam الأرجنتين
Piperac ألمانيا
Piperacillin tazobactam ألمانيا, بلجيكا, كندا
Piperazam البرازيل
Pipetazo تشيلي
Pipitaz النمسا
Pixamol كولومبيا
Tazobac إيطاليا, الإكوادور, البرتغال, سويسرا
Tazocel إسبانيا
Tazocilline فرنسا
Tazocin أستراليا, إيرلندا الشمالية, إيطاليا, الأرجنتين, الإمارات العربية المتحدة, البرازيل, الدنمارك, السويد, المكسيك, النرويج, بريطانيا العظمي, بولندا, بيرو, تركيا, جمهورية جنوب أفريقيا, زيلاندا الجديدة, فنلندا, كرواتيا, كولومبيا, لوكسمبورغ, مصر, هنغاريا, هولندا, يونان
Tazonam النمسا, تشيلي
Tazopip أستراليا
Tazpen المكسيك, كولومبيا
Tazrobida كولومبيا
Tigux تشيلي
Tratac تشيلي
Trital الإكوادور
Zosyn الولايات المتحدة, اليابان
التوافق   حقن   التوافق : Piperacillin sodium / tazobactam              
This screen indicates the compatibilities or incompatibilities with, in this case, the type of incompatibility (precipitation, color change, modification of an emulsion, etc.). The compatibilities shown here are mostly physical only, with the chemical stability of each molecule rarely being assessed. The evaluation of these mixtures was studied to consider the possibility of Y-site administration to the patient. These data cannot be used for making mixtures in advance in bags or syringes. This type of information is available in the screen "Stability in mixture ».
مركب مذيب مراجع
هطول الأمطار بعد 1 ساعة غير متوافق
حقن Piperacillin sodium / tazobactam 40/5 mg/ml
حقن Aciclovir sodium 7 mg/ml
الجلوكوز %5 81
kompatibel
حقن Piperacillin sodium / tazobactam 40/5 mg/ml
التغذية الوريدية (مع الدهون) 1415
kompatibel
حقن Piperacillin sodium / tazobactam 200 mg/ml
محلول رينجر  اللاكتات 4603
kompatibel
حقن Piperacillin sodium / tazobactam 80 mg/ml
التغذية الوريدية (مع الدهون) 3948
عدم الاستقرار الكيميائي غير متوافق
حقن Piperacillin sodium / tazobactam
حقن Amikacin sulfate
3586
kompatibel
حقن Piperacillin sodium / tazobactam 200 mg/ml
التغذية الوريدية (مع الدهون) 4924
العكارة في 24 ساعة غير متوافق
حقن Piperacillin sodium / tazobactam 60 mg/ml
حقن Amiodarone hydrochloride 6 mg/ml
الجلوكوز %5 1611
هطول فوري غير متوافق
حقن Piperacillin sodium / tazobactam 40/5 mg/ml
حقن Amphotericin B 0.6 mg/ml
الجلوكوز %5 81
هطول فوري غير متوافق
حقن Piperacillin sodium / tazobactam 40/5 mg/ml
حقن Amphotericin B cholesteryl sulfate complex 0.83 mg/ml
الجلوكوز %5 921
kompatibel
حقن Piperacillin sodium / tazobactam 40/5 mg/ml
حقن Anidulafungin 0.5 mg/ml
الجلوكوز %5 1982
kompatibel
حقن Piperacillin sodium / tazobactam 40/5 mg/ml
حقن Aztreonam 40 mg/ml
الجلوكوز %5 81
kompatibel
حقن Piperacillin sodium / tazobactam 40/5 mg/ml
حقن Bivalirudin 5 mg/ml
الجلوكوز %5 1713
kompatibel
حقن Piperacillin sodium / tazobactam 40/5 mg/ml
حقن Bleomycin sulfate 1 mg/ml
الجلوكوز %5 81
kompatibel
حقن Piperacillin sodium / tazobactam 200 mg/ml
حقن Caffeine 10 mg/ml
لا شيء 3964
kompatibel
حقن Piperacillin sodium / tazobactam 40/5 mg/ml
حقن Carboplatin 5 mg/ml
الجلوكوز %5 81
kompatibel
حقن Piperacillin sodium / tazobactam 40/5 mg/ml
حقن Carmustine 1.5 mg/ml
الجلوكوز %5 81
kompatibel
حقن Piperacillin sodium / tazobactam 40/5 mg/ml
حقن Ceftolozane / tazobactam 10/5 mg/ml
كلوريد الصوديوم 0.9% 3828
التعكر الفوري غير متوافق
حقن Piperacillin sodium / tazobactam 40/5 mg/ml
حقن Chlorpromazine hydrochloride 2 mg/ml
الجلوكوز %5 81
kompatibel
حقن Piperacillin sodium / tazobactam 40/5 mg/ml
حقن Cisatracurium besylate 0.1 & 2 mg/ml
الجلوكوز %5 299
هطول الأمطار بعد 1 ساعة غير متوافق
حقن Piperacillin sodium / tazobactam 40/5 mg/ml
حقن Cisplatin 1 mg/ml
الجلوكوز %5 81
kompatibel
حقن Piperacillin sodium / tazobactam 40/5 mg/ml
حقن Clindamycin phosphate 10 mg/ml
الجلوكوز %5 81
kompatibel
حقن Piperacillin sodium / tazobactam 40/5 mg/ml
حقن Co-trimoxazole 0.8/4 mg/ml
الجلوكوز %5 81
kompatibel
حقن Piperacillin sodium / tazobactam 40/0.5 mg/ml
حقن Colistin mesilate sodium 1.5 mg/ml
كلوريد الصوديوم 0.9% 3997
kompatibel
حقن Piperacillin sodium / tazobactam 40/5 mg/ml
حقن Cyclophosphamide 10 mg/ml
الجلوكوز %5 81
kompatibel
حقن Piperacillin sodium / tazobactam 40/5 mg/ml
حقن Cytarabine 50 mg/ml
الجلوكوز %5 81
هطول فوري غير متوافق
حقن Piperacillin sodium / tazobactam 40/5 mg/ml
حقن Dacarbazine 4 mg/ml
الجلوكوز %5 81
التعكر الفوري غير متوافق
حقن Piperacillin sodium / tazobactam 40/5 mg/ml
حقن Daunorubicin hydrochloride 1 mg/ml
الجلوكوز %5 81
التعكر الفوري غير متوافق
حقن Piperacillin sodium / tazobactam
حقن Daunorubicin/cytarabine liposomale 0,4 mg/mL
كلوريد الصوديوم 0.9% 4654
التعكر الفوري غير متوافق
حقن Piperacillin sodium / tazobactam 40/5 mg/ml
حقن Dobutamine hydrochloride 4 mg/ml
الجلوكوز %5 81
kompatibel
حقن Piperacillin sodium / tazobactam 40/5 mg/ml
حقن Docetaxel 0.9 mg/ml
الجلوكوز %5 1754
التعكر الفوري غير متوافق
حقن Piperacillin sodium / tazobactam 40/5 mg/ml
حقن Doxorubicin hydrochloride 2 mg/ml
الجلوكوز %5 81
التعكر الفوري غير متوافق
حقن Piperacillin sodium / tazobactam 40/5 mg/ml
حقن Doxycycline hyclate 1 mg/ml
الجلوكوز %5 81
هطول فوري غير متوافق
حقن Piperacillin sodium / tazobactam 40/5 mg/ml
حقن Droperidol 0.4 mg/ml
الجلوكوز %5 81
kompatibel
حقن Piperacillin sodium / tazobactam 40/5 mg/ml
حقن Etoposide 0.4 mg/ml
الجلوكوز %5 81
kompatibel
حقن Piperacillin sodium / tazobactam 40/5 mg/ml
حقن Etoposide phosphate 5 mg/ml
كلوريد الصوديوم 0.9% 1410
هطول فوري غير متوافق
حقن Piperacillin sodium / tazobactam 40/5 mg/ml
حقن Famotidine 2 mg/ml
الجلوكوز %5 81
kompatibel
حقن Piperacillin sodium / tazobactam 40/5 mg/ml
حقن Fenoldopam mesylate 80 µg/ml
كلوريد الصوديوم 0.9% 1803
kompatibel
حقن Piperacillin sodium / tazobactam 40/5 mg/ml
حقن Floxuridine 3 mg/ml
الجلوكوز %5 81
kompatibel
حقن Piperacillin sodium / tazobactam 40/5 mg/ml
حقن Fluconazole 2 mg/ml
الجلوكوز %5 81
kompatibel
حقن Piperacillin sodium / tazobactam 40/5 mg/ml
حقن Fludarabine phosphate 1 mg/ml
الجلوكوز %5 81
kompatibel
حقن Piperacillin sodium / tazobactam 40/5 mg/ml
حقن Fluorouracil 16 mg/ml
الجلوكوز %5 81
kompatibel
حقن Piperacillin sodium / tazobactam 40/5 mg/ml
حقن Fosfomycin 30 mg/ml
كلوريد الصوديوم 0.9% 4055
هطول الأمطار بعد 1 ساعة غير متوافق
حقن Piperacillin sodium / tazobactam 40/5 mg/ml
حقن Ganciclovir sodium 20 mg/ml
الجلوكوز %5 81
عدم الاستقرار الكيميائي غير متوافق
حقن Piperacillin sodium / tazobactam
حقن Gentamicin sulfate
3586
kompatibel
حقن Piperacillin sodium / tazobactam 40/5 mg/ml
حقن Granisetron hydrochloride 0.05 mg/ml
الجلوكوز %5 182
هطول فوري غير متوافق
حقن Piperacillin sodium / tazobactam 40/5 mg/ml
حقن Haloperidol lactate 0.2 mg/ml
الجلوكوز %5 81
عدم توافق غير محدد غير متوافق
حقن Piperacillin sodium / tazobactam
محلول رينجر  اللاكتات 3586
عدم توافق غير محدد غير متوافق
حقن Piperacillin sodium / tazobactam
حقن Aciclovir sodium
3595
عدم الاستقرار الكيميائي غير متوافق
حقن Piperacillin sodium / tazobactam
حقن Amikacin sulfate
3549
kompatibel
حقن Piperacillin sodium / tazobactam 40/5 mg/ml
حقن Aminophylline 2.5 mg/ml
الجلوكوز %5 81
kompatibel
حقن Piperacillin sodium / tazobactam 100 mg/ml
حقن Amoxicillin sodium / clavulanic acid 100/10 mg/ml
3824
هطول فوري غير متوافق
حقن Piperacillin sodium / tazobactam 112.5 mg/ml
حقن Azithromycine 2 mg/ml
كلوريد الصوديوم 0.9% 1800
kompatibel
حقن Piperacillin sodium / tazobactam 40/5 mg/ml
حقن Bumetanide 0.04 mg/ml
الجلوكوز %5 81
kompatibel
حقن Piperacillin sodium / tazobactam 40/5 mg/ml
حقن Buprenorphine hydrochloride 0.04 mg/ml
الجلوكوز %5 81
kompatibel
حقن Piperacillin sodium / tazobactam 40/5 mg/ml
حقن Butorphanol tartrate 0.04 mg/ml
الجلوكوز %5 81
kompatibel
حقن Piperacillin sodium / tazobactam 200 mg/ml
حقن Caffeine 10 mg/ml
حقن المياه لل 4837
kompatibel
حقن Piperacillin sodium / tazobactam 200 mg/ml
حقن Caffeine citrate 20 mg/ml
حقن المياه لل 4837
kompatibel
حقن Piperacillin sodium / tazobactam 40/5 mg/ml
حقن Calcium gluconate 40 mg/ml
الجلوكوز %5 81
هطول فوري غير متوافق
حقن Piperacillin sodium / tazobactam 90 mg/ml
حقن Caspofungin acetate 0.5 mg/ml
كلوريد الصوديوم 0.9% 2233
هطول فوري غير متوافق
حقن Piperacillin sodium / tazobactam 40/5 mg/ml
حقن Caspofungin acetate 0,7 mg/ml
كلوريد الصوديوم 0.9% 2247
kompatibel
حقن Piperacillin sodium / tazobactam 40/5 mg/ml
حقن Ceftolozane / tazobactam 10/5 mg/ml
الجلوكوز %5 3828
kompatibel
حقن Piperacillin sodium / tazobactam 40/5 mg/ml
حقن Cimetidine hydrochloride 12 mg/ml
الجلوكوز %5 81
عدم توافق غير محدد غير متوافق
حقن Piperacillin sodium / tazobactam
حقن Ciprofloxacin lactate
3529
هطول الأمطار بعد 4 ساعات غير متوافق
حقن Piperacillin sodium / tazobactam 40/5 mg/ml
حقن Cisatracurium besylate 5 mg/ml
الجلوكوز %5 299
kompatibel
حقن Piperacillin sodium / tazobactam 225 mg/ml
حقن Cloxacillin sodium 100 mg/ml
حقن المياه لل 3012
عدم التوافق المرئي غير متوافق
حقن Piperacillin sodium / tazobactam
حقن Daunorubicin/cytarabine liposomale
4354
kompatibel
حقن Piperacillin sodium / tazobactam 40/5 mg/ml
حقن Dexamethasone sodium phosphate 1 mg/ml
الجلوكوز %5 81
kompatibel
حقن Piperacillin sodium / tazobactam 40/5 mg/ml
حقن Dexmedetomidine 4 µg/ml
كلوريد الصوديوم 0.9% 1712
kompatibel
حقن Piperacillin sodium / tazobactam
حقن Dimenhydrinate
2087
kompatibel
حقن Piperacillin sodium / tazobactam 40/5 mg/ml
حقن Diphenhydramine hydrochloride 2 mg/ml
الجلوكوز %5 81
kompatibel
حقن Piperacillin sodium / tazobactam 40/5 mg/ml
حقن Dopamine hydrochloride 3.2 mg/ml
الجلوكوز %5 81
فقدان العكارة غير متوافق
حقن Piperacillin sodium / tazobactam 40/5 mg/ml
حقن Doxorubicin hydrochloride liposome peg 0.4 mg/ml
الجلوكوز %5 251
kompatibel
حقن Piperacillin sodium / tazobactam 40/5 mg/ml
حقن Enalaprilate 0.1 mg/ml
الجلوكوز %5 81
kompatibel
حقن Piperacillin sodium / tazobactam 40/5 mg/ml
حقن Eravacycline 0,6 mg/ml
كلوريد الصوديوم 0.9% 4434
عدم توافق غير محدد غير متوافق
حقن Piperacillin sodium / tazobactam
حقن Erythromycin lactobionate
3674
kompatibel
حقن Piperacillin sodium / tazobactam 40/5 mg/ml
حقن Folinate calcium 2 mg/ml
الجلوكوز %5 81
kompatibel
حقن Piperacillin sodium / tazobactam 40/5 mg/ml
حقن Fosfomycin 30 mg/ml
الجلوكوز %5 4055
kompatibel
حقن Piperacillin sodium / tazobactam 40/5 mg/ml
حقن Furosemide 3 mg/ml
الجلوكوز %5 81
kompatibel
حقن Piperacillin sodium / tazobactam 40/5 mg/ml
حقن Gallium nitrate 0.4 mg/ml
الجلوكوز %5 81
التعكر الفوري غير متوافق
حقن Piperacillin sodium / tazobactam 40/5 mg/ml
حقن Gemcitabine hydrochloride 10 mg/ml
كلوريد الصوديوم 0.9% 1423
عدم توافق غير محدد غير متوافق
حقن Piperacillin sodium / tazobactam
حقن Gentamicin sulfate
3520
عدم توافق غير محدد غير متوافق
حقن Piperacillin sodium / tazobactam
حقن Gentamicin sulfate
3643
kompatibel
حقن Piperacillin sodium / tazobactam 0.5/0.0625 mg/ml
حقن Heparin sodium 0.5 UI/ml
Dianéal® 1.5% glucose (Baxter) 4180
kompatibel
حقن Piperacillin sodium / tazobactam 0.5/0.0625 mg/ml
حقن Heparin sodium 0.5 UI/ml
Extraneal  (باكستر) 4180
kompatibel
حقن Piperacillin sodium / tazobactam 1.38/0.1725 mg/ml
حقن Heparin sodium 1.4 UI/ml
Physionéal® 2.27 (Baxter) 4180
kompatibel
حقن Piperacillin sodium / tazobactam 0.5/0.0625 mg/ml
حقن Heparin sodium 0.5 UI/ml
Dianéal® 4.25% glucose (Baxter) 4180
kompatibel
حقن Piperacillin sodium / tazobactam 1.38/0.1725 mg/ml
حقن Heparin sodium 1.4 UI/ml
Physionéal® 3.86 (Baxter) 4180
kompatibel
حقن Piperacillin sodium / tazobactam 1.38/0.1725 mg/ml
حقن Heparin sodium 1.4 UI/ml
Physionéal® 1.36 (Baxter) 4180
kompatibel
حقن Piperacillin sodium / tazobactam 0.5/0.0625 mg/ml
حقن Heparin sodium 0.5 UI/ml
Dianéal® 2.5% glucose (Baxter) 4180
kompatibel
حقن Piperacillin sodium / tazobactam 40/5 mg/ml
حقن Heparin sodium 100 UI/ml
الجلوكوز %5 81
kompatibel
حقن Piperacillin sodium / tazobactam 40/5 mg/ml
حقن Hetastarch 60 mg/ml
مذيب معين 1721
kompatibel
حقن Piperacillin sodium / tazobactam 40/5 mg/ml
حقن Hydrocortisone sodium succinate 1 mg/ml
الجلوكوز %5 81
kompatibel
حقن Piperacillin sodium / tazobactam 40/5 mg/ml
حقن Hydromorphone hydrochloride 0.5 mg/ml
الجلوكوز %5 81
هطول فوري غير متوافق
حقن Piperacillin sodium / tazobactam 40/5 mg/ml
حقن Hydroxyzine dihydrochloride 4 mg/ml
الجلوكوز %5 81
التعكر الفوري غير متوافق
حقن Piperacillin sodium / tazobactam 40/5 mg/ml
حقن Idarubicin hydrochloride 0.5 mg/ml
الجلوكوز %5 81
kompatibel
حقن Piperacillin sodium / tazobactam 40/5 mg/ml
حقن Ifosfamide 25 mg/ml
الجلوكوز %5 81
kompatibel
حقن Piperacillin sodium / tazobactam 166/20.83 mg/ml
حقن Insulin 1 UI/ml
كلوريد الصوديوم 0.9% 4254
kompatibel
حقن Piperacillin sodium / tazobactam 45 mg/ml
حقن Insulin aspart 1 UI/ml
كلوريد الصوديوم 0.9% 1508
kompatibel
حقن Piperacillin sodium / tazobactam 45 mg/ml
حقن Insulin aspart 1 UI/ml
الجلوكوز %5 1508
kompatibel
حقن Piperacillin sodium / tazobactam 40/5 mg/ml
حقن Isavuconazonium sulfate 1.5 mg/ml
كلوريد الصوديوم 0.9% 3829
kompatibel
حقن Piperacillin sodium / tazobactam 40/5 mg/ml
حقن Lansoprazole 0.55 mg/ml
كلوريد الصوديوم 0.9% 1625
kompatibel
حقن Piperacillin sodium / tazobactam 166/20.83 mg/ml
حقن Levetiracetam 20.83 mg/ml
الجلوكوز %5 4254
kompatibel
حقن Piperacillin sodium / tazobactam 166/20.83 mg/ml
حقن Levetiracetam 20.83 mg/ml
كلوريد الصوديوم 0.9% 4254
kompatibel
حقن Piperacillin sodium / tazobactam 80 mg/ml
 التغذية الوريدية (خالية من الدهن) 3948
kompatibel
حقن Piperacillin sodium / tazobactam 166/20.83 mg/ml
حقن Insulin 1 UI/ml
الجلوكوز %5 4254
kompatibel
حقن Piperacillin sodium / tazobactam 33,75 mg/ml
حقن Levetiracetam 5 mg/ml
كلوريد الصوديوم 0.9% 4569
kompatibel
حقن Piperacillin sodium / tazobactam 40/5 mg/ml
 التغذية الوريدية (خالية من الدهن) 301
التعكر الفوري غير متوافق
حقن Piperacillin sodium / tazobactam 40/5 mg/ml
حقن Isavuconazonium sulfate 1.5 mg/ml
الجلوكوز %5 3829
عدم توافق غير محدد غير متوافق
حقن Piperacillin sodium / tazobactam
NaHCO3 3586
عدم الاستقرار الكيميائي غير متوافق
حقن Piperacillin sodium / tazobactam
حقن Kanamycin sulfate
3586
kompatibel
حقن Piperacillin sodium / tazobactam 200 mg/ml
حقن Ketamine hydrochloride 50 mg/ml
2109
عدم التوافق المرئي غير متوافق
حقن Piperacillin sodium / tazobactam 45 mg/ml
حقن Levetiracetam 5 mg/ml
كلوريد الصوديوم 0.9% 4569
kompatibel
حقن Piperacillin sodium / tazobactam 125 mg/ml
حقن Linezolid 2 mg/ml
4928
kompatibel
حقن Piperacillin sodium / tazobactam 40/5 mg/ml
حقن Linezolid 2 mg/ml
لا شيء 1925
kompatibel
حقن Piperacillin sodium / tazobactam 40/5 mg/ml
حقن Lorazepam 0.1 mg/ml
الجلوكوز %5 81
kompatibel
حقن Piperacillin sodium / tazobactam 40/5 mg/ml
حقن Magnesium sulfate 100 mg/ml
الجلوكوز %5 81
kompatibel
حقن Piperacillin sodium / tazobactam 40/5 mg/ml
حقن Mannitol 150 mg/ml
الجلوكوز %5 81
kompatibel
حقن Piperacillin sodium / tazobactam 200 mg/ml
حقن Meropenem 50 mg/ml
حقن المياه لل 4319
kompatibel
حقن Piperacillin sodium / tazobactam 40/5 mg/ml
حقن Mesna 10 mg/ml
الجلوكوز %5 81
kompatibel
حقن Piperacillin sodium / tazobactam 40/5 mg/ml
حقن Methotrexate sodium 15 mg/ml
الجلوكوز %5 81
kompatibel
حقن Piperacillin sodium / tazobactam 40/5 mg/ml
حقن Methylprednisolone sodium succinate 5 mg/ml
الجلوكوز %5 81
kompatibel
حقن Piperacillin sodium / tazobactam 40/5 mg/ml
حقن Metoclopramide hydrochloride 5 mg/ml
الجلوكوز %5 81
kompatibel
حقن Piperacillin sodium / tazobactam 40/5 mg/ml
حقن Metronidazole 5 mg/ml
الجلوكوز %5 81
هطول فوري غير متوافق
حقن Piperacillin sodium / tazobactam 40/5 mg/ml
حقن Minocycline hydrochloride 1 mg/ml
الجلوكوز %5 81
تغير اللون بعد 4 ساعات غير متوافق
حقن Piperacillin sodium / tazobactam 40/5 mg/ml
حقن Mitomycin 0.5 mg/ml
الجلوكوز %5 81
هطول فوري غير متوافق
حقن Piperacillin sodium / tazobactam 40/5 mg/ml
حقن Mitoxantrone dihydrochloride 0.5 mg/ml
الجلوكوز %5 81
kompatibel
حقن Piperacillin sodium / tazobactam 40/5 mg/ml
حقن Morphine sulfate 1 mg/ml
الجلوكوز %5 81
kompatibel
حقن Piperacillin sodium / tazobactam
حقن N-acetylcysteine 200 mg/ml
لا شيء 3766
التعكر الفوري غير متوافق
حقن Piperacillin sodium / tazobactam 40/5 mg/ml
حقن Nalbuphine hydrochloride 10 mg/ml
الجلوكوز %5 81
kompatibel
حقن Piperacillin sodium / tazobactam 200 mg/ml
حقن Naloxone hydrochloride 0.4 mg/ml
لا شيء 3408
عدم الاستقرار الكيميائي غير متوافق
حقن Piperacillin sodium / tazobactam
حقن Netilmicin sulfate
3586
kompatibel
حقن Piperacillin sodium / tazobactam 20/2,5 & 40/5 mg/ml
حقن Ondansetron hydrochloride 0,015 >> 0,15 mg/ml
كلوريد الصوديوم 0.9% 16
kompatibel
حقن Piperacillin sodium / tazobactam 40/5 mg/ml
حقن Ondansetron hydrochloride 0.1 mg/ml
الجلوكوز %5 81
kompatibel
حقن Piperacillin sodium / tazobactam 200/25 mg/ml
حقن Oxycodone hydrochloride 1 mg/ml
كلوريد الصوديوم 0.9% 4842
هطول الأمطار بعد 1 ساعة غير متوافق
حقن Piperacillin sodium / tazobactam
حقن Pantoprazole sodium
2090
kompatibel
حقن Piperacillin sodium / tazobactam 100 mg/ml
حقن Paracetamol 10 mg/ml
لا شيء 3571
kompatibel
حقن Piperacillin sodium / tazobactam 100 mg/ml
حقن Paracetamol 10 mg/ml
4742
kompatibel
حقن Piperacillin sodium / tazobactam 200 mg/ml
حقن Pentoxifyllin 5 mg/ml
كلوريد الصوديوم 0.9% 4538
kompatibel
حقن Piperacillin sodium / tazobactam 40/5 mg/ml
حقن Pethidine hydrochloride 4 mg/ml
الجلوكوز %5 81
عدم الاستقرار الكيميائي غير متوافق
حقن Piperacillin sodium / tazobactam
حقن Plazomicin sulfate
3586
kompatibel
حقن Piperacillin sodium / tazobactam 40/5 mg/ml
حقن Plazomicin sulfate 24 mg/ml
كلوريد الصوديوم 0.9% 4145
هطول فوري غير متوافق
حقن Piperacillin sodium / tazobactam 160 mg/ml
حقن Posaconazole 1,2 mg/ml
كلوريد الصوديوم 0.9% 4521
kompatibel
حقن Piperacillin sodium / tazobactam 40/5 mg/ml
حقن Potassium chloride 100 mEq/l
الجلوكوز %5 81
التعكر الفوري غير متوافق
حقن Piperacillin sodium / tazobactam 40/5 mg/ml
حقن Prochlorperazine edysilate 0.5 mg/ml
الجلوكوز %5 81
التعكر الفوري غير متوافق
حقن Piperacillin sodium / tazobactam 40/5 mg/ml
حقن Promethazine hydrochloride 2 mg/ml
الجلوكوز %5 81
kompatibel
حقن Piperacillin sodium / tazobactam 40/5 mg/ml
حقن Ranitidine hydrochloride 2 mg/ml
الجلوكوز %5 81
kompatibel
حقن Piperacillin sodium / tazobactam 40/5 mg/ml
حقن Remifentanil hydrochloride 25 & 250 µg/ml
كلوريد الصوديوم 0.9% 59
هطول فوري غير متوافق
حقن Piperacillin sodium / tazobactam 200 mg/ml
حقن Salbutamol sulfate 1 mg/ml
لا شيء 3216
kompatibel
حقن Piperacillin sodium / tazobactam 40/5 mg/ml
حقن Sargramostim 10 µg/ml
الجلوكوز %5 81
kompatibel
حقن Piperacillin sodium / tazobactam 200 mg/ml
حقن Sildenafil citrate 0,6 mg/ml
الجلوكوز %5 4845
عدم توافق غير محدد غير متوافق
حقن Piperacillin sodium / tazobactam
حقن Sodium bicarbonate
3586
kompatibel
حقن Piperacillin sodium / tazobactam 40/5 mg/ml
حقن Sodium bicarbonate 84 mg/ml
الجلوكوز %5 81
عدم الاستقرار الكيميائي غير متوافق
حقن Piperacillin sodium / tazobactam
حقن Streptomycin sulfate
3586
هطول الأمطار بعد 1 ساعة غير متوافق
حقن Piperacillin sodium / tazobactam 40/5 mg/ml
حقن Streptozocin 40 mg/ml
الجلوكوز %5 81
kompatibel
حقن Piperacillin sodium / tazobactam 40/5 mg/ml
حقن Sulbactam/durlobactam 15/15 mg/ml
كلوريد الصوديوم 0.9% 4801
kompatibel
حقن Piperacillin sodium / tazobactam 40/5 mg/ml
حقن Tedizolid phosphate 0.8 mg/ml
كلوريد الصوديوم 0.9% 3827
kompatibel
حقن Piperacillin sodium / tazobactam 40/5 mg/ml
حقن Telavancin hydrochloride 7.5 mg/ml
الجلوكوز %5 3254
kompatibel
حقن Piperacillin sodium / tazobactam 40/5 mg/ml
حقن Telavancin hydrochloride 7.5 mg/ml
كلوريد الصوديوم 0.9% 3254
kompatibel
حقن Piperacillin sodium / tazobactam 40/5 mg/ml
حقن Telavancin hydrochloride 7.5 mg/ml
محلول رينجر  اللاكتات 3254
عدم الاستقرار الكيميائي غير متوافق
حقن Piperacillin sodium / tazobactam 200 mg/ml
حقن Temocilline 83.33 mg/ml
حقن المياه لل 2231
عدم توافق غير محدد غير متوافق
حقن Piperacillin sodium / tazobactam
حقن Temocilline
4470
kompatibel
حقن Piperacillin sodium / tazobactam 166/20.83 mg/ml
حقن Thiamine hydrochloride 0.4 mg/ml
الجلوكوز %5 4254
هطول فوري غير متوافق
حقن Piperacillin sodium / tazobactam 200 mg/ml
حقن Thiopental sodium 25 mg/ml
كلوريد الصوديوم 0.9% 3767
kompatibel
حقن Piperacillin sodium / tazobactam 40/5 mg/ml
حقن Thiotepa 1 mg/ml
الجلوكوز %5 81
kompatibel
حقن Piperacillin sodium / tazobactam
حقن Tigecycline
كلوريد الصوديوم 0.9% 3332
عدم الاستقرار الكيميائي غير متوافق
حقن Piperacillin sodium / tazobactam
حقن Tobramycin sulfate
3586
هطول فوري غير متوافق
حقن Piperacillin sodium / tazobactam 112,5 mg/ml
حقن Vancomycin hydrochloride 10 mg/ml
الجلوكوز %5 3428
kompatibel
حقن Piperacillin sodium / tazobactam
الجلوكوز %5 3586
kompatibel
حقن Piperacillin sodium / tazobactam
كلوريد الصوديوم 0.9% 5069
هطول فوري غير متوافق
حقن Piperacillin sodium / tazobactam 100/12,5 mg/ml
حقن Vancomycin hydrochloride 10 mg/ml
3365
هطول فوري غير متوافق
حقن Piperacillin sodium / tazobactam 40 >> 100 mg/ml
حقن Vancomycin hydrochloride 10 mg/ml
كلوريد الصوديوم 0.9% 2475
هطول فوري غير متوافق
حقن Piperacillin sodium / tazobactam
حقن Vancomycin hydrochloride >8 mg/ml
كلوريد الصوديوم 0.9% 3841
kompatibel
حقن Piperacillin sodium / tazobactam 16 >> 100 mg/ml
حقن Vancomycin hydrochloride 2 mg/ml
كلوريد الصوديوم 0.9% 2475
kompatibel
حقن Piperacillin sodium / tazobactam 16 >> 100 mg/ml
حقن Vancomycin hydrochloride 5 mg/ml
كلوريد الصوديوم 0.9% 2475
kompatibel
حقن Piperacillin sodium / tazobactam 16 >> 30 mg/ml
حقن Vancomycin hydrochloride 10 mg/ml
كلوريد الصوديوم 0.9% 2475
kompatibel
حقن Piperacillin sodium / tazobactam 30/3,75 mg/ml
حقن Vancomycin hydrochloride 4 mg/ml
كلوريد الصوديوم 0.9% 3421
kompatibel
حقن Piperacillin sodium / tazobactam 40/5 mg/ml
حقن Vancomycin hydrochloride 4 mg/ml
كلوريد الصوديوم 0.9% 3421
kompatibel
حقن Piperacillin sodium / tazobactam 33.75 >> 90 mg/ml
حقن Vancomycin hydrochloride 4 >> 7 mg/ml
كلوريد الصوديوم 0.9% 3841
هطول فوري غير متوافق
حقن Piperacillin sodium / tazobactam 80 & 90 mg/ml
حقن Vancomycin hydrochloride 8 mg/ml
كلوريد الصوديوم 0.9% 3841
kompatibel
حقن Piperacillin sodium / tazobactam 33.75 >> 67.5 mg/ml
حقن Vancomycin hydrochloride 8 mg/ml
كلوريد الصوديوم 0.9% 3841
التعكر الفوري غير متوافق
حقن Piperacillin sodium / tazobactam 40/5 mg/ml
حقن Vancomycin hydrochloride 10 mg/ml
الجلوكوز %5 81
عدم توافق غير محدد غير متوافق
حقن Piperacillin sodium / tazobactam 200 mg/ml
حقن Vancomycin hydrochloride 10 mg/ml
الجلوكوز %5 3385
هطول فوري غير متوافق
حقن Piperacillin sodium / tazobactam 10/1.25 >> 200/25 mg/ml
حقن Vancomycin hydrochloride 20 mg/ml
الجلوكوز %5 1674
هطول فوري غير متوافق
حقن Piperacillin sodium / tazobactam 80 >> 100 mg/ml
حقن Vancomycin hydrochloride 4 mg/ml
الجلوكوز %5 2475
هطول فوري غير متوافق
حقن Piperacillin sodium / tazobactam 16 >> 100 mg/ml
حقن Vancomycin hydrochloride 8 mg/ml
الجلوكوز %5 2475
هطول فوري غير متوافق
حقن Piperacillin sodium / tazobactam 28 mg/ml
حقن Vancomycin hydrochloride 10 & 15 mg/ml
الجلوكوز %5 3984
هطول فوري غير متوافق
حقن Piperacillin sodium / tazobactam 67,5 mg/ml
حقن Vancomycin hydrochloride 5 mg/ml
الجلوكوز %5 3960
kompatibel
حقن Piperacillin sodium / tazobactam 16 >> 40 mg/ml
حقن Vancomycin hydrochloride 4 mg/ml
الجلوكوز %5 2475
kompatibel
حقن Piperacillin sodium / tazobactam 28 mg/ml
حقن Vancomycin hydrochloride 5 mg/ml
الجلوكوز %5 3984
kompatibel
حقن Piperacillin sodium / tazobactam 1/0.125 >> 200/25 mg/ml
حقن Vancomycin hydrochloride 2 mg/ml
الجلوكوز %5 1674
kompatibel
حقن Piperacillin sodium / tazobactam 1/0.125 mg/ml
حقن Vancomycin hydrochloride 20 mg/ml
الجلوكوز %5 1674
kompatibel
حقن Piperacillin sodium / tazobactam 112.5 mg/ml
حقن Vasopressin 0.2 UI/ml
كلوريد الصوديوم 0.9% 2017
kompatibel
حقن Piperacillin sodium / tazobactam 40/5 mg/ml
حقن Vinblastine sulfate 0.12 mg/ml
الجلوكوز %5 81
kompatibel
حقن Piperacillin sodium / tazobactam 40/5 mg/ml
حقن Vincristine sulfate 0.05 mg/ml
الجلوكوز %5 81
kompatibel
حقن Piperacillin sodium / tazobactam 40/5 mg/ml
حقن Zidovudine 4 mg/ml
الجلوكوز %5 81
kompatibel
حقن Piperacillin sodium / tazobactam 40/5 mg/ml
Normosol® 4655

  Mentions Légales