Ultimo aggiornamento :
27/04/2026
farmaco contro il cancro   Cyclophosphamide  
Iniezione
Capsula Soluzione orale
Stabilità in soluzione Stabilità in miscela Fattori che influenzano la stabilità Compatibilità metodo di iniezione Bibliografia pdf
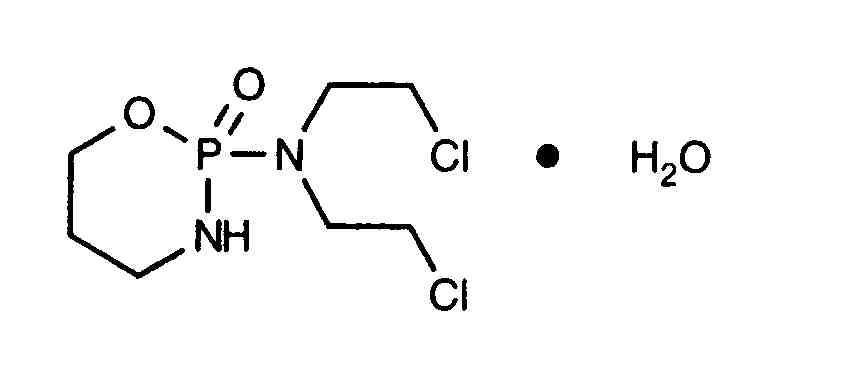
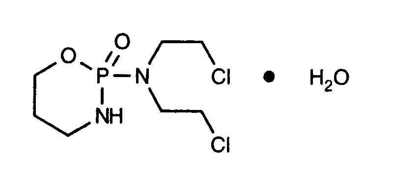
   Struttura chimica  

Nome commerciale   Nome commerciale     

Trade names are indicative and excipients composition can be different depending on the country and manufacturers

Alkyloxan Egitto, Malaysia
Celomide India
Ciclofosfamida Argentina, Chile, Romania
Cicloxal Spagna
Cryofaxol Messico
Cycloblastin Australia
Cycloblastine Paesi Bassi
Cyclophosphamid Danimarca, Germania
Cyclophosphamide Arabia Saudita, Gran Bretagna, nuova Zelanda, Stati Uniti d’America
Cyclostin Germania
Cycloxan Malaysia
Cycram Egitto
Cytoxan Canada, Stati Uniti d’America, Ungheria
Eldamide India
Endoxan Arabia Saudita, Australia, Austria, Belgio, Chile, Colombia, Croazia, Ecuador, Emirati Arabi Uniti, Francia, Germania, Grecia, India, Iran, Italia, Lussemburgo, Marocco, nuova Zelanda, Paesi Bassi, Polonia, Portogallo, Slovenia, Svizzera, Tailandia, Tunisia, Turchia, Ungheria, Venezuela
Endoxana Gran Bretagna, Irlanda
Formitex Colombia, Messico
Genoxal Spagna
Genuxal Brasile
Hidrofosmin Messico
Ledoxan Colombia
Ledoxina Colombia, Messico
Neophos Egitto
Neosar Stati Uniti d’America
Procytox Canada
Sendoxan Danimarca, Finlandia, Islanda, Norvegia, Svezia
Syklofosfamid Finlandia, Turchia
Stabilità in soluzione   Iniezione   Stabilità in soluzione : Cyclophosphamide     
contenitore Solvente Concentrazione Temperatura Conservazione Durata della stabilità Bibliografia
Vetro Acqua per preparato iniettabile 20 mg/ml 24-27°C Non precisata
4 Giorno
1728
Livello di evidenza B

Vetro Acqua per preparato iniettabile 20 mg/ml 4°C Al riparo dalla luce
7 Giorno
172
Livello di evidenza A

Vetro Acqua per preparato iniettabile 20 mg/ml 5°C Al riparo dalla luce
14 Giorno
1728
Livello di evidenza B

Vetro Cloruro di sodio 0,9% 0,4 mg/ml 2-8°C Al riparo dalla luce
14 Giorno
1728
Livello di evidenza B

Vetro Cloruro di sodio 0,9% 0,4 mg/ml 21-25°C Non precisata
6 Giorno
1728
Livello di evidenza B

Vetro Cloruro di sodio 0,9% 1 mg/ml 25°C Al riparo dalla luce
7 Giorno
172
Livello di evidenza A

Vetro Cloruro di sodio 0,9% 1 mg/ml 4°C Al riparo dalla luce
7 Giorno
172
Livello di evidenza A

Vetro Glucosio 5% 1 mg/ml 25°C Al riparo dalla luce
7 Giorno
172
Livello di evidenza A

Vetro Glucosio 5% 1 mg/ml 4°C Al riparo dalla luce
7 Giorno
172
Livello di evidenza A

Cloruro di polivinile Acqua per preparato iniettabile 20 mg/ml 4°C Al riparo dalla luce
7 Giorno
172
Livello di evidenza A

Cloruro di polivinile Cloruro di sodio 0,9% 1 mg/ml 25°C Al riparo dalla luce
7 Giorno
172
Livello di evidenza A

Cloruro di polivinile Cloruro di sodio 0,9% 1 mg/ml 4°C Al riparo dalla luce
7 Giorno
172
Livello di evidenza A

Cloruro di polivinile Cloruro di sodio 0,9% 10 mg/ml 4°C Al riparo dalla luce
30 Giorno
40
Livello di evidenza D

Cloruro di polivinile Glucosio 5% 1 mg/ml 25°C Al riparo dalla luce
2 Giorno
172
Livello di evidenza A

Cloruro di polivinile Glucosio 5% 1 mg/ml 4°C Al riparo dalla luce
7 Giorno
172
Livello di evidenza A

Cloruro di polivinile Glucosio 5% 10 mg/ml 4°C Al riparo dalla luce
30 Giorno
40
Livello di evidenza D

Polietilene Cloruro di sodio 0,9% 0,24 & 6,4 mg/ml 25°C Al riparo dalla luce
7 Giorno
1520
Dati di stabilità del produttore

Polietilene Glucosio 5% 0,24 & 6,4 mg/ml 25°C Al riparo dalla luce
7 Giorno
1520
Dati di stabilità del produttore

Poliolefina Cloruro di sodio 0,9% 2 mg/ml 2-8°C Al riparo dalla luce
5 Giorno
4989
Dati di stabilità del produttore

Poliolefina Cloruro di sodio 0,9% 2 mg/ml 25°C Luce
60 Ora
4989
Dati di stabilità del produttore

Poliolefina Cloruro di sodio 0,9% 20 mg/ml 2-8°C Al riparo dalla luce
6 Giorno
4989
Dati di stabilità del produttore

Poliolefina Cloruro di sodio 0,9% 20 mg/ml 25°C Luce
24 Ora
4989
Dati di stabilità del produttore

Poliolefina Glucosio 5% 2 mg/ml 2-8°C Al riparo dalla luce
6 Giorno
4989
Dati di stabilità del produttore

Poliolefina Glucosio 5% 2 mg/ml 25°C Luce
60 Ora
4989
Dati di stabilità del produttore

Poliolefina Glucosio 5% 20 mg/ml 2-8°C Al riparo dalla luce
3 Giorno
4989
Dati di stabilità del produttore

Poliolefina Glucosio 5% 20 mg/ml 25°C Luce
24 Ora
4989
Dati di stabilità del produttore

Non precisato Cloruro di sodio 0,9% 20 mg/ml 2-8°C Non precisata
6 Giorno
4865
Dati di stabilità del produttore

Non precisato Cloruro di sodio 0,9% 20 mg/ml 25°C Non precisata
24 Ora
4865
Dati di stabilità del produttore

Non precisato Glucosio 5% 2 mg/ml 2-8°C Non precisata
36 Ora
4865
Dati di stabilità del produttore

Non precisato Glucosio 5% 2 mg/ml 25°C Non precisata
24 Ora
4865
Dati di stabilità del produttore

Non precisato Cloruro di sodio 0,45% 2 mg/ml 2-8°C Non precisata
6 Giorno
4865
Dati di stabilità del produttore

Non precisato Cloruro di sodio 0,45% 2 mg/ml 25°C Non precisata
24 Ora
4865
Dati di stabilità del produttore


  Mentions Légales