Dernière mise à jour :
18/03/2026
Antibiotique   Piperacillin sodium / tazobactam  
injectable
Stabilité des solutions Stabilité en mélange Facteur influençant la stabilité Compatibilités Voie d’administration Bibliographie pdf
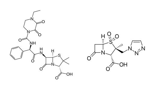
   Structure chimique  

Noms commerciaux   Noms commerciaux     

Les noms commerciaux sont donnés à titre indicatif et la composition en excipients peut être différente selon les pays et selon les laboratoires

Bagotaz Argentine
Betampil Equateur
Bioval Chili
Petezam Argentine
Piperac Allemagne
Piperacillin tazobactam Allemagne, Belgique, Canada
Piperazam Brésil
Pipetazo Chili
Pipitaz Autriche
Pixamol Colombie
Tazobac Equateur, Italie, Portugal, Suisse
Tazocel Espagne
Tazocilline France
Tazocin Afrique du sud, Argentine, Australie, Brésil, Colombie, Croatie, Danemark, Egypte, Emirats Arabes Unis , Finlande, Grande Bretagne, Grèce, Hongrie, Irlande du nord, Italie, Luxembourg, Mexique, Norvège, Nouvelle Zélande, Pays bas, Pérou, Pologne, Suède, Turquie
Tazonam Autriche, Chili
Tazopip Australie
Tazpen Colombie, Mexique
Tazrobida Colombie
Tigux Chili
Tratac Chili
Trital Equateur
Zosyn Etats Unis d’Amérique, Japon
Compatibilités   injectable   Compatibilités : Piperacillin sodium / tazobactam              
Cet écran indique les compatibilités ou incompatibilités avec, dans ce cas, le type d'incompatibilité (précipitation, changement de couleur, modification d'une émulsion, etc.). Les compatibilités présentées ici sont pour la plupart uniquement physiques, la stabilité chimique de chaque molécule étant rarement évaluée. L'évaluation de ces mélanges a été étudiée pour envisager la possibilité d'une administration en site Y au patient. Ces données ne peuvent pas être utilisées pour préparer des mélanges à l'avance dans des poches de perfusion ou des seringues. Ce type d'informations est disponible dans l'écran « Stabilité en mélange ».
Molécule Solvant Bibliographie
Précipitation en 1 heure Incompatible
injectable Piperacillin sodium / tazobactam 40/5 mg/ml
injectable Aciclovir sodium 7 mg/ml
Glucose 5% 81
Compatible
injectable Piperacillin sodium / tazobactam 40/5 mg/ml
Nutrition parentérale (mélange ternaire) 1415
Compatible
injectable Piperacillin sodium / tazobactam 200 mg/ml
Ringer lactate 4603
Compatible
injectable Piperacillin sodium / tazobactam 80 mg/ml
Nutrition parentérale (mélange ternaire) 3948
Instabilité chimique Incompatible
injectable Piperacillin sodium / tazobactam
injectable Amikacin sulfate
3586
Compatible
injectable Piperacillin sodium / tazobactam 200 mg/ml
Nutrition parentérale (mélange ternaire) 4924
Turbidité à 24 heures Incompatible
injectable Piperacillin sodium / tazobactam 60 mg/ml
injectable Amiodarone hydrochloride 6 mg/ml
Glucose 5% 1611
Précipitation immédiate Incompatible
injectable Piperacillin sodium / tazobactam 40/5 mg/ml
injectable Amphotericin B 0.6 mg/ml
Glucose 5% 81
Précipitation immédiate Incompatible
injectable Piperacillin sodium / tazobactam 40/5 mg/ml
injectable Amphotericin B cholesteryl sulfate complex 0.83 mg/ml
Glucose 5% 921
Compatible
injectable Piperacillin sodium / tazobactam 40/5 mg/ml
injectable Anidulafungin 0.5 mg/ml
Glucose 5% 1982
Compatible
injectable Piperacillin sodium / tazobactam 40/5 mg/ml
injectable Aztreonam 40 mg/ml
Glucose 5% 81
Compatible
injectable Piperacillin sodium / tazobactam 40/5 mg/ml
injectable Bivalirudin 5 mg/ml
Glucose 5% 1713
Compatible
injectable Piperacillin sodium / tazobactam 40/5 mg/ml
injectable Bleomycin sulfate 1 mg/ml
Glucose 5% 81
Compatible
injectable Piperacillin sodium / tazobactam 200 mg/ml
injectable Caffeine 10 mg/ml
Aucun 3964
Compatible
injectable Piperacillin sodium / tazobactam 40/5 mg/ml
injectable Carboplatin 5 mg/ml
Glucose 5% 81
Compatible
injectable Piperacillin sodium / tazobactam 40/5 mg/ml
injectable Carmustine 1.5 mg/ml
Glucose 5% 81
Compatible
injectable Piperacillin sodium / tazobactam 40/5 mg/ml
injectable Ceftolozane / tazobactam 10/5 mg/ml
Chlorure de sodium 0,9% 3828
Turbidité immédiate Incompatible
injectable Piperacillin sodium / tazobactam 40/5 mg/ml
injectable Chlorpromazine hydrochloride 2 mg/ml
Glucose 5% 81
Compatible
injectable Piperacillin sodium / tazobactam 40/5 mg/ml
injectable Cisatracurium besylate 0.1 & 2 mg/ml
Glucose 5% 299
Précipitation en 1 heure Incompatible
injectable Piperacillin sodium / tazobactam 40/5 mg/ml
injectable Cisplatin 1 mg/ml
Glucose 5% 81
Compatible
injectable Piperacillin sodium / tazobactam 40/5 mg/ml
injectable Clindamycin phosphate 10 mg/ml
Glucose 5% 81
Compatible
injectable Piperacillin sodium / tazobactam 40/5 mg/ml
injectable Co-trimoxazole 0.8/4 mg/ml
Glucose 5% 81
Compatible
injectable Piperacillin sodium / tazobactam 40/0.5 mg/ml
injectable Colistin mesilate sodium 1.5 mg/ml
Chlorure de sodium 0,9% 3997
Compatible
injectable Piperacillin sodium / tazobactam 40/5 mg/ml
injectable Cyclophosphamide 10 mg/ml
Glucose 5% 81
Compatible
injectable Piperacillin sodium / tazobactam 40/5 mg/ml
injectable Cytarabine 50 mg/ml
Glucose 5% 81
Précipitation immédiate Incompatible
injectable Piperacillin sodium / tazobactam 40/5 mg/ml
injectable Dacarbazine 4 mg/ml
Glucose 5% 81
Turbidité immédiate Incompatible
injectable Piperacillin sodium / tazobactam 40/5 mg/ml
injectable Daunorubicin hydrochloride 1 mg/ml
Glucose 5% 81
Turbidité immédiate Incompatible
injectable Piperacillin sodium / tazobactam
injectable Daunorubicin/cytarabine liposomale 0,4 mg/mL
Chlorure de sodium 0,9% 4654
Turbidité immédiate Incompatible
injectable Piperacillin sodium / tazobactam 40/5 mg/ml
injectable Dobutamine hydrochloride 4 mg/ml
Glucose 5% 81
Compatible
injectable Piperacillin sodium / tazobactam 40/5 mg/ml
injectable Docetaxel 0.9 mg/ml
Glucose 5% 1754
Turbidité immédiate Incompatible
injectable Piperacillin sodium / tazobactam 40/5 mg/ml
injectable Doxorubicin hydrochloride 2 mg/ml
Glucose 5% 81
Turbidité immédiate Incompatible
injectable Piperacillin sodium / tazobactam 40/5 mg/ml
injectable Doxycycline hyclate 1 mg/ml
Glucose 5% 81
Précipitation immédiate Incompatible
injectable Piperacillin sodium / tazobactam 40/5 mg/ml
injectable Droperidol 0.4 mg/ml
Glucose 5% 81
Compatible
injectable Piperacillin sodium / tazobactam 40/5 mg/ml
injectable Etoposide 0.4 mg/ml
Glucose 5% 81
Compatible
injectable Piperacillin sodium / tazobactam 40/5 mg/ml
injectable Etoposide phosphate 5 mg/ml
Chlorure de sodium 0,9% 1410
Précipitation immédiate Incompatible
injectable Piperacillin sodium / tazobactam 40/5 mg/ml
injectable Famotidine 2 mg/ml
Glucose 5% 81
Compatible
injectable Piperacillin sodium / tazobactam 40/5 mg/ml
injectable Fenoldopam mesylate 80 µg/ml
Chlorure de sodium 0,9% 1803
Compatible
injectable Piperacillin sodium / tazobactam 40/5 mg/ml
injectable Floxuridine 3 mg/ml
Glucose 5% 81
Compatible
injectable Piperacillin sodium / tazobactam 40/5 mg/ml
injectable Fluconazole 2 mg/ml
Glucose 5% 81
Compatible
injectable Piperacillin sodium / tazobactam 40/5 mg/ml
injectable Fludarabine phosphate 1 mg/ml
Glucose 5% 81
Compatible
injectable Piperacillin sodium / tazobactam 40/5 mg/ml
injectable Fluorouracil 16 mg/ml
Glucose 5% 81
Compatible
injectable Piperacillin sodium / tazobactam 40/5 mg/ml
injectable Fosfomycin 30 mg/ml
Chlorure de sodium 0,9% 4055
Précipitation en 1 heure Incompatible
injectable Piperacillin sodium / tazobactam 40/5 mg/ml
injectable Ganciclovir sodium 20 mg/ml
Glucose 5% 81
Instabilité chimique Incompatible
injectable Piperacillin sodium / tazobactam
injectable Gentamicin sulfate
3586
Compatible
injectable Piperacillin sodium / tazobactam 40/5 mg/ml
injectable Granisetron hydrochloride 0.05 mg/ml
Glucose 5% 182
Précipitation immédiate Incompatible
injectable Piperacillin sodium / tazobactam 40/5 mg/ml
injectable Haloperidol lactate 0.2 mg/ml
Glucose 5% 81
Incompatibilité non précisée Incompatible
injectable Piperacillin sodium / tazobactam
Ringer lactate 3586
Incompatibilité non précisée Incompatible
injectable Piperacillin sodium / tazobactam
injectable Aciclovir sodium
3595
Instabilité chimique Incompatible
injectable Piperacillin sodium / tazobactam
injectable Amikacin sulfate
3549
Compatible
injectable Piperacillin sodium / tazobactam 40/5 mg/ml
injectable Aminophylline 2.5 mg/ml
Glucose 5% 81
Compatible
injectable Piperacillin sodium / tazobactam 100 mg/ml
injectable Amoxicillin sodium / clavulanic acid 100/10 mg/ml
3824
Précipitation immédiate Incompatible
injectable Piperacillin sodium / tazobactam 112.5 mg/ml
injectable Azithromycine 2 mg/ml
Chlorure de sodium 0,9% 1800
Compatible
injectable Piperacillin sodium / tazobactam 40/5 mg/ml
injectable Bumetanide 0.04 mg/ml
Glucose 5% 81
Compatible
injectable Piperacillin sodium / tazobactam 40/5 mg/ml
injectable Buprenorphine hydrochloride 0.04 mg/ml
Glucose 5% 81
Compatible
injectable Piperacillin sodium / tazobactam 40/5 mg/ml
injectable Butorphanol tartrate 0.04 mg/ml
Glucose 5% 81
Compatible
injectable Piperacillin sodium / tazobactam 200 mg/ml
injectable Caffeine 10 mg/ml
Eau pour préparation injectable 4837
Compatible
injectable Piperacillin sodium / tazobactam 200 mg/ml
injectable Caffeine citrate 20 mg/ml
Eau pour préparation injectable 4837
Compatible
injectable Piperacillin sodium / tazobactam 40/5 mg/ml
injectable Calcium gluconate 40 mg/ml
Glucose 5% 81
Précipitation immédiate Incompatible
injectable Piperacillin sodium / tazobactam 90 mg/ml
injectable Caspofungin acetate 0.5 mg/ml
Chlorure de sodium 0,9% 2233
Précipitation immédiate Incompatible
injectable Piperacillin sodium / tazobactam 40/5 mg/ml
injectable Caspofungin acetate 0,7 mg/ml
Chlorure de sodium 0,9% 2247
Compatible
injectable Piperacillin sodium / tazobactam 40/5 mg/ml
injectable Ceftolozane / tazobactam 10/5 mg/ml
Glucose 5% 3828
Compatible
injectable Piperacillin sodium / tazobactam 40/5 mg/ml
injectable Cimetidine hydrochloride 12 mg/ml
Glucose 5% 81
Incompatibilité non précisée Incompatible
injectable Piperacillin sodium / tazobactam
injectable Ciprofloxacin lactate
3529
Précipitation en 4 heures Incompatible
injectable Piperacillin sodium / tazobactam 40/5 mg/ml
injectable Cisatracurium besylate 5 mg/ml
Glucose 5% 299
Compatible
injectable Piperacillin sodium / tazobactam 225 mg/ml
injectable Cloxacillin sodium 100 mg/ml
Eau pour préparation injectable 3012
Incompatibilité subvisuelle Incompatible
injectable Piperacillin sodium / tazobactam
injectable Daunorubicin/cytarabine liposomale
4354
Compatible
injectable Piperacillin sodium / tazobactam 40/5 mg/ml
injectable Dexamethasone sodium phosphate 1 mg/ml
Glucose 5% 81
Compatible
injectable Piperacillin sodium / tazobactam 40/5 mg/ml
injectable Dexmedetomidine 4 µg/ml
Chlorure de sodium 0,9% 1712
Compatible
injectable Piperacillin sodium / tazobactam
injectable Dimenhydrinate
2087
Compatible
injectable Piperacillin sodium / tazobactam 40/5 mg/ml
injectable Diphenhydramine hydrochloride 2 mg/ml
Glucose 5% 81
Compatible
injectable Piperacillin sodium / tazobactam 40/5 mg/ml
injectable Dopamine hydrochloride 3.2 mg/ml
Glucose 5% 81
Perte de turbidité Incompatible
injectable Piperacillin sodium / tazobactam 40/5 mg/ml
injectable Doxorubicin hydrochloride liposome peg 0.4 mg/ml
Glucose 5% 251
Compatible
injectable Piperacillin sodium / tazobactam 40/5 mg/ml
injectable Enalaprilate 0.1 mg/ml
Glucose 5% 81
Compatible
injectable Piperacillin sodium / tazobactam 40/5 mg/ml
injectable Eravacycline 0,6 mg/ml
Chlorure de sodium 0,9% 4434
Incompatibilité non précisée Incompatible
injectable Piperacillin sodium / tazobactam
injectable Erythromycin lactobionate
3674
Compatible
injectable Piperacillin sodium / tazobactam 40/5 mg/ml
injectable Folinate calcium 2 mg/ml
Glucose 5% 81
Compatible
injectable Piperacillin sodium / tazobactam 40/5 mg/ml
injectable Fosfomycin 30 mg/ml
Glucose 5% 4055
Compatible
injectable Piperacillin sodium / tazobactam 40/5 mg/ml
injectable Furosemide 3 mg/ml
Glucose 5% 81
Compatible
injectable Piperacillin sodium / tazobactam 40/5 mg/ml
injectable Gallium nitrate 0.4 mg/ml
Glucose 5% 81
Turbidité immédiate Incompatible
injectable Piperacillin sodium / tazobactam 40/5 mg/ml
injectable Gemcitabine hydrochloride 10 mg/ml
Chlorure de sodium 0,9% 1423
Incompatibilité non précisée Incompatible
injectable Piperacillin sodium / tazobactam
injectable Gentamicin sulfate
3520
Incompatibilité non précisée Incompatible
injectable Piperacillin sodium / tazobactam
injectable Gentamicin sulfate
3643
Compatible
injectable Piperacillin sodium / tazobactam 0.5/0.0625 mg/ml
injectable Heparin sodium 0.5 UI/ml
Dianéal® 1.5% glucose (Baxter) 4180
Compatible
injectable Piperacillin sodium / tazobactam 0.5/0.0625 mg/ml
injectable Heparin sodium 0.5 UI/ml
Extraneal® (Baxter) 4180
Compatible
injectable Piperacillin sodium / tazobactam 1.38/0.1725 mg/ml
injectable Heparin sodium 1.4 UI/ml
Physionéal® 2.27 (Baxter) 4180
Compatible
injectable Piperacillin sodium / tazobactam 0.5/0.0625 mg/ml
injectable Heparin sodium 0.5 UI/ml
Dianéal® 4.25% glucose (Baxter) 4180
Compatible
injectable Piperacillin sodium / tazobactam 1.38/0.1725 mg/ml
injectable Heparin sodium 1.4 UI/ml
Physionéal® 3.86 (Baxter) 4180
Compatible
injectable Piperacillin sodium / tazobactam 1.38/0.1725 mg/ml
injectable Heparin sodium 1.4 UI/ml
Physionéal® 1.36 (Baxter) 4180
Compatible
injectable Piperacillin sodium / tazobactam 0.5/0.0625 mg/ml
injectable Heparin sodium 0.5 UI/ml
Dianéal® 2.5% glucose (Baxter) 4180
Compatible
injectable Piperacillin sodium / tazobactam 40/5 mg/ml
injectable Heparin sodium 100 UI/ml
Glucose 5% 81
Compatible
injectable Piperacillin sodium / tazobactam 40/5 mg/ml
injectable Hetastarch 60 mg/ml
Solvant spécifique 1721
Compatible
injectable Piperacillin sodium / tazobactam 40/5 mg/ml
injectable Hydrocortisone sodium succinate 1 mg/ml
Glucose 5% 81
Compatible
injectable Piperacillin sodium / tazobactam 40/5 mg/ml
injectable Hydromorphone hydrochloride 0.5 mg/ml
Glucose 5% 81
Précipitation immédiate Incompatible
injectable Piperacillin sodium / tazobactam 40/5 mg/ml
injectable Hydroxyzine dihydrochloride 4 mg/ml
Glucose 5% 81
Turbidité immédiate Incompatible
injectable Piperacillin sodium / tazobactam 40/5 mg/ml
injectable Idarubicin hydrochloride 0.5 mg/ml
Glucose 5% 81
Compatible
injectable Piperacillin sodium / tazobactam 40/5 mg/ml
injectable Ifosfamide 25 mg/ml
Glucose 5% 81
Compatible
injectable Piperacillin sodium / tazobactam 166/20.83 mg/ml
injectable Insulin 1 UI/ml
Chlorure de sodium 0,9% 4254
Compatible
injectable Piperacillin sodium / tazobactam 45 mg/ml
injectable Insulin aspart 1 UI/ml
Chlorure de sodium 0,9% 1508
Compatible
injectable Piperacillin sodium / tazobactam 45 mg/ml
injectable Insulin aspart 1 UI/ml
Glucose 5% 1508
Compatible
injectable Piperacillin sodium / tazobactam 40/5 mg/ml
injectable Isavuconazonium sulfate 1.5 mg/ml
Chlorure de sodium 0,9% 3829
Compatible
injectable Piperacillin sodium / tazobactam 40/5 mg/ml
injectable Lansoprazole 0.55 mg/ml
Chlorure de sodium 0,9% 1625
Compatible
injectable Piperacillin sodium / tazobactam 166/20.83 mg/ml
injectable Levetiracetam 20.83 mg/ml
Glucose 5% 4254
Compatible
injectable Piperacillin sodium / tazobactam 166/20.83 mg/ml
injectable Levetiracetam 20.83 mg/ml
Chlorure de sodium 0,9% 4254
Compatible
injectable Piperacillin sodium / tazobactam 80 mg/ml
Nutrition parentérale (mélange binaire) 3948
Compatible
injectable Piperacillin sodium / tazobactam 166/20.83 mg/ml
injectable Insulin 1 UI/ml
Glucose 5% 4254
Compatible
injectable Piperacillin sodium / tazobactam 33,75 mg/ml
injectable Levetiracetam 5 mg/ml
Chlorure de sodium 0,9% 4569
Compatible
injectable Piperacillin sodium / tazobactam 40/5 mg/ml
Nutrition parentérale (mélange binaire) 301
Turbidité immédiate Incompatible
injectable Piperacillin sodium / tazobactam 40/5 mg/ml
injectable Isavuconazonium sulfate 1.5 mg/ml
Glucose 5% 3829
Incompatibilité non précisée Incompatible
injectable Piperacillin sodium / tazobactam
NaHCO3 3586
Instabilité chimique Incompatible
injectable Piperacillin sodium / tazobactam
injectable Kanamycin sulfate
3586
Compatible
injectable Piperacillin sodium / tazobactam 200 mg/ml
injectable Ketamine hydrochloride 50 mg/ml
2109
Incompatibilité subvisuelle Incompatible
injectable Piperacillin sodium / tazobactam 45 mg/ml
injectable Levetiracetam 5 mg/ml
Chlorure de sodium 0,9% 4569
Compatible
injectable Piperacillin sodium / tazobactam 125 mg/ml
injectable Linezolid 2 mg/ml
4928
Compatible
injectable Piperacillin sodium / tazobactam 40/5 mg/ml
injectable Linezolid 2 mg/ml
Aucun 1925
Compatible
injectable Piperacillin sodium / tazobactam 40/5 mg/ml
injectable Lorazepam 0.1 mg/ml
Glucose 5% 81
Compatible
injectable Piperacillin sodium / tazobactam 40/5 mg/ml
injectable Magnesium sulfate 100 mg/ml
Glucose 5% 81
Compatible
injectable Piperacillin sodium / tazobactam 40/5 mg/ml
injectable Mannitol 150 mg/ml
Glucose 5% 81
Compatible
injectable Piperacillin sodium / tazobactam 200 mg/ml
injectable Meropenem 50 mg/ml
Eau pour préparation injectable 4319
Compatible
injectable Piperacillin sodium / tazobactam 40/5 mg/ml
injectable Mesna 10 mg/ml
Glucose 5% 81
Compatible
injectable Piperacillin sodium / tazobactam 40/5 mg/ml
injectable Methotrexate sodium 15 mg/ml
Glucose 5% 81
Compatible
injectable Piperacillin sodium / tazobactam 40/5 mg/ml
injectable Methylprednisolone sodium succinate 5 mg/ml
Glucose 5% 81
Compatible
injectable Piperacillin sodium / tazobactam 40/5 mg/ml
injectable Metoclopramide hydrochloride 5 mg/ml
Glucose 5% 81
Compatible
injectable Piperacillin sodium / tazobactam 40/5 mg/ml
injectable Metronidazole 5 mg/ml
Glucose 5% 81
Précipitation immédiate Incompatible
injectable Piperacillin sodium / tazobactam 40/5 mg/ml
injectable Minocycline hydrochloride 1 mg/ml
Glucose 5% 81
Changement de couleur à 4 heures Incompatible
injectable Piperacillin sodium / tazobactam 40/5 mg/ml
injectable Mitomycin 0.5 mg/ml
Glucose 5% 81
Précipitation immédiate Incompatible
injectable Piperacillin sodium / tazobactam 40/5 mg/ml
injectable Mitoxantrone dihydrochloride 0.5 mg/ml
Glucose 5% 81
Compatible
injectable Piperacillin sodium / tazobactam 40/5 mg/ml
injectable Morphine sulfate 1 mg/ml
Glucose 5% 81
Compatible
injectable Piperacillin sodium / tazobactam
injectable N-acetylcysteine 200 mg/ml
Aucun 3766
Turbidité immédiate Incompatible
injectable Piperacillin sodium / tazobactam 40/5 mg/ml
injectable Nalbuphine hydrochloride 10 mg/ml
Glucose 5% 81
Compatible
injectable Piperacillin sodium / tazobactam 200 mg/ml
injectable Naloxone hydrochloride 0.4 mg/ml
Aucun 3408
Instabilité chimique Incompatible
injectable Piperacillin sodium / tazobactam
injectable Netilmicin sulfate
3586
Compatible
injectable Piperacillin sodium / tazobactam 20/2,5 & 40/5 mg/ml
injectable Ondansetron hydrochloride 0,015 >> 0,15 mg/ml
Chlorure de sodium 0,9% 16
Compatible
injectable Piperacillin sodium / tazobactam 40/5 mg/ml
injectable Ondansetron hydrochloride 0.1 mg/ml
Glucose 5% 81
Compatible
injectable Piperacillin sodium / tazobactam 200/25 mg/ml
injectable Oxycodone hydrochloride 1 mg/ml
Chlorure de sodium 0,9% 4842
Précipitation en 1 heure Incompatible
injectable Piperacillin sodium / tazobactam
injectable Pantoprazole sodium
2090
Compatible
injectable Piperacillin sodium / tazobactam 100 mg/ml
injectable Paracetamol 10 mg/ml
Aucun 3571
Compatible
injectable Piperacillin sodium / tazobactam 100 mg/ml
injectable Paracetamol 10 mg/ml
4742
Compatible
injectable Piperacillin sodium / tazobactam 200 mg/ml
injectable Pentoxifyllin 5 mg/ml
Chlorure de sodium 0,9% 4538
Compatible
injectable Piperacillin sodium / tazobactam 40/5 mg/ml
injectable Pethidine hydrochloride 4 mg/ml
Glucose 5% 81
Instabilité chimique Incompatible
injectable Piperacillin sodium / tazobactam
injectable Plazomicin sulfate
3586
Compatible
injectable Piperacillin sodium / tazobactam 40/5 mg/ml
injectable Plazomicin sulfate 24 mg/ml
Chlorure de sodium 0,9% 4145
Précipitation immédiate Incompatible
injectable Piperacillin sodium / tazobactam 160 mg/ml
injectable Posaconazole 1,2 mg/ml
Chlorure de sodium 0,9% 4521
Compatible
injectable Piperacillin sodium / tazobactam 40/5 mg/ml
injectable Potassium chloride 100 mEq/l
Glucose 5% 81
Turbidité immédiate Incompatible
injectable Piperacillin sodium / tazobactam 40/5 mg/ml
injectable Prochlorperazine edysilate 0.5 mg/ml
Glucose 5% 81
Turbidité immédiate Incompatible
injectable Piperacillin sodium / tazobactam 40/5 mg/ml
injectable Promethazine hydrochloride 2 mg/ml
Glucose 5% 81
Compatible
injectable Piperacillin sodium / tazobactam 40/5 mg/ml
injectable Ranitidine hydrochloride 2 mg/ml
Glucose 5% 81
Compatible
injectable Piperacillin sodium / tazobactam 40/5 mg/ml
injectable Remifentanil hydrochloride 25 & 250 µg/ml
Chlorure de sodium 0,9% 59
Précipitation immédiate Incompatible
injectable Piperacillin sodium / tazobactam 200 mg/ml
injectable Salbutamol sulfate 1 mg/ml
Aucun 3216
Compatible
injectable Piperacillin sodium / tazobactam 40/5 mg/ml
injectable Sargramostim 10 µg/ml
Glucose 5% 81
Compatible
injectable Piperacillin sodium / tazobactam 200 mg/ml
injectable Sildenafil citrate 0,6 mg/ml
Glucose 5% 4845
Incompatibilité non précisée Incompatible
injectable Piperacillin sodium / tazobactam
injectable Sodium bicarbonate
3586
Compatible
injectable Piperacillin sodium / tazobactam 40/5 mg/ml
injectable Sodium bicarbonate 84 mg/ml
Glucose 5% 81
Instabilité chimique Incompatible
injectable Piperacillin sodium / tazobactam
injectable Streptomycin sulfate
3586
Précipitation en 1 heure Incompatible
injectable Piperacillin sodium / tazobactam 40/5 mg/ml
injectable Streptozocin 40 mg/ml
Glucose 5% 81
Compatible
injectable Piperacillin sodium / tazobactam 40/5 mg/ml
injectable Sulbactam/durlobactam 15/15 mg/ml
Chlorure de sodium 0,9% 4801
Compatible
injectable Piperacillin sodium / tazobactam 40/5 mg/ml
injectable Tedizolid phosphate 0.8 mg/ml
Chlorure de sodium 0,9% 3827
Compatible
injectable Piperacillin sodium / tazobactam 40/5 mg/ml
injectable Telavancin hydrochloride 7.5 mg/ml
Glucose 5% 3254
Compatible
injectable Piperacillin sodium / tazobactam 40/5 mg/ml
injectable Telavancin hydrochloride 7.5 mg/ml
Chlorure de sodium 0,9% 3254
Compatible
injectable Piperacillin sodium / tazobactam 40/5 mg/ml
injectable Telavancin hydrochloride 7.5 mg/ml
Ringer lactate 3254
Instabilité chimique Incompatible
injectable Piperacillin sodium / tazobactam 200 mg/ml
injectable Temocilline 83.33 mg/ml
Eau pour préparation injectable 2231
Incompatibilité non précisée Incompatible
injectable Piperacillin sodium / tazobactam
injectable Temocilline
4470
Compatible
injectable Piperacillin sodium / tazobactam 166/20.83 mg/ml
injectable Thiamine hydrochloride 0.4 mg/ml
Glucose 5% 4254
Précipitation immédiate Incompatible
injectable Piperacillin sodium / tazobactam 200 mg/ml
injectable Thiopental sodium 25 mg/ml
Chlorure de sodium 0,9% 3767
Compatible
injectable Piperacillin sodium / tazobactam 40/5 mg/ml
injectable Thiotepa 1 mg/ml
Glucose 5% 81
Compatible
injectable Piperacillin sodium / tazobactam
injectable Tigecycline
Chlorure de sodium 0,9% 3332
Instabilité chimique Incompatible
injectable Piperacillin sodium / tazobactam
injectable Tobramycin sulfate
3586
Précipitation immédiate Incompatible
injectable Piperacillin sodium / tazobactam 112,5 mg/ml
injectable Vancomycin hydrochloride 10 mg/ml
Glucose 5% 3428
Compatible
injectable Piperacillin sodium / tazobactam
Glucose 5% 3586
Compatible
injectable Piperacillin sodium / tazobactam
Chlorure de sodium 0,9% 5069
Précipitation immédiate Incompatible
injectable Piperacillin sodium / tazobactam 100/12,5 mg/ml
injectable Vancomycin hydrochloride 10 mg/ml
3365
Précipitation immédiate Incompatible
injectable Piperacillin sodium / tazobactam 40 >> 100 mg/ml
injectable Vancomycin hydrochloride 10 mg/ml
Chlorure de sodium 0,9% 2475
Précipitation immédiate Incompatible
injectable Piperacillin sodium / tazobactam
injectable Vancomycin hydrochloride >8 mg/ml
Chlorure de sodium 0,9% 3841
Compatible
injectable Piperacillin sodium / tazobactam 16 >> 100 mg/ml
injectable Vancomycin hydrochloride 2 mg/ml
Chlorure de sodium 0,9% 2475
Compatible
injectable Piperacillin sodium / tazobactam 16 >> 100 mg/ml
injectable Vancomycin hydrochloride 5 mg/ml
Chlorure de sodium 0,9% 2475
Compatible
injectable Piperacillin sodium / tazobactam 16 >> 30 mg/ml
injectable Vancomycin hydrochloride 10 mg/ml
Chlorure de sodium 0,9% 2475
Compatible
injectable Piperacillin sodium / tazobactam 30/3,75 mg/ml
injectable Vancomycin hydrochloride 4 mg/ml
Chlorure de sodium 0,9% 3421
Compatible
injectable Piperacillin sodium / tazobactam 40/5 mg/ml
injectable Vancomycin hydrochloride 4 mg/ml
Chlorure de sodium 0,9% 3421
Compatible
injectable Piperacillin sodium / tazobactam 33.75 >> 90 mg/ml
injectable Vancomycin hydrochloride 4 >> 7 mg/ml
Chlorure de sodium 0,9% 3841
Précipitation immédiate Incompatible
injectable Piperacillin sodium / tazobactam 80 & 90 mg/ml
injectable Vancomycin hydrochloride 8 mg/ml
Chlorure de sodium 0,9% 3841
Compatible
injectable Piperacillin sodium / tazobactam 33.75 >> 67.5 mg/ml
injectable Vancomycin hydrochloride 8 mg/ml
Chlorure de sodium 0,9% 3841
Turbidité immédiate Incompatible
injectable Piperacillin sodium / tazobactam 40/5 mg/ml
injectable Vancomycin hydrochloride 10 mg/ml
Glucose 5% 81
Incompatibilité non précisée Incompatible
injectable Piperacillin sodium / tazobactam 200 mg/ml
injectable Vancomycin hydrochloride 10 mg/ml
Glucose 5% 3385
Précipitation immédiate Incompatible
injectable Piperacillin sodium / tazobactam 10/1.25 >> 200/25 mg/ml
injectable Vancomycin hydrochloride 20 mg/ml
Glucose 5% 1674
Précipitation immédiate Incompatible
injectable Piperacillin sodium / tazobactam 80 >> 100 mg/ml
injectable Vancomycin hydrochloride 4 mg/ml
Glucose 5% 2475
Précipitation immédiate Incompatible
injectable Piperacillin sodium / tazobactam 16 >> 100 mg/ml
injectable Vancomycin hydrochloride 8 mg/ml
Glucose 5% 2475
Précipitation immédiate Incompatible
injectable Piperacillin sodium / tazobactam 28 mg/ml
injectable Vancomycin hydrochloride 10 & 15 mg/ml
Glucose 5% 3984
Précipitation immédiate Incompatible
injectable Piperacillin sodium / tazobactam 67,5 mg/ml
injectable Vancomycin hydrochloride 5 mg/ml
Glucose 5% 3960
Compatible
injectable Piperacillin sodium / tazobactam 16 >> 40 mg/ml
injectable Vancomycin hydrochloride 4 mg/ml
Glucose 5% 2475
Compatible
injectable Piperacillin sodium / tazobactam 28 mg/ml
injectable Vancomycin hydrochloride 5 mg/ml
Glucose 5% 3984
Compatible
injectable Piperacillin sodium / tazobactam 1/0.125 >> 200/25 mg/ml
injectable Vancomycin hydrochloride 2 mg/ml
Glucose 5% 1674
Compatible
injectable Piperacillin sodium / tazobactam 1/0.125 mg/ml
injectable Vancomycin hydrochloride 20 mg/ml
Glucose 5% 1674
Compatible
injectable Piperacillin sodium / tazobactam 112.5 mg/ml
injectable Vasopressin 0.2 UI/ml
Chlorure de sodium 0,9% 2017
Compatible
injectable Piperacillin sodium / tazobactam 40/5 mg/ml
injectable Vinblastine sulfate 0.12 mg/ml
Glucose 5% 81
Compatible
injectable Piperacillin sodium / tazobactam 40/5 mg/ml
injectable Vincristine sulfate 0.05 mg/ml
Glucose 5% 81
Compatible
injectable Piperacillin sodium / tazobactam 40/5 mg/ml
injectable Zidovudine 4 mg/ml
Glucose 5% 81
Compatible
injectable Piperacillin sodium / tazobactam 40/5 mg/ml
Normosol® 4655

  Mentions Légales