Posledná aktualizácia :
27/01/2026
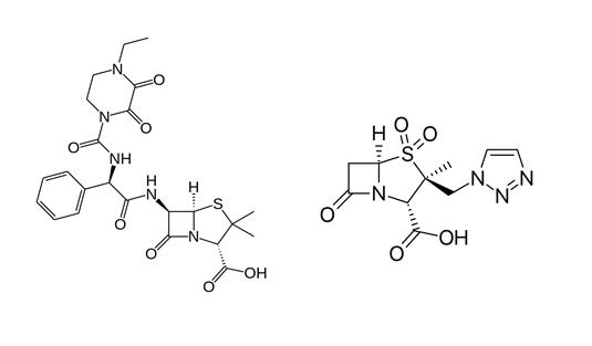
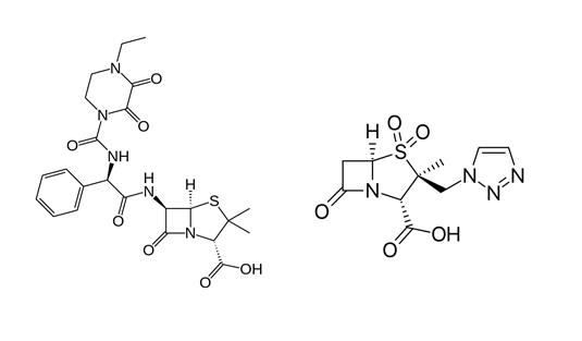
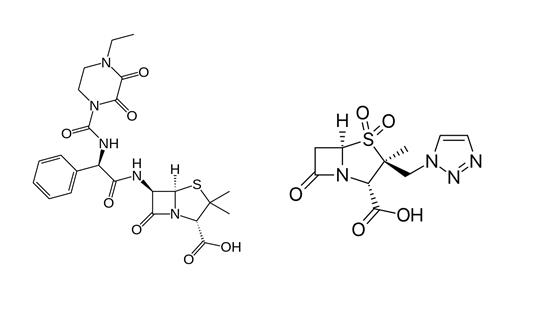
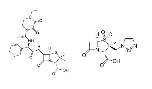
antibiotikum   Piperacillin sodium / tazobactam  
Injekcia
Stabilita roztokov Stabilita v zmesiach Faktory ovplyvňujúce stabilitu Kompatibility spôsob podania Odkazy na literatúru PDF
   Chemický vzorec  

Obchodný názov   Obchodný názov     

Obchodné názvy sú orientačné, a zloženie pomocných látok sa môže líšiť v závislosti od krajiny a výrobcu.

Bagotaz Argentína
Betampil Ekvádor
Bioval Čile
Petezam Argentína
Piperac Nemecko
Piperacillin tazobactam Belgicko, Kanada, Nemecko
Piperazam Brazília
Pipetazo Čile
Pipitaz Rakúsko
Pixamol Kolumbia
Tazobac Ekvádor, Portugalsko, Švajčiarsko, Taliansko
Tazocel Španielsko
Tazocilline Francúzsko
Tazocin Argentína, Austrália, Brazília, Chorvátsko, Dánsko, Egypt, Fínsko, Grécko, Holandsko, Juhoafrická republika, Kolumbia, Luxembursko, Maďarsko, Mexiko, Nórsko, nový Zéland, peru, Poľsko, Severné Írsko, Spojené arabské emiráty, Švédsko, Taliansko, Turecko, Veľká Británia
Tazonam Čile, Rakúsko
Tazopip Austrália
Tazpen Kolumbia, Mexiko
Tazrobida Kolumbia
Tigux Čile
Tratac Čile
Trital Ekvádor
Zosyn Japonsko, Spojené štáty Americké
Odkazy na literatúru   Injekcia   Odkazy na literatúru : Piperacillin sodium / tazobactam  
Typ Publikácia
16 Časopis Chung KC, Moon YSK, Chin A, Ulrich WU, Gill MA.
Compatibility of ondansetron hydrochloride and piperacillin sodium-tazobactam sodium during simulated Y-site administration.
Am J Health-Syst Pharm 1995 ; 52: 1554-1556.
59 Časopis Trissel LA, Gilbert DL, Martinez JF, Kim MC.
Compatibility of remifentanil hydrochloride with selected drugs during simulated Y-site administration.
Am J Health-Syst Pharm 1997 ; 54: 2192-2196.
81 Časopis Trissel LA, Martinez JF.
Compatibility of piperacillin sodium plus tazobactam with selected drugs during simulated Y-site injection.
Am J Hosp Pharm 1994 ; 51: 672-678.
182 Časopis Trissel LA, Gilbert DL, Martinez JF.
Compatibility of granisetron hydrochloride with selected drugs during simulated Y-site administration.
Am J Health-Syst Pharm 1997 ; 54: 56-60.
235 Časopis Choi JS, Burm JP, Jhee SS, Chin A, Ulrich RW, Gill MA.
Stability of piperacillin sodium-tazobactam sodium and ranitidine hydrochloride in 0.9% sodium chloride injection during simulated Y-site administration.
Am J Hosp Pharm 1994 ; 51: 2273-2276.
251 Časopis Trissel LA, Gilbert DL, Martinez JF.
Compatibility of doxorubicin hydrochloride liposome injection with selected other drugs during simulated Y-site administration.
Am J Health-Syst Pharm 1997 ; 54: 2708-2713.
274 Časopis Moon YSK, Chung KC, Chin A, Gill MA.
Stability of piperacillin sodium-tazobactam sodium in polypropylene syringes and polyvinyl chloride minibags.
Am J Health-Syst Pharm 1995 ; 52: 999-1001.
299 Časopis Trissel LA, Martinez JF, Gilbert DL.
Compatibility of cisatracurium besylate with selected drugs during simulated Y-site administration.
Am J Health-Syst Pharm 1997 ; 54: 1735-1741.
301 Časopis Trissel LA, Gilbert DL, Martinez JF, Baker MB, Walter WV, Mirtallo JM.
Compatibility of parenteral nutrient solutions with selected drugs during simulated Y-site administration.
Am J Health-Syst Pharm 1997 ; 54: 1295-1300.
604 Laboratórium Stabilité des médicaments dans l'Intermate® SV50, 100, 200
Baxter 1998
921 Časopis Trissel LA, Gilbert DL, Martinez JF.
Incompatibility and compatibility of amphotericin B cholesteryl sulfate complex with selected other drugs during simulated Y-site administration.
Hosp Pharm 1998 ; 33: 284-292.
1410 Časopis Trissel LA, Martinez JF, Simmons M.
Compatibility of etoposide phosphate with selected drugs during simulated Y-site injection.
J Am Pharm Assoc 1999 ; 39: 141-145.
1415 Časopis Trissel L.A, Gilbert D.L, Martinez J.F, Baker M.B, Walter W.V, Mirtallo J.M.
Compatibility of medications with 3-in-1 parenteral nutrition admixtures.
JPEN 1999 ; 23: 67-74.
1423 Časopis Trissel LA, Martinez JF, Gilbert DL.
Compatibility of gemcitabine hyrochloride with 107 selected drugs during simulated Y-site injection.
J Am Pharm Assoc 1999 ; 39: 514-518.
1508 Časopis Voirol P, Berger-Gryllaki M, Pannatier A, Eggimann P, Sadeghipour F.
Visual compatibility of insulin aspart with intravenous drugs frequently used in ICU.
EJHP 2015 ;22:123-124.
1611 Časopis Chalmers JR, Bobek MB, Militello MA.
Visual compatibility of amiodarone hydrochloride injection with various intravenous drugs.
Am J Health-Syst Pharm 2001 ; 58: 504-506.
1625 Časopis Trissel LA, Saenz C, Williams YW, Ingram D.
Incompatibilities of lansoprazole injection with other drugs during simulated Y-site coadministration.
Int J Pharm Compound 2001 ; 5: 314-321.
1674 Časopis Trissel LA, Gilbert DL, Martinez JF.
Concentration dependency of vancomycin hydrochloride compatibility with beta-lactam antibiotics during simulated Y-site administration.
Hosp Pharm 1998 ; 33: 1515-1522.
1712 Časopis Trissel LA, Saenz CA.
Compatibility screening of Precedex during simulated Y-site administration with other drugs.
Int J Pharm Compound 2002 ; 6: 230-233.
1713 Časopis Trissel LA, Saenz CA.
Compatibility screening of bivalirudin during simulated Y-site administration with other drugs.
Int J Pharm Compound 2002 ; 6: 311-315.
1721 Časopis Trissel LA, Williams KY, Baker MB.
Compatibility screening of Hextend during simulated Y-site administration with other drugs.
Int J Pharm Compound 2001 ; 5: 69-72.
1754 Časopis Trissel LA, Gilbert DL, Wolkin AC.
Compatibility of docetaxel with selected drugs during simulated Y-site administration.
Int J Pharm Compound 1999 ; 3: 241-244.
1800 Časopis Voytilla KL, Tyler LS, Rusho WJ.
Visual compatibility of azithromycin with 24 commonly used drugs during simulated Y-site delivery.
Am J Health-Syst Pharm 2002 ; 59: 853-855.
1803 Časopis Trissel, LA, Saenz CA, Ogundele OB, Ingram D, Baker MB.
Compatibility of fenoldopam mesylate with other drugs during simulated Y-site administration.
Am J Health-Syst Pharm 2003 ; 60: 80-85.
1925 Časopis Trissel LA , Williams KY, Gilbert DL.
Compatibility screening of linezolid injection during simulated Y-site administration with other drugs and infusion solutions.
J Am Pharm Assoc 2000 ; 40: 515-519.
1946 Časopis Hecq JD, Berlage V, Vanbeckbergen D, Jamart J, Galanti L.
Effects of freezing, long-term storage, and microwave thawing on the stability of piperacillin plus tazobactam in 5% dextrose for infusion.
Can J Hosp Pharm 2004 ; 57, 5: 276-282.
1982 Časopis Trissel LA, Ogundele AB.
Compatibility of anidulafungin with other drugs during simulated Y-site administration.
Am J Health-Syst Pharm 2005 ; 62: 834-837.
2017 Časopis Barker B, Feddema S, Rusho WJ, Dengg R.
Visual compatibility of vasopressin with other injectable drugs.
Am J Health-Syst Pharm 2005 ; 62: 1969-1976.
2026 Časopis Rigge D, Jones MF.
Shelf lives of aseptically prepared medicines - stability of piperacillin/tazobactam in PVC and non-PVC bags.
J Pharm Biomed Anal 2005 ; 39: 339-343.
2042 Časopis Viaene E, Chanteux H, Servais H, Mingeot-Leclerq MP, Tulkens PM.
Comparative stability studies of antipseudomonal ß-lactams for potential administration through portable elastomeric pumps (home therapy for cystic fibrosis patients) and motor-operated syringes (intensive care units).
Antimicrob Agents Chemother 2002 ; 46: 2327-2332.
2087 Časopis Ferreira E, Forest JM, Hildgen P.
Compatibility of dimenhydrinate injectable by Y administration.
Pharmactuel 2004 ; 37: 17-20.
2090 Časopis Pere H, Chasse V, Forest JM, Hildgen P.
Compatibility of injectable pantoprazole in Y-site administration.
Pharmactuel 2004 ; 37: 193-196.
2109 Časopis Pelletier E, Forest JM, Hildgen P.
Compatibilité de la kétamine injectable lors de l’administration en dérivé avec d’autres médicaments usuels.
Pharmactuel 2006 ; 39: 71-75.
2231 Časopis de Jongh R, Hens R, Basma V, mouton JW, Tulkens PM, Carryn S.
Continuous versus intermittent infusion of temocillin, a directed spectrum penicillin for intensive care patients with nosocomial pneumonia: stability, compatibility, population pharmacokinetic studies and breakpoint selection.
J Antimicrob Chemother 2008 ; 61, 2: 382-388.
2233 Časopis Condie C.K, Tyler L.S, Barker B, Canann D.M.
Visual compatibility of caspofungin acetate with commonly used drugs during simulated Y-site delivery
Am J Health-Syst Pharm 2008 ; 65, 5: 454-457.
2247 Časopis Chan P, Heatherly K, Kupiec T.C, Trissel L.A.
Compatibility of caspofungin acetate injection with other drugs during simulated Y-site coadministration.
Int J Pharm Compound 2008 ; 12, 3: 276-278.
2345 Časopis Donnelly R.F.
Stability of aseptically prepared Tazocin solutions in polyvinyl chloride bags.
Can J Hosp Pharm 2009 ; 62, 3: 226-231.
2451 Časopis Park TW, Le-Bui LP, Chung KC, Rho JP, Gill MA.
Stability of piperacillin sodium-tazobactam sodium in peritoneal dialysis solutions
Am J Health-Syst Pharm 1995 ; 52: 2022 - 2024.
2475 Časopis Wade J, Cooper M, Ragan R.
Simulated Y-Site Compatibility of Vancomycin and Piperacillin-Tazobactam
Hosp Pharm 2015 ; 50: 376-379.
3012 Časopis Sullivan T, Forrest J.M, Leclair G.
Compatibility of Cloxacillin Sodium with Selected Intravenous Drugs During Simulated Y-Site Administration
Hosp Pharm 2015 ; 50, 3: 214-220.
3216 Časopis Legris ME, Valiquette ME, Lavoie A, Forest JM, Leclair G.
Compatibilité physique par évaluation visuelle du salbutamol injectable lors de son administration en Y.
Pharmactuel 2011 ; 44, 1 : 14-18
3254 Časopis Housman S.T, Tessier P.R, Nicolau D.P, Kuti J.L.
Physical compatibility of telavancin hydrochloride with select i.v. drugs during simulated Y-site administration
Am J Health-Syst Pharm 2011 ; 68: 2265-2270.
3332 Laboratórium Tigecycline (Tigacyl®) - Summary of Product characteristics
Pfizer 2012
3365 Časopis Nichols K.R, DeMarco M.W, Vertin M.D, Knoderer C.A.
Y-Site Compatibility of Vancomycin and Piperacillin/Tazobactam at Commonly Utilized Pediatric Concentrations.
Hosp Pharm 2013 ; 1: 44-47
3385 Časopis Raverdi V, Ampe E, Hecq JD, Tulkens PM.
Stability and compatibility of vancomycin for administration by continuous infusion.
J Antimicrob Chemother 2013 ; 68: 1179-1182.
3408 Časopis Tollec S, Touzin K, Pelletier E, Forest J.M.
Evaluation visuelle de la compatibilité physique de la naloxone avec d’autres médicaments intraveineux usuels.
Pharmactuel 2013 ; 46, 1 : 16-21.
3421 Časopis Leung E, Venkatesan N, Ly S.C, Scheetz M.H.
Physical compatibility of vancomycin and piperacillin sodium–tazobactam at concentrations typically used during prolonged infusions.
Am J Health-Syst Pharm 2013 ;70:1163-1166.
3428 Časopis Nichols K.R, DeMarco M.W, Vertin M.D, Knoderer C.A.
Y-site compatibility of vancomycin and piperacillin/tazobactam at commonly utilized pediatric concentrations.
Hosp Pharm 2013 ; 48, 1: 44-47.
3520 Laboratórium Cidomycin - Summary of product Chracteristics.
Sanofi 2011
3529 Laboratórium Ciprofloxacin – Summary of Product Characteristics
Hospira 2013
3549 Laboratórium Amikacine B Braun - Résumé des caractéristiques du produit.
B Braun 2012
3571 Časopis Anderson C, Boehme S, Ouellette J, Stidham C, MacKay M.
Physical and Chemical Compatibility of Injectable Acetaminophen During Simulated Y-Site Administration.
Hosp Pharm 2014 ; 49, 1: 42-47.
3586 Laboratórium Piperacilline tazobactam Actavis® - Résumé des caractéristiques du produit
Actavis France 2010
3595 Laboratórium Aciclovir - Summary of Product Characteristics
Hospira 2009
3643 Laboratórium Gentamicin sulphate (Cidomycin®) - Summary of Product Characteristics
Sanofi 2015
3674 Laboratórium Erythromycin lactobionate - Summary of Product Characteristics
PanPharma 2016
3766 Časopis Forrest J.M, Hildgen P.
Compatibilité de l’acétylcystéine injectable lors de son administration en Y avec d’autres médicaments usuels
Pharmactuel 2014 ; 47, 3 : 161-165.
3767 Časopis Legris M.E, Lavoie A, Forrest J.M, Hildgen P.
Compatibilité par évaluation visuelle du thiopental injectable lors de son administration en Y avec des médicaments usuels.
Pharmactuel 2014 ; 47, 3 : 167-172.
3824 Časopis Boudi S, Roy H, Forest JM, Leclair G.
Compatibilité physique de l'association amoxicilline-acide clavulanique en injection avec plusieurs autres médicaments lors d'une administration en Y.
Pharmactuel 2023 2023;56,3:91-98
3827 Poster Ghazi I.M, Hamada Y, Nicolau D.P.
Compatibility of tedizolid phosphate with selected intravenous drugs via simulated Y-site conditions.
ASHP Midyear 2015
3828 Poster Thabit A.K, Hamada Y, Nicolau D.P.
Ceftozolane/tazobactam physical compatibility during simulated Y-site administration.
ASHP Midyear 2015
3829 Poster So W, Kim L, Thabit A.K, Nicolau D.P, Kuti J.L.
Compatibility of isavunazonium sulfate during simulated Y-site administration.
ASHP Midyear 2015
3841 Časopis Nicholas O?Donnell J, Venkatesan N, Manek M, Rhodes N.J, Scheetz M.H.
Visual and absorbance analyses of admixtures containing vancomycin and piperacillin–tazobactam at commonly used concentrations.
Am J Health-Syst Pharm 2016 ; 73:241-246
3948 Časopis Bouchoud L, Fonzo-Christe C, Klingm?ller M, Bonnabry P .
Compatibility of Intravenous Medications With Parenteral Nutrition - In Vitro Evaluation.
JPEN 2012 ;30. 416?424.
3960 Časopis Kufel W.D, Miller C.D, Johnson P.R, Reid K., Zahra J.J, Seabury R.W.
Y-site Incompatibility Between Premix Concentrations of Vancomycin and Piperacillin-Tazobactam: Do Current Compatibility Testing Methodologies Tell the Whole Story?
Hosp Pharm 2017 ;52,2:132-137.
3964 Časopis Audet M.A, Forest E, Friciu M, Forest J.M, Leclair G.
Compatibilité du citrate de caféine injectable avec plusieurs autres médicaments.
Pharmactuel 2017 ; 50,1 : 27-33.
3984 Časopis Meyer K, Santarossa M, Danziger L.H, Wenzler E.
Compatibility of Ceftazidime-Avibactam, Ceftolozane-Tazobactam and Piperacillin-Tazobactam with Vancomycin in Dextrose 5% in Water.
Hosp Pharm 2017 ,52;3 : 221-228
3997 Časopis Katip W.
Visual compatibility of colistin injection with other antibiotics during simulated Y-site administration.
Am J Health-Syst Pharm 2017 ; 74:14 : 1099-1102
4055 Časopis Monogue M, Almarzoky Abuhussain S, Kuti J, Nicolau D.
Physical compatibility of fosfomycin for injection with select i.v. drugs during simulated Y-site administration.
Am J Health-Syst Pharm 2018 , 75, 1:36-44
4145 Časopis Asempa T.E, Avery L.M, Kidd J.M, Kuti J.L, Nicolau D.P.
Physical compatibility of plazomicin with select i.v. drugs during simulated Y-site administration.
Am J Health-Syst Pharm 2018 ;75,14:1048-1056
4148 Časopis Huvelle S, Godet M, Galanti L, Closset M, Bihin B, Jamart J, Hecq J.D.
Long-Term Stability Comparison between an Original and a Generic Version of Piperacillin/Tazobactam in Dextrose 5% Infusion Polyolefin Bags at 5+/-3°C after Microwave Freeze-Thaw Treatment.
Pharmaceutical Technology in Hospital Pharmacy 2018 ; 3(3): 143–151.
4180 Časopis Mendes K, Harmanjeet H, Sedeeq M, Modi A, Wanandy T, Zaidi S, Ming L, Castelino R, Sud K, Peterson G, Patel R.
Stability of meropenem and piperacillin/tazobactam with heparin in various peritoneal dialysis solutions.
Perit Dial Int 2018 ;38,6:430-440
4254 Časopis D'Huart E, Vigneron J, Demoré B.
Physical Compatibility of Intravenous Drugs Commonly Used in Intensive Care Units: An Observational Study and Physical Compatibility Laboratory Tests on Anti-Infective Drugs
Pharmaceutical Technology in Hospital Pharmacy 2019 ;4,1:29-40
4319 Časopis Lessard J-J, Caron E, Schérer H, Forest J-M, Leclair G.
Compatibility of Y-site Injection of Meropenem Trihydrate With 101 Other Injectable Drugs.
Hosp Pharm 2020 ; 55, 5: 332-337.
4326 Časopis Curti C, Harti Souab K, Lamy E, Mathias F, Bornet C, Guinard B, Fersing C, Primas N, Albanèse J, Vanelle P.
Stability studies of antipyocyanic beta-lactam antibiotics used in continuous infusion.
Pharmazie 2019 ; 74: 357-362.
4354 Poster Sicard G, Donnette M, Martin N, Gensollen S, Pourroy B, Fanciullino R.
Compatibilité visuelle du Vyxeos lors d'administration en Y avec une sélection de médicaments injectables.
GERPAC Congress 2019 2019
4434 Časopis Avery L.M, Chen, I.H, Reyes, S, Nicolau, D.P, Kuti J.L.
Assessment of the Physical Compatibility of Eravacycline and Common Parenteral Drugs During Simulated Y-site Administration.
Clin Ther 2019 ; 41, 10: 2162-2170.
4470 Časopis Claeysoone K, Basma V, Hens R, Van Bambeke F, de Jongh R, Tulkens P.
Continuous versus intermittent infusion of temocillin in intensive care unit patient.
Critical care 2005 ; 9(Suppl 1) P37
4512 Časopis Jamieson C,Ozolina L,Seaton RA, Gilchrist M, Hills T, Drummond F, Wilkinson AS.
Assessment of the stability of citrate- buffered piperacillin/tazobactam for continuous infusion when stored in two commercially available elastomeric devices for outpatient parenteral antimicrobial chemotherapy: a study compliant with the NHS Yellow Cover Document requirements
EJHP 2020 2020;0:1-5.
4521 Časopis Polo C, D’Huart E, Lesperlette G, Vigneron J, Meyer F, Demoré B.
Compatibility of injectable posaconazole with drugs commonly used in a hematology care unit.
Pharmaceutical Technology in Hospital Pharmacy 2020
4538 Časopis Campbell A, Petrovski M, Senarathna G, Mukadam ,Strunk T, Batty K.
Compatibility of pentoxifylline and parenteral medications.
Archives of Disease in Childhood 2020 ; 105: 395-397.
4569 Časopis Lee T.M , Villareal C.L, Meyer L.M.
Y-Site Compatibility of Intravenous Levetiracetam With Commonly Used Critical Care Medications.
Hosp Pharm 2021 ; 56, 4: 282-286.
4603 Časopis Vallée M, Barthélémy I, Friciu M, Pelletier E, Forest J.M, Benoit F, Leclair G.
Compatibility of Lactated Ringer’s Injection With 94 Selected Intravenous Drugs During Simulated Y-site Administration.
Hosp Pharm 2021 ; 56, 4: 228-234.
4620 Laboratórium kontroly kvality SimmsD, Roberts J, Rigge D.
Stability Study for Piperacillin/Tazobactam 56.9 mg/mL in Sodium Chloride 0.9% w/v in 50mL Infusion Bags.
Quality Control North West, Stockport NHS Foundati 2021
4621 Laboratórium kontroly kvality Simms D, Roberts J, Rigge D.
Stability Study for Piperacillin/Tazobactam 56.9 mg/mL in Glucose 5.0% w/v in 50mL Infusion Bags.
Quality Control North West, Stockport NHS Foundati 2021
4634 Časopis Loeuille G, D'Huart E, Vigneron J, Nisse YE, Beiler B, Polo C, Ayari G, Sacrez M, Demoré B, Charmillon A.
Stability studies of 16 Antibiotics for Continuous Infusion in Intensive Care Units and for Performing Outpatient Parenteral Antimicrobial Therapy.
Antibiotics 2022 ;11,4: 458
4654 Poster Sicard G, Donnette M, Martin N, Gensollen S, Pourroy B, Fanciullino R.
Compatibilité visuelle du Vyxeos® lors d'administration en Y avec une sélection de médicaments injectables.
Communication personnelle 2021
4655 Časopis Holyk A, Lindner A, Lindner S, Shippert B
Physical compatibility of Normosol-R with critical care medications used in patients with COVID-19 during simulated Y-site administration.
Am J Health-Syst Pharm 2022 ;79,1:27-33
4742 Časopis Macoviciuc M, Nguyen C, Forest J-M, Leclair G.
Compatibilité physique de l’acétaminophène injectable avec 102 autres médicaments lors d’une administration en Y.
Pharmactuel 2022 ; 55, 4: 247-255.
4758 Časopis Schmidt J.P, Steppe M.
Stability Study and Simultaneous Determination of Norepinephrine, Moxifloxacin, and Piperacillin + Tazobactam Mixtures Applied in Intensive Care Medicine .
Curr Pharm Anal 2023 ; 19, 4: 307-316.
4801 Časopis Ruiz V, Yuwei Shen Y, Abouelhassan Y, Fouad A, Nicolau D, Kuti J.
Physical compatibility of sulbactam/durlobactam with select intravenous drugs during simulated Y-site administration.
Am J Health-Syst Pharm 2024 ;51,1:
4837 Časopis De Silva, D.T.N Petrovski M, Strunk T, Mukadam N, Page‑Sharp N, Moore B.R, Batty K.T.
Physicochemical compatibility of caffeine citrate and caffeine base injections with parenteral medications used in neonatal intensive care settings.
Eur J Clin Pharmacol 2024 ; 80:1079–1087.
4842 Časopis Souha H Y, Alka G, Yunmei S, Nicole E W, Sanjay G.
Harmonising IV Oxycodone with Paediatric Perioperative Medications: A Compatibility Study Through Y-Type Connectors
Drug Design Dev Ther 2024 ;18: 899–908.
4845 Časopis De Silva D.T.N, Strunk T, Petrovski M, Page-Sharp M, Moore B.R, Batty K.T.
The Physicochemical Compatibility of Sildenafil Injection with Parenteral Medications Used in Neonatal Intensive Care Settings.
Pharmaceutics 2024 ;1 6, 419.
4850 Časopis Négrier L, Martin Mena A, Dupont C, Gamache P, Zimbril J.O, Abdoune Y, Karrout Y, Odou P, Genay S, Décaudin B.
The Infusion of Piperacillin/Tazobactam with an Elastomeric Device: A Combined 24-H Stability Study and Drug Solution Flow Rate Analysis.
Pharmaceuticals 2024 : 17, 1085.
4922 Časopis Wanandy T, Handley SA, Le TTA, Lau WY, Turner ME, Wiese MD.
Stability of Antibiotics for Use in the Testing of Immediate Drug Allergy Reactions.
J Allergy Clin Immunol Pract 2024 13, 2: 343-352.
4924 Časopis Senarathna G, Strunk T, Petrovski M, Woodland S, Martinez J, Chuang V, Batty K.
Physical compatibility of lipid emulsions and intravenous medications used in neonatal intensive care settings
EJHP 2023 2025;32:
4928 Newsletter INFOSTAB D'Huart E, Beiler B, Vigneron J, Demoré B.
Compatibility tests - march 2025.
Newsletter INFOSTAB 68 - march 2025 2025
5069 Laboratórium MORPHINE (CHLORHYDRATE) AGUETTANT 10 mg/mL, solution injectable - Résumé des caractéristiques du produit.
LABORATOIRE AGUETTANT 2024

  Mentions Légales