Viimeisin päivitys :
27/04/2026
Antibiootit   Piperacillin sodium / tazobactam  
Injektioneste
Stabilius liuoksessa Stabilius seoksissa Tekijät, jotka vaikuttavat stabiliuteen Yhteensopivuus Antotapa Viitteet pdf
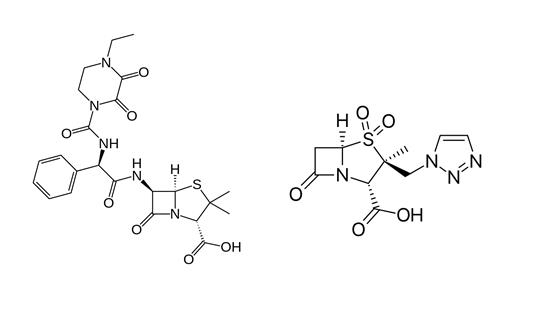
   Kemiallinen rakenne  

Kauppanimi   Kauppanimi     

Trade names are indicative and excipients composition can be different depending on the country and manufacturers

Bagotaz Argentiina
Betampil Ecuador
Bioval Chile
Petezam Argentiina
Piperac Saksa
Piperacillin tazobactam Belgia, Kanada, Saksa
Piperazam Brasilia
Pipetazo Chile
Pipitaz Itävalta
Pixamol Kolumbia
Tazobac Ecuador, Italia, Portugali, Sveitsi
Tazocel Espanja
Tazocilline Ranska
Tazocin Argentiina, Australia, Brasilia, Egypti, Etelä-Afrikka, Hollanti, Iso-Britannia, Italia, Kolumbia, Kreikka, Kroatia, Luxemburg, Marokko, Meksiko, New Zealand, Norja, Pohjois-Irlanti, Puola, Ruotsi, Suomi, Tanska, Turkki, Unkari, Yhdistyneet arabiemiirikunnat
Tazonam Chile, Itävalta
Tazopip Australia
Tazpen Kolumbia, Meksiko
Tazrobida Kolumbia
Tigux Chile
Tratac Chile
Trital Ecuador
Zosyn Japani, Yhdysvallat
Yhteensopivuus   Injektioneste   Yhteensopivuus : Piperacillin sodium / tazobactam              
Tämä näyttö osoittaa yhteensopivuuden tai yhteensopimattomuuden yhteensopimattomuuden tyypin kanssa (saostuminen, värinmuutos, emulsiomuutos jne.). Tässä esitetty yhteensopivuus on useimmissa tapauksissa vain fysikaalinen, ja kunkin molekyylin kemiallista stabiilisuutta arvioidaan harvoin. Näiden seosten arviointia tutkittiin mahdollisuuden antaa Y-kohta potilaalle. Näitä tietoja ei voida käyttää seosten valmistamiseen etukäteen pusseissa tai ruiskuissa. Tämäntyyppiset tiedot ovat saatavilla "Stabiilisuus seoksessa" -näytössä.
Yhdiste Liuotin Viitteet
Sade 1 tunnin kuluttua yhteensopimaton
Injektioneste Piperacillin sodium / tazobactam 40/5 mg/ml
Injektioneste Aciclovir sodium 7 mg/ml
Glukoosi 5% 81
Yhteensopiva
Injektioneste Piperacillin sodium / tazobactam 40/5 mg/ml
Parenteraalinen (lipidien) 1415
Yhteensopiva
Injektioneste Piperacillin sodium / tazobactam 200 mg/ml
Ringerlaktaattiliuos 4603
Yhteensopiva
Injektioneste Piperacillin sodium / tazobactam 80 mg/ml
Parenteraalinen (lipidien) 3948
Kemiallinen epävakaus yhteensopimaton
Injektioneste Piperacillin sodium / tazobactam
Injektioneste Amikacin sulfate
3586
Yhteensopiva
Injektioneste Piperacillin sodium / tazobactam 200 mg/ml
Parenteraalinen (lipidien) 4924
Sameus 24 tunnissa yhteensopimaton
Injektioneste Piperacillin sodium / tazobactam 60 mg/ml
Injektioneste Amiodarone hydrochloride 6 mg/ml
Glukoosi 5% 1611
Välittömät sateet yhteensopimaton
Injektioneste Piperacillin sodium / tazobactam 40/5 mg/ml
Injektioneste Amphotericin B 0.6 mg/ml
Glukoosi 5% 81
Välittömät sateet yhteensopimaton
Injektioneste Piperacillin sodium / tazobactam 40/5 mg/ml
Injektioneste Amphotericin B cholesteryl sulfate complex 0.83 mg/ml
Glukoosi 5% 921
Yhteensopiva
Injektioneste Piperacillin sodium / tazobactam 40/5 mg/ml
Injektioneste Anidulafungin 0.5 mg/ml
Glukoosi 5% 1982
Yhteensopiva
Injektioneste Piperacillin sodium / tazobactam 40/5 mg/ml
Injektioneste Aztreonam 40 mg/ml
Glukoosi 5% 81
Yhteensopiva
Injektioneste Piperacillin sodium / tazobactam 40/5 mg/ml
Injektioneste Bivalirudin 5 mg/ml
Glukoosi 5% 1713
Yhteensopiva
Injektioneste Piperacillin sodium / tazobactam 40/5 mg/ml
Injektioneste Bleomycin sulfate 1 mg/ml
Glukoosi 5% 81
Yhteensopiva
Injektioneste Piperacillin sodium / tazobactam 200 mg/ml
Injektioneste Caffeine 10 mg/ml
Ei mikään 3964
Yhteensopiva
Injektioneste Piperacillin sodium / tazobactam 40/5 mg/ml
Injektioneste Carboplatin 5 mg/ml
Glukoosi 5% 81
Yhteensopiva
Injektioneste Piperacillin sodium / tazobactam 40/5 mg/ml
Injektioneste Carmustine 1.5 mg/ml
Glukoosi 5% 81
Yhteensopiva
Injektioneste Piperacillin sodium / tazobactam 40/5 mg/ml
Injektioneste Ceftolozane / tazobactam 10/5 mg/ml
Natriumkloridi 0,9% 3828
Välitön sameus yhteensopimaton
Injektioneste Piperacillin sodium / tazobactam 40/5 mg/ml
Injektioneste Chlorpromazine hydrochloride 2 mg/ml
Glukoosi 5% 81
Yhteensopiva
Injektioneste Piperacillin sodium / tazobactam 40/5 mg/ml
Injektioneste Cisatracurium besylate 0.1 & 2 mg/ml
Glukoosi 5% 299
Sade 1 tunnin kuluttua yhteensopimaton
Injektioneste Piperacillin sodium / tazobactam 40/5 mg/ml
Injektioneste Cisplatin 1 mg/ml
Glukoosi 5% 81
Yhteensopiva
Injektioneste Piperacillin sodium / tazobactam 40/5 mg/ml
Injektioneste Clindamycin phosphate 10 mg/ml
Glukoosi 5% 81
Yhteensopiva
Injektioneste Piperacillin sodium / tazobactam 40/5 mg/ml
Injektioneste Co-trimoxazole 0.8/4 mg/ml
Glukoosi 5% 81
Yhteensopiva
Injektioneste Piperacillin sodium / tazobactam 40/0.5 mg/ml
Injektioneste Colistin mesilate sodium 1.5 mg/ml
Natriumkloridi 0,9% 3997
Yhteensopiva
Injektioneste Piperacillin sodium / tazobactam 40/5 mg/ml
Injektioneste Cyclophosphamide 10 mg/ml
Glukoosi 5% 81
Yhteensopiva
Injektioneste Piperacillin sodium / tazobactam 40/5 mg/ml
Injektioneste Cytarabine 50 mg/ml
Glukoosi 5% 81
Välittömät sateet yhteensopimaton
Injektioneste Piperacillin sodium / tazobactam 40/5 mg/ml
Injektioneste Dacarbazine 4 mg/ml
Glukoosi 5% 81
Välitön sameus yhteensopimaton
Injektioneste Piperacillin sodium / tazobactam 40/5 mg/ml
Injektioneste Daunorubicin hydrochloride 1 mg/ml
Glukoosi 5% 81
Välitön sameus yhteensopimaton
Injektioneste Piperacillin sodium / tazobactam
Injektioneste Daunorubicin/cytarabine liposomale 0,4 mg/mL
Natriumkloridi 0,9% 4654
Välitön sameus yhteensopimaton
Injektioneste Piperacillin sodium / tazobactam 40/5 mg/ml
Injektioneste Dobutamine hydrochloride 4 mg/ml
Glukoosi 5% 81
Yhteensopiva
Injektioneste Piperacillin sodium / tazobactam 40/5 mg/ml
Injektioneste Docetaxel 0.9 mg/ml
Glukoosi 5% 1754
Välitön sameus yhteensopimaton
Injektioneste Piperacillin sodium / tazobactam 40/5 mg/ml
Injektioneste Doxorubicin hydrochloride 2 mg/ml
Glukoosi 5% 81
Välitön sameus yhteensopimaton
Injektioneste Piperacillin sodium / tazobactam 40/5 mg/ml
Injektioneste Doxycycline hyclate 1 mg/ml
Glukoosi 5% 81
Välittömät sateet yhteensopimaton
Injektioneste Piperacillin sodium / tazobactam 40/5 mg/ml
Injektioneste Droperidol 0.4 mg/ml
Glukoosi 5% 81
Yhteensopiva
Injektioneste Piperacillin sodium / tazobactam 40/5 mg/ml
Injektioneste Etoposide 0.4 mg/ml
Glukoosi 5% 81
Yhteensopiva
Injektioneste Piperacillin sodium / tazobactam 40/5 mg/ml
Injektioneste Etoposide phosphate 5 mg/ml
Natriumkloridi 0,9% 1410
Välittömät sateet yhteensopimaton
Injektioneste Piperacillin sodium / tazobactam 40/5 mg/ml
Injektioneste Famotidine 2 mg/ml
Glukoosi 5% 81
Yhteensopiva
Injektioneste Piperacillin sodium / tazobactam 40/5 mg/ml
Injektioneste Fenoldopam mesylate 80 µg/ml
Natriumkloridi 0,9% 1803
Yhteensopiva
Injektioneste Piperacillin sodium / tazobactam 40/5 mg/ml
Injektioneste Floxuridine 3 mg/ml
Glukoosi 5% 81
Yhteensopiva
Injektioneste Piperacillin sodium / tazobactam 40/5 mg/ml
Injektioneste Fluconazole 2 mg/ml
Glukoosi 5% 81
Yhteensopiva
Injektioneste Piperacillin sodium / tazobactam 40/5 mg/ml
Injektioneste Fludarabine phosphate 1 mg/ml
Glukoosi 5% 81
Yhteensopiva
Injektioneste Piperacillin sodium / tazobactam 40/5 mg/ml
Injektioneste Fluorouracil 16 mg/ml
Glukoosi 5% 81
Yhteensopiva
Injektioneste Piperacillin sodium / tazobactam 40/5 mg/ml
Injektioneste Fosfomycin 30 mg/ml
Natriumkloridi 0,9% 4055
Sade 1 tunnin kuluttua yhteensopimaton
Injektioneste Piperacillin sodium / tazobactam 40/5 mg/ml
Injektioneste Ganciclovir sodium 20 mg/ml
Glukoosi 5% 81
Kemiallinen epävakaus yhteensopimaton
Injektioneste Piperacillin sodium / tazobactam
Injektioneste Gentamicin sulfate
3586
Yhteensopiva
Injektioneste Piperacillin sodium / tazobactam 40/5 mg/ml
Injektioneste Granisetron hydrochloride 0.05 mg/ml
Glukoosi 5% 182
Välittömät sateet yhteensopimaton
Injektioneste Piperacillin sodium / tazobactam 40/5 mg/ml
Injektioneste Haloperidol lactate 0.2 mg/ml
Glukoosi 5% 81
Määrittelemätön yhteensopimattomuus yhteensopimaton
Injektioneste Piperacillin sodium / tazobactam
Ringerlaktaattiliuos 3586
Määrittelemätön yhteensopimattomuus yhteensopimaton
Injektioneste Piperacillin sodium / tazobactam
Injektioneste Aciclovir sodium
3595
Kemiallinen epävakaus yhteensopimaton
Injektioneste Piperacillin sodium / tazobactam
Injektioneste Amikacin sulfate
3549
Yhteensopiva
Injektioneste Piperacillin sodium / tazobactam 40/5 mg/ml
Injektioneste Aminophylline 2.5 mg/ml
Glukoosi 5% 81
Yhteensopiva
Injektioneste Piperacillin sodium / tazobactam 100 mg/ml
Injektioneste Amoxicillin sodium / clavulanic acid 100/10 mg/ml
3824
Välittömät sateet yhteensopimaton
Injektioneste Piperacillin sodium / tazobactam 112.5 mg/ml
Injektioneste Azithromycine 2 mg/ml
Natriumkloridi 0,9% 1800
Yhteensopiva
Injektioneste Piperacillin sodium / tazobactam 40/5 mg/ml
Injektioneste Bumetanide 0.04 mg/ml
Glukoosi 5% 81
Yhteensopiva
Injektioneste Piperacillin sodium / tazobactam 40/5 mg/ml
Injektioneste Buprenorphine hydrochloride 0.04 mg/ml
Glukoosi 5% 81
Yhteensopiva
Injektioneste Piperacillin sodium / tazobactam 40/5 mg/ml
Injektioneste Butorphanol tartrate 0.04 mg/ml
Glukoosi 5% 81
Yhteensopiva
Injektioneste Piperacillin sodium / tazobactam 200 mg/ml
Injektioneste Caffeine 10 mg/ml
Injektionesteisiin käytettävä vesi 4837
Yhteensopiva
Injektioneste Piperacillin sodium / tazobactam 200 mg/ml
Injektioneste Caffeine citrate 20 mg/ml
Injektionesteisiin käytettävä vesi 4837
Yhteensopiva
Injektioneste Piperacillin sodium / tazobactam 40/5 mg/ml
Injektioneste Calcium gluconate 40 mg/ml
Glukoosi 5% 81
Välittömät sateet yhteensopimaton
Injektioneste Piperacillin sodium / tazobactam 90 mg/ml
Injektioneste Caspofungin acetate 0.5 mg/ml
Natriumkloridi 0,9% 2233
Välittömät sateet yhteensopimaton
Injektioneste Piperacillin sodium / tazobactam 40/5 mg/ml
Injektioneste Caspofungin acetate 0,7 mg/ml
Natriumkloridi 0,9% 2247
Yhteensopiva
Injektioneste Piperacillin sodium / tazobactam 40/5 mg/ml
Injektioneste Ceftolozane / tazobactam 10/5 mg/ml
Glukoosi 5% 3828
Yhteensopiva
Injektioneste Piperacillin sodium / tazobactam 40/5 mg/ml
Injektioneste Cimetidine hydrochloride 12 mg/ml
Glukoosi 5% 81
Määrittelemätön yhteensopimattomuus yhteensopimaton
Injektioneste Piperacillin sodium / tazobactam
Injektioneste Ciprofloxacin lactate
3529
Sade 4 tunnin kuluttua yhteensopimaton
Injektioneste Piperacillin sodium / tazobactam 40/5 mg/ml
Injektioneste Cisatracurium besylate 5 mg/ml
Glukoosi 5% 299
Yhteensopiva
Injektioneste Piperacillin sodium / tazobactam 225 mg/ml
Injektioneste Cloxacillin sodium 100 mg/ml
Injektionesteisiin käytettävä vesi 3012
Subvisuaalinen yhteensopimattomuus yhteensopimaton
Injektioneste Piperacillin sodium / tazobactam
Injektioneste Daunorubicin/cytarabine liposomale
4354
Yhteensopiva
Injektioneste Piperacillin sodium / tazobactam 40/5 mg/ml
Injektioneste Dexamethasone sodium phosphate 1 mg/ml
Glukoosi 5% 81
Yhteensopiva
Injektioneste Piperacillin sodium / tazobactam 40/5 mg/ml
Injektioneste Dexmedetomidine 4 µg/ml
Natriumkloridi 0,9% 1712
Yhteensopiva
Injektioneste Piperacillin sodium / tazobactam
Injektioneste Dimenhydrinate
2087
Yhteensopiva
Injektioneste Piperacillin sodium / tazobactam 40/5 mg/ml
Injektioneste Diphenhydramine hydrochloride 2 mg/ml
Glukoosi 5% 81
Yhteensopiva
Injektioneste Piperacillin sodium / tazobactam 40/5 mg/ml
Injektioneste Dopamine hydrochloride 3.2 mg/ml
Glukoosi 5% 81
Sameuden menetys yhteensopimaton
Injektioneste Piperacillin sodium / tazobactam 40/5 mg/ml
Injektioneste Doxorubicin hydrochloride liposome peg 0.4 mg/ml
Glukoosi 5% 251
Yhteensopiva
Injektioneste Piperacillin sodium / tazobactam 40/5 mg/ml
Injektioneste Enalaprilate 0.1 mg/ml
Glukoosi 5% 81
Yhteensopiva
Injektioneste Piperacillin sodium / tazobactam 40/5 mg/ml
Injektioneste Eravacycline 0,6 mg/ml
Natriumkloridi 0,9% 4434
Määrittelemätön yhteensopimattomuus yhteensopimaton
Injektioneste Piperacillin sodium / tazobactam
Injektioneste Erythromycin lactobionate
3674
Yhteensopiva
Injektioneste Piperacillin sodium / tazobactam 40/5 mg/ml
Injektioneste Folinate calcium 2 mg/ml
Glukoosi 5% 81
Yhteensopiva
Injektioneste Piperacillin sodium / tazobactam 40/5 mg/ml
Injektioneste Fosfomycin 30 mg/ml
Glukoosi 5% 4055
Yhteensopiva
Injektioneste Piperacillin sodium / tazobactam 40/5 mg/ml
Injektioneste Furosemide 3 mg/ml
Glukoosi 5% 81
Yhteensopiva
Injektioneste Piperacillin sodium / tazobactam 40/5 mg/ml
Injektioneste Gallium nitrate 0.4 mg/ml
Glukoosi 5% 81
Välitön sameus yhteensopimaton
Injektioneste Piperacillin sodium / tazobactam 40/5 mg/ml
Injektioneste Gemcitabine hydrochloride 10 mg/ml
Natriumkloridi 0,9% 1423
Määrittelemätön yhteensopimattomuus yhteensopimaton
Injektioneste Piperacillin sodium / tazobactam
Injektioneste Gentamicin sulfate
3520
Määrittelemätön yhteensopimattomuus yhteensopimaton
Injektioneste Piperacillin sodium / tazobactam
Injektioneste Gentamicin sulfate
3643
Yhteensopiva
Injektioneste Piperacillin sodium / tazobactam 0.5/0.0625 mg/ml
Injektioneste Heparin sodium 0.5 UI/ml
Dianéal® 1.5% glucose (Baxter) 4180
Yhteensopiva
Injektioneste Piperacillin sodium / tazobactam 0.5/0.0625 mg/ml
Injektioneste Heparin sodium 0.5 UI/ml
Extraneal® (Baxter) 4180
Yhteensopiva
Injektioneste Piperacillin sodium / tazobactam 1.38/0.1725 mg/ml
Injektioneste Heparin sodium 1.4 UI/ml
Physionéal® 2.27 (Baxter) 4180
Yhteensopiva
Injektioneste Piperacillin sodium / tazobactam 0.5/0.0625 mg/ml
Injektioneste Heparin sodium 0.5 UI/ml
Dianéal® 4.25% glucose (Baxter) 4180
Yhteensopiva
Injektioneste Piperacillin sodium / tazobactam 1.38/0.1725 mg/ml
Injektioneste Heparin sodium 1.4 UI/ml
Physionéal® 3.86 (Baxter) 4180
Yhteensopiva
Injektioneste Piperacillin sodium / tazobactam 1.38/0.1725 mg/ml
Injektioneste Heparin sodium 1.4 UI/ml
Physionéal® 1.36 (Baxter) 4180
Yhteensopiva
Injektioneste Piperacillin sodium / tazobactam 0.5/0.0625 mg/ml
Injektioneste Heparin sodium 0.5 UI/ml
Dianéal® 2.5% glucose (Baxter) 4180
Yhteensopiva
Injektioneste Piperacillin sodium / tazobactam 40/5 mg/ml
Injektioneste Heparin sodium 100 UI/ml
Glukoosi 5% 81
Yhteensopiva
Injektioneste Piperacillin sodium / tazobactam 40/5 mg/ml
Injektioneste Hetastarch 60 mg/ml
spesifiseen liuottimeen 1721
Yhteensopiva
Injektioneste Piperacillin sodium / tazobactam 40/5 mg/ml
Injektioneste Hydrocortisone sodium succinate 1 mg/ml
Glukoosi 5% 81
Yhteensopiva
Injektioneste Piperacillin sodium / tazobactam 40/5 mg/ml
Injektioneste Hydromorphone hydrochloride 0.5 mg/ml
Glukoosi 5% 81
Välittömät sateet yhteensopimaton
Injektioneste Piperacillin sodium / tazobactam 40/5 mg/ml
Injektioneste Hydroxyzine dihydrochloride 4 mg/ml
Glukoosi 5% 81
Välitön sameus yhteensopimaton
Injektioneste Piperacillin sodium / tazobactam 40/5 mg/ml
Injektioneste Idarubicin hydrochloride 0.5 mg/ml
Glukoosi 5% 81
Yhteensopiva
Injektioneste Piperacillin sodium / tazobactam 40/5 mg/ml
Injektioneste Ifosfamide 25 mg/ml
Glukoosi 5% 81
Yhteensopiva
Injektioneste Piperacillin sodium / tazobactam 166/20.83 mg/ml
Injektioneste Insulin 1 UI/ml
Natriumkloridi 0,9% 4254
Yhteensopiva
Injektioneste Piperacillin sodium / tazobactam 45 mg/ml
Injektioneste Insulin aspart 1 UI/ml
Natriumkloridi 0,9% 1508
Yhteensopiva
Injektioneste Piperacillin sodium / tazobactam 45 mg/ml
Injektioneste Insulin aspart 1 UI/ml
Glukoosi 5% 1508
Yhteensopiva
Injektioneste Piperacillin sodium / tazobactam 40/5 mg/ml
Injektioneste Isavuconazonium sulfate 1.5 mg/ml
Natriumkloridi 0,9% 3829
Yhteensopiva
Injektioneste Piperacillin sodium / tazobactam 40/5 mg/ml
Injektioneste Lansoprazole 0.55 mg/ml
Natriumkloridi 0,9% 1625
Yhteensopiva
Injektioneste Piperacillin sodium / tazobactam 166/20.83 mg/ml
Injektioneste Levetiracetam 20.83 mg/ml
Glukoosi 5% 4254
Yhteensopiva
Injektioneste Piperacillin sodium / tazobactam 166/20.83 mg/ml
Injektioneste Levetiracetam 20.83 mg/ml
Natriumkloridi 0,9% 4254
Yhteensopiva
Injektioneste Piperacillin sodium / tazobactam 80 mg/ml
Parenteraalisesti (rasva-free) 3948
Yhteensopiva
Injektioneste Piperacillin sodium / tazobactam 166/20.83 mg/ml
Injektioneste Insulin 1 UI/ml
Glukoosi 5% 4254
Yhteensopiva
Injektioneste Piperacillin sodium / tazobactam 33,75 mg/ml
Injektioneste Levetiracetam 5 mg/ml
Natriumkloridi 0,9% 4569
Yhteensopiva
Injektioneste Piperacillin sodium / tazobactam 40/5 mg/ml
Parenteraalisesti (rasva-free) 301
Välitön sameus yhteensopimaton
Injektioneste Piperacillin sodium / tazobactam 40/5 mg/ml
Injektioneste Isavuconazonium sulfate 1.5 mg/ml
Glukoosi 5% 3829
Määrittelemätön yhteensopimattomuus yhteensopimaton
Injektioneste Piperacillin sodium / tazobactam
NaHCO3 3586
Kemiallinen epävakaus yhteensopimaton
Injektioneste Piperacillin sodium / tazobactam
Injektioneste Kanamycin sulfate
3586
Yhteensopiva
Injektioneste Piperacillin sodium / tazobactam 200 mg/ml
Injektioneste Ketamine hydrochloride 50 mg/ml
2109
Subvisuaalinen yhteensopimattomuus yhteensopimaton
Injektioneste Piperacillin sodium / tazobactam 45 mg/ml
Injektioneste Levetiracetam 5 mg/ml
Natriumkloridi 0,9% 4569
Yhteensopiva
Injektioneste Piperacillin sodium / tazobactam 125 mg/ml
Injektioneste Linezolid 2 mg/ml
4928
Yhteensopiva
Injektioneste Piperacillin sodium / tazobactam 40/5 mg/ml
Injektioneste Linezolid 2 mg/ml
Ei mikään 1925
Yhteensopiva
Injektioneste Piperacillin sodium / tazobactam 40/5 mg/ml
Injektioneste Lorazepam 0.1 mg/ml
Glukoosi 5% 81
Yhteensopiva
Injektioneste Piperacillin sodium / tazobactam 40/5 mg/ml
Injektioneste Magnesium sulfate 100 mg/ml
Glukoosi 5% 81
Yhteensopiva
Injektioneste Piperacillin sodium / tazobactam 40/5 mg/ml
Injektioneste Mannitol 150 mg/ml
Glukoosi 5% 81
Yhteensopiva
Injektioneste Piperacillin sodium / tazobactam 200 mg/ml
Injektioneste Meropenem 50 mg/ml
Injektionesteisiin käytettävä vesi 4319
Yhteensopiva
Injektioneste Piperacillin sodium / tazobactam 40/5 mg/ml
Injektioneste Mesna 10 mg/ml
Glukoosi 5% 81
Yhteensopiva
Injektioneste Piperacillin sodium / tazobactam 40/5 mg/ml
Injektioneste Methotrexate sodium 15 mg/ml
Glukoosi 5% 81
Yhteensopiva
Injektioneste Piperacillin sodium / tazobactam 40/5 mg/ml
Injektioneste Methylprednisolone sodium succinate 5 mg/ml
Glukoosi 5% 81
Yhteensopiva
Injektioneste Piperacillin sodium / tazobactam 40/5 mg/ml
Injektioneste Metoclopramide hydrochloride 5 mg/ml
Glukoosi 5% 81
Yhteensopiva
Injektioneste Piperacillin sodium / tazobactam 40/5 mg/ml
Injektioneste Metronidazole 5 mg/ml
Glukoosi 5% 81
Välittömät sateet yhteensopimaton
Injektioneste Piperacillin sodium / tazobactam 40/5 mg/ml
Injektioneste Minocycline hydrochloride 1 mg/ml
Glukoosi 5% 81
Värinvaihto 4 tunnin kuluttua yhteensopimaton
Injektioneste Piperacillin sodium / tazobactam 40/5 mg/ml
Injektioneste Mitomycin 0.5 mg/ml
Glukoosi 5% 81
Välittömät sateet yhteensopimaton
Injektioneste Piperacillin sodium / tazobactam 40/5 mg/ml
Injektioneste Mitoxantrone dihydrochloride 0.5 mg/ml
Glukoosi 5% 81
Yhteensopiva
Injektioneste Piperacillin sodium / tazobactam 40/5 mg/ml
Injektioneste Morphine sulfate 1 mg/ml
Glukoosi 5% 81
Yhteensopiva
Injektioneste Piperacillin sodium / tazobactam
Injektioneste N-acetylcysteine 200 mg/ml
Ei mikään 3766
Välitön sameus yhteensopimaton
Injektioneste Piperacillin sodium / tazobactam 40/5 mg/ml
Injektioneste Nalbuphine hydrochloride 10 mg/ml
Glukoosi 5% 81
Yhteensopiva
Injektioneste Piperacillin sodium / tazobactam 200 mg/ml
Injektioneste Naloxone hydrochloride 0.4 mg/ml
Ei mikään 3408
Kemiallinen epävakaus yhteensopimaton
Injektioneste Piperacillin sodium / tazobactam
Injektioneste Netilmicin sulfate
3586
Yhteensopiva
Injektioneste Piperacillin sodium / tazobactam 20/2,5 & 40/5 mg/ml
Injektioneste Ondansetron hydrochloride 0,015 >> 0,15 mg/ml
Natriumkloridi 0,9% 16
Yhteensopiva
Injektioneste Piperacillin sodium / tazobactam 40/5 mg/ml
Injektioneste Ondansetron hydrochloride 0.1 mg/ml
Glukoosi 5% 81
Yhteensopiva
Injektioneste Piperacillin sodium / tazobactam 200/25 mg/ml
Injektioneste Oxycodone hydrochloride 1 mg/ml
Natriumkloridi 0,9% 4842
Sade 1 tunnin kuluttua yhteensopimaton
Injektioneste Piperacillin sodium / tazobactam
Injektioneste Pantoprazole sodium
2090
Yhteensopiva
Injektioneste Piperacillin sodium / tazobactam 100 mg/ml
Injektioneste Paracetamol 10 mg/ml
Ei mikään 3571
Yhteensopiva
Injektioneste Piperacillin sodium / tazobactam 100 mg/ml
Injektioneste Paracetamol 10 mg/ml
4742
Yhteensopiva
Injektioneste Piperacillin sodium / tazobactam 200 mg/ml
Injektioneste Pentoxifyllin 5 mg/ml
Natriumkloridi 0,9% 4538
Yhteensopiva
Injektioneste Piperacillin sodium / tazobactam 40/5 mg/ml
Injektioneste Pethidine hydrochloride 4 mg/ml
Glukoosi 5% 81
Kemiallinen epävakaus yhteensopimaton
Injektioneste Piperacillin sodium / tazobactam
Injektioneste Plazomicin sulfate
3586
Yhteensopiva
Injektioneste Piperacillin sodium / tazobactam 40/5 mg/ml
Injektioneste Plazomicin sulfate 24 mg/ml
Natriumkloridi 0,9% 4145
Välittömät sateet yhteensopimaton
Injektioneste Piperacillin sodium / tazobactam 160 mg/ml
Injektioneste Posaconazole 1,2 mg/ml
Natriumkloridi 0,9% 4521
Yhteensopiva
Injektioneste Piperacillin sodium / tazobactam 40/5 mg/ml
Injektioneste Potassium chloride 100 mEq/l
Glukoosi 5% 81
Välitön sameus yhteensopimaton
Injektioneste Piperacillin sodium / tazobactam 40/5 mg/ml
Injektioneste Prochlorperazine edysilate 0.5 mg/ml
Glukoosi 5% 81
Välitön sameus yhteensopimaton
Injektioneste Piperacillin sodium / tazobactam 40/5 mg/ml
Injektioneste Promethazine hydrochloride 2 mg/ml
Glukoosi 5% 81
Yhteensopiva
Injektioneste Piperacillin sodium / tazobactam 40/5 mg/ml
Injektioneste Ranitidine hydrochloride 2 mg/ml
Glukoosi 5% 81
Yhteensopiva
Injektioneste Piperacillin sodium / tazobactam 40/5 mg/ml
Injektioneste Remifentanil hydrochloride 25 & 250 µg/ml
Natriumkloridi 0,9% 59
Välittömät sateet yhteensopimaton
Injektioneste Piperacillin sodium / tazobactam 200 mg/ml
Injektioneste Salbutamol sulfate 1 mg/ml
Ei mikään 3216
Yhteensopiva
Injektioneste Piperacillin sodium / tazobactam 40/5 mg/ml
Injektioneste Sargramostim 10 µg/ml
Glukoosi 5% 81
Yhteensopiva
Injektioneste Piperacillin sodium / tazobactam 200 mg/ml
Injektioneste Sildenafil citrate 0,6 mg/ml
Glukoosi 5% 4845
Määrittelemätön yhteensopimattomuus yhteensopimaton
Injektioneste Piperacillin sodium / tazobactam
Injektioneste Sodium bicarbonate
3586
Yhteensopiva
Injektioneste Piperacillin sodium / tazobactam 40/5 mg/ml
Injektioneste Sodium bicarbonate 84 mg/ml
Glukoosi 5% 81
Kemiallinen epävakaus yhteensopimaton
Injektioneste Piperacillin sodium / tazobactam
Injektioneste Streptomycin sulfate
3586
Sade 1 tunnin kuluttua yhteensopimaton
Injektioneste Piperacillin sodium / tazobactam 40/5 mg/ml
Injektioneste Streptozocin 40 mg/ml
Glukoosi 5% 81
Yhteensopiva
Injektioneste Piperacillin sodium / tazobactam 40/5 mg/ml
Injektioneste Sulbactam/durlobactam 15/15 mg/ml
Natriumkloridi 0,9% 4801
Yhteensopiva
Injektioneste Piperacillin sodium / tazobactam 40/5 mg/ml
Injektioneste Tedizolid phosphate 0.8 mg/ml
Natriumkloridi 0,9% 3827
Yhteensopiva
Injektioneste Piperacillin sodium / tazobactam 40/5 mg/ml
Injektioneste Telavancin hydrochloride 7.5 mg/ml
Glukoosi 5% 3254
Yhteensopiva
Injektioneste Piperacillin sodium / tazobactam 40/5 mg/ml
Injektioneste Telavancin hydrochloride 7.5 mg/ml
Natriumkloridi 0,9% 3254
Yhteensopiva
Injektioneste Piperacillin sodium / tazobactam 40/5 mg/ml
Injektioneste Telavancin hydrochloride 7.5 mg/ml
Ringerlaktaattiliuos 3254
Kemiallinen epävakaus yhteensopimaton
Injektioneste Piperacillin sodium / tazobactam 200 mg/ml
Injektioneste Temocilline 83.33 mg/ml
Injektionesteisiin käytettävä vesi 2231
Määrittelemätön yhteensopimattomuus yhteensopimaton
Injektioneste Piperacillin sodium / tazobactam
Injektioneste Temocilline
4470
Yhteensopiva
Injektioneste Piperacillin sodium / tazobactam 166/20.83 mg/ml
Injektioneste Thiamine hydrochloride 0.4 mg/ml
Glukoosi 5% 4254
Välittömät sateet yhteensopimaton
Injektioneste Piperacillin sodium / tazobactam 200 mg/ml
Injektioneste Thiopental sodium 25 mg/ml
Natriumkloridi 0,9% 3767
Yhteensopiva
Injektioneste Piperacillin sodium / tazobactam 40/5 mg/ml
Injektioneste Thiotepa 1 mg/ml
Glukoosi 5% 81
Yhteensopiva
Injektioneste Piperacillin sodium / tazobactam
Injektioneste Tigecycline
Natriumkloridi 0,9% 3332
Kemiallinen epävakaus yhteensopimaton
Injektioneste Piperacillin sodium / tazobactam
Injektioneste Tobramycin sulfate
3586
Välittömät sateet yhteensopimaton
Injektioneste Piperacillin sodium / tazobactam 112,5 mg/ml
Injektioneste Vancomycin hydrochloride 10 mg/ml
Glukoosi 5% 3428
Yhteensopiva
Injektioneste Piperacillin sodium / tazobactam
Glukoosi 5% 3586
Yhteensopiva
Injektioneste Piperacillin sodium / tazobactam
Natriumkloridi 0,9% 5069
Välittömät sateet yhteensopimaton
Injektioneste Piperacillin sodium / tazobactam 100/12,5 mg/ml
Injektioneste Vancomycin hydrochloride 10 mg/ml
3365
Välittömät sateet yhteensopimaton
Injektioneste Piperacillin sodium / tazobactam 40 >> 100 mg/ml
Injektioneste Vancomycin hydrochloride 10 mg/ml
Natriumkloridi 0,9% 2475
Välittömät sateet yhteensopimaton
Injektioneste Piperacillin sodium / tazobactam
Injektioneste Vancomycin hydrochloride >8 mg/ml
Natriumkloridi 0,9% 3841
Yhteensopiva
Injektioneste Piperacillin sodium / tazobactam 16 >> 100 mg/ml
Injektioneste Vancomycin hydrochloride 2 mg/ml
Natriumkloridi 0,9% 2475
Yhteensopiva
Injektioneste Piperacillin sodium / tazobactam 16 >> 100 mg/ml
Injektioneste Vancomycin hydrochloride 5 mg/ml
Natriumkloridi 0,9% 2475
Yhteensopiva
Injektioneste Piperacillin sodium / tazobactam 16 >> 30 mg/ml
Injektioneste Vancomycin hydrochloride 10 mg/ml
Natriumkloridi 0,9% 2475
Yhteensopiva
Injektioneste Piperacillin sodium / tazobactam 30/3,75 mg/ml
Injektioneste Vancomycin hydrochloride 4 mg/ml
Natriumkloridi 0,9% 3421
Yhteensopiva
Injektioneste Piperacillin sodium / tazobactam 40/5 mg/ml
Injektioneste Vancomycin hydrochloride 4 mg/ml
Natriumkloridi 0,9% 3421
Yhteensopiva
Injektioneste Piperacillin sodium / tazobactam 33.75 >> 90 mg/ml
Injektioneste Vancomycin hydrochloride 4 >> 7 mg/ml
Natriumkloridi 0,9% 3841
Välittömät sateet yhteensopimaton
Injektioneste Piperacillin sodium / tazobactam 80 & 90 mg/ml
Injektioneste Vancomycin hydrochloride 8 mg/ml
Natriumkloridi 0,9% 3841
Yhteensopiva
Injektioneste Piperacillin sodium / tazobactam 33.75 >> 67.5 mg/ml
Injektioneste Vancomycin hydrochloride 8 mg/ml
Natriumkloridi 0,9% 3841
Välitön sameus yhteensopimaton
Injektioneste Piperacillin sodium / tazobactam 40/5 mg/ml
Injektioneste Vancomycin hydrochloride 10 mg/ml
Glukoosi 5% 81
Määrittelemätön yhteensopimattomuus yhteensopimaton
Injektioneste Piperacillin sodium / tazobactam 200 mg/ml
Injektioneste Vancomycin hydrochloride 10 mg/ml
Glukoosi 5% 3385
Välittömät sateet yhteensopimaton
Injektioneste Piperacillin sodium / tazobactam 10/1.25 >> 200/25 mg/ml
Injektioneste Vancomycin hydrochloride 20 mg/ml
Glukoosi 5% 1674
Välittömät sateet yhteensopimaton
Injektioneste Piperacillin sodium / tazobactam 80 >> 100 mg/ml
Injektioneste Vancomycin hydrochloride 4 mg/ml
Glukoosi 5% 2475
Välittömät sateet yhteensopimaton
Injektioneste Piperacillin sodium / tazobactam 16 >> 100 mg/ml
Injektioneste Vancomycin hydrochloride 8 mg/ml
Glukoosi 5% 2475
Välittömät sateet yhteensopimaton
Injektioneste Piperacillin sodium / tazobactam 28 mg/ml
Injektioneste Vancomycin hydrochloride 10 & 15 mg/ml
Glukoosi 5% 3984
Välittömät sateet yhteensopimaton
Injektioneste Piperacillin sodium / tazobactam 67,5 mg/ml
Injektioneste Vancomycin hydrochloride 5 mg/ml
Glukoosi 5% 3960
Yhteensopiva
Injektioneste Piperacillin sodium / tazobactam 16 >> 40 mg/ml
Injektioneste Vancomycin hydrochloride 4 mg/ml
Glukoosi 5% 2475
Yhteensopiva
Injektioneste Piperacillin sodium / tazobactam 28 mg/ml
Injektioneste Vancomycin hydrochloride 5 mg/ml
Glukoosi 5% 3984
Yhteensopiva
Injektioneste Piperacillin sodium / tazobactam 1/0.125 >> 200/25 mg/ml
Injektioneste Vancomycin hydrochloride 2 mg/ml
Glukoosi 5% 1674
Yhteensopiva
Injektioneste Piperacillin sodium / tazobactam 1/0.125 mg/ml
Injektioneste Vancomycin hydrochloride 20 mg/ml
Glukoosi 5% 1674
Yhteensopiva
Injektioneste Piperacillin sodium / tazobactam 112.5 mg/ml
Injektioneste Vasopressin 0.2 UI/ml
Natriumkloridi 0,9% 2017
Yhteensopiva
Injektioneste Piperacillin sodium / tazobactam 40/5 mg/ml
Injektioneste Vinblastine sulfate 0.12 mg/ml
Glukoosi 5% 81
Yhteensopiva
Injektioneste Piperacillin sodium / tazobactam 40/5 mg/ml
Injektioneste Vincristine sulfate 0.05 mg/ml
Glukoosi 5% 81
Yhteensopiva
Injektioneste Piperacillin sodium / tazobactam 40/5 mg/ml
Injektioneste Zidovudine 4 mg/ml
Glukoosi 5% 81
Yhteensopiva
Injektioneste Piperacillin sodium / tazobactam 40/5 mg/ml
Normosol® 4655

  Mentions Légales