Last update :
27/04/2026
Antibiotic   Piperacillin sodium / tazobactam  
injection
Stability in solutions Stability of mixtures Factors which affect stability Compatibility Route of administration References pdf
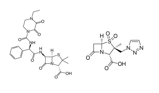
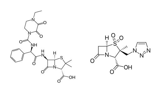
   Chemical structure  

Tradename   Tradename     

Trade names are indicative and excipients composition can be different depending on the country and manufacturers

Bagotaz Argentina
Betampil Ecuador
Bioval Chile
Petezam Argentina
Piperac Germany
Piperacillin tazobactam Belgium, Canada, Germany
Piperazam Brazil
Pipetazo Chile
Pipitaz Austria
Pixamol Colombia
Tazobac Ecuador, Italy, Portugal, Switzerland
Tazocel Spain
Tazocilline France
Tazocin Argentina, Australia, Brazil, Colombia, Croatia, Denmark, Egypt, Finland, Great Britain, Greece, Hungary, Italy, Luxembourg, Mexico, Netherlands, New Zealand, North Ireland, Norway, Peru, Poland, Republic of South Africa, Sweden, Turkey, United Arab Emirates
Tazonam Austria, Chile
Tazopip Australia
Tazpen Colombia, Mexico
Tazrobida Colombia
Tigux Chile
Tratac Chile
Trital Ecuador
Zosyn Japan, United States of America
Compatibility   injection   Compatibility : Piperacillin sodium / tazobactam              
This screen indicates the compatibilities or incompatibilities with, in this case, the type of incompatibility (precipitation, color change, modification of an emulsion, etc.). The compatibilities shown here are mostly physical only, with the chemical stability of each molecule rarely being assessed. The evaluation of these mixtures was studied to consider the possibility of Y-site administration to the patient. These data cannot be used for making mixtures in advance in bags or syringes. This type of information is available in the screen "Stability in mixture ».
Compound Solvent References
Precipitation after 1 hour Incompatible
injection Piperacillin sodium / tazobactam 40/5 mg/ml
injection Aciclovir sodium 7 mg/ml
Glucose 5% 81
Compatible
injection Piperacillin sodium / tazobactam 40/5 mg/ml
Parenteral nutrition (with lipids) 1415
Compatible
injection Piperacillin sodium / tazobactam 200 mg/ml
Ringer’s lactate solution 4603
Compatible
injection Piperacillin sodium / tazobactam 80 mg/ml
Parenteral nutrition (with lipids) 3948
Chemical instability Incompatible
injection Piperacillin sodium / tazobactam
injection Amikacin sulfate
3586
Compatible
injection Piperacillin sodium / tazobactam 200 mg/ml
Parenteral nutrition (with lipids) 4924
Turbidity in 24 hours Incompatible
injection Piperacillin sodium / tazobactam 60 mg/ml
injection Amiodarone hydrochloride 6 mg/ml
Glucose 5% 1611
Immediate precipitation Incompatible
injection Piperacillin sodium / tazobactam 40/5 mg/ml
injection Amphotericin B 0.6 mg/ml
Glucose 5% 81
Immediate precipitation Incompatible
injection Piperacillin sodium / tazobactam 40/5 mg/ml
injection Amphotericin B cholesteryl sulfate complex 0.83 mg/ml
Glucose 5% 921
Compatible
injection Piperacillin sodium / tazobactam 40/5 mg/ml
injection Anidulafungin 0.5 mg/ml
Glucose 5% 1982
Compatible
injection Piperacillin sodium / tazobactam 40/5 mg/ml
injection Aztreonam 40 mg/ml
Glucose 5% 81
Compatible
injection Piperacillin sodium / tazobactam 40/5 mg/ml
injection Bivalirudin 5 mg/ml
Glucose 5% 1713
Compatible
injection Piperacillin sodium / tazobactam 40/5 mg/ml
injection Bleomycin sulfate 1 mg/ml
Glucose 5% 81
Compatible
injection Piperacillin sodium / tazobactam 200 mg/ml
injection Caffeine 10 mg/ml
None 3964
Compatible
injection Piperacillin sodium / tazobactam 40/5 mg/ml
injection Carboplatin 5 mg/ml
Glucose 5% 81
Compatible
injection Piperacillin sodium / tazobactam 40/5 mg/ml
injection Carmustine 1.5 mg/ml
Glucose 5% 81
Compatible
injection Piperacillin sodium / tazobactam 40/5 mg/ml
injection Ceftolozane / tazobactam 10/5 mg/ml
Sodium chloride 0,9% 3828
Immediate turbidity Incompatible
injection Piperacillin sodium / tazobactam 40/5 mg/ml
injection Chlorpromazine hydrochloride 2 mg/ml
Glucose 5% 81
Compatible
injection Piperacillin sodium / tazobactam 40/5 mg/ml
injection Cisatracurium besylate 0.1 & 2 mg/ml
Glucose 5% 299
Precipitation after 1 hour Incompatible
injection Piperacillin sodium / tazobactam 40/5 mg/ml
injection Cisplatin 1 mg/ml
Glucose 5% 81
Compatible
injection Piperacillin sodium / tazobactam 40/5 mg/ml
injection Clindamycin phosphate 10 mg/ml
Glucose 5% 81
Compatible
injection Piperacillin sodium / tazobactam 40/5 mg/ml
injection Co-trimoxazole 0.8/4 mg/ml
Glucose 5% 81
Compatible
injection Piperacillin sodium / tazobactam 40/0.5 mg/ml
injection Colistin mesilate sodium 1.5 mg/ml
Sodium chloride 0,9% 3997
Compatible
injection Piperacillin sodium / tazobactam 40/5 mg/ml
injection Cyclophosphamide 10 mg/ml
Glucose 5% 81
Compatible
injection Piperacillin sodium / tazobactam 40/5 mg/ml
injection Cytarabine 50 mg/ml
Glucose 5% 81
Immediate precipitation Incompatible
injection Piperacillin sodium / tazobactam 40/5 mg/ml
injection Dacarbazine 4 mg/ml
Glucose 5% 81
Immediate turbidity Incompatible
injection Piperacillin sodium / tazobactam 40/5 mg/ml
injection Daunorubicin hydrochloride 1 mg/ml
Glucose 5% 81
Immediate turbidity Incompatible
injection Piperacillin sodium / tazobactam
injection Daunorubicin/cytarabine liposomale 0,4 mg/mL
Sodium chloride 0,9% 4654
Immediate turbidity Incompatible
injection Piperacillin sodium / tazobactam 40/5 mg/ml
injection Dobutamine hydrochloride 4 mg/ml
Glucose 5% 81
Compatible
injection Piperacillin sodium / tazobactam 40/5 mg/ml
injection Docetaxel 0.9 mg/ml
Glucose 5% 1754
Immediate turbidity Incompatible
injection Piperacillin sodium / tazobactam 40/5 mg/ml
injection Doxorubicin hydrochloride 2 mg/ml
Glucose 5% 81
Immediate turbidity Incompatible
injection Piperacillin sodium / tazobactam 40/5 mg/ml
injection Doxycycline hyclate 1 mg/ml
Glucose 5% 81
Immediate precipitation Incompatible
injection Piperacillin sodium / tazobactam 40/5 mg/ml
injection Droperidol 0.4 mg/ml
Glucose 5% 81
Compatible
injection Piperacillin sodium / tazobactam 40/5 mg/ml
injection Etoposide 0.4 mg/ml
Glucose 5% 81
Compatible
injection Piperacillin sodium / tazobactam 40/5 mg/ml
injection Etoposide phosphate 5 mg/ml
Sodium chloride 0,9% 1410
Immediate precipitation Incompatible
injection Piperacillin sodium / tazobactam 40/5 mg/ml
injection Famotidine 2 mg/ml
Glucose 5% 81
Compatible
injection Piperacillin sodium / tazobactam 40/5 mg/ml
injection Fenoldopam mesylate 80 µg/ml
Sodium chloride 0,9% 1803
Compatible
injection Piperacillin sodium / tazobactam 40/5 mg/ml
injection Floxuridine 3 mg/ml
Glucose 5% 81
Compatible
injection Piperacillin sodium / tazobactam 40/5 mg/ml
injection Fluconazole 2 mg/ml
Glucose 5% 81
Compatible
injection Piperacillin sodium / tazobactam 40/5 mg/ml
injection Fludarabine phosphate 1 mg/ml
Glucose 5% 81
Compatible
injection Piperacillin sodium / tazobactam 40/5 mg/ml
injection Fluorouracil 16 mg/ml
Glucose 5% 81
Compatible
injection Piperacillin sodium / tazobactam 40/5 mg/ml
injection Fosfomycin 30 mg/ml
Sodium chloride 0,9% 4055
Precipitation after 1 hour Incompatible
injection Piperacillin sodium / tazobactam 40/5 mg/ml
injection Ganciclovir sodium 20 mg/ml
Glucose 5% 81
Chemical instability Incompatible
injection Piperacillin sodium / tazobactam
injection Gentamicin sulfate
3586
Compatible
injection Piperacillin sodium / tazobactam 40/5 mg/ml
injection Granisetron hydrochloride 0.05 mg/ml
Glucose 5% 182
Immediate precipitation Incompatible
injection Piperacillin sodium / tazobactam 40/5 mg/ml
injection Haloperidol lactate 0.2 mg/ml
Glucose 5% 81
Unspecified incompatibility Incompatible
injection Piperacillin sodium / tazobactam
Ringer’s lactate solution 3586
Unspecified incompatibility Incompatible
injection Piperacillin sodium / tazobactam
injection Aciclovir sodium
3595
Chemical instability Incompatible
injection Piperacillin sodium / tazobactam
injection Amikacin sulfate
3549
Compatible
injection Piperacillin sodium / tazobactam 40/5 mg/ml
injection Aminophylline 2.5 mg/ml
Glucose 5% 81
Compatible
injection Piperacillin sodium / tazobactam 100 mg/ml
injection Amoxicillin sodium / clavulanic acid 100/10 mg/ml
3824
Immediate precipitation Incompatible
injection Piperacillin sodium / tazobactam 112.5 mg/ml
injection Azithromycine 2 mg/ml
Sodium chloride 0,9% 1800
Compatible
injection Piperacillin sodium / tazobactam 40/5 mg/ml
injection Bumetanide 0.04 mg/ml
Glucose 5% 81
Compatible
injection Piperacillin sodium / tazobactam 40/5 mg/ml
injection Buprenorphine hydrochloride 0.04 mg/ml
Glucose 5% 81
Compatible
injection Piperacillin sodium / tazobactam 40/5 mg/ml
injection Butorphanol tartrate 0.04 mg/ml
Glucose 5% 81
Compatible
injection Piperacillin sodium / tazobactam 200 mg/ml
injection Caffeine 10 mg/ml
Water for Injection 4837
Compatible
injection Piperacillin sodium / tazobactam 200 mg/ml
injection Caffeine citrate 20 mg/ml
Water for Injection 4837
Compatible
injection Piperacillin sodium / tazobactam 40/5 mg/ml
injection Calcium gluconate 40 mg/ml
Glucose 5% 81
Immediate precipitation Incompatible
injection Piperacillin sodium / tazobactam 90 mg/ml
injection Caspofungin acetate 0.5 mg/ml
Sodium chloride 0,9% 2233
Immediate precipitation Incompatible
injection Piperacillin sodium / tazobactam 40/5 mg/ml
injection Caspofungin acetate 0,7 mg/ml
Sodium chloride 0,9% 2247
Compatible
injection Piperacillin sodium / tazobactam 40/5 mg/ml
injection Ceftolozane / tazobactam 10/5 mg/ml
Glucose 5% 3828
Compatible
injection Piperacillin sodium / tazobactam 40/5 mg/ml
injection Cimetidine hydrochloride 12 mg/ml
Glucose 5% 81
Unspecified incompatibility Incompatible
injection Piperacillin sodium / tazobactam
injection Ciprofloxacin lactate
3529
Precipitation after 4 hours Incompatible
injection Piperacillin sodium / tazobactam 40/5 mg/ml
injection Cisatracurium besylate 5 mg/ml
Glucose 5% 299
Compatible
injection Piperacillin sodium / tazobactam 225 mg/ml
injection Cloxacillin sodium 100 mg/ml
Water for Injection 3012
Subvisual incompatibility Incompatible
injection Piperacillin sodium / tazobactam
injection Daunorubicin/cytarabine liposomale
4354
Compatible
injection Piperacillin sodium / tazobactam 40/5 mg/ml
injection Dexamethasone sodium phosphate 1 mg/ml
Glucose 5% 81
Compatible
injection Piperacillin sodium / tazobactam 40/5 mg/ml
injection Dexmedetomidine 4 µg/ml
Sodium chloride 0,9% 1712
Compatible
injection Piperacillin sodium / tazobactam
injection Dimenhydrinate
2087
Compatible
injection Piperacillin sodium / tazobactam 40/5 mg/ml
injection Diphenhydramine hydrochloride 2 mg/ml
Glucose 5% 81
Compatible
injection Piperacillin sodium / tazobactam 40/5 mg/ml
injection Dopamine hydrochloride 3.2 mg/ml
Glucose 5% 81
Loss of turbidity Incompatible
injection Piperacillin sodium / tazobactam 40/5 mg/ml
injection Doxorubicin hydrochloride liposome peg 0.4 mg/ml
Glucose 5% 251
Compatible
injection Piperacillin sodium / tazobactam 40/5 mg/ml
injection Enalaprilate 0.1 mg/ml
Glucose 5% 81
Compatible
injection Piperacillin sodium / tazobactam 40/5 mg/ml
injection Eravacycline 0,6 mg/ml
Sodium chloride 0,9% 4434
Unspecified incompatibility Incompatible
injection Piperacillin sodium / tazobactam
injection Erythromycin lactobionate
3674
Compatible
injection Piperacillin sodium / tazobactam 40/5 mg/ml
injection Folinate calcium 2 mg/ml
Glucose 5% 81
Compatible
injection Piperacillin sodium / tazobactam 40/5 mg/ml
injection Fosfomycin 30 mg/ml
Glucose 5% 4055
Compatible
injection Piperacillin sodium / tazobactam 40/5 mg/ml
injection Furosemide 3 mg/ml
Glucose 5% 81
Compatible
injection Piperacillin sodium / tazobactam 40/5 mg/ml
injection Gallium nitrate 0.4 mg/ml
Glucose 5% 81
Immediate turbidity Incompatible
injection Piperacillin sodium / tazobactam 40/5 mg/ml
injection Gemcitabine hydrochloride 10 mg/ml
Sodium chloride 0,9% 1423
Unspecified incompatibility Incompatible
injection Piperacillin sodium / tazobactam
injection Gentamicin sulfate
3520
Unspecified incompatibility Incompatible
injection Piperacillin sodium / tazobactam
injection Gentamicin sulfate
3643
Compatible
injection Piperacillin sodium / tazobactam 0.5/0.0625 mg/ml
injection Heparin sodium 0.5 UI/ml
Dianéal® 1.5% glucose (Baxter) 4180
Compatible
injection Piperacillin sodium / tazobactam 0.5/0.0625 mg/ml
injection Heparin sodium 0.5 UI/ml
Extraneal® (Baxter) 4180
Compatible
injection Piperacillin sodium / tazobactam 1.38/0.1725 mg/ml
injection Heparin sodium 1.4 UI/ml
Physionéal® 2.27 (Baxter) 4180
Compatible
injection Piperacillin sodium / tazobactam 0.5/0.0625 mg/ml
injection Heparin sodium 0.5 UI/ml
Dianéal® 4.25% glucose (Baxter) 4180
Compatible
injection Piperacillin sodium / tazobactam 1.38/0.1725 mg/ml
injection Heparin sodium 1.4 UI/ml
Physionéal® 3.86 (Baxter) 4180
Compatible
injection Piperacillin sodium / tazobactam 1.38/0.1725 mg/ml
injection Heparin sodium 1.4 UI/ml
Physionéal® 1.36 (Baxter) 4180
Compatible
injection Piperacillin sodium / tazobactam 0.5/0.0625 mg/ml
injection Heparin sodium 0.5 UI/ml
Dianéal® 2.5% glucose (Baxter) 4180
Compatible
injection Piperacillin sodium / tazobactam 40/5 mg/ml
injection Heparin sodium 100 UI/ml
Glucose 5% 81
Compatible
injection Piperacillin sodium / tazobactam 40/5 mg/ml
injection Hetastarch 60 mg/ml
specific solvent 1721
Compatible
injection Piperacillin sodium / tazobactam 40/5 mg/ml
injection Hydrocortisone sodium succinate 1 mg/ml
Glucose 5% 81
Compatible
injection Piperacillin sodium / tazobactam 40/5 mg/ml
injection Hydromorphone hydrochloride 0.5 mg/ml
Glucose 5% 81
Immediate precipitation Incompatible
injection Piperacillin sodium / tazobactam 40/5 mg/ml
injection Hydroxyzine dihydrochloride 4 mg/ml
Glucose 5% 81
Immediate turbidity Incompatible
injection Piperacillin sodium / tazobactam 40/5 mg/ml
injection Idarubicin hydrochloride 0.5 mg/ml
Glucose 5% 81
Compatible
injection Piperacillin sodium / tazobactam 40/5 mg/ml
injection Ifosfamide 25 mg/ml
Glucose 5% 81
Compatible
injection Piperacillin sodium / tazobactam 166/20.83 mg/ml
injection Insulin 1 UI/ml
Sodium chloride 0,9% 4254
Compatible
injection Piperacillin sodium / tazobactam 45 mg/ml
injection Insulin aspart 1 UI/ml
Sodium chloride 0,9% 1508
Compatible
injection Piperacillin sodium / tazobactam 45 mg/ml
injection Insulin aspart 1 UI/ml
Glucose 5% 1508
Compatible
injection Piperacillin sodium / tazobactam 40/5 mg/ml
injection Isavuconazonium sulfate 1.5 mg/ml
Sodium chloride 0,9% 3829
Compatible
injection Piperacillin sodium / tazobactam 40/5 mg/ml
injection Lansoprazole 0.55 mg/ml
Sodium chloride 0,9% 1625
Compatible
injection Piperacillin sodium / tazobactam 166/20.83 mg/ml
injection Levetiracetam 20.83 mg/ml
Glucose 5% 4254
Compatible
injection Piperacillin sodium / tazobactam 166/20.83 mg/ml
injection Levetiracetam 20.83 mg/ml
Sodium chloride 0,9% 4254
Compatible
injection Piperacillin sodium / tazobactam 80 mg/ml
Parenteral nutrition (binary mixture) 3948
Compatible
injection Piperacillin sodium / tazobactam 166/20.83 mg/ml
injection Insulin 1 UI/ml
Glucose 5% 4254
Compatible
injection Piperacillin sodium / tazobactam 33,75 mg/ml
injection Levetiracetam 5 mg/ml
Sodium chloride 0,9% 4569
Compatible
injection Piperacillin sodium / tazobactam 40/5 mg/ml
Parenteral nutrition (binary mixture) 301
Immediate turbidity Incompatible
injection Piperacillin sodium / tazobactam 40/5 mg/ml
injection Isavuconazonium sulfate 1.5 mg/ml
Glucose 5% 3829
Unspecified incompatibility Incompatible
injection Piperacillin sodium / tazobactam
NaHCO3 3586
Chemical instability Incompatible
injection Piperacillin sodium / tazobactam
injection Kanamycin sulfate
3586
Compatible
injection Piperacillin sodium / tazobactam 200 mg/ml
injection Ketamine hydrochloride 50 mg/ml
2109
Subvisual incompatibility Incompatible
injection Piperacillin sodium / tazobactam 45 mg/ml
injection Levetiracetam 5 mg/ml
Sodium chloride 0,9% 4569
Compatible
injection Piperacillin sodium / tazobactam 125 mg/ml
injection Linezolid 2 mg/ml
4928
Compatible
injection Piperacillin sodium / tazobactam 40/5 mg/ml
injection Linezolid 2 mg/ml
None 1925
Compatible
injection Piperacillin sodium / tazobactam 40/5 mg/ml
injection Lorazepam 0.1 mg/ml
Glucose 5% 81
Compatible
injection Piperacillin sodium / tazobactam 40/5 mg/ml
injection Magnesium sulfate 100 mg/ml
Glucose 5% 81
Compatible
injection Piperacillin sodium / tazobactam 40/5 mg/ml
injection Mannitol 150 mg/ml
Glucose 5% 81
Compatible
injection Piperacillin sodium / tazobactam 200 mg/ml
injection Meropenem 50 mg/ml
Water for Injection 4319
Compatible
injection Piperacillin sodium / tazobactam 40/5 mg/ml
injection Mesna 10 mg/ml
Glucose 5% 81
Compatible
injection Piperacillin sodium / tazobactam 40/5 mg/ml
injection Methotrexate sodium 15 mg/ml
Glucose 5% 81
Compatible
injection Piperacillin sodium / tazobactam 40/5 mg/ml
injection Methylprednisolone sodium succinate 5 mg/ml
Glucose 5% 81
Compatible
injection Piperacillin sodium / tazobactam 40/5 mg/ml
injection Metoclopramide hydrochloride 5 mg/ml
Glucose 5% 81
Compatible
injection Piperacillin sodium / tazobactam 40/5 mg/ml
injection Metronidazole 5 mg/ml
Glucose 5% 81
Immediate precipitation Incompatible
injection Piperacillin sodium / tazobactam 40/5 mg/ml
injection Minocycline hydrochloride 1 mg/ml
Glucose 5% 81
Color change after 4 hours Incompatible
injection Piperacillin sodium / tazobactam 40/5 mg/ml
injection Mitomycin 0.5 mg/ml
Glucose 5% 81
Immediate precipitation Incompatible
injection Piperacillin sodium / tazobactam 40/5 mg/ml
injection Mitoxantrone dihydrochloride 0.5 mg/ml
Glucose 5% 81
Compatible
injection Piperacillin sodium / tazobactam 40/5 mg/ml
injection Morphine sulfate 1 mg/ml
Glucose 5% 81
Compatible
injection Piperacillin sodium / tazobactam
injection N-acetylcysteine 200 mg/ml
None 3766
Immediate turbidity Incompatible
injection Piperacillin sodium / tazobactam 40/5 mg/ml
injection Nalbuphine hydrochloride 10 mg/ml
Glucose 5% 81
Compatible
injection Piperacillin sodium / tazobactam 200 mg/ml
injection Naloxone hydrochloride 0.4 mg/ml
None 3408
Chemical instability Incompatible
injection Piperacillin sodium / tazobactam
injection Netilmicin sulfate
3586
Compatible
injection Piperacillin sodium / tazobactam 20/2,5 & 40/5 mg/ml
injection Ondansetron hydrochloride 0,015 >> 0,15 mg/ml
Sodium chloride 0,9% 16
Compatible
injection Piperacillin sodium / tazobactam 40/5 mg/ml
injection Ondansetron hydrochloride 0.1 mg/ml
Glucose 5% 81
Compatible
injection Piperacillin sodium / tazobactam 200/25 mg/ml
injection Oxycodone hydrochloride 1 mg/ml
Sodium chloride 0,9% 4842
Precipitation after 1 hour Incompatible
injection Piperacillin sodium / tazobactam
injection Pantoprazole sodium
2090
Compatible
injection Piperacillin sodium / tazobactam 100 mg/ml
injection Paracetamol 10 mg/ml
None 3571
Compatible
injection Piperacillin sodium / tazobactam 100 mg/ml
injection Paracetamol 10 mg/ml
4742
Compatible
injection Piperacillin sodium / tazobactam 200 mg/ml
injection Pentoxifyllin 5 mg/ml
Sodium chloride 0,9% 4538
Compatible
injection Piperacillin sodium / tazobactam 40/5 mg/ml
injection Pethidine hydrochloride 4 mg/ml
Glucose 5% 81
Chemical instability Incompatible
injection Piperacillin sodium / tazobactam
injection Plazomicin sulfate
3586
Compatible
injection Piperacillin sodium / tazobactam 40/5 mg/ml
injection Plazomicin sulfate 24 mg/ml
Sodium chloride 0,9% 4145
Immediate precipitation Incompatible
injection Piperacillin sodium / tazobactam 160 mg/ml
injection Posaconazole 1,2 mg/ml
Sodium chloride 0,9% 4521
Compatible
injection Piperacillin sodium / tazobactam 40/5 mg/ml
injection Potassium chloride 100 mEq/l
Glucose 5% 81
Immediate turbidity Incompatible
injection Piperacillin sodium / tazobactam 40/5 mg/ml
injection Prochlorperazine edysilate 0.5 mg/ml
Glucose 5% 81
Immediate turbidity Incompatible
injection Piperacillin sodium / tazobactam 40/5 mg/ml
injection Promethazine hydrochloride 2 mg/ml
Glucose 5% 81
Compatible
injection Piperacillin sodium / tazobactam 40/5 mg/ml
injection Ranitidine hydrochloride 2 mg/ml
Glucose 5% 81
Compatible
injection Piperacillin sodium / tazobactam 40/5 mg/ml
injection Remifentanil hydrochloride 25 & 250 µg/ml
Sodium chloride 0,9% 59
Immediate precipitation Incompatible
injection Piperacillin sodium / tazobactam 200 mg/ml
injection Salbutamol sulfate 1 mg/ml
None 3216
Compatible
injection Piperacillin sodium / tazobactam 40/5 mg/ml
injection Sargramostim 10 µg/ml
Glucose 5% 81
Compatible
injection Piperacillin sodium / tazobactam 200 mg/ml
injection Sildenafil citrate 0,6 mg/ml
Glucose 5% 4845
Unspecified incompatibility Incompatible
injection Piperacillin sodium / tazobactam
injection Sodium bicarbonate
3586
Compatible
injection Piperacillin sodium / tazobactam 40/5 mg/ml
injection Sodium bicarbonate 84 mg/ml
Glucose 5% 81
Chemical instability Incompatible
injection Piperacillin sodium / tazobactam
injection Streptomycin sulfate
3586
Precipitation after 1 hour Incompatible
injection Piperacillin sodium / tazobactam 40/5 mg/ml
injection Streptozocin 40 mg/ml
Glucose 5% 81
Compatible
injection Piperacillin sodium / tazobactam 40/5 mg/ml
injection Sulbactam/durlobactam 15/15 mg/ml
Sodium chloride 0,9% 4801
Compatible
injection Piperacillin sodium / tazobactam 40/5 mg/ml
injection Tedizolid phosphate 0.8 mg/ml
Sodium chloride 0,9% 3827
Compatible
injection Piperacillin sodium / tazobactam 40/5 mg/ml
injection Telavancin hydrochloride 7.5 mg/ml
Glucose 5% 3254
Compatible
injection Piperacillin sodium / tazobactam 40/5 mg/ml
injection Telavancin hydrochloride 7.5 mg/ml
Sodium chloride 0,9% 3254
Compatible
injection Piperacillin sodium / tazobactam 40/5 mg/ml
injection Telavancin hydrochloride 7.5 mg/ml
Ringer’s lactate solution 3254
Chemical instability Incompatible
injection Piperacillin sodium / tazobactam 200 mg/ml
injection Temocilline 83.33 mg/ml
Water for Injection 2231
Unspecified incompatibility Incompatible
injection Piperacillin sodium / tazobactam
injection Temocilline
4470
Compatible
injection Piperacillin sodium / tazobactam 166/20.83 mg/ml
injection Thiamine hydrochloride 0.4 mg/ml
Glucose 5% 4254
Immediate precipitation Incompatible
injection Piperacillin sodium / tazobactam 200 mg/ml
injection Thiopental sodium 25 mg/ml
Sodium chloride 0,9% 3767
Compatible
injection Piperacillin sodium / tazobactam 40/5 mg/ml
injection Thiotepa 1 mg/ml
Glucose 5% 81
Compatible
injection Piperacillin sodium / tazobactam
injection Tigecycline
Sodium chloride 0,9% 3332
Chemical instability Incompatible
injection Piperacillin sodium / tazobactam
injection Tobramycin sulfate
3586
Immediate precipitation Incompatible
injection Piperacillin sodium / tazobactam 112,5 mg/ml
injection Vancomycin hydrochloride 10 mg/ml
Glucose 5% 3428
Compatible
injection Piperacillin sodium / tazobactam
Glucose 5% 3586
Compatible
injection Piperacillin sodium / tazobactam
Sodium chloride 0,9% 5069
Immediate precipitation Incompatible
injection Piperacillin sodium / tazobactam 100/12,5 mg/ml
injection Vancomycin hydrochloride 10 mg/ml
3365
Immediate precipitation Incompatible
injection Piperacillin sodium / tazobactam 40 >> 100 mg/ml
injection Vancomycin hydrochloride 10 mg/ml
Sodium chloride 0,9% 2475
Immediate precipitation Incompatible
injection Piperacillin sodium / tazobactam
injection Vancomycin hydrochloride >8 mg/ml
Sodium chloride 0,9% 3841
Compatible
injection Piperacillin sodium / tazobactam 16 >> 100 mg/ml
injection Vancomycin hydrochloride 2 mg/ml
Sodium chloride 0,9% 2475
Compatible
injection Piperacillin sodium / tazobactam 16 >> 100 mg/ml
injection Vancomycin hydrochloride 5 mg/ml
Sodium chloride 0,9% 2475
Compatible
injection Piperacillin sodium / tazobactam 16 >> 30 mg/ml
injection Vancomycin hydrochloride 10 mg/ml
Sodium chloride 0,9% 2475
Compatible
injection Piperacillin sodium / tazobactam 30/3,75 mg/ml
injection Vancomycin hydrochloride 4 mg/ml
Sodium chloride 0,9% 3421
Compatible
injection Piperacillin sodium / tazobactam 40/5 mg/ml
injection Vancomycin hydrochloride 4 mg/ml
Sodium chloride 0,9% 3421
Compatible
injection Piperacillin sodium / tazobactam 33.75 >> 90 mg/ml
injection Vancomycin hydrochloride 4 >> 7 mg/ml
Sodium chloride 0,9% 3841
Immediate precipitation Incompatible
injection Piperacillin sodium / tazobactam 80 & 90 mg/ml
injection Vancomycin hydrochloride 8 mg/ml
Sodium chloride 0,9% 3841
Compatible
injection Piperacillin sodium / tazobactam 33.75 >> 67.5 mg/ml
injection Vancomycin hydrochloride 8 mg/ml
Sodium chloride 0,9% 3841
Immediate turbidity Incompatible
injection Piperacillin sodium / tazobactam 40/5 mg/ml
injection Vancomycin hydrochloride 10 mg/ml
Glucose 5% 81
Unspecified incompatibility Incompatible
injection Piperacillin sodium / tazobactam 200 mg/ml
injection Vancomycin hydrochloride 10 mg/ml
Glucose 5% 3385
Immediate precipitation Incompatible
injection Piperacillin sodium / tazobactam 10/1.25 >> 200/25 mg/ml
injection Vancomycin hydrochloride 20 mg/ml
Glucose 5% 1674
Immediate precipitation Incompatible
injection Piperacillin sodium / tazobactam 80 >> 100 mg/ml
injection Vancomycin hydrochloride 4 mg/ml
Glucose 5% 2475
Immediate precipitation Incompatible
injection Piperacillin sodium / tazobactam 16 >> 100 mg/ml
injection Vancomycin hydrochloride 8 mg/ml
Glucose 5% 2475
Immediate precipitation Incompatible
injection Piperacillin sodium / tazobactam 28 mg/ml
injection Vancomycin hydrochloride 10 & 15 mg/ml
Glucose 5% 3984
Immediate precipitation Incompatible
injection Piperacillin sodium / tazobactam 67,5 mg/ml
injection Vancomycin hydrochloride 5 mg/ml
Glucose 5% 3960
Compatible
injection Piperacillin sodium / tazobactam 16 >> 40 mg/ml
injection Vancomycin hydrochloride 4 mg/ml
Glucose 5% 2475
Compatible
injection Piperacillin sodium / tazobactam 28 mg/ml
injection Vancomycin hydrochloride 5 mg/ml
Glucose 5% 3984
Compatible
injection Piperacillin sodium / tazobactam 1/0.125 >> 200/25 mg/ml
injection Vancomycin hydrochloride 2 mg/ml
Glucose 5% 1674
Compatible
injection Piperacillin sodium / tazobactam 1/0.125 mg/ml
injection Vancomycin hydrochloride 20 mg/ml
Glucose 5% 1674
Compatible
injection Piperacillin sodium / tazobactam 112.5 mg/ml
injection Vasopressin 0.2 UI/ml
Sodium chloride 0,9% 2017
Compatible
injection Piperacillin sodium / tazobactam 40/5 mg/ml
injection Vinblastine sulfate 0.12 mg/ml
Glucose 5% 81
Compatible
injection Piperacillin sodium / tazobactam 40/5 mg/ml
injection Vincristine sulfate 0.05 mg/ml
Glucose 5% 81
Compatible
injection Piperacillin sodium / tazobactam 40/5 mg/ml
injection Zidovudine 4 mg/ml
Glucose 5% 81
Compatible
injection Piperacillin sodium / tazobactam 40/5 mg/ml
Normosol® 4655

  Mentions Légales