Poslední aktualizace :
27/04/2026
Antibiotikum   Piperacillin sodium / tazobactam  
injekce
Stabilita roztoků Stabilita směsí Faktory ovlivňující stabilitu Kompatibilita Způsoby aplikace Odkazy pdf
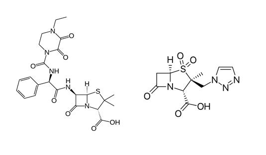
   Chemický vzorec  

Obchodní název   Obchodní název     

Trade names are indicative and excipients composition can be different depending on the country and manufacturers

Bagotaz Argentina
Betampil Ekvádor
Bioval Chile
Petezam Argentina
Piperac NÏmecko
Piperacillin tazobactam Belgie, Kanada, NÏmecko
Piperazam BrazÌlie
Pipetazo Chile
Pipitaz Rakousko
Pixamol Kolumbie
Tazobac Ekvádor, Itálie, Portugalsko, Švýcarsko
Tazocel äpanÏlsko
Tazocilline Francie
Tazocin Argentina, Austrálie, BrazÌlie, Chorvatsko, Dánsko, Egypt, Finsko, Itálie, Jihoafrická republika, Kolumbie, Lucembursko, MaÔarsko, Mexiko, Nizozemsko, Norsko, nový Zéland, Peru, Polsko, Severní Irsko, Spojené arabské emiráty, Švédsko, Turecko, Velká Británie, ÿecko
Tazonam Chile, Rakousko
Tazopip Austrálie
Tazpen Kolumbie, Mexiko
Tazrobida Kolumbie
Tigux Chile
Tratac Chile
Trital Ekvádor
Zosyn Japonsko, USA
Kompatibilita   injekce   Kompatibilita : Piperacillin sodium / tazobactam              
Tato obrazovka ukazuje kompatibilitu nebo nekompatibilitu s, v tomto případě, typem nekompatibility (srážení, změna barvy, modifikace emulze atd.). Zde uvedené kompatibility jsou většinou pouze fyzikální, přičemž chemická stabilita každé molekuly je zřídka hodnocena. Hodnocení těchto směsí bylo studováno, aby se zvážila možnost podání Y-místa pacientovi. Tyto údaje nelze použít k přípravě směsí předem v pytlích nebo stříkačkách. Tento typ informací je k dispozici na obrazovce „Stabilita ve směsi“.
SlouËenina RozpouötÏdlo Odkazy
Srážky po 1 hodině Nekompatibilní
injekce Piperacillin sodium / tazobactam 40/5 mg/ml
injekce Aciclovir sodium 7 mg/ml
GlukÛza 5% 81
Kompatibilní
injekce Piperacillin sodium / tazobactam 40/5 mg/ml
Parenterální výživa (lipidy) 1415
Kompatibilní
injekce Piperacillin sodium / tazobactam 200 mg/ml
RingerŐs laktátový roztok 4603
Kompatibilní
injekce Piperacillin sodium / tazobactam 80 mg/ml
Parenterální výživa (lipidy) 3948
Chemická nestabilita Nekompatibilní
injekce Piperacillin sodium / tazobactam
injekce Amikacin sulfate
3586
Kompatibilní
injekce Piperacillin sodium / tazobactam 200 mg/ml
Parenterální výživa (lipidy) 4924
Zákal za 24 hodiny Nekompatibilní
injekce Piperacillin sodium / tazobactam 60 mg/ml
injekce Amiodarone hydrochloride 6 mg/ml
GlukÛza 5% 1611
Okamžité srážení Nekompatibilní
injekce Piperacillin sodium / tazobactam 40/5 mg/ml
injekce Amphotericin B 0.6 mg/ml
GlukÛza 5% 81
Okamžité srážení Nekompatibilní
injekce Piperacillin sodium / tazobactam 40/5 mg/ml
injekce Amphotericin B cholesteryl sulfate complex 0.83 mg/ml
GlukÛza 5% 921
Kompatibilní
injekce Piperacillin sodium / tazobactam 40/5 mg/ml
injekce Anidulafungin 0.5 mg/ml
GlukÛza 5% 1982
Kompatibilní
injekce Piperacillin sodium / tazobactam 40/5 mg/ml
injekce Aztreonam 40 mg/ml
GlukÛza 5% 81
Kompatibilní
injekce Piperacillin sodium / tazobactam 40/5 mg/ml
injekce Bivalirudin 5 mg/ml
GlukÛza 5% 1713
Kompatibilní
injekce Piperacillin sodium / tazobactam 40/5 mg/ml
injekce Bleomycin sulfate 1 mg/ml
GlukÛza 5% 81
Kompatibilní
injekce Piperacillin sodium / tazobactam 200 mg/ml
injekce Caffeine 10 mg/ml
Žádné 3964
Kompatibilní
injekce Piperacillin sodium / tazobactam 40/5 mg/ml
injekce Carboplatin 5 mg/ml
GlukÛza 5% 81
Kompatibilní
injekce Piperacillin sodium / tazobactam 40/5 mg/ml
injekce Carmustine 1.5 mg/ml
GlukÛza 5% 81
Kompatibilní
injekce Piperacillin sodium / tazobactam 40/5 mg/ml
injekce Ceftolozane / tazobactam 10/5 mg/ml
Chlorid sodný 0,9% 3828
Okamžitá zákal Nekompatibilní
injekce Piperacillin sodium / tazobactam 40/5 mg/ml
injekce Chlorpromazine hydrochloride 2 mg/ml
GlukÛza 5% 81
Kompatibilní
injekce Piperacillin sodium / tazobactam 40/5 mg/ml
injekce Cisatracurium besylate 0.1 & 2 mg/ml
GlukÛza 5% 299
Srážky po 1 hodině Nekompatibilní
injekce Piperacillin sodium / tazobactam 40/5 mg/ml
injekce Cisplatin 1 mg/ml
GlukÛza 5% 81
Kompatibilní
injekce Piperacillin sodium / tazobactam 40/5 mg/ml
injekce Clindamycin phosphate 10 mg/ml
GlukÛza 5% 81
Kompatibilní
injekce Piperacillin sodium / tazobactam 40/5 mg/ml
injekce Co-trimoxazole 0.8/4 mg/ml
GlukÛza 5% 81
Kompatibilní
injekce Piperacillin sodium / tazobactam 40/0.5 mg/ml
injekce Colistin mesilate sodium 1.5 mg/ml
Chlorid sodný 0,9% 3997
Kompatibilní
injekce Piperacillin sodium / tazobactam 40/5 mg/ml
injekce Cyclophosphamide 10 mg/ml
GlukÛza 5% 81
Kompatibilní
injekce Piperacillin sodium / tazobactam 40/5 mg/ml
injekce Cytarabine 50 mg/ml
GlukÛza 5% 81
Okamžité srážení Nekompatibilní
injekce Piperacillin sodium / tazobactam 40/5 mg/ml
injekce Dacarbazine 4 mg/ml
GlukÛza 5% 81
Okamžitá zákal Nekompatibilní
injekce Piperacillin sodium / tazobactam 40/5 mg/ml
injekce Daunorubicin hydrochloride 1 mg/ml
GlukÛza 5% 81
Okamžitá zákal Nekompatibilní
injekce Piperacillin sodium / tazobactam
injekce Daunorubicin/cytarabine liposomale 0,4 mg/mL
Chlorid sodný 0,9% 4654
Okamžitá zákal Nekompatibilní
injekce Piperacillin sodium / tazobactam 40/5 mg/ml
injekce Dobutamine hydrochloride 4 mg/ml
GlukÛza 5% 81
Kompatibilní
injekce Piperacillin sodium / tazobactam 40/5 mg/ml
injekce Docetaxel 0.9 mg/ml
GlukÛza 5% 1754
Okamžitá zákal Nekompatibilní
injekce Piperacillin sodium / tazobactam 40/5 mg/ml
injekce Doxorubicin hydrochloride 2 mg/ml
GlukÛza 5% 81
Okamžitá zákal Nekompatibilní
injekce Piperacillin sodium / tazobactam 40/5 mg/ml
injekce Doxycycline hyclate 1 mg/ml
GlukÛza 5% 81
Okamžité srážení Nekompatibilní
injekce Piperacillin sodium / tazobactam 40/5 mg/ml
injekce Droperidol 0.4 mg/ml
GlukÛza 5% 81
Kompatibilní
injekce Piperacillin sodium / tazobactam 40/5 mg/ml
injekce Etoposide 0.4 mg/ml
GlukÛza 5% 81
Kompatibilní
injekce Piperacillin sodium / tazobactam 40/5 mg/ml
injekce Etoposide phosphate 5 mg/ml
Chlorid sodný 0,9% 1410
Okamžité srážení Nekompatibilní
injekce Piperacillin sodium / tazobactam 40/5 mg/ml
injekce Famotidine 2 mg/ml
GlukÛza 5% 81
Kompatibilní
injekce Piperacillin sodium / tazobactam 40/5 mg/ml
injekce Fenoldopam mesylate 80 µg/ml
Chlorid sodný 0,9% 1803
Kompatibilní
injekce Piperacillin sodium / tazobactam 40/5 mg/ml
injekce Floxuridine 3 mg/ml
GlukÛza 5% 81
Kompatibilní
injekce Piperacillin sodium / tazobactam 40/5 mg/ml
injekce Fluconazole 2 mg/ml
GlukÛza 5% 81
Kompatibilní
injekce Piperacillin sodium / tazobactam 40/5 mg/ml
injekce Fludarabine phosphate 1 mg/ml
GlukÛza 5% 81
Kompatibilní
injekce Piperacillin sodium / tazobactam 40/5 mg/ml
injekce Fluorouracil 16 mg/ml
GlukÛza 5% 81
Kompatibilní
injekce Piperacillin sodium / tazobactam 40/5 mg/ml
injekce Fosfomycin 30 mg/ml
Chlorid sodný 0,9% 4055
Srážky po 1 hodině Nekompatibilní
injekce Piperacillin sodium / tazobactam 40/5 mg/ml
injekce Ganciclovir sodium 20 mg/ml
GlukÛza 5% 81
Chemická nestabilita Nekompatibilní
injekce Piperacillin sodium / tazobactam
injekce Gentamicin sulfate
3586
Kompatibilní
injekce Piperacillin sodium / tazobactam 40/5 mg/ml
injekce Granisetron hydrochloride 0.05 mg/ml
GlukÛza 5% 182
Okamžité srážení Nekompatibilní
injekce Piperacillin sodium / tazobactam 40/5 mg/ml
injekce Haloperidol lactate 0.2 mg/ml
GlukÛza 5% 81
Nespecifikovaná nekompatibilita Nekompatibilní
injekce Piperacillin sodium / tazobactam
RingerŐs laktátový roztok 3586
Nespecifikovaná nekompatibilita Nekompatibilní
injekce Piperacillin sodium / tazobactam
injekce Aciclovir sodium
3595
Chemická nestabilita Nekompatibilní
injekce Piperacillin sodium / tazobactam
injekce Amikacin sulfate
3549
Kompatibilní
injekce Piperacillin sodium / tazobactam 40/5 mg/ml
injekce Aminophylline 2.5 mg/ml
GlukÛza 5% 81
Kompatibilní
injekce Piperacillin sodium / tazobactam 100 mg/ml
injekce Amoxicillin sodium / clavulanic acid 100/10 mg/ml
3824
Okamžité srážení Nekompatibilní
injekce Piperacillin sodium / tazobactam 112.5 mg/ml
injekce Azithromycine 2 mg/ml
Chlorid sodný 0,9% 1800
Kompatibilní
injekce Piperacillin sodium / tazobactam 40/5 mg/ml
injekce Bumetanide 0.04 mg/ml
GlukÛza 5% 81
Kompatibilní
injekce Piperacillin sodium / tazobactam 40/5 mg/ml
injekce Buprenorphine hydrochloride 0.04 mg/ml
GlukÛza 5% 81
Kompatibilní
injekce Piperacillin sodium / tazobactam 40/5 mg/ml
injekce Butorphanol tartrate 0.04 mg/ml
GlukÛza 5% 81
Kompatibilní
injekce Piperacillin sodium / tazobactam 200 mg/ml
injekce Caffeine 10 mg/ml
Voda pro injekci 4837
Kompatibilní
injekce Piperacillin sodium / tazobactam 200 mg/ml
injekce Caffeine citrate 20 mg/ml
Voda pro injekci 4837
Kompatibilní
injekce Piperacillin sodium / tazobactam 40/5 mg/ml
injekce Calcium gluconate 40 mg/ml
GlukÛza 5% 81
Okamžité srážení Nekompatibilní
injekce Piperacillin sodium / tazobactam 90 mg/ml
injekce Caspofungin acetate 0.5 mg/ml
Chlorid sodný 0,9% 2233
Okamžité srážení Nekompatibilní
injekce Piperacillin sodium / tazobactam 40/5 mg/ml
injekce Caspofungin acetate 0,7 mg/ml
Chlorid sodný 0,9% 2247
Kompatibilní
injekce Piperacillin sodium / tazobactam 40/5 mg/ml
injekce Ceftolozane / tazobactam 10/5 mg/ml
GlukÛza 5% 3828
Kompatibilní
injekce Piperacillin sodium / tazobactam 40/5 mg/ml
injekce Cimetidine hydrochloride 12 mg/ml
GlukÛza 5% 81
Nespecifikovaná nekompatibilita Nekompatibilní
injekce Piperacillin sodium / tazobactam
injekce Ciprofloxacin lactate
3529
Srážky po 4 hodinách Nekompatibilní
injekce Piperacillin sodium / tazobactam 40/5 mg/ml
injekce Cisatracurium besylate 5 mg/ml
GlukÛza 5% 299
Kompatibilní
injekce Piperacillin sodium / tazobactam 225 mg/ml
injekce Cloxacillin sodium 100 mg/ml
Voda pro injekci 3012
Subvisuální nekompatibilita Nekompatibilní
injekce Piperacillin sodium / tazobactam
injekce Daunorubicin/cytarabine liposomale
4354
Kompatibilní
injekce Piperacillin sodium / tazobactam 40/5 mg/ml
injekce Dexamethasone sodium phosphate 1 mg/ml
GlukÛza 5% 81
Kompatibilní
injekce Piperacillin sodium / tazobactam 40/5 mg/ml
injekce Dexmedetomidine 4 µg/ml
Chlorid sodný 0,9% 1712
Kompatibilní
injekce Piperacillin sodium / tazobactam
injekce Dimenhydrinate
2087
Kompatibilní
injekce Piperacillin sodium / tazobactam 40/5 mg/ml
injekce Diphenhydramine hydrochloride 2 mg/ml
GlukÛza 5% 81
Kompatibilní
injekce Piperacillin sodium / tazobactam 40/5 mg/ml
injekce Dopamine hydrochloride 3.2 mg/ml
GlukÛza 5% 81
Ztráta zákalu Nekompatibilní
injekce Piperacillin sodium / tazobactam 40/5 mg/ml
injekce Doxorubicin hydrochloride liposome peg 0.4 mg/ml
GlukÛza 5% 251
Kompatibilní
injekce Piperacillin sodium / tazobactam 40/5 mg/ml
injekce Enalaprilate 0.1 mg/ml
GlukÛza 5% 81
Kompatibilní
injekce Piperacillin sodium / tazobactam 40/5 mg/ml
injekce Eravacycline 0,6 mg/ml
Chlorid sodný 0,9% 4434
Nespecifikovaná nekompatibilita Nekompatibilní
injekce Piperacillin sodium / tazobactam
injekce Erythromycin lactobionate
3674
Kompatibilní
injekce Piperacillin sodium / tazobactam 40/5 mg/ml
injekce Folinate calcium 2 mg/ml
GlukÛza 5% 81
Kompatibilní
injekce Piperacillin sodium / tazobactam 40/5 mg/ml
injekce Fosfomycin 30 mg/ml
GlukÛza 5% 4055
Kompatibilní
injekce Piperacillin sodium / tazobactam 40/5 mg/ml
injekce Furosemide 3 mg/ml
GlukÛza 5% 81
Kompatibilní
injekce Piperacillin sodium / tazobactam 40/5 mg/ml
injekce Gallium nitrate 0.4 mg/ml
GlukÛza 5% 81
Okamžitá zákal Nekompatibilní
injekce Piperacillin sodium / tazobactam 40/5 mg/ml
injekce Gemcitabine hydrochloride 10 mg/ml
Chlorid sodný 0,9% 1423
Nespecifikovaná nekompatibilita Nekompatibilní
injekce Piperacillin sodium / tazobactam
injekce Gentamicin sulfate
3520
Nespecifikovaná nekompatibilita Nekompatibilní
injekce Piperacillin sodium / tazobactam
injekce Gentamicin sulfate
3643
Kompatibilní
injekce Piperacillin sodium / tazobactam 0.5/0.0625 mg/ml
injekce Heparin sodium 0.5 UI/ml
Dianéal® 1.5% glucose (Baxter) 4180
Kompatibilní
injekce Piperacillin sodium / tazobactam 0.5/0.0625 mg/ml
injekce Heparin sodium 0.5 UI/ml
Extraneal® (Baxter) 4180
Kompatibilní
injekce Piperacillin sodium / tazobactam 1.38/0.1725 mg/ml
injekce Heparin sodium 1.4 UI/ml
Physionéal® 2.27 (Baxter) 4180
Kompatibilní
injekce Piperacillin sodium / tazobactam 0.5/0.0625 mg/ml
injekce Heparin sodium 0.5 UI/ml
Dianéal® 4.25% glucose (Baxter) 4180
Kompatibilní
injekce Piperacillin sodium / tazobactam 1.38/0.1725 mg/ml
injekce Heparin sodium 1.4 UI/ml
Physionéal® 3.86 (Baxter) 4180
Kompatibilní
injekce Piperacillin sodium / tazobactam 1.38/0.1725 mg/ml
injekce Heparin sodium 1.4 UI/ml
Physionéal® 1.36 (Baxter) 4180
Kompatibilní
injekce Piperacillin sodium / tazobactam 0.5/0.0625 mg/ml
injekce Heparin sodium 0.5 UI/ml
Dianéal® 2.5% glucose (Baxter) 4180
Kompatibilní
injekce Piperacillin sodium / tazobactam 40/5 mg/ml
injekce Heparin sodium 100 UI/ml
GlukÛza 5% 81
Kompatibilní
injekce Piperacillin sodium / tazobactam 40/5 mg/ml
injekce Hetastarch 60 mg/ml
Zvláštní rozpouštědla 1721
Kompatibilní
injekce Piperacillin sodium / tazobactam 40/5 mg/ml
injekce Hydrocortisone sodium succinate 1 mg/ml
GlukÛza 5% 81
Kompatibilní
injekce Piperacillin sodium / tazobactam 40/5 mg/ml
injekce Hydromorphone hydrochloride 0.5 mg/ml
GlukÛza 5% 81
Okamžité srážení Nekompatibilní
injekce Piperacillin sodium / tazobactam 40/5 mg/ml
injekce Hydroxyzine dihydrochloride 4 mg/ml
GlukÛza 5% 81
Okamžitá zákal Nekompatibilní
injekce Piperacillin sodium / tazobactam 40/5 mg/ml
injekce Idarubicin hydrochloride 0.5 mg/ml
GlukÛza 5% 81
Kompatibilní
injekce Piperacillin sodium / tazobactam 40/5 mg/ml
injekce Ifosfamide 25 mg/ml
GlukÛza 5% 81
Kompatibilní
injekce Piperacillin sodium / tazobactam 166/20.83 mg/ml
injekce Insulin 1 UI/ml
Chlorid sodný 0,9% 4254
Kompatibilní
injekce Piperacillin sodium / tazobactam 45 mg/ml
injekce Insulin aspart 1 UI/ml
Chlorid sodný 0,9% 1508
Kompatibilní
injekce Piperacillin sodium / tazobactam 45 mg/ml
injekce Insulin aspart 1 UI/ml
GlukÛza 5% 1508
Kompatibilní
injekce Piperacillin sodium / tazobactam 40/5 mg/ml
injekce Isavuconazonium sulfate 1.5 mg/ml
Chlorid sodný 0,9% 3829
Kompatibilní
injekce Piperacillin sodium / tazobactam 40/5 mg/ml
injekce Lansoprazole 0.55 mg/ml
Chlorid sodný 0,9% 1625
Kompatibilní
injekce Piperacillin sodium / tazobactam 166/20.83 mg/ml
injekce Levetiracetam 20.83 mg/ml
GlukÛza 5% 4254
Kompatibilní
injekce Piperacillin sodium / tazobactam 166/20.83 mg/ml
injekce Levetiracetam 20.83 mg/ml
Chlorid sodný 0,9% 4254
Kompatibilní
injekce Piperacillin sodium / tazobactam 80 mg/ml
Parenterální výživa (binární směs) 3948
Kompatibilní
injekce Piperacillin sodium / tazobactam 166/20.83 mg/ml
injekce Insulin 1 UI/ml
GlukÛza 5% 4254
Kompatibilní
injekce Piperacillin sodium / tazobactam 33,75 mg/ml
injekce Levetiracetam 5 mg/ml
Chlorid sodný 0,9% 4569
Kompatibilní
injekce Piperacillin sodium / tazobactam 40/5 mg/ml
Parenterální výživa (binární směs) 301
Okamžitá zákal Nekompatibilní
injekce Piperacillin sodium / tazobactam 40/5 mg/ml
injekce Isavuconazonium sulfate 1.5 mg/ml
GlukÛza 5% 3829
Nespecifikovaná nekompatibilita Nekompatibilní
injekce Piperacillin sodium / tazobactam
NaHCO3 3586
Chemická nestabilita Nekompatibilní
injekce Piperacillin sodium / tazobactam
injekce Kanamycin sulfate
3586
Kompatibilní
injekce Piperacillin sodium / tazobactam 200 mg/ml
injekce Ketamine hydrochloride 50 mg/ml
2109
Subvisuální nekompatibilita Nekompatibilní
injekce Piperacillin sodium / tazobactam 45 mg/ml
injekce Levetiracetam 5 mg/ml
Chlorid sodný 0,9% 4569
Kompatibilní
injekce Piperacillin sodium / tazobactam 125 mg/ml
injekce Linezolid 2 mg/ml
4928
Kompatibilní
injekce Piperacillin sodium / tazobactam 40/5 mg/ml
injekce Linezolid 2 mg/ml
Žádné 1925
Kompatibilní
injekce Piperacillin sodium / tazobactam 40/5 mg/ml
injekce Lorazepam 0.1 mg/ml
GlukÛza 5% 81
Kompatibilní
injekce Piperacillin sodium / tazobactam 40/5 mg/ml
injekce Magnesium sulfate 100 mg/ml
GlukÛza 5% 81
Kompatibilní
injekce Piperacillin sodium / tazobactam 40/5 mg/ml
injekce Mannitol 150 mg/ml
GlukÛza 5% 81
Kompatibilní
injekce Piperacillin sodium / tazobactam 200 mg/ml
injekce Meropenem 50 mg/ml
Voda pro injekci 4319
Kompatibilní
injekce Piperacillin sodium / tazobactam 40/5 mg/ml
injekce Mesna 10 mg/ml
GlukÛza 5% 81
Kompatibilní
injekce Piperacillin sodium / tazobactam 40/5 mg/ml
injekce Methotrexate sodium 15 mg/ml
GlukÛza 5% 81
Kompatibilní
injekce Piperacillin sodium / tazobactam 40/5 mg/ml
injekce Methylprednisolone sodium succinate 5 mg/ml
GlukÛza 5% 81
Kompatibilní
injekce Piperacillin sodium / tazobactam 40/5 mg/ml
injekce Metoclopramide hydrochloride 5 mg/ml
GlukÛza 5% 81
Kompatibilní
injekce Piperacillin sodium / tazobactam 40/5 mg/ml
injekce Metronidazole 5 mg/ml
GlukÛza 5% 81
Okamžité srážení Nekompatibilní
injekce Piperacillin sodium / tazobactam 40/5 mg/ml
injekce Minocycline hydrochloride 1 mg/ml
GlukÛza 5% 81
Změna barvy po 4 hodinách Nekompatibilní
injekce Piperacillin sodium / tazobactam 40/5 mg/ml
injekce Mitomycin 0.5 mg/ml
GlukÛza 5% 81
Okamžité srážení Nekompatibilní
injekce Piperacillin sodium / tazobactam 40/5 mg/ml
injekce Mitoxantrone dihydrochloride 0.5 mg/ml
GlukÛza 5% 81
Kompatibilní
injekce Piperacillin sodium / tazobactam 40/5 mg/ml
injekce Morphine sulfate 1 mg/ml
GlukÛza 5% 81
Kompatibilní
injekce Piperacillin sodium / tazobactam
injekce N-acetylcysteine 200 mg/ml
Žádné 3766
Okamžitá zákal Nekompatibilní
injekce Piperacillin sodium / tazobactam 40/5 mg/ml
injekce Nalbuphine hydrochloride 10 mg/ml
GlukÛza 5% 81
Kompatibilní
injekce Piperacillin sodium / tazobactam 200 mg/ml
injekce Naloxone hydrochloride 0.4 mg/ml
Žádné 3408
Chemická nestabilita Nekompatibilní
injekce Piperacillin sodium / tazobactam
injekce Netilmicin sulfate
3586
Kompatibilní
injekce Piperacillin sodium / tazobactam 20/2,5 & 40/5 mg/ml
injekce Ondansetron hydrochloride 0,015 >> 0,15 mg/ml
Chlorid sodný 0,9% 16
Kompatibilní
injekce Piperacillin sodium / tazobactam 40/5 mg/ml
injekce Ondansetron hydrochloride 0.1 mg/ml
GlukÛza 5% 81
Kompatibilní
injekce Piperacillin sodium / tazobactam 200/25 mg/ml
injekce Oxycodone hydrochloride 1 mg/ml
Chlorid sodný 0,9% 4842
Srážky po 1 hodině Nekompatibilní
injekce Piperacillin sodium / tazobactam
injekce Pantoprazole sodium
2090
Kompatibilní
injekce Piperacillin sodium / tazobactam 100 mg/ml
injekce Paracetamol 10 mg/ml
Žádné 3571
Kompatibilní
injekce Piperacillin sodium / tazobactam 100 mg/ml
injekce Paracetamol 10 mg/ml
4742
Kompatibilní
injekce Piperacillin sodium / tazobactam 200 mg/ml
injekce Pentoxifyllin 5 mg/ml
Chlorid sodný 0,9% 4538
Kompatibilní
injekce Piperacillin sodium / tazobactam 40/5 mg/ml
injekce Pethidine hydrochloride 4 mg/ml
GlukÛza 5% 81
Chemická nestabilita Nekompatibilní
injekce Piperacillin sodium / tazobactam
injekce Plazomicin sulfate
3586
Kompatibilní
injekce Piperacillin sodium / tazobactam 40/5 mg/ml
injekce Plazomicin sulfate 24 mg/ml
Chlorid sodný 0,9% 4145
Okamžité srážení Nekompatibilní
injekce Piperacillin sodium / tazobactam 160 mg/ml
injekce Posaconazole 1,2 mg/ml
Chlorid sodný 0,9% 4521
Kompatibilní
injekce Piperacillin sodium / tazobactam 40/5 mg/ml
injekce Potassium chloride 100 mEq/l
GlukÛza 5% 81
Okamžitá zákal Nekompatibilní
injekce Piperacillin sodium / tazobactam 40/5 mg/ml
injekce Prochlorperazine edysilate 0.5 mg/ml
GlukÛza 5% 81
Okamžitá zákal Nekompatibilní
injekce Piperacillin sodium / tazobactam 40/5 mg/ml
injekce Promethazine hydrochloride 2 mg/ml
GlukÛza 5% 81
Kompatibilní
injekce Piperacillin sodium / tazobactam 40/5 mg/ml
injekce Ranitidine hydrochloride 2 mg/ml
GlukÛza 5% 81
Kompatibilní
injekce Piperacillin sodium / tazobactam 40/5 mg/ml
injekce Remifentanil hydrochloride 25 & 250 µg/ml
Chlorid sodný 0,9% 59
Okamžité srážení Nekompatibilní
injekce Piperacillin sodium / tazobactam 200 mg/ml
injekce Salbutamol sulfate 1 mg/ml
Žádné 3216
Kompatibilní
injekce Piperacillin sodium / tazobactam 40/5 mg/ml
injekce Sargramostim 10 µg/ml
GlukÛza 5% 81
Kompatibilní
injekce Piperacillin sodium / tazobactam 200 mg/ml
injekce Sildenafil citrate 0,6 mg/ml
GlukÛza 5% 4845
Nespecifikovaná nekompatibilita Nekompatibilní
injekce Piperacillin sodium / tazobactam
injekce Sodium bicarbonate
3586
Kompatibilní
injekce Piperacillin sodium / tazobactam 40/5 mg/ml
injekce Sodium bicarbonate 84 mg/ml
GlukÛza 5% 81
Chemická nestabilita Nekompatibilní
injekce Piperacillin sodium / tazobactam
injekce Streptomycin sulfate
3586
Srážky po 1 hodině Nekompatibilní
injekce Piperacillin sodium / tazobactam 40/5 mg/ml
injekce Streptozocin 40 mg/ml
GlukÛza 5% 81
Kompatibilní
injekce Piperacillin sodium / tazobactam 40/5 mg/ml
injekce Sulbactam/durlobactam 15/15 mg/ml
Chlorid sodný 0,9% 4801
Kompatibilní
injekce Piperacillin sodium / tazobactam 40/5 mg/ml
injekce Tedizolid phosphate 0.8 mg/ml
Chlorid sodný 0,9% 3827
Kompatibilní
injekce Piperacillin sodium / tazobactam 40/5 mg/ml
injekce Telavancin hydrochloride 7.5 mg/ml
GlukÛza 5% 3254
Kompatibilní
injekce Piperacillin sodium / tazobactam 40/5 mg/ml
injekce Telavancin hydrochloride 7.5 mg/ml
Chlorid sodný 0,9% 3254
Kompatibilní
injekce Piperacillin sodium / tazobactam 40/5 mg/ml
injekce Telavancin hydrochloride 7.5 mg/ml
RingerŐs laktátový roztok 3254
Chemická nestabilita Nekompatibilní
injekce Piperacillin sodium / tazobactam 200 mg/ml
injekce Temocilline 83.33 mg/ml
Voda pro injekci 2231
Nespecifikovaná nekompatibilita Nekompatibilní
injekce Piperacillin sodium / tazobactam
injekce Temocilline
4470
Kompatibilní
injekce Piperacillin sodium / tazobactam 166/20.83 mg/ml
injekce Thiamine hydrochloride 0.4 mg/ml
GlukÛza 5% 4254
Okamžité srážení Nekompatibilní
injekce Piperacillin sodium / tazobactam 200 mg/ml
injekce Thiopental sodium 25 mg/ml
Chlorid sodný 0,9% 3767
Kompatibilní
injekce Piperacillin sodium / tazobactam 40/5 mg/ml
injekce Thiotepa 1 mg/ml
GlukÛza 5% 81
Kompatibilní
injekce Piperacillin sodium / tazobactam
injekce Tigecycline
Chlorid sodný 0,9% 3332
Chemická nestabilita Nekompatibilní
injekce Piperacillin sodium / tazobactam
injekce Tobramycin sulfate
3586
Okamžité srážení Nekompatibilní
injekce Piperacillin sodium / tazobactam 112,5 mg/ml
injekce Vancomycin hydrochloride 10 mg/ml
GlukÛza 5% 3428
Kompatibilní
injekce Piperacillin sodium / tazobactam
GlukÛza 5% 3586
Kompatibilní
injekce Piperacillin sodium / tazobactam
Chlorid sodný 0,9% 5069
Okamžité srážení Nekompatibilní
injekce Piperacillin sodium / tazobactam 100/12,5 mg/ml
injekce Vancomycin hydrochloride 10 mg/ml
3365
Okamžité srážení Nekompatibilní
injekce Piperacillin sodium / tazobactam 40 >> 100 mg/ml
injekce Vancomycin hydrochloride 10 mg/ml
Chlorid sodný 0,9% 2475
Okamžité srážení Nekompatibilní
injekce Piperacillin sodium / tazobactam
injekce Vancomycin hydrochloride >8 mg/ml
Chlorid sodný 0,9% 3841
Kompatibilní
injekce Piperacillin sodium / tazobactam 16 >> 100 mg/ml
injekce Vancomycin hydrochloride 2 mg/ml
Chlorid sodný 0,9% 2475
Kompatibilní
injekce Piperacillin sodium / tazobactam 16 >> 100 mg/ml
injekce Vancomycin hydrochloride 5 mg/ml
Chlorid sodný 0,9% 2475
Kompatibilní
injekce Piperacillin sodium / tazobactam 16 >> 30 mg/ml
injekce Vancomycin hydrochloride 10 mg/ml
Chlorid sodný 0,9% 2475
Kompatibilní
injekce Piperacillin sodium / tazobactam 30/3,75 mg/ml
injekce Vancomycin hydrochloride 4 mg/ml
Chlorid sodný 0,9% 3421
Kompatibilní
injekce Piperacillin sodium / tazobactam 40/5 mg/ml
injekce Vancomycin hydrochloride 4 mg/ml
Chlorid sodný 0,9% 3421
Kompatibilní
injekce Piperacillin sodium / tazobactam 33.75 >> 90 mg/ml
injekce Vancomycin hydrochloride 4 >> 7 mg/ml
Chlorid sodný 0,9% 3841
Okamžité srážení Nekompatibilní
injekce Piperacillin sodium / tazobactam 80 & 90 mg/ml
injekce Vancomycin hydrochloride 8 mg/ml
Chlorid sodný 0,9% 3841
Kompatibilní
injekce Piperacillin sodium / tazobactam 33.75 >> 67.5 mg/ml
injekce Vancomycin hydrochloride 8 mg/ml
Chlorid sodný 0,9% 3841
Okamžitá zákal Nekompatibilní
injekce Piperacillin sodium / tazobactam 40/5 mg/ml
injekce Vancomycin hydrochloride 10 mg/ml
GlukÛza 5% 81
Nespecifikovaná nekompatibilita Nekompatibilní
injekce Piperacillin sodium / tazobactam 200 mg/ml
injekce Vancomycin hydrochloride 10 mg/ml
GlukÛza 5% 3385
Okamžité srážení Nekompatibilní
injekce Piperacillin sodium / tazobactam 10/1.25 >> 200/25 mg/ml
injekce Vancomycin hydrochloride 20 mg/ml
GlukÛza 5% 1674
Okamžité srážení Nekompatibilní
injekce Piperacillin sodium / tazobactam 80 >> 100 mg/ml
injekce Vancomycin hydrochloride 4 mg/ml
GlukÛza 5% 2475
Okamžité srážení Nekompatibilní
injekce Piperacillin sodium / tazobactam 16 >> 100 mg/ml
injekce Vancomycin hydrochloride 8 mg/ml
GlukÛza 5% 2475
Okamžité srážení Nekompatibilní
injekce Piperacillin sodium / tazobactam 28 mg/ml
injekce Vancomycin hydrochloride 10 & 15 mg/ml
GlukÛza 5% 3984
Okamžité srážení Nekompatibilní
injekce Piperacillin sodium / tazobactam 67,5 mg/ml
injekce Vancomycin hydrochloride 5 mg/ml
GlukÛza 5% 3960
Kompatibilní
injekce Piperacillin sodium / tazobactam 16 >> 40 mg/ml
injekce Vancomycin hydrochloride 4 mg/ml
GlukÛza 5% 2475
Kompatibilní
injekce Piperacillin sodium / tazobactam 28 mg/ml
injekce Vancomycin hydrochloride 5 mg/ml
GlukÛza 5% 3984
Kompatibilní
injekce Piperacillin sodium / tazobactam 1/0.125 >> 200/25 mg/ml
injekce Vancomycin hydrochloride 2 mg/ml
GlukÛza 5% 1674
Kompatibilní
injekce Piperacillin sodium / tazobactam 1/0.125 mg/ml
injekce Vancomycin hydrochloride 20 mg/ml
GlukÛza 5% 1674
Kompatibilní
injekce Piperacillin sodium / tazobactam 112.5 mg/ml
injekce Vasopressin 0.2 UI/ml
Chlorid sodný 0,9% 2017
Kompatibilní
injekce Piperacillin sodium / tazobactam 40/5 mg/ml
injekce Vinblastine sulfate 0.12 mg/ml
GlukÛza 5% 81
Kompatibilní
injekce Piperacillin sodium / tazobactam 40/5 mg/ml
injekce Vincristine sulfate 0.05 mg/ml
GlukÛza 5% 81
Kompatibilní
injekce Piperacillin sodium / tazobactam 40/5 mg/ml
injekce Zidovudine 4 mg/ml
GlukÛza 5% 81
Kompatibilní
injekce Piperacillin sodium / tazobactam 40/5 mg/ml
Normosol® 4655

  Mentions Légales