Laatste update :
27/04/2026
Antibioticum   Piperacillin sodium / tazobactam  
injecteerbaar geneesmiddel
Stabiliteit in oplossing Stabiliteit in mengsels Factoren die de stabiliteit beïnvloeden Verenigbaarheden Toedieningswijze Literatuur pdf
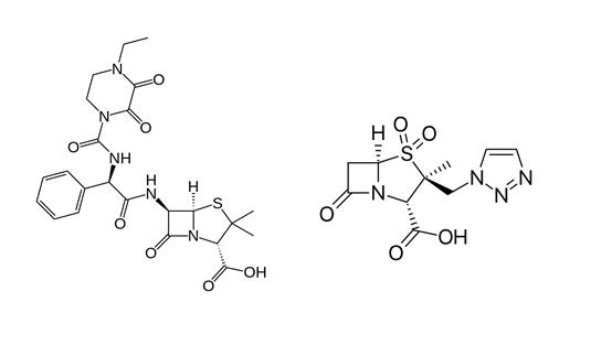
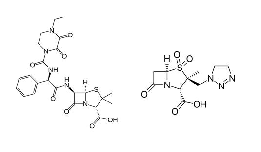
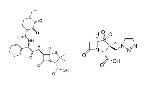
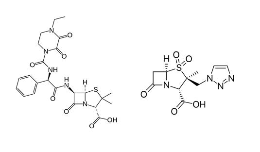
   Molecuulstructuur  

Merknamen in verschillende landen   Merknamen in verschillende landen     

Handelsnamen zijn slechts een indicatie; de samenstelling van hulpstoffen kan per land variëren afhankelijk van de fabrikant

Bagotaz Argentinië
Betampil Ecuador
Bioval Chili
Petezam Argentinië
Piperac Duitsland
Piperacillin tazobactam België, Canada, Duitsland
Piperazam Brazilië
Pipetazo Chili
Pipitaz Oostenrijk
Pixamol Colombia
Tazobac Ecuador, Italië, Portugal, Zwitserland
Tazocel Spanje
Tazocilline Frankrijk
Tazocin Argentinië, Australië, Brazilië, Colombia, Denemarken, Egypte, Finland, Griekenland, Groot Britannië, Hongarije, Italië, Kroatië, Luxemburg, Mexico, Nederland, nieuw Zeeland, Noord-ierland, Noorwegen, Peru, Polen, Turkije, Verenigde Arabische Emiraten, Zuid-Afrika, Zweden
Tazonam Chili, Oostenrijk
Tazopip Australië
Tazpen Colombia, Mexico
Tazrobida Colombia
Tigux Chili
Tratac Chili
Trital Ecuador
Zosyn Japan, USA
Verenigbaarheden   injecteerbaar geneesmiddel   Verenigbaarheden : Piperacillin sodium / tazobactam              
In dit scherm worden de verenigbaarheden en onverenigbaarheden weergegeven. In het geval van een onverenigbaarheid wordt ook het type (neerslag, kleurverandering, modificatie van een emulsie, etc) weergegeven. De weergegeven verenigbaarheden zijn meestal alleen op uiterlijk beoordeeld, er heeft zelden een chemische beoordeling van iedere component plaatsgevonden. De verenigbaarheden betreffen gelijktijdige toediening aan de patient middels de Y-site. De data kan niet gebruikt worden in de beoordeling van verenigbaarheden van componenten in infuuszakken of spuiten. Die informatie is te vinden onder ‘stabiliteit in mengsels’.
Stof Oplosmiddel Literatuur
Neerslag na 1 uur Onverenigbaar
injecteerbaar geneesmiddel Piperacillin sodium / tazobactam 40/5 mg/ml
injecteerbaar geneesmiddel Aciclovir sodium 7 mg/ml
Glucose 5% 81
Verenigbaar
injecteerbaar geneesmiddel Piperacillin sodium / tazobactam 40/5 mg/ml
Parenterale voeding (met lipiden) 1415
Verenigbaar
injecteerbaar geneesmiddel Piperacillin sodium / tazobactam 200 mg/ml
Ringer-lactaat 4603
Verenigbaar
injecteerbaar geneesmiddel Piperacillin sodium / tazobactam 80 mg/ml
Parenterale voeding (met lipiden) 3948
Chemische instabiliteit Onverenigbaar
injecteerbaar geneesmiddel Piperacillin sodium / tazobactam
injecteerbaar geneesmiddel Amikacin sulfate
3586
Verenigbaar
injecteerbaar geneesmiddel Piperacillin sodium / tazobactam 200 mg/ml
Parenterale voeding (met lipiden) 4924
Troebelheid in 24 uur Onverenigbaar
injecteerbaar geneesmiddel Piperacillin sodium / tazobactam 60 mg/ml
injecteerbaar geneesmiddel Amiodarone hydrochloride 6 mg/ml
Glucose 5% 1611
Onmiddellijke neerslag Onverenigbaar
injecteerbaar geneesmiddel Piperacillin sodium / tazobactam 40/5 mg/ml
injecteerbaar geneesmiddel Amphotericin B 0.6 mg/ml
Glucose 5% 81
Onmiddellijke neerslag Onverenigbaar
injecteerbaar geneesmiddel Piperacillin sodium / tazobactam 40/5 mg/ml
injecteerbaar geneesmiddel Amphotericin B cholesteryl sulfate complex 0.83 mg/ml
Glucose 5% 921
Verenigbaar
injecteerbaar geneesmiddel Piperacillin sodium / tazobactam 40/5 mg/ml
injecteerbaar geneesmiddel Anidulafungin 0.5 mg/ml
Glucose 5% 1982
Verenigbaar
injecteerbaar geneesmiddel Piperacillin sodium / tazobactam 40/5 mg/ml
injecteerbaar geneesmiddel Aztreonam 40 mg/ml
Glucose 5% 81
Verenigbaar
injecteerbaar geneesmiddel Piperacillin sodium / tazobactam 40/5 mg/ml
injecteerbaar geneesmiddel Bivalirudin 5 mg/ml
Glucose 5% 1713
Verenigbaar
injecteerbaar geneesmiddel Piperacillin sodium / tazobactam 40/5 mg/ml
injecteerbaar geneesmiddel Bleomycin sulfate 1 mg/ml
Glucose 5% 81
Verenigbaar
injecteerbaar geneesmiddel Piperacillin sodium / tazobactam 200 mg/ml
injecteerbaar geneesmiddel Caffeine 10 mg/ml
Geen 3964
Verenigbaar
injecteerbaar geneesmiddel Piperacillin sodium / tazobactam 40/5 mg/ml
injecteerbaar geneesmiddel Carboplatin 5 mg/ml
Glucose 5% 81
Verenigbaar
injecteerbaar geneesmiddel Piperacillin sodium / tazobactam 40/5 mg/ml
injecteerbaar geneesmiddel Carmustine 1.5 mg/ml
Glucose 5% 81
Verenigbaar
injecteerbaar geneesmiddel Piperacillin sodium / tazobactam 40/5 mg/ml
injecteerbaar geneesmiddel Ceftolozane / tazobactam 10/5 mg/ml
Natriumchloride 0,9% 3828
Onmiddellijke troebelheid Onverenigbaar
injecteerbaar geneesmiddel Piperacillin sodium / tazobactam 40/5 mg/ml
injecteerbaar geneesmiddel Chlorpromazine hydrochloride 2 mg/ml
Glucose 5% 81
Verenigbaar
injecteerbaar geneesmiddel Piperacillin sodium / tazobactam 40/5 mg/ml
injecteerbaar geneesmiddel Cisatracurium besylate 0.1 & 2 mg/ml
Glucose 5% 299
Neerslag na 1 uur Onverenigbaar
injecteerbaar geneesmiddel Piperacillin sodium / tazobactam 40/5 mg/ml
injecteerbaar geneesmiddel Cisplatin 1 mg/ml
Glucose 5% 81
Verenigbaar
injecteerbaar geneesmiddel Piperacillin sodium / tazobactam 40/5 mg/ml
injecteerbaar geneesmiddel Clindamycin phosphate 10 mg/ml
Glucose 5% 81
Verenigbaar
injecteerbaar geneesmiddel Piperacillin sodium / tazobactam 40/5 mg/ml
injecteerbaar geneesmiddel Co-trimoxazole 0.8/4 mg/ml
Glucose 5% 81
Verenigbaar
injecteerbaar geneesmiddel Piperacillin sodium / tazobactam 40/0.5 mg/ml
injecteerbaar geneesmiddel Colistin mesilate sodium 1.5 mg/ml
Natriumchloride 0,9% 3997
Verenigbaar
injecteerbaar geneesmiddel Piperacillin sodium / tazobactam 40/5 mg/ml
injecteerbaar geneesmiddel Cyclophosphamide 10 mg/ml
Glucose 5% 81
Verenigbaar
injecteerbaar geneesmiddel Piperacillin sodium / tazobactam 40/5 mg/ml
injecteerbaar geneesmiddel Cytarabine 50 mg/ml
Glucose 5% 81
Onmiddellijke neerslag Onverenigbaar
injecteerbaar geneesmiddel Piperacillin sodium / tazobactam 40/5 mg/ml
injecteerbaar geneesmiddel Dacarbazine 4 mg/ml
Glucose 5% 81
Onmiddellijke troebelheid Onverenigbaar
injecteerbaar geneesmiddel Piperacillin sodium / tazobactam 40/5 mg/ml
injecteerbaar geneesmiddel Daunorubicin hydrochloride 1 mg/ml
Glucose 5% 81
Onmiddellijke troebelheid Onverenigbaar
injecteerbaar geneesmiddel Piperacillin sodium / tazobactam
injecteerbaar geneesmiddel Daunorubicin/cytarabine liposomale 0,4 mg/mL
Natriumchloride 0,9% 4654
Onmiddellijke troebelheid Onverenigbaar
injecteerbaar geneesmiddel Piperacillin sodium / tazobactam 40/5 mg/ml
injecteerbaar geneesmiddel Dobutamine hydrochloride 4 mg/ml
Glucose 5% 81
Verenigbaar
injecteerbaar geneesmiddel Piperacillin sodium / tazobactam 40/5 mg/ml
injecteerbaar geneesmiddel Docetaxel 0.9 mg/ml
Glucose 5% 1754
Onmiddellijke troebelheid Onverenigbaar
injecteerbaar geneesmiddel Piperacillin sodium / tazobactam 40/5 mg/ml
injecteerbaar geneesmiddel Doxorubicin hydrochloride 2 mg/ml
Glucose 5% 81
Onmiddellijke troebelheid Onverenigbaar
injecteerbaar geneesmiddel Piperacillin sodium / tazobactam 40/5 mg/ml
injecteerbaar geneesmiddel Doxycycline hyclate 1 mg/ml
Glucose 5% 81
Onmiddellijke neerslag Onverenigbaar
injecteerbaar geneesmiddel Piperacillin sodium / tazobactam 40/5 mg/ml
injecteerbaar geneesmiddel Droperidol 0.4 mg/ml
Glucose 5% 81
Verenigbaar
injecteerbaar geneesmiddel Piperacillin sodium / tazobactam 40/5 mg/ml
injecteerbaar geneesmiddel Etoposide 0.4 mg/ml
Glucose 5% 81
Verenigbaar
injecteerbaar geneesmiddel Piperacillin sodium / tazobactam 40/5 mg/ml
injecteerbaar geneesmiddel Etoposide phosphate 5 mg/ml
Natriumchloride 0,9% 1410
Onmiddellijke neerslag Onverenigbaar
injecteerbaar geneesmiddel Piperacillin sodium / tazobactam 40/5 mg/ml
injecteerbaar geneesmiddel Famotidine 2 mg/ml
Glucose 5% 81
Verenigbaar
injecteerbaar geneesmiddel Piperacillin sodium / tazobactam 40/5 mg/ml
injecteerbaar geneesmiddel Fenoldopam mesylate 80 µg/ml
Natriumchloride 0,9% 1803
Verenigbaar
injecteerbaar geneesmiddel Piperacillin sodium / tazobactam 40/5 mg/ml
injecteerbaar geneesmiddel Floxuridine 3 mg/ml
Glucose 5% 81
Verenigbaar
injecteerbaar geneesmiddel Piperacillin sodium / tazobactam 40/5 mg/ml
injecteerbaar geneesmiddel Fluconazole 2 mg/ml
Glucose 5% 81
Verenigbaar
injecteerbaar geneesmiddel Piperacillin sodium / tazobactam 40/5 mg/ml
injecteerbaar geneesmiddel Fludarabine phosphate 1 mg/ml
Glucose 5% 81
Verenigbaar
injecteerbaar geneesmiddel Piperacillin sodium / tazobactam 40/5 mg/ml
injecteerbaar geneesmiddel Fluorouracil 16 mg/ml
Glucose 5% 81
Verenigbaar
injecteerbaar geneesmiddel Piperacillin sodium / tazobactam 40/5 mg/ml
injecteerbaar geneesmiddel Fosfomycin 30 mg/ml
Natriumchloride 0,9% 4055
Neerslag na 1 uur Onverenigbaar
injecteerbaar geneesmiddel Piperacillin sodium / tazobactam 40/5 mg/ml
injecteerbaar geneesmiddel Ganciclovir sodium 20 mg/ml
Glucose 5% 81
Chemische instabiliteit Onverenigbaar
injecteerbaar geneesmiddel Piperacillin sodium / tazobactam
injecteerbaar geneesmiddel Gentamicin sulfate
3586
Verenigbaar
injecteerbaar geneesmiddel Piperacillin sodium / tazobactam 40/5 mg/ml
injecteerbaar geneesmiddel Granisetron hydrochloride 0.05 mg/ml
Glucose 5% 182
Onmiddellijke neerslag Onverenigbaar
injecteerbaar geneesmiddel Piperacillin sodium / tazobactam 40/5 mg/ml
injecteerbaar geneesmiddel Haloperidol lactate 0.2 mg/ml
Glucose 5% 81
Niet-gespecificeerde incompatibiliteit Onverenigbaar
injecteerbaar geneesmiddel Piperacillin sodium / tazobactam
Ringer-lactaat 3586
Niet-gespecificeerde incompatibiliteit Onverenigbaar
injecteerbaar geneesmiddel Piperacillin sodium / tazobactam
injecteerbaar geneesmiddel Aciclovir sodium
3595
Chemische instabiliteit Onverenigbaar
injecteerbaar geneesmiddel Piperacillin sodium / tazobactam
injecteerbaar geneesmiddel Amikacin sulfate
3549
Verenigbaar
injecteerbaar geneesmiddel Piperacillin sodium / tazobactam 40/5 mg/ml
injecteerbaar geneesmiddel Aminophylline 2.5 mg/ml
Glucose 5% 81
Verenigbaar
injecteerbaar geneesmiddel Piperacillin sodium / tazobactam 100 mg/ml
injecteerbaar geneesmiddel Amoxicillin sodium / clavulanic acid 100/10 mg/ml
3824
Onmiddellijke neerslag Onverenigbaar
injecteerbaar geneesmiddel Piperacillin sodium / tazobactam 112.5 mg/ml
injecteerbaar geneesmiddel Azithromycine 2 mg/ml
Natriumchloride 0,9% 1800
Verenigbaar
injecteerbaar geneesmiddel Piperacillin sodium / tazobactam 40/5 mg/ml
injecteerbaar geneesmiddel Bumetanide 0.04 mg/ml
Glucose 5% 81
Verenigbaar
injecteerbaar geneesmiddel Piperacillin sodium / tazobactam 40/5 mg/ml
injecteerbaar geneesmiddel Buprenorphine hydrochloride 0.04 mg/ml
Glucose 5% 81
Verenigbaar
injecteerbaar geneesmiddel Piperacillin sodium / tazobactam 40/5 mg/ml
injecteerbaar geneesmiddel Butorphanol tartrate 0.04 mg/ml
Glucose 5% 81
Verenigbaar
injecteerbaar geneesmiddel Piperacillin sodium / tazobactam 200 mg/ml
injecteerbaar geneesmiddel Caffeine 10 mg/ml
Water voor injectie 4837
Verenigbaar
injecteerbaar geneesmiddel Piperacillin sodium / tazobactam 200 mg/ml
injecteerbaar geneesmiddel Caffeine citrate 20 mg/ml
Water voor injectie 4837
Verenigbaar
injecteerbaar geneesmiddel Piperacillin sodium / tazobactam 40/5 mg/ml
injecteerbaar geneesmiddel Calcium gluconate 40 mg/ml
Glucose 5% 81
Onmiddellijke neerslag Onverenigbaar
injecteerbaar geneesmiddel Piperacillin sodium / tazobactam 90 mg/ml
injecteerbaar geneesmiddel Caspofungin acetate 0.5 mg/ml
Natriumchloride 0,9% 2233
Onmiddellijke neerslag Onverenigbaar
injecteerbaar geneesmiddel Piperacillin sodium / tazobactam 40/5 mg/ml
injecteerbaar geneesmiddel Caspofungin acetate 0,7 mg/ml
Natriumchloride 0,9% 2247
Verenigbaar
injecteerbaar geneesmiddel Piperacillin sodium / tazobactam 40/5 mg/ml
injecteerbaar geneesmiddel Ceftolozane / tazobactam 10/5 mg/ml
Glucose 5% 3828
Verenigbaar
injecteerbaar geneesmiddel Piperacillin sodium / tazobactam 40/5 mg/ml
injecteerbaar geneesmiddel Cimetidine hydrochloride 12 mg/ml
Glucose 5% 81
Niet-gespecificeerde incompatibiliteit Onverenigbaar
injecteerbaar geneesmiddel Piperacillin sodium / tazobactam
injecteerbaar geneesmiddel Ciprofloxacin lactate
3529
Neerslag na 4 uur Onverenigbaar
injecteerbaar geneesmiddel Piperacillin sodium / tazobactam 40/5 mg/ml
injecteerbaar geneesmiddel Cisatracurium besylate 5 mg/ml
Glucose 5% 299
Verenigbaar
injecteerbaar geneesmiddel Piperacillin sodium / tazobactam 225 mg/ml
injecteerbaar geneesmiddel Cloxacillin sodium 100 mg/ml
Water voor injectie 3012
Subvisuele incompatibiliteit Onverenigbaar
injecteerbaar geneesmiddel Piperacillin sodium / tazobactam
injecteerbaar geneesmiddel Daunorubicin/cytarabine liposomale
4354
Verenigbaar
injecteerbaar geneesmiddel Piperacillin sodium / tazobactam 40/5 mg/ml
injecteerbaar geneesmiddel Dexamethasone sodium phosphate 1 mg/ml
Glucose 5% 81
Verenigbaar
injecteerbaar geneesmiddel Piperacillin sodium / tazobactam 40/5 mg/ml
injecteerbaar geneesmiddel Dexmedetomidine 4 µg/ml
Natriumchloride 0,9% 1712
Verenigbaar
injecteerbaar geneesmiddel Piperacillin sodium / tazobactam
injecteerbaar geneesmiddel Dimenhydrinate
2087
Verenigbaar
injecteerbaar geneesmiddel Piperacillin sodium / tazobactam 40/5 mg/ml
injecteerbaar geneesmiddel Diphenhydramine hydrochloride 2 mg/ml
Glucose 5% 81
Verenigbaar
injecteerbaar geneesmiddel Piperacillin sodium / tazobactam 40/5 mg/ml
injecteerbaar geneesmiddel Dopamine hydrochloride 3.2 mg/ml
Glucose 5% 81
Verlies van troebelheid Onverenigbaar
injecteerbaar geneesmiddel Piperacillin sodium / tazobactam 40/5 mg/ml
injecteerbaar geneesmiddel Doxorubicin hydrochloride liposome peg 0.4 mg/ml
Glucose 5% 251
Verenigbaar
injecteerbaar geneesmiddel Piperacillin sodium / tazobactam 40/5 mg/ml
injecteerbaar geneesmiddel Enalaprilate 0.1 mg/ml
Glucose 5% 81
Verenigbaar
injecteerbaar geneesmiddel Piperacillin sodium / tazobactam 40/5 mg/ml
injecteerbaar geneesmiddel Eravacycline 0,6 mg/ml
Natriumchloride 0,9% 4434
Niet-gespecificeerde incompatibiliteit Onverenigbaar
injecteerbaar geneesmiddel Piperacillin sodium / tazobactam
injecteerbaar geneesmiddel Erythromycin lactobionate
3674
Verenigbaar
injecteerbaar geneesmiddel Piperacillin sodium / tazobactam 40/5 mg/ml
injecteerbaar geneesmiddel Folinate calcium 2 mg/ml
Glucose 5% 81
Verenigbaar
injecteerbaar geneesmiddel Piperacillin sodium / tazobactam 40/5 mg/ml
injecteerbaar geneesmiddel Fosfomycin 30 mg/ml
Glucose 5% 4055
Verenigbaar
injecteerbaar geneesmiddel Piperacillin sodium / tazobactam 40/5 mg/ml
injecteerbaar geneesmiddel Furosemide 3 mg/ml
Glucose 5% 81
Verenigbaar
injecteerbaar geneesmiddel Piperacillin sodium / tazobactam 40/5 mg/ml
injecteerbaar geneesmiddel Gallium nitrate 0.4 mg/ml
Glucose 5% 81
Onmiddellijke troebelheid Onverenigbaar
injecteerbaar geneesmiddel Piperacillin sodium / tazobactam 40/5 mg/ml
injecteerbaar geneesmiddel Gemcitabine hydrochloride 10 mg/ml
Natriumchloride 0,9% 1423
Niet-gespecificeerde incompatibiliteit Onverenigbaar
injecteerbaar geneesmiddel Piperacillin sodium / tazobactam
injecteerbaar geneesmiddel Gentamicin sulfate
3520
Niet-gespecificeerde incompatibiliteit Onverenigbaar
injecteerbaar geneesmiddel Piperacillin sodium / tazobactam
injecteerbaar geneesmiddel Gentamicin sulfate
3643
Verenigbaar
injecteerbaar geneesmiddel Piperacillin sodium / tazobactam 0.5/0.0625 mg/ml
injecteerbaar geneesmiddel Heparin sodium 0.5 UI/ml
Dianéal® 1.5% glucose (Baxter) 4180
Verenigbaar
injecteerbaar geneesmiddel Piperacillin sodium / tazobactam 0.5/0.0625 mg/ml
injecteerbaar geneesmiddel Heparin sodium 0.5 UI/ml
Extraneal® (Baxter) 4180
Verenigbaar
injecteerbaar geneesmiddel Piperacillin sodium / tazobactam 1.38/0.1725 mg/ml
injecteerbaar geneesmiddel Heparin sodium 1.4 UI/ml
Physionéal® 2.27 (Baxter) 4180
Verenigbaar
injecteerbaar geneesmiddel Piperacillin sodium / tazobactam 0.5/0.0625 mg/ml
injecteerbaar geneesmiddel Heparin sodium 0.5 UI/ml
Dianéal® 4.25% glucose (Baxter) 4180
Verenigbaar
injecteerbaar geneesmiddel Piperacillin sodium / tazobactam 1.38/0.1725 mg/ml
injecteerbaar geneesmiddel Heparin sodium 1.4 UI/ml
Physionéal® 3.86 (Baxter) 4180
Verenigbaar
injecteerbaar geneesmiddel Piperacillin sodium / tazobactam 1.38/0.1725 mg/ml
injecteerbaar geneesmiddel Heparin sodium 1.4 UI/ml
Physionéal® 1.36 (Baxter) 4180
Verenigbaar
injecteerbaar geneesmiddel Piperacillin sodium / tazobactam 0.5/0.0625 mg/ml
injecteerbaar geneesmiddel Heparin sodium 0.5 UI/ml
Dianéal® 2.5% glucose (Baxter) 4180
Verenigbaar
injecteerbaar geneesmiddel Piperacillin sodium / tazobactam 40/5 mg/ml
injecteerbaar geneesmiddel Heparin sodium 100 UI/ml
Glucose 5% 81
Verenigbaar
injecteerbaar geneesmiddel Piperacillin sodium / tazobactam 40/5 mg/ml
injecteerbaar geneesmiddel Hetastarch 60 mg/ml
specifieke solvent 1721
Verenigbaar
injecteerbaar geneesmiddel Piperacillin sodium / tazobactam 40/5 mg/ml
injecteerbaar geneesmiddel Hydrocortisone sodium succinate 1 mg/ml
Glucose 5% 81
Verenigbaar
injecteerbaar geneesmiddel Piperacillin sodium / tazobactam 40/5 mg/ml
injecteerbaar geneesmiddel Hydromorphone hydrochloride 0.5 mg/ml
Glucose 5% 81
Onmiddellijke neerslag Onverenigbaar
injecteerbaar geneesmiddel Piperacillin sodium / tazobactam 40/5 mg/ml
injecteerbaar geneesmiddel Hydroxyzine dihydrochloride 4 mg/ml
Glucose 5% 81
Onmiddellijke troebelheid Onverenigbaar
injecteerbaar geneesmiddel Piperacillin sodium / tazobactam 40/5 mg/ml
injecteerbaar geneesmiddel Idarubicin hydrochloride 0.5 mg/ml
Glucose 5% 81
Verenigbaar
injecteerbaar geneesmiddel Piperacillin sodium / tazobactam 40/5 mg/ml
injecteerbaar geneesmiddel Ifosfamide 25 mg/ml
Glucose 5% 81
Verenigbaar
injecteerbaar geneesmiddel Piperacillin sodium / tazobactam 166/20.83 mg/ml
injecteerbaar geneesmiddel Insulin 1 UI/ml
Natriumchloride 0,9% 4254
Verenigbaar
injecteerbaar geneesmiddel Piperacillin sodium / tazobactam 45 mg/ml
injecteerbaar geneesmiddel Insulin aspart 1 UI/ml
Natriumchloride 0,9% 1508
Verenigbaar
injecteerbaar geneesmiddel Piperacillin sodium / tazobactam 45 mg/ml
injecteerbaar geneesmiddel Insulin aspart 1 UI/ml
Glucose 5% 1508
Verenigbaar
injecteerbaar geneesmiddel Piperacillin sodium / tazobactam 40/5 mg/ml
injecteerbaar geneesmiddel Isavuconazonium sulfate 1.5 mg/ml
Natriumchloride 0,9% 3829
Verenigbaar
injecteerbaar geneesmiddel Piperacillin sodium / tazobactam 40/5 mg/ml
injecteerbaar geneesmiddel Lansoprazole 0.55 mg/ml
Natriumchloride 0,9% 1625
Verenigbaar
injecteerbaar geneesmiddel Piperacillin sodium / tazobactam 166/20.83 mg/ml
injecteerbaar geneesmiddel Levetiracetam 20.83 mg/ml
Glucose 5% 4254
Verenigbaar
injecteerbaar geneesmiddel Piperacillin sodium / tazobactam 166/20.83 mg/ml
injecteerbaar geneesmiddel Levetiracetam 20.83 mg/ml
Natriumchloride 0,9% 4254
Verenigbaar
injecteerbaar geneesmiddel Piperacillin sodium / tazobactam 80 mg/ml
Parenterale voeding (zonder vet) 3948
Verenigbaar
injecteerbaar geneesmiddel Piperacillin sodium / tazobactam 166/20.83 mg/ml
injecteerbaar geneesmiddel Insulin 1 UI/ml
Glucose 5% 4254
Verenigbaar
injecteerbaar geneesmiddel Piperacillin sodium / tazobactam 33,75 mg/ml
injecteerbaar geneesmiddel Levetiracetam 5 mg/ml
Natriumchloride 0,9% 4569
Verenigbaar
injecteerbaar geneesmiddel Piperacillin sodium / tazobactam 40/5 mg/ml
Parenterale voeding (zonder vet) 301
Onmiddellijke troebelheid Onverenigbaar
injecteerbaar geneesmiddel Piperacillin sodium / tazobactam 40/5 mg/ml
injecteerbaar geneesmiddel Isavuconazonium sulfate 1.5 mg/ml
Glucose 5% 3829
Niet-gespecificeerde incompatibiliteit Onverenigbaar
injecteerbaar geneesmiddel Piperacillin sodium / tazobactam
NaHCO3 3586
Chemische instabiliteit Onverenigbaar
injecteerbaar geneesmiddel Piperacillin sodium / tazobactam
injecteerbaar geneesmiddel Kanamycin sulfate
3586
Verenigbaar
injecteerbaar geneesmiddel Piperacillin sodium / tazobactam 200 mg/ml
injecteerbaar geneesmiddel Ketamine hydrochloride 50 mg/ml
2109
Subvisuele incompatibiliteit Onverenigbaar
injecteerbaar geneesmiddel Piperacillin sodium / tazobactam 45 mg/ml
injecteerbaar geneesmiddel Levetiracetam 5 mg/ml
Natriumchloride 0,9% 4569
Verenigbaar
injecteerbaar geneesmiddel Piperacillin sodium / tazobactam 125 mg/ml
injecteerbaar geneesmiddel Linezolid 2 mg/ml
4928
Verenigbaar
injecteerbaar geneesmiddel Piperacillin sodium / tazobactam 40/5 mg/ml
injecteerbaar geneesmiddel Linezolid 2 mg/ml
Geen 1925
Verenigbaar
injecteerbaar geneesmiddel Piperacillin sodium / tazobactam 40/5 mg/ml
injecteerbaar geneesmiddel Lorazepam 0.1 mg/ml
Glucose 5% 81
Verenigbaar
injecteerbaar geneesmiddel Piperacillin sodium / tazobactam 40/5 mg/ml
injecteerbaar geneesmiddel Magnesium sulfate 100 mg/ml
Glucose 5% 81
Verenigbaar
injecteerbaar geneesmiddel Piperacillin sodium / tazobactam 40/5 mg/ml
injecteerbaar geneesmiddel Mannitol 150 mg/ml
Glucose 5% 81
Verenigbaar
injecteerbaar geneesmiddel Piperacillin sodium / tazobactam 200 mg/ml
injecteerbaar geneesmiddel Meropenem 50 mg/ml
Water voor injectie 4319
Verenigbaar
injecteerbaar geneesmiddel Piperacillin sodium / tazobactam 40/5 mg/ml
injecteerbaar geneesmiddel Mesna 10 mg/ml
Glucose 5% 81
Verenigbaar
injecteerbaar geneesmiddel Piperacillin sodium / tazobactam 40/5 mg/ml
injecteerbaar geneesmiddel Methotrexate sodium 15 mg/ml
Glucose 5% 81
Verenigbaar
injecteerbaar geneesmiddel Piperacillin sodium / tazobactam 40/5 mg/ml
injecteerbaar geneesmiddel Methylprednisolone sodium succinate 5 mg/ml
Glucose 5% 81
Verenigbaar
injecteerbaar geneesmiddel Piperacillin sodium / tazobactam 40/5 mg/ml
injecteerbaar geneesmiddel Metoclopramide hydrochloride 5 mg/ml
Glucose 5% 81
Verenigbaar
injecteerbaar geneesmiddel Piperacillin sodium / tazobactam 40/5 mg/ml
injecteerbaar geneesmiddel Metronidazole 5 mg/ml
Glucose 5% 81
Onmiddellijke neerslag Onverenigbaar
injecteerbaar geneesmiddel Piperacillin sodium / tazobactam 40/5 mg/ml
injecteerbaar geneesmiddel Minocycline hydrochloride 1 mg/ml
Glucose 5% 81
Kleurverandering na 4 uur Onverenigbaar
injecteerbaar geneesmiddel Piperacillin sodium / tazobactam 40/5 mg/ml
injecteerbaar geneesmiddel Mitomycin 0.5 mg/ml
Glucose 5% 81
Onmiddellijke neerslag Onverenigbaar
injecteerbaar geneesmiddel Piperacillin sodium / tazobactam 40/5 mg/ml
injecteerbaar geneesmiddel Mitoxantrone dihydrochloride 0.5 mg/ml
Glucose 5% 81
Verenigbaar
injecteerbaar geneesmiddel Piperacillin sodium / tazobactam 40/5 mg/ml
injecteerbaar geneesmiddel Morphine sulfate 1 mg/ml
Glucose 5% 81
Verenigbaar
injecteerbaar geneesmiddel Piperacillin sodium / tazobactam
injecteerbaar geneesmiddel N-acetylcysteine 200 mg/ml
Geen 3766
Onmiddellijke troebelheid Onverenigbaar
injecteerbaar geneesmiddel Piperacillin sodium / tazobactam 40/5 mg/ml
injecteerbaar geneesmiddel Nalbuphine hydrochloride 10 mg/ml
Glucose 5% 81
Verenigbaar
injecteerbaar geneesmiddel Piperacillin sodium / tazobactam 200 mg/ml
injecteerbaar geneesmiddel Naloxone hydrochloride 0.4 mg/ml
Geen 3408
Chemische instabiliteit Onverenigbaar
injecteerbaar geneesmiddel Piperacillin sodium / tazobactam
injecteerbaar geneesmiddel Netilmicin sulfate
3586
Verenigbaar
injecteerbaar geneesmiddel Piperacillin sodium / tazobactam 20/2,5 & 40/5 mg/ml
injecteerbaar geneesmiddel Ondansetron hydrochloride 0,015 >> 0,15 mg/ml
Natriumchloride 0,9% 16
Verenigbaar
injecteerbaar geneesmiddel Piperacillin sodium / tazobactam 40/5 mg/ml
injecteerbaar geneesmiddel Ondansetron hydrochloride 0.1 mg/ml
Glucose 5% 81
Verenigbaar
injecteerbaar geneesmiddel Piperacillin sodium / tazobactam 200/25 mg/ml
injecteerbaar geneesmiddel Oxycodone hydrochloride 1 mg/ml
Natriumchloride 0,9% 4842
Neerslag na 1 uur Onverenigbaar
injecteerbaar geneesmiddel Piperacillin sodium / tazobactam
injecteerbaar geneesmiddel Pantoprazole sodium
2090
Verenigbaar
injecteerbaar geneesmiddel Piperacillin sodium / tazobactam 100 mg/ml
injecteerbaar geneesmiddel Paracetamol 10 mg/ml
Geen 3571
Verenigbaar
injecteerbaar geneesmiddel Piperacillin sodium / tazobactam 100 mg/ml
injecteerbaar geneesmiddel Paracetamol 10 mg/ml
4742
Verenigbaar
injecteerbaar geneesmiddel Piperacillin sodium / tazobactam 200 mg/ml
injecteerbaar geneesmiddel Pentoxifyllin 5 mg/ml
Natriumchloride 0,9% 4538
Verenigbaar
injecteerbaar geneesmiddel Piperacillin sodium / tazobactam 40/5 mg/ml
injecteerbaar geneesmiddel Pethidine hydrochloride 4 mg/ml
Glucose 5% 81
Chemische instabiliteit Onverenigbaar
injecteerbaar geneesmiddel Piperacillin sodium / tazobactam
injecteerbaar geneesmiddel Plazomicin sulfate
3586
Verenigbaar
injecteerbaar geneesmiddel Piperacillin sodium / tazobactam 40/5 mg/ml
injecteerbaar geneesmiddel Plazomicin sulfate 24 mg/ml
Natriumchloride 0,9% 4145
Onmiddellijke neerslag Onverenigbaar
injecteerbaar geneesmiddel Piperacillin sodium / tazobactam 160 mg/ml
injecteerbaar geneesmiddel Posaconazole 1,2 mg/ml
Natriumchloride 0,9% 4521
Verenigbaar
injecteerbaar geneesmiddel Piperacillin sodium / tazobactam 40/5 mg/ml
injecteerbaar geneesmiddel Potassium chloride 100 mEq/l
Glucose 5% 81
Onmiddellijke troebelheid Onverenigbaar
injecteerbaar geneesmiddel Piperacillin sodium / tazobactam 40/5 mg/ml
injecteerbaar geneesmiddel Prochlorperazine edysilate 0.5 mg/ml
Glucose 5% 81
Onmiddellijke troebelheid Onverenigbaar
injecteerbaar geneesmiddel Piperacillin sodium / tazobactam 40/5 mg/ml
injecteerbaar geneesmiddel Promethazine hydrochloride 2 mg/ml
Glucose 5% 81
Verenigbaar
injecteerbaar geneesmiddel Piperacillin sodium / tazobactam 40/5 mg/ml
injecteerbaar geneesmiddel Ranitidine hydrochloride 2 mg/ml
Glucose 5% 81
Verenigbaar
injecteerbaar geneesmiddel Piperacillin sodium / tazobactam 40/5 mg/ml
injecteerbaar geneesmiddel Remifentanil hydrochloride 25 & 250 µg/ml
Natriumchloride 0,9% 59
Onmiddellijke neerslag Onverenigbaar
injecteerbaar geneesmiddel Piperacillin sodium / tazobactam 200 mg/ml
injecteerbaar geneesmiddel Salbutamol sulfate 1 mg/ml
Geen 3216
Verenigbaar
injecteerbaar geneesmiddel Piperacillin sodium / tazobactam 40/5 mg/ml
injecteerbaar geneesmiddel Sargramostim 10 µg/ml
Glucose 5% 81
Verenigbaar
injecteerbaar geneesmiddel Piperacillin sodium / tazobactam 200 mg/ml
injecteerbaar geneesmiddel Sildenafil citrate 0,6 mg/ml
Glucose 5% 4845
Niet-gespecificeerde incompatibiliteit Onverenigbaar
injecteerbaar geneesmiddel Piperacillin sodium / tazobactam
injecteerbaar geneesmiddel Sodium bicarbonate
3586
Verenigbaar
injecteerbaar geneesmiddel Piperacillin sodium / tazobactam 40/5 mg/ml
injecteerbaar geneesmiddel Sodium bicarbonate 84 mg/ml
Glucose 5% 81
Chemische instabiliteit Onverenigbaar
injecteerbaar geneesmiddel Piperacillin sodium / tazobactam
injecteerbaar geneesmiddel Streptomycin sulfate
3586
Neerslag na 1 uur Onverenigbaar
injecteerbaar geneesmiddel Piperacillin sodium / tazobactam 40/5 mg/ml
injecteerbaar geneesmiddel Streptozocin 40 mg/ml
Glucose 5% 81
Verenigbaar
injecteerbaar geneesmiddel Piperacillin sodium / tazobactam 40/5 mg/ml
injecteerbaar geneesmiddel Sulbactam/durlobactam 15/15 mg/ml
Natriumchloride 0,9% 4801
Verenigbaar
injecteerbaar geneesmiddel Piperacillin sodium / tazobactam 40/5 mg/ml
injecteerbaar geneesmiddel Tedizolid phosphate 0.8 mg/ml
Natriumchloride 0,9% 3827
Verenigbaar
injecteerbaar geneesmiddel Piperacillin sodium / tazobactam 40/5 mg/ml
injecteerbaar geneesmiddel Telavancin hydrochloride 7.5 mg/ml
Glucose 5% 3254
Verenigbaar
injecteerbaar geneesmiddel Piperacillin sodium / tazobactam 40/5 mg/ml
injecteerbaar geneesmiddel Telavancin hydrochloride 7.5 mg/ml
Natriumchloride 0,9% 3254
Verenigbaar
injecteerbaar geneesmiddel Piperacillin sodium / tazobactam 40/5 mg/ml
injecteerbaar geneesmiddel Telavancin hydrochloride 7.5 mg/ml
Ringer-lactaat 3254
Chemische instabiliteit Onverenigbaar
injecteerbaar geneesmiddel Piperacillin sodium / tazobactam 200 mg/ml
injecteerbaar geneesmiddel Temocilline 83.33 mg/ml
Water voor injectie 2231
Niet-gespecificeerde incompatibiliteit Onverenigbaar
injecteerbaar geneesmiddel Piperacillin sodium / tazobactam
injecteerbaar geneesmiddel Temocilline
4470
Verenigbaar
injecteerbaar geneesmiddel Piperacillin sodium / tazobactam 166/20.83 mg/ml
injecteerbaar geneesmiddel Thiamine hydrochloride 0.4 mg/ml
Glucose 5% 4254
Onmiddellijke neerslag Onverenigbaar
injecteerbaar geneesmiddel Piperacillin sodium / tazobactam 200 mg/ml
injecteerbaar geneesmiddel Thiopental sodium 25 mg/ml
Natriumchloride 0,9% 3767
Verenigbaar
injecteerbaar geneesmiddel Piperacillin sodium / tazobactam 40/5 mg/ml
injecteerbaar geneesmiddel Thiotepa 1 mg/ml
Glucose 5% 81
Verenigbaar
injecteerbaar geneesmiddel Piperacillin sodium / tazobactam
injecteerbaar geneesmiddel Tigecycline
Natriumchloride 0,9% 3332
Chemische instabiliteit Onverenigbaar
injecteerbaar geneesmiddel Piperacillin sodium / tazobactam
injecteerbaar geneesmiddel Tobramycin sulfate
3586
Onmiddellijke neerslag Onverenigbaar
injecteerbaar geneesmiddel Piperacillin sodium / tazobactam 112,5 mg/ml
injecteerbaar geneesmiddel Vancomycin hydrochloride 10 mg/ml
Glucose 5% 3428
Verenigbaar
injecteerbaar geneesmiddel Piperacillin sodium / tazobactam
Glucose 5% 3586
Verenigbaar
injecteerbaar geneesmiddel Piperacillin sodium / tazobactam
Natriumchloride 0,9% 5069
Onmiddellijke neerslag Onverenigbaar
injecteerbaar geneesmiddel Piperacillin sodium / tazobactam 100/12,5 mg/ml
injecteerbaar geneesmiddel Vancomycin hydrochloride 10 mg/ml
3365
Onmiddellijke neerslag Onverenigbaar
injecteerbaar geneesmiddel Piperacillin sodium / tazobactam 40 >> 100 mg/ml
injecteerbaar geneesmiddel Vancomycin hydrochloride 10 mg/ml
Natriumchloride 0,9% 2475
Onmiddellijke neerslag Onverenigbaar
injecteerbaar geneesmiddel Piperacillin sodium / tazobactam
injecteerbaar geneesmiddel Vancomycin hydrochloride >8 mg/ml
Natriumchloride 0,9% 3841
Verenigbaar
injecteerbaar geneesmiddel Piperacillin sodium / tazobactam 16 >> 100 mg/ml
injecteerbaar geneesmiddel Vancomycin hydrochloride 2 mg/ml
Natriumchloride 0,9% 2475
Verenigbaar
injecteerbaar geneesmiddel Piperacillin sodium / tazobactam 16 >> 100 mg/ml
injecteerbaar geneesmiddel Vancomycin hydrochloride 5 mg/ml
Natriumchloride 0,9% 2475
Verenigbaar
injecteerbaar geneesmiddel Piperacillin sodium / tazobactam 16 >> 30 mg/ml
injecteerbaar geneesmiddel Vancomycin hydrochloride 10 mg/ml
Natriumchloride 0,9% 2475
Verenigbaar
injecteerbaar geneesmiddel Piperacillin sodium / tazobactam 30/3,75 mg/ml
injecteerbaar geneesmiddel Vancomycin hydrochloride 4 mg/ml
Natriumchloride 0,9% 3421
Verenigbaar
injecteerbaar geneesmiddel Piperacillin sodium / tazobactam 40/5 mg/ml
injecteerbaar geneesmiddel Vancomycin hydrochloride 4 mg/ml
Natriumchloride 0,9% 3421
Verenigbaar
injecteerbaar geneesmiddel Piperacillin sodium / tazobactam 33.75 >> 90 mg/ml
injecteerbaar geneesmiddel Vancomycin hydrochloride 4 >> 7 mg/ml
Natriumchloride 0,9% 3841
Onmiddellijke neerslag Onverenigbaar
injecteerbaar geneesmiddel Piperacillin sodium / tazobactam 80 & 90 mg/ml
injecteerbaar geneesmiddel Vancomycin hydrochloride 8 mg/ml
Natriumchloride 0,9% 3841
Verenigbaar
injecteerbaar geneesmiddel Piperacillin sodium / tazobactam 33.75 >> 67.5 mg/ml
injecteerbaar geneesmiddel Vancomycin hydrochloride 8 mg/ml
Natriumchloride 0,9% 3841
Onmiddellijke troebelheid Onverenigbaar
injecteerbaar geneesmiddel Piperacillin sodium / tazobactam 40/5 mg/ml
injecteerbaar geneesmiddel Vancomycin hydrochloride 10 mg/ml
Glucose 5% 81
Niet-gespecificeerde incompatibiliteit Onverenigbaar
injecteerbaar geneesmiddel Piperacillin sodium / tazobactam 200 mg/ml
injecteerbaar geneesmiddel Vancomycin hydrochloride 10 mg/ml
Glucose 5% 3385
Onmiddellijke neerslag Onverenigbaar
injecteerbaar geneesmiddel Piperacillin sodium / tazobactam 10/1.25 >> 200/25 mg/ml
injecteerbaar geneesmiddel Vancomycin hydrochloride 20 mg/ml
Glucose 5% 1674
Onmiddellijke neerslag Onverenigbaar
injecteerbaar geneesmiddel Piperacillin sodium / tazobactam 80 >> 100 mg/ml
injecteerbaar geneesmiddel Vancomycin hydrochloride 4 mg/ml
Glucose 5% 2475
Onmiddellijke neerslag Onverenigbaar
injecteerbaar geneesmiddel Piperacillin sodium / tazobactam 16 >> 100 mg/ml
injecteerbaar geneesmiddel Vancomycin hydrochloride 8 mg/ml
Glucose 5% 2475
Onmiddellijke neerslag Onverenigbaar
injecteerbaar geneesmiddel Piperacillin sodium / tazobactam 28 mg/ml
injecteerbaar geneesmiddel Vancomycin hydrochloride 10 & 15 mg/ml
Glucose 5% 3984
Onmiddellijke neerslag Onverenigbaar
injecteerbaar geneesmiddel Piperacillin sodium / tazobactam 67,5 mg/ml
injecteerbaar geneesmiddel Vancomycin hydrochloride 5 mg/ml
Glucose 5% 3960
Verenigbaar
injecteerbaar geneesmiddel Piperacillin sodium / tazobactam 16 >> 40 mg/ml
injecteerbaar geneesmiddel Vancomycin hydrochloride 4 mg/ml
Glucose 5% 2475
Verenigbaar
injecteerbaar geneesmiddel Piperacillin sodium / tazobactam 28 mg/ml
injecteerbaar geneesmiddel Vancomycin hydrochloride 5 mg/ml
Glucose 5% 3984
Verenigbaar
injecteerbaar geneesmiddel Piperacillin sodium / tazobactam 1/0.125 >> 200/25 mg/ml
injecteerbaar geneesmiddel Vancomycin hydrochloride 2 mg/ml
Glucose 5% 1674
Verenigbaar
injecteerbaar geneesmiddel Piperacillin sodium / tazobactam 1/0.125 mg/ml
injecteerbaar geneesmiddel Vancomycin hydrochloride 20 mg/ml
Glucose 5% 1674
Verenigbaar
injecteerbaar geneesmiddel Piperacillin sodium / tazobactam 112.5 mg/ml
injecteerbaar geneesmiddel Vasopressin 0.2 UI/ml
Natriumchloride 0,9% 2017
Verenigbaar
injecteerbaar geneesmiddel Piperacillin sodium / tazobactam 40/5 mg/ml
injecteerbaar geneesmiddel Vinblastine sulfate 0.12 mg/ml
Glucose 5% 81
Verenigbaar
injecteerbaar geneesmiddel Piperacillin sodium / tazobactam 40/5 mg/ml
injecteerbaar geneesmiddel Vincristine sulfate 0.05 mg/ml
Glucose 5% 81
Verenigbaar
injecteerbaar geneesmiddel Piperacillin sodium / tazobactam 40/5 mg/ml
injecteerbaar geneesmiddel Zidovudine 4 mg/ml
Glucose 5% 81
Verenigbaar
injecteerbaar geneesmiddel Piperacillin sodium / tazobactam 40/5 mg/ml
Normosol® 4655

  Mentions Légales