最新更新 :
27/04/2026
抗菌薬   Piperacillin sodium / tazobactam  
注射薬
溶媒内の安定性 混合時の安定性 安定性に影響する因子 互換性 投与経路 引用文献 PDF
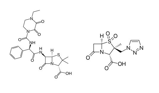
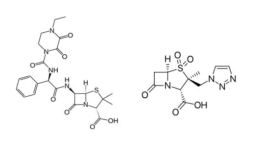
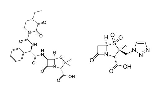
   化学構造  

商品名   商品名     

商品名、賦形剤は国、製薬会社ごとに異なることがあります

Bagotaz アルゼンチン
Betampil エクアドル
Bioval チリ
Petezam アルゼンチン
Piperac ドイツ
Piperacillin tazobactam カナダ, ドイツ, ベルギー
Piperazam ブラジル
Pipetazo チリ
Pipitaz オーストリア
Pixamol コロンビア
Tazobac イタリア, エクアドル, スイス, ポルトガル
Tazocel スペイン
Tazocilline フランス
Tazocin アラブ首長国連邦, アルゼンチン, アーストラリア, イギリス, イタリア, エジプト, オランダ, ギリシア, クロアチア, コロンビア, スウェーデン, デンマーク, トルコ, ニュージーランド, ノルウェー, ハンガリー, フィンランド, ブラジル, ペルー, ポーランド, メキシコ, ルクセンブルグ, 北アイルランド, 南アフリカ共和国
Tazonam オーストリア, チリ
Tazopip アーストラリア
Tazpen コロンビア, メキシコ
Tazrobida コロンビア
Tigux チリ
Tratac チリ
Trital エクアドル
Zosyn アメリカ, 日本
互換性   注射薬   互換性 : Piperacillin sodium / tazobactam              
This screen indicates the compatibilities or incompatibilities with, in this case, the type of incompatibility (precipitation, color change, modification of an emulsion, etc.). The compatibilities shown here are mostly physical only, with the chemical stability of each molecule rarely being assessed. The evaluation of these mixtures was studied to consider the possibility of Y-site administration to the patient. These data cannot be used for making mixtures in advance in bags or syringes. This type of information is available in the screen "Stability in mixture ».
化合物 溶媒 引用文献
1時間後の降水 非互換
注射薬 Piperacillin sodium / tazobactam 40/5 mg/ml
注射薬 Aciclovir sodium 7 mg/ml
グルコース5% 81
対応
注射薬 Piperacillin sodium / tazobactam 40/5 mg/ml
非経口的栄養(脂肪含む) 1415
対応
注射薬 Piperacillin sodium / tazobactam 200 mg/ml
乳酸リンゲル 4603
対応
注射薬 Piperacillin sodium / tazobactam 80 mg/ml
非経口的栄養(脂肪含む) 3948
化学的不安定性 非互換
注射薬 Piperacillin sodium / tazobactam
注射薬 Amikacin sulfate
3586
対応
注射薬 Piperacillin sodium / tazobactam 200 mg/ml
非経口的栄養(脂肪含む) 4924
24時間で濁り 非互換
注射薬 Piperacillin sodium / tazobactam 60 mg/ml
注射薬 Amiodarone hydrochloride 6 mg/ml
グルコース5% 1611
即時降水 非互換
注射薬 Piperacillin sodium / tazobactam 40/5 mg/ml
注射薬 Amphotericin B 0.6 mg/ml
グルコース5% 81
即時降水 非互換
注射薬 Piperacillin sodium / tazobactam 40/5 mg/ml
注射薬 Amphotericin B cholesteryl sulfate complex 0.83 mg/ml
グルコース5% 921
対応
注射薬 Piperacillin sodium / tazobactam 40/5 mg/ml
注射薬 Anidulafungin 0.5 mg/ml
グルコース5% 1982
対応
注射薬 Piperacillin sodium / tazobactam 40/5 mg/ml
注射薬 Aztreonam 40 mg/ml
グルコース5% 81
対応
注射薬 Piperacillin sodium / tazobactam 40/5 mg/ml
注射薬 Bivalirudin 5 mg/ml
グルコース5% 1713
対応
注射薬 Piperacillin sodium / tazobactam 40/5 mg/ml
注射薬 Bleomycin sulfate 1 mg/ml
グルコース5% 81
対応
注射薬 Piperacillin sodium / tazobactam 200 mg/ml
注射薬 Caffeine 10 mg/ml
なし 3964
対応
注射薬 Piperacillin sodium / tazobactam 40/5 mg/ml
注射薬 Carboplatin 5 mg/ml
グルコース5% 81
対応
注射薬 Piperacillin sodium / tazobactam 40/5 mg/ml
注射薬 Carmustine 1.5 mg/ml
グルコース5% 81
対応
注射薬 Piperacillin sodium / tazobactam 40/5 mg/ml
注射薬 Ceftolozane / tazobactam 10/5 mg/ml
NaCl 0,9% 3828
すぐに濁り 非互換
注射薬 Piperacillin sodium / tazobactam 40/5 mg/ml
注射薬 Chlorpromazine hydrochloride 2 mg/ml
グルコース5% 81
対応
注射薬 Piperacillin sodium / tazobactam 40/5 mg/ml
注射薬 Cisatracurium besylate 0.1 & 2 mg/ml
グルコース5% 299
1時間後の降水 非互換
注射薬 Piperacillin sodium / tazobactam 40/5 mg/ml
注射薬 Cisplatin 1 mg/ml
グルコース5% 81
対応
注射薬 Piperacillin sodium / tazobactam 40/5 mg/ml
注射薬 Clindamycin phosphate 10 mg/ml
グルコース5% 81
対応
注射薬 Piperacillin sodium / tazobactam 40/5 mg/ml
注射薬 Co-trimoxazole 0.8/4 mg/ml
グルコース5% 81
対応
注射薬 Piperacillin sodium / tazobactam 40/0.5 mg/ml
注射薬 Colistin mesilate sodium 1.5 mg/ml
NaCl 0,9% 3997
対応
注射薬 Piperacillin sodium / tazobactam 40/5 mg/ml
注射薬 Cyclophosphamide 10 mg/ml
グルコース5% 81
対応
注射薬 Piperacillin sodium / tazobactam 40/5 mg/ml
注射薬 Cytarabine 50 mg/ml
グルコース5% 81
即時降水 非互換
注射薬 Piperacillin sodium / tazobactam 40/5 mg/ml
注射薬 Dacarbazine 4 mg/ml
グルコース5% 81
すぐに濁り 非互換
注射薬 Piperacillin sodium / tazobactam 40/5 mg/ml
注射薬 Daunorubicin hydrochloride 1 mg/ml
グルコース5% 81
すぐに濁り 非互換
注射薬 Piperacillin sodium / tazobactam
注射薬 Daunorubicin/cytarabine liposomale 0,4 mg/mL
NaCl 0,9% 4654
すぐに濁り 非互換
注射薬 Piperacillin sodium / tazobactam 40/5 mg/ml
注射薬 Dobutamine hydrochloride 4 mg/ml
グルコース5% 81
対応
注射薬 Piperacillin sodium / tazobactam 40/5 mg/ml
注射薬 Docetaxel 0.9 mg/ml
グルコース5% 1754
すぐに濁り 非互換
注射薬 Piperacillin sodium / tazobactam 40/5 mg/ml
注射薬 Doxorubicin hydrochloride 2 mg/ml
グルコース5% 81
すぐに濁り 非互換
注射薬 Piperacillin sodium / tazobactam 40/5 mg/ml
注射薬 Doxycycline hyclate 1 mg/ml
グルコース5% 81
即時降水 非互換
注射薬 Piperacillin sodium / tazobactam 40/5 mg/ml
注射薬 Droperidol 0.4 mg/ml
グルコース5% 81
対応
注射薬 Piperacillin sodium / tazobactam 40/5 mg/ml
注射薬 Etoposide 0.4 mg/ml
グルコース5% 81
対応
注射薬 Piperacillin sodium / tazobactam 40/5 mg/ml
注射薬 Etoposide phosphate 5 mg/ml
NaCl 0,9% 1410
即時降水 非互換
注射薬 Piperacillin sodium / tazobactam 40/5 mg/ml
注射薬 Famotidine 2 mg/ml
グルコース5% 81
対応
注射薬 Piperacillin sodium / tazobactam 40/5 mg/ml
注射薬 Fenoldopam mesylate 80 µg/ml
NaCl 0,9% 1803
対応
注射薬 Piperacillin sodium / tazobactam 40/5 mg/ml
注射薬 Floxuridine 3 mg/ml
グルコース5% 81
対応
注射薬 Piperacillin sodium / tazobactam 40/5 mg/ml
注射薬 Fluconazole 2 mg/ml
グルコース5% 81
対応
注射薬 Piperacillin sodium / tazobactam 40/5 mg/ml
注射薬 Fludarabine phosphate 1 mg/ml
グルコース5% 81
対応
注射薬 Piperacillin sodium / tazobactam 40/5 mg/ml
注射薬 Fluorouracil 16 mg/ml
グルコース5% 81
対応
注射薬 Piperacillin sodium / tazobactam 40/5 mg/ml
注射薬 Fosfomycin 30 mg/ml
NaCl 0,9% 4055
1時間後の降水 非互換
注射薬 Piperacillin sodium / tazobactam 40/5 mg/ml
注射薬 Ganciclovir sodium 20 mg/ml
グルコース5% 81
化学的不安定性 非互換
注射薬 Piperacillin sodium / tazobactam
注射薬 Gentamicin sulfate
3586
対応
注射薬 Piperacillin sodium / tazobactam 40/5 mg/ml
注射薬 Granisetron hydrochloride 0.05 mg/ml
グルコース5% 182
即時降水 非互換
注射薬 Piperacillin sodium / tazobactam 40/5 mg/ml
注射薬 Haloperidol lactate 0.2 mg/ml
グルコース5% 81
不特定の非互換性 非互換
注射薬 Piperacillin sodium / tazobactam
乳酸リンゲル 3586
不特定の非互換性 非互換
注射薬 Piperacillin sodium / tazobactam
注射薬 Aciclovir sodium
3595
化学的不安定性 非互換
注射薬 Piperacillin sodium / tazobactam
注射薬 Amikacin sulfate
3549
対応
注射薬 Piperacillin sodium / tazobactam 40/5 mg/ml
注射薬 Aminophylline 2.5 mg/ml
グルコース5% 81
対応
注射薬 Piperacillin sodium / tazobactam 100 mg/ml
注射薬 Amoxicillin sodium / clavulanic acid 100/10 mg/ml
3824
即時降水 非互換
注射薬 Piperacillin sodium / tazobactam 112.5 mg/ml
注射薬 Azithromycine 2 mg/ml
NaCl 0,9% 1800
対応
注射薬 Piperacillin sodium / tazobactam 40/5 mg/ml
注射薬 Bumetanide 0.04 mg/ml
グルコース5% 81
対応
注射薬 Piperacillin sodium / tazobactam 40/5 mg/ml
注射薬 Buprenorphine hydrochloride 0.04 mg/ml
グルコース5% 81
対応
注射薬 Piperacillin sodium / tazobactam 40/5 mg/ml
注射薬 Butorphanol tartrate 0.04 mg/ml
グルコース5% 81
対応
注射薬 Piperacillin sodium / tazobactam 200 mg/ml
注射薬 Caffeine 10 mg/ml
注射用水 4837
対応
注射薬 Piperacillin sodium / tazobactam 200 mg/ml
注射薬 Caffeine citrate 20 mg/ml
注射用水 4837
対応
注射薬 Piperacillin sodium / tazobactam 40/5 mg/ml
注射薬 Calcium gluconate 40 mg/ml
グルコース5% 81
即時降水 非互換
注射薬 Piperacillin sodium / tazobactam 90 mg/ml
注射薬 Caspofungin acetate 0.5 mg/ml
NaCl 0,9% 2233
即時降水 非互換
注射薬 Piperacillin sodium / tazobactam 40/5 mg/ml
注射薬 Caspofungin acetate 0,7 mg/ml
NaCl 0,9% 2247
対応
注射薬 Piperacillin sodium / tazobactam 40/5 mg/ml
注射薬 Ceftolozane / tazobactam 10/5 mg/ml
グルコース5% 3828
対応
注射薬 Piperacillin sodium / tazobactam 40/5 mg/ml
注射薬 Cimetidine hydrochloride 12 mg/ml
グルコース5% 81
不特定の非互換性 非互換
注射薬 Piperacillin sodium / tazobactam
注射薬 Ciprofloxacin lactate
3529
4時間後の降水 非互換
注射薬 Piperacillin sodium / tazobactam 40/5 mg/ml
注射薬 Cisatracurium besylate 5 mg/ml
グルコース5% 299
対応
注射薬 Piperacillin sodium / tazobactam 225 mg/ml
注射薬 Cloxacillin sodium 100 mg/ml
注射用水 3012
サブビジュアルの非互換性 非互換
注射薬 Piperacillin sodium / tazobactam
注射薬 Daunorubicin/cytarabine liposomale
4354
対応
注射薬 Piperacillin sodium / tazobactam 40/5 mg/ml
注射薬 Dexamethasone sodium phosphate 1 mg/ml
グルコース5% 81
対応
注射薬 Piperacillin sodium / tazobactam 40/5 mg/ml
注射薬 Dexmedetomidine 4 µg/ml
NaCl 0,9% 1712
対応
注射薬 Piperacillin sodium / tazobactam
注射薬 Dimenhydrinate
2087
対応
注射薬 Piperacillin sodium / tazobactam 40/5 mg/ml
注射薬 Diphenhydramine hydrochloride 2 mg/ml
グルコース5% 81
対応
注射薬 Piperacillin sodium / tazobactam 40/5 mg/ml
注射薬 Dopamine hydrochloride 3.2 mg/ml
グルコース5% 81
濁度の喪失 非互換
注射薬 Piperacillin sodium / tazobactam 40/5 mg/ml
注射薬 Doxorubicin hydrochloride liposome peg 0.4 mg/ml
グルコース5% 251
対応
注射薬 Piperacillin sodium / tazobactam 40/5 mg/ml
注射薬 Enalaprilate 0.1 mg/ml
グルコース5% 81
対応
注射薬 Piperacillin sodium / tazobactam 40/5 mg/ml
注射薬 Eravacycline 0,6 mg/ml
NaCl 0,9% 4434
不特定の非互換性 非互換
注射薬 Piperacillin sodium / tazobactam
注射薬 Erythromycin lactobionate
3674
対応
注射薬 Piperacillin sodium / tazobactam 40/5 mg/ml
注射薬 Folinate calcium 2 mg/ml
グルコース5% 81
対応
注射薬 Piperacillin sodium / tazobactam 40/5 mg/ml
注射薬 Fosfomycin 30 mg/ml
グルコース5% 4055
対応
注射薬 Piperacillin sodium / tazobactam 40/5 mg/ml
注射薬 Furosemide 3 mg/ml
グルコース5% 81
対応
注射薬 Piperacillin sodium / tazobactam 40/5 mg/ml
注射薬 Gallium nitrate 0.4 mg/ml
グルコース5% 81
すぐに濁り 非互換
注射薬 Piperacillin sodium / tazobactam 40/5 mg/ml
注射薬 Gemcitabine hydrochloride 10 mg/ml
NaCl 0,9% 1423
不特定の非互換性 非互換
注射薬 Piperacillin sodium / tazobactam
注射薬 Gentamicin sulfate
3520
不特定の非互換性 非互換
注射薬 Piperacillin sodium / tazobactam
注射薬 Gentamicin sulfate
3643
対応
注射薬 Piperacillin sodium / tazobactam 0.5/0.0625 mg/ml
注射薬 Heparin sodium 0.5 UI/ml
Dianéal® 1.5% glucose (Baxter) 4180
対応
注射薬 Piperacillin sodium / tazobactam 0.5/0.0625 mg/ml
注射薬 Heparin sodium 0.5 UI/ml
Extraneal® (Baxter) 4180
対応
注射薬 Piperacillin sodium / tazobactam 1.38/0.1725 mg/ml
注射薬 Heparin sodium 1.4 UI/ml
Physionéal® 2.27 (Baxter) 4180
対応
注射薬 Piperacillin sodium / tazobactam 0.5/0.0625 mg/ml
注射薬 Heparin sodium 0.5 UI/ml
Dianéal® 4.25% glucose (Baxter) 4180
対応
注射薬 Piperacillin sodium / tazobactam 1.38/0.1725 mg/ml
注射薬 Heparin sodium 1.4 UI/ml
Physionéal® 3.86 (Baxter) 4180
対応
注射薬 Piperacillin sodium / tazobactam 1.38/0.1725 mg/ml
注射薬 Heparin sodium 1.4 UI/ml
Physionéal® 1.36 (Baxter) 4180
対応
注射薬 Piperacillin sodium / tazobactam 0.5/0.0625 mg/ml
注射薬 Heparin sodium 0.5 UI/ml
Dianéal® 2.5% glucose (Baxter) 4180
対応
注射薬 Piperacillin sodium / tazobactam 40/5 mg/ml
注射薬 Heparin sodium 100 UI/ml
グルコース5% 81
対応
注射薬 Piperacillin sodium / tazobactam 40/5 mg/ml
注射薬 Hetastarch 60 mg/ml
特定の溶媒 1721
対応
注射薬 Piperacillin sodium / tazobactam 40/5 mg/ml
注射薬 Hydrocortisone sodium succinate 1 mg/ml
グルコース5% 81
対応
注射薬 Piperacillin sodium / tazobactam 40/5 mg/ml
注射薬 Hydromorphone hydrochloride 0.5 mg/ml
グルコース5% 81
即時降水 非互換
注射薬 Piperacillin sodium / tazobactam 40/5 mg/ml
注射薬 Hydroxyzine dihydrochloride 4 mg/ml
グルコース5% 81
すぐに濁り 非互換
注射薬 Piperacillin sodium / tazobactam 40/5 mg/ml
注射薬 Idarubicin hydrochloride 0.5 mg/ml
グルコース5% 81
対応
注射薬 Piperacillin sodium / tazobactam 40/5 mg/ml
注射薬 Ifosfamide 25 mg/ml
グルコース5% 81
対応
注射薬 Piperacillin sodium / tazobactam 166/20.83 mg/ml
注射薬 Insulin 1 UI/ml
NaCl 0,9% 4254
対応
注射薬 Piperacillin sodium / tazobactam 45 mg/ml
注射薬 Insulin aspart 1 UI/ml
NaCl 0,9% 1508
対応
注射薬 Piperacillin sodium / tazobactam 45 mg/ml
注射薬 Insulin aspart 1 UI/ml
グルコース5% 1508
対応
注射薬 Piperacillin sodium / tazobactam 40/5 mg/ml
注射薬 Isavuconazonium sulfate 1.5 mg/ml
NaCl 0,9% 3829
対応
注射薬 Piperacillin sodium / tazobactam 40/5 mg/ml
注射薬 Lansoprazole 0.55 mg/ml
NaCl 0,9% 1625
対応
注射薬 Piperacillin sodium / tazobactam 166/20.83 mg/ml
注射薬 Levetiracetam 20.83 mg/ml
グルコース5% 4254
対応
注射薬 Piperacillin sodium / tazobactam 166/20.83 mg/ml
注射薬 Levetiracetam 20.83 mg/ml
NaCl 0,9% 4254
対応
注射薬 Piperacillin sodium / tazobactam 80 mg/ml
非経口的栄養(二元混合物) 3948
対応
注射薬 Piperacillin sodium / tazobactam 166/20.83 mg/ml
注射薬 Insulin 1 UI/ml
グルコース5% 4254
対応
注射薬 Piperacillin sodium / tazobactam 33,75 mg/ml
注射薬 Levetiracetam 5 mg/ml
NaCl 0,9% 4569
対応
注射薬 Piperacillin sodium / tazobactam 40/5 mg/ml
非経口的栄養(二元混合物) 301
すぐに濁り 非互換
注射薬 Piperacillin sodium / tazobactam 40/5 mg/ml
注射薬 Isavuconazonium sulfate 1.5 mg/ml
グルコース5% 3829
不特定の非互換性 非互換
注射薬 Piperacillin sodium / tazobactam
NaHCO3 3586
化学的不安定性 非互換
注射薬 Piperacillin sodium / tazobactam
注射薬 Kanamycin sulfate
3586
対応
注射薬 Piperacillin sodium / tazobactam 200 mg/ml
注射薬 Ketamine hydrochloride 50 mg/ml
2109
サブビジュアルの非互換性 非互換
注射薬 Piperacillin sodium / tazobactam 45 mg/ml
注射薬 Levetiracetam 5 mg/ml
NaCl 0,9% 4569
対応
注射薬 Piperacillin sodium / tazobactam 125 mg/ml
注射薬 Linezolid 2 mg/ml
4928
対応
注射薬 Piperacillin sodium / tazobactam 40/5 mg/ml
注射薬 Linezolid 2 mg/ml
なし 1925
対応
注射薬 Piperacillin sodium / tazobactam 40/5 mg/ml
注射薬 Lorazepam 0.1 mg/ml
グルコース5% 81
対応
注射薬 Piperacillin sodium / tazobactam 40/5 mg/ml
注射薬 Magnesium sulfate 100 mg/ml
グルコース5% 81
対応
注射薬 Piperacillin sodium / tazobactam 40/5 mg/ml
注射薬 Mannitol 150 mg/ml
グルコース5% 81
対応
注射薬 Piperacillin sodium / tazobactam 200 mg/ml
注射薬 Meropenem 50 mg/ml
注射用水 4319
対応
注射薬 Piperacillin sodium / tazobactam 40/5 mg/ml
注射薬 Mesna 10 mg/ml
グルコース5% 81
対応
注射薬 Piperacillin sodium / tazobactam 40/5 mg/ml
注射薬 Methotrexate sodium 15 mg/ml
グルコース5% 81
対応
注射薬 Piperacillin sodium / tazobactam 40/5 mg/ml
注射薬 Methylprednisolone sodium succinate 5 mg/ml
グルコース5% 81
対応
注射薬 Piperacillin sodium / tazobactam 40/5 mg/ml
注射薬 Metoclopramide hydrochloride 5 mg/ml
グルコース5% 81
対応
注射薬 Piperacillin sodium / tazobactam 40/5 mg/ml
注射薬 Metronidazole 5 mg/ml
グルコース5% 81
即時降水 非互換
注射薬 Piperacillin sodium / tazobactam 40/5 mg/ml
注射薬 Minocycline hydrochloride 1 mg/ml
グルコース5% 81
4時間後の色の変化 非互換
注射薬 Piperacillin sodium / tazobactam 40/5 mg/ml
注射薬 Mitomycin 0.5 mg/ml
グルコース5% 81
即時降水 非互換
注射薬 Piperacillin sodium / tazobactam 40/5 mg/ml
注射薬 Mitoxantrone dihydrochloride 0.5 mg/ml
グルコース5% 81
対応
注射薬 Piperacillin sodium / tazobactam 40/5 mg/ml
注射薬 Morphine sulfate 1 mg/ml
グルコース5% 81
対応
注射薬 Piperacillin sodium / tazobactam
注射薬 N-acetylcysteine 200 mg/ml
なし 3766
すぐに濁り 非互換
注射薬 Piperacillin sodium / tazobactam 40/5 mg/ml
注射薬 Nalbuphine hydrochloride 10 mg/ml
グルコース5% 81
対応
注射薬 Piperacillin sodium / tazobactam 200 mg/ml
注射薬 Naloxone hydrochloride 0.4 mg/ml
なし 3408
化学的不安定性 非互換
注射薬 Piperacillin sodium / tazobactam
注射薬 Netilmicin sulfate
3586
対応
注射薬 Piperacillin sodium / tazobactam 20/2,5 & 40/5 mg/ml
注射薬 Ondansetron hydrochloride 0,015 >> 0,15 mg/ml
NaCl 0,9% 16
対応
注射薬 Piperacillin sodium / tazobactam 40/5 mg/ml
注射薬 Ondansetron hydrochloride 0.1 mg/ml
グルコース5% 81
対応
注射薬 Piperacillin sodium / tazobactam 200/25 mg/ml
注射薬 Oxycodone hydrochloride 1 mg/ml
NaCl 0,9% 4842
1時間後の降水 非互換
注射薬 Piperacillin sodium / tazobactam
注射薬 Pantoprazole sodium
2090
対応
注射薬 Piperacillin sodium / tazobactam 100 mg/ml
注射薬 Paracetamol 10 mg/ml
なし 3571
対応
注射薬 Piperacillin sodium / tazobactam 100 mg/ml
注射薬 Paracetamol 10 mg/ml
4742
対応
注射薬 Piperacillin sodium / tazobactam 200 mg/ml
注射薬 Pentoxifyllin 5 mg/ml
NaCl 0,9% 4538
対応
注射薬 Piperacillin sodium / tazobactam 40/5 mg/ml
注射薬 Pethidine hydrochloride 4 mg/ml
グルコース5% 81
化学的不安定性 非互換
注射薬 Piperacillin sodium / tazobactam
注射薬 Plazomicin sulfate
3586
対応
注射薬 Piperacillin sodium / tazobactam 40/5 mg/ml
注射薬 Plazomicin sulfate 24 mg/ml
NaCl 0,9% 4145
即時降水 非互換
注射薬 Piperacillin sodium / tazobactam 160 mg/ml
注射薬 Posaconazole 1,2 mg/ml
NaCl 0,9% 4521
対応
注射薬 Piperacillin sodium / tazobactam 40/5 mg/ml
注射薬 Potassium chloride 100 mEq/l
グルコース5% 81
すぐに濁り 非互換
注射薬 Piperacillin sodium / tazobactam 40/5 mg/ml
注射薬 Prochlorperazine edysilate 0.5 mg/ml
グルコース5% 81
すぐに濁り 非互換
注射薬 Piperacillin sodium / tazobactam 40/5 mg/ml
注射薬 Promethazine hydrochloride 2 mg/ml
グルコース5% 81
対応
注射薬 Piperacillin sodium / tazobactam 40/5 mg/ml
注射薬 Ranitidine hydrochloride 2 mg/ml
グルコース5% 81
対応
注射薬 Piperacillin sodium / tazobactam 40/5 mg/ml
注射薬 Remifentanil hydrochloride 25 & 250 µg/ml
NaCl 0,9% 59
即時降水 非互換
注射薬 Piperacillin sodium / tazobactam 200 mg/ml
注射薬 Salbutamol sulfate 1 mg/ml
なし 3216
対応
注射薬 Piperacillin sodium / tazobactam 40/5 mg/ml
注射薬 Sargramostim 10 µg/ml
グルコース5% 81
対応
注射薬 Piperacillin sodium / tazobactam 200 mg/ml
注射薬 Sildenafil citrate 0,6 mg/ml
グルコース5% 4845
不特定の非互換性 非互換
注射薬 Piperacillin sodium / tazobactam
注射薬 Sodium bicarbonate
3586
対応
注射薬 Piperacillin sodium / tazobactam 40/5 mg/ml
注射薬 Sodium bicarbonate 84 mg/ml
グルコース5% 81
化学的不安定性 非互換
注射薬 Piperacillin sodium / tazobactam
注射薬 Streptomycin sulfate
3586
1時間後の降水 非互換
注射薬 Piperacillin sodium / tazobactam 40/5 mg/ml
注射薬 Streptozocin 40 mg/ml
グルコース5% 81
対応
注射薬 Piperacillin sodium / tazobactam 40/5 mg/ml
注射薬 Sulbactam/durlobactam 15/15 mg/ml
NaCl 0,9% 4801
対応
注射薬 Piperacillin sodium / tazobactam 40/5 mg/ml
注射薬 Tedizolid phosphate 0.8 mg/ml
NaCl 0,9% 3827
対応
注射薬 Piperacillin sodium / tazobactam 40/5 mg/ml
注射薬 Telavancin hydrochloride 7.5 mg/ml
グルコース5% 3254
対応
注射薬 Piperacillin sodium / tazobactam 40/5 mg/ml
注射薬 Telavancin hydrochloride 7.5 mg/ml
NaCl 0,9% 3254
対応
注射薬 Piperacillin sodium / tazobactam 40/5 mg/ml
注射薬 Telavancin hydrochloride 7.5 mg/ml
乳酸リンゲル 3254
化学的不安定性 非互換
注射薬 Piperacillin sodium / tazobactam 200 mg/ml
注射薬 Temocilline 83.33 mg/ml
注射用水 2231
不特定の非互換性 非互換
注射薬 Piperacillin sodium / tazobactam
注射薬 Temocilline
4470
対応
注射薬 Piperacillin sodium / tazobactam 166/20.83 mg/ml
注射薬 Thiamine hydrochloride 0.4 mg/ml
グルコース5% 4254
即時降水 非互換
注射薬 Piperacillin sodium / tazobactam 200 mg/ml
注射薬 Thiopental sodium 25 mg/ml
NaCl 0,9% 3767
対応
注射薬 Piperacillin sodium / tazobactam 40/5 mg/ml
注射薬 Thiotepa 1 mg/ml
グルコース5% 81
対応
注射薬 Piperacillin sodium / tazobactam
注射薬 Tigecycline
NaCl 0,9% 3332
化学的不安定性 非互換
注射薬 Piperacillin sodium / tazobactam
注射薬 Tobramycin sulfate
3586
即時降水 非互換
注射薬 Piperacillin sodium / tazobactam 112,5 mg/ml
注射薬 Vancomycin hydrochloride 10 mg/ml
グルコース5% 3428
対応
注射薬 Piperacillin sodium / tazobactam
グルコース5% 3586
対応
注射薬 Piperacillin sodium / tazobactam
NaCl 0,9% 5069
即時降水 非互換
注射薬 Piperacillin sodium / tazobactam 100/12,5 mg/ml
注射薬 Vancomycin hydrochloride 10 mg/ml
3365
即時降水 非互換
注射薬 Piperacillin sodium / tazobactam 40 >> 100 mg/ml
注射薬 Vancomycin hydrochloride 10 mg/ml
NaCl 0,9% 2475
即時降水 非互換
注射薬 Piperacillin sodium / tazobactam
注射薬 Vancomycin hydrochloride >8 mg/ml
NaCl 0,9% 3841
対応
注射薬 Piperacillin sodium / tazobactam 16 >> 100 mg/ml
注射薬 Vancomycin hydrochloride 2 mg/ml
NaCl 0,9% 2475
対応
注射薬 Piperacillin sodium / tazobactam 16 >> 100 mg/ml
注射薬 Vancomycin hydrochloride 5 mg/ml
NaCl 0,9% 2475
対応
注射薬 Piperacillin sodium / tazobactam 16 >> 30 mg/ml
注射薬 Vancomycin hydrochloride 10 mg/ml
NaCl 0,9% 2475
対応
注射薬 Piperacillin sodium / tazobactam 30/3,75 mg/ml
注射薬 Vancomycin hydrochloride 4 mg/ml
NaCl 0,9% 3421
対応
注射薬 Piperacillin sodium / tazobactam 40/5 mg/ml
注射薬 Vancomycin hydrochloride 4 mg/ml
NaCl 0,9% 3421
対応
注射薬 Piperacillin sodium / tazobactam 33.75 >> 90 mg/ml
注射薬 Vancomycin hydrochloride 4 >> 7 mg/ml
NaCl 0,9% 3841
即時降水 非互換
注射薬 Piperacillin sodium / tazobactam 80 & 90 mg/ml
注射薬 Vancomycin hydrochloride 8 mg/ml
NaCl 0,9% 3841
対応
注射薬 Piperacillin sodium / tazobactam 33.75 >> 67.5 mg/ml
注射薬 Vancomycin hydrochloride 8 mg/ml
NaCl 0,9% 3841
すぐに濁り 非互換
注射薬 Piperacillin sodium / tazobactam 40/5 mg/ml
注射薬 Vancomycin hydrochloride 10 mg/ml
グルコース5% 81
不特定の非互換性 非互換
注射薬 Piperacillin sodium / tazobactam 200 mg/ml
注射薬 Vancomycin hydrochloride 10 mg/ml
グルコース5% 3385
即時降水 非互換
注射薬 Piperacillin sodium / tazobactam 10/1.25 >> 200/25 mg/ml
注射薬 Vancomycin hydrochloride 20 mg/ml
グルコース5% 1674
即時降水 非互換
注射薬 Piperacillin sodium / tazobactam 80 >> 100 mg/ml
注射薬 Vancomycin hydrochloride 4 mg/ml
グルコース5% 2475
即時降水 非互換
注射薬 Piperacillin sodium / tazobactam 16 >> 100 mg/ml
注射薬 Vancomycin hydrochloride 8 mg/ml
グルコース5% 2475
即時降水 非互換
注射薬 Piperacillin sodium / tazobactam 28 mg/ml
注射薬 Vancomycin hydrochloride 10 & 15 mg/ml
グルコース5% 3984
即時降水 非互換
注射薬 Piperacillin sodium / tazobactam 67,5 mg/ml
注射薬 Vancomycin hydrochloride 5 mg/ml
グルコース5% 3960
対応
注射薬 Piperacillin sodium / tazobactam 16 >> 40 mg/ml
注射薬 Vancomycin hydrochloride 4 mg/ml
グルコース5% 2475
対応
注射薬 Piperacillin sodium / tazobactam 28 mg/ml
注射薬 Vancomycin hydrochloride 5 mg/ml
グルコース5% 3984
対応
注射薬 Piperacillin sodium / tazobactam 1/0.125 >> 200/25 mg/ml
注射薬 Vancomycin hydrochloride 2 mg/ml
グルコース5% 1674
対応
注射薬 Piperacillin sodium / tazobactam 1/0.125 mg/ml
注射薬 Vancomycin hydrochloride 20 mg/ml
グルコース5% 1674
対応
注射薬 Piperacillin sodium / tazobactam 112.5 mg/ml
注射薬 Vasopressin 0.2 UI/ml
NaCl 0,9% 2017
対応
注射薬 Piperacillin sodium / tazobactam 40/5 mg/ml
注射薬 Vinblastine sulfate 0.12 mg/ml
グルコース5% 81
対応
注射薬 Piperacillin sodium / tazobactam 40/5 mg/ml
注射薬 Vincristine sulfate 0.05 mg/ml
グルコース5% 81
対応
注射薬 Piperacillin sodium / tazobactam 40/5 mg/ml
注射薬 Zidovudine 4 mg/ml
グルコース5% 81
対応
注射薬 Piperacillin sodium / tazobactam 40/5 mg/ml
Normosol® 4655

  Mentions Légales