Cập nhật lần cuối :
27/04/2026
Kháng sinh   Amikacin sulfate  
Dạng tiêm
Tính ổn định của các dung dịch Độ ổn định khi trộn lẫn Những yếu tố ảnh hưởng đến độ ổn định Khả năng tương thích Đường dùng Tài liệu tham khảo Pdf
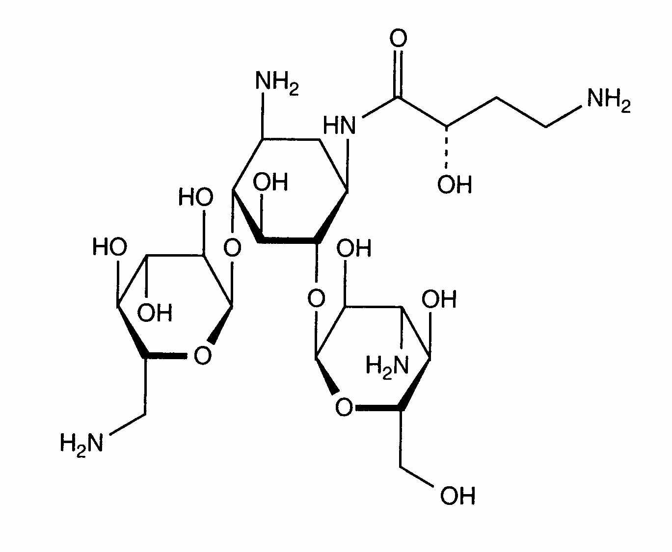
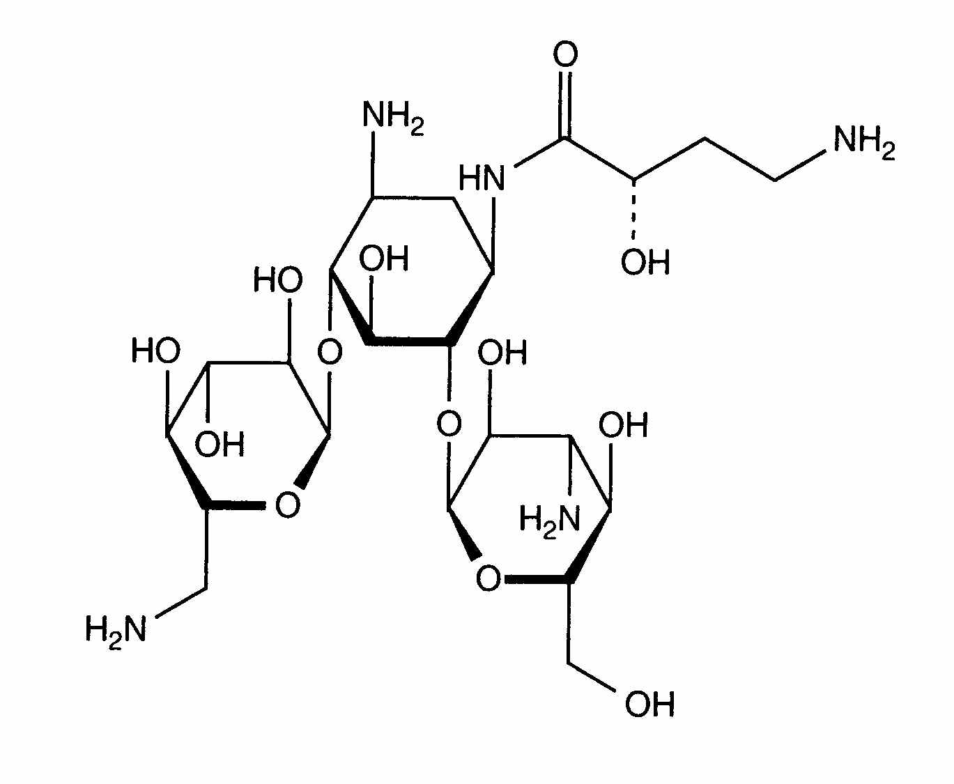
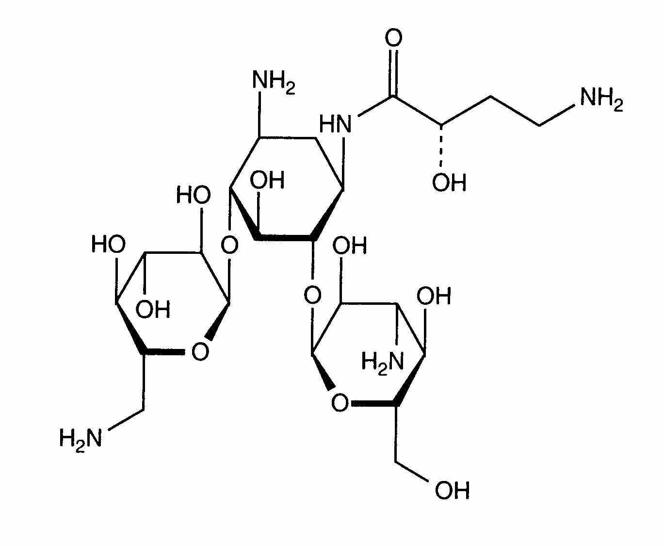
   Cấu trúc hóa học  

Tên thương mại   Tên thương mại     

Các tên thương mại được cung cấp và thành phần tá dược có thể khác nhau giữa các quốc gia và các hãng dược

Adnet Ấn Độ
Agnicin Mexico
Akamin Ecuador
Akim Ecuador
Amicacil Brazil
Amicilon Brazil
Amicin Malaysia
Amicip Venezuela
Amijeksin Thổ Nhĩ Kỳ
Amikabiot Ecuador, Peru
Amikacin Ả Rập, Ả Rập Saudi, Anh, Canada, Hoa Kỳ, Iran, Malaysia, new zealand, Đức
Amikacina Argentina, Chile, Colombia, Ecuador, Mexico, Peru, Tây Ban Nha, Venezuela, Ý
Amikacine Bỉ, Hà Lan, Morocco, Pháp
Amikafur Mexico
Amikagram Peru
Amikalem Mexico
Amikamed Peru
Amikamek Peru
Amikan Ý
Amikavax Venezuela
Amikaver Thổ Nhĩ Kỳ
Amikayect Mexico
Amikem Peru
Amiketem Thổ Nhĩ Kỳ
Amikin Ả Rập, Ả Rập Saudi, Anh, Ba Lan, Brazil, Colombia, Ecuador, Hoa Kỳ, Hungary, Ireland, Mexico, Peru, Thụy Sỹ, Tunisia, Úc
Amiklin Pháp, Thổ Nhĩ Kỳ
Amikosit Romania, Thổ Nhĩ Kỳ, Tunisia
Amikram Peru
Amukin Bỉ, Hà Lan, Luxembourg
Apalin Malaysia
Baxi K Chile, Mexico
Behcacin Ấn Độ, Venezuela
Belka Ấn Độ
Biclin Áo, Bồ Đào Nha, Mexico, Phần Lan, Tây Ban Nha, Thụy Điển, Đức
Biodacyna Ba Lan
Biokacin Mexico
Briklin Hy Lạp
Cadicin Ấn Độ
Chemacin Ý
Cikabit Ấn Độ
Cinamica Ấn Độ
Cinas Ấn Độ
Consumonit Hy Lạp
Domak Ấn Độ
Doxocar Argentina
Elcin Ấn Độ
Elmik Ấn Độ
Emcin Ấn Độ
Emica Ấn Độ
Farcyclin Hy Lạp
Flexelite Hy Lạp
Greini Argentina
Ipacin Iran
Itukacin Peru
Kancin Hy Lạp
Lanomycin Hy Lạp
Lukadin Ý
Masmika Ấn Độ
Mediamik Ý
Micalpha Hy Lạp
Micigen Mexico
Migracin Ý
Mikacin Ả Rập Saudi
Nekacin Ý
Novamin Brazil
Orlobin Hy Lạp
Remikin Hy Lạp
Rovericlin Hy Lạp
Uzix Hy Lạp
Khả năng tương thích   Dạng tiêm   Khả năng tương thích : Amikacin sulfate              
Màn hình này cho biết khả năng tương thích hoặc không tương thích, trong trường hợp này là loại không tương thích (kết tủa, thay đổi màu sắc, sửa đổi nhũ tương, v.v.). Sự tương hợp được chỉ ra ở đây chủ yếu chỉ là vật lý, với độ ổn định hóa học của mỗi phân tử hiếm khi được đánh giá. Việc đánh giá các hỗn hợp này được nghiên cứu để xem xét khả năng sử dụng vị trí Y cho bệnh nhân. Những dữ liệu này không thể được sử dụng để tạo hỗn hợp trước trong túi hoặc ống tiêm. Loại thông tin này có sẵn trong màn hình "Độ ổn định trong hỗn hợp».
Phân tử Dung môi Mục lục
Tương thích
Dạng tiêm Amikacin sulfate 5 mg/ml
Dạng tiêm Aciclovir sodium 5 mg/ml
Glucose 5% 336
Lượng mưa sau 1 giờ Không tương thích
Dạng tiêm Amikacin sulfate 5 mg/ml
Dạng tiêm Allopurinol sodium 3 mg/ml
NaCl 0,9% 307
Tương thích
Dạng tiêm Amikacin sulfate 5 mg/ml
Dạng tiêm Amifostine 10 mg/ml
Glucose 5% 3
Tương thích
Dạng tiêm Amikacin sulfate 5 mg/ml
Dạng tiêm Amiodarone hydrochloride 4 mg/ml
NaCl 0,9% 385
Tương thích
Dạng tiêm Amikacin sulfate 5 mg/ml
Dạng tiêm Amiodarone hydrochloride 4 mg/ml
Glucose 5% 385
Không ổn định hóa học Không tương thích
Dạng tiêm Amikacin sulfate
Dạng tiêm Amoxicillin sodium
3527
Không ổn định hóa học Không tương thích
Dạng tiêm Amikacin sulfate
Dạng tiêm Amoxicillin sodium
3549
Tương thích
Dạng tiêm Amikacin sulfate 250 mg/ml
Dạng tiêm Amoxicillin sodium / clavulanic acid 100/10 mg/ml
3824
Không ổn định hóa học Không tương thích
Dạng tiêm Amikacin sulfate
Dạng tiêm Amoxicillin sodium / clavulanic acid
3549
Không tương thích không xác định Không tương thích
Dạng tiêm Amikacin sulfate
Dạng tiêm Amoxicillin sodium / clavulanic acid
3545
Không tương thích không xác định Không tương thích
Dạng tiêm Amikacin sulfate
Dạng tiêm Amphotericin B
3549
Lượng mưa ngay lập tức Không tương thích
Dạng tiêm Amikacin sulfate 5 mg/ml
Dạng tiêm Amphotericin B cholesteryl sulfate complex 0.83 mg/ml
Glucose 5% 921
Không ổn định hóa học Không tương thích
Dạng tiêm Amikacin sulfate
Dạng tiêm Ampicillin sodium
3549
Không ổn định hóa học Không tương thích
Dạng tiêm Amikacin sulfate
Dạng tiêm Ampicillin sodium - sulbactam sodium
3549
Tương thích
Dạng tiêm Amikacin sulfate 5 mg/ml
Dạng tiêm Amsacrine 1 mg/ml
Glucose 5% 253
Tương thích
Dạng tiêm Amikacin sulfate 5 mg/ml
Dạng tiêm Anidulafungin 0.5 mg/ml
Glucose 5% 1982
Không tương thích không xác định Không tương thích
Dạng tiêm Amikacin sulfate
Dạng tiêm Ascorbic acid
3549
Lượng mưa ngay lập tức Không tương thích
Dạng tiêm Amikacin sulfate 100 mg/ml
Dạng tiêm Azithromycine 2 mg/ml
NaCl 0,9% 1800
Không ổn định hóa học Không tương thích
Dạng tiêm Amikacin sulfate
Dạng tiêm Aztreonam
3549
Tương thích
Dạng tiêm Amikacin sulfate 5 mg/ml
Dạng tiêm Aztreonam 40 mg/ml
Glucose 5% 99
Tương thích
Dạng tiêm Amikacin sulfate 5 mg/ml
Dạng tiêm Bivalirudin 5 mg/ml
Glucose 5% 1713
Tương thích
Dạng tiêm Amikacin sulfate 250 mg/ml
Dạng tiêm Caffeine 10 mg/ml
Không 3964
Không tương thích
Dạng tiêm Amikacin sulfate
Dạng tiêm Calcium gluconate
4964
Không tương thích không xác định Không tương thích
Dạng tiêm Amikacin sulfate
Dạng tiêm Calcium gluconate
3644
Tương thích
Dạng tiêm Amikacin sulfate 5 mg/ml
Dạng tiêm Caspofungin acetate 0,7 mg/ml
NaCl 0,9% 2247
Không ổn định hóa học Không tương thích
Dạng tiêm Amikacin sulfate
Dạng tiêm Cefalotin sodium
3549
Không ổn định hóa học Không tương thích
Dạng tiêm Amikacin sulfate
Dạng tiêm Cefamandole nafate
3549
Không tương thích không xác định Không tương thích
Dạng tiêm Amikacin sulfate
Dạng tiêm Cefamandole nafate
3546
Không ổn định hóa học Không tương thích
Dạng tiêm Amikacin sulfate
Dạng tiêm Cefazolin sodium
3549
Tương thích
Dạng tiêm Amikacin sulfate 6 mg/ml
Dạng tiêm Cefepime dihydrochloride 40 mg/ml
NaCl 0,9% 3548
Tương thích
Dạng tiêm Amikacin sulfate 6 mg/ml
Dạng tiêm Cefepime dihydrochloride 40 mg/ml
Glucose 5% 3548
Tương thích
Dạng tiêm Amikacin sulfate 15 mg/ml
Dạng tiêm Cefepime dihydrochloride 125 mg/ml
Nước cất pha tiêm 2141
Không ổn định hóa học Không tương thích
Dạng tiêm Amikacin sulfate
Dạng tiêm Cefepime dihydrochloride
3549
Tương thích
Dạng tiêm Amikacin sulfate 5 mg/ml
Dạng tiêm Cefiderocol sulfate tosylate 20 mg/mL
Glucose 5% 4528
Không ổn định hóa học Không tương thích
Dạng tiêm Amikacin sulfate
Dạng tiêm Cefmenoxime
3549
Không ổn định hóa học Không tương thích
Dạng tiêm Amikacin sulfate
Dạng tiêm Cefmetazole sodium
3549
Không ổn định hóa học Không tương thích
Dạng tiêm Amikacin sulfate
Dạng tiêm Cefonicid sodium
3549
Không ổn định hóa học Không tương thích
Dạng tiêm Amikacin sulfate
Dạng tiêm Cefoperazone sodium
3549
Không tương thích không xác định Không tương thích
Dạng tiêm Amikacin sulfate
Dạng tiêm Cefoperazone sodium
3544
Không ổn định hóa học Không tương thích
Dạng tiêm Amikacin sulfate
Dạng tiêm Ceforanide
3549
Không ổn định hóa học Không tương thích
Dạng tiêm Amikacin sulfate
Dạng tiêm Cefotaxime sodium
3549
Không ổn định hóa học Không tương thích
Dạng tiêm Amikacin sulfate
Dạng tiêm Cefoxitin sodium
3549
Không tương thích không xác định Không tương thích
Dạng tiêm Amikacin sulfate
Dạng tiêm Cefpirome sulfate
3677
Tương thích
Dạng tiêm Amikacin sulfate 5 mg/ml
Dạng tiêm Cefpirome sulfate 50 mg/ml
NaCl 0,45% 280
Tương thích
Dạng tiêm Amikacin sulfate 5 mg/ml
Dạng tiêm Cefpirome sulfate 50 mg/ml
Glucose 5% 280
Tương thích
Dạng tiêm Amikacin sulfate 5 mg/ml
Dạng tiêm Cefpirome sulfate 50 mg/ml
NaCl 0,9% 280
Tương thích
Dạng tiêm Amikacin sulfate 5 mg/ml
Dạng tiêm Cefpirome sulfate 50 mg/ml
Dung dịch Ringer’s lactate 280
Không ổn định hóa học Không tương thích
Dạng tiêm Amikacin sulfate
Dạng tiêm Cefpirome sulfate
3549
Tương thích
Dạng tiêm Amikacin sulfate 5 mg/ml
Dạng tiêm Ceftaroline fosamil 2,22 mg/ml
Dung dịch Ringer’s lactate 3249
Tương thích
Dạng tiêm Amikacin sulfate 5 mg/ml
Dạng tiêm Ceftaroline fosamil 2,22 mg/ml
Glucose 5% 3249
Tương thích
Dạng tiêm Amikacin sulfate 5 mg/ml
Dạng tiêm Ceftaroline fosamil 2,22 mg/ml
NaCl 0,9% 3249
Không tương thích không xác định Không tương thích
Dạng tiêm Amikacin sulfate
Dạng tiêm Ceftazidime
3883
Không tương thích không xác định Không tương thích
Dạng tiêm Amikacin sulfate
Dạng tiêm Ceftazidime
3543
Tương thích
Dạng tiêm Amikacin sulfate 15 mg/ml
Dạng tiêm Ceftazidime 83.3 mg/ml
1759
Không ổn định hóa học Không tương thích
Dạng tiêm Amikacin sulfate
Dạng tiêm Ceftazidime Avibactam
3549
Lượng mưa ngay lập tức Không tương thích
Dạng tiêm Amikacin sulfate 5 mg/ml
Dạng tiêm Ceftobiprole medocaril sodium 2 mg/ml
NaCl 0,9% 2269
Không tương thích không xác định Không tương thích
Dạng tiêm Amikacin sulfate
Dạng tiêm Ceftobiprole medocaril sodium
4650
Tương thích
Dạng tiêm Amikacin sulfate
Glucose 5% 5076
Không ổn định hóa học Không tương thích
Dạng tiêm Amikacin sulfate
Dạng tiêm Ceftaroline fosamil
3549
Không ổn định hóa học Không tương thích
Dạng tiêm Amikacin sulfate
Dạng tiêm Ceftazidime
3549
Tương thích
Dạng tiêm Amikacin sulfate 15 mg/ml
Dạng tiêm Ceftazidime 125 mg/ml
Nước cất pha tiêm 2141
Không ổn định hóa học Không tương thích
Dạng tiêm Amikacin sulfate
Dạng tiêm Ceftizoxime sodium
3549
Lượng mưa ngay lập tức Không tương thích
Dạng tiêm Amikacin sulfate 5 mg/ml
Dạng tiêm Ceftobiprole medocaril sodium 2 mg/ml
Glucose 5% 2269
Không ổn định hóa học Không tương thích
Dạng tiêm Amikacin sulfate
Dạng tiêm Ceftobiprole medocaril sodium
3549
Lượng mưa ngay lập tức Không tương thích
Dạng tiêm Amikacin sulfate 5 mg/ml
Dạng tiêm Ceftobiprole medocaril sodium 2 mg/ml
Dung dịch Ringer’s lactate 2269
Tương thích
Dạng tiêm Amikacin sulfate 5 mg/ml
Dạng tiêm Ceftolozane / tazobactam 10/5 mg/ml
Glucose 5% 3828
Tương thích
Dạng tiêm Amikacin sulfate 5 mg/ml
Dạng tiêm Ceftolozane / tazobactam 10/5 mg/ml
NaCl 0,9% 3828
Không ổn định hóa học Không tương thích
Dạng tiêm Amikacin sulfate
Dạng tiêm Ceftolozane / tazobactam
3549
Không tương thích không xác định Không tương thích
Dạng tiêm Amikacin sulfate
Dạng tiêm Ceftriaxone disodium
3523
Không ổn định hóa học Không tương thích
Dạng tiêm Amikacin sulfate
Dạng tiêm Ceftriaxone disodium
3549
Không ổn định hóa học Không tương thích
Dạng tiêm Amikacin sulfate
Dạng tiêm Cefuroxime sodium
3549
Không tương thích không xác định Không tương thích
Dạng tiêm Amikacin sulfate
Dạng tiêm Cefuroxime sodium
3687
Không ổn định hóa học Không tương thích
Dạng tiêm Amikacin sulfate
Dạng tiêm Cefuzonam
3549
Không tương thích không xác định Không tương thích
Dạng tiêm Amikacin sulfate
Dạng tiêm Chlorothiazide sodium
3549
Tương thích
Dạng tiêm Amikacin sulfate 2.5 mg/ml
Dạng tiêm Cimetidine hydrochloride 1.5 mg/ml
Glucose 5% 1201
Không ổn định hóa học Không tương thích
Dạng tiêm Amikacin sulfate 4 mg/ml
Dạng tiêm Ciprofloxacin lactate 1.5 mg/ml
NaCl 0,9% 434
Không ổn định hóa học Không tương thích
Dạng tiêm Amikacin sulfate 4 mg/ml
Dạng tiêm Ciprofloxacin lactate 1.5 mg/ml
Glucose 5% 434
Tương thích
Dạng tiêm Amikacin sulfate 5 mg/ml
Dạng tiêm Cisatracurium besylate 0.1 >> 5 mg/ml
Glucose 5% 299
Tương thích
Dạng tiêm Amikacin sulfate 4 mg/ml
Dạng tiêm Clindamycin phosphate 9 mg/ml
NaCl 0,9% 565
Tương thích
Dạng tiêm Amikacin sulfate 250 mg/ml
Dinh dưỡng đường tĩnh mạch (hỗn hợp 2 thành phần) 999
Tương thích
Dạng tiêm Amikacin sulfate 5 mg/ml
Dạng tiêm Ciprofloxacin lactate 2 mg/ml
Glucose 5% 285
Không ổn định hóa học Không tương thích
Dạng tiêm Amikacin sulfate
Dạng tiêm Cisplatin
3578
Tương thích
Dạng tiêm Amikacin sulfate 75 mg/ml
Dạng tiêm Clindamycin phosphate 90 mg/ml
NaCl 0,9% 639
Tương thích
Dạng tiêm Amikacin sulfate
Dạng tiêm Clindamycin phosphate
NaCl 0,9% 3526
Không tương thích trực quan Không tương thích
Dạng tiêm Amikacin sulfate 250 mg/ml
Dạng tiêm Cloxacillin sodium 100 mg/ml
Nước cất pha tiêm 3012
Không tương thích không xác định Không tương thích
Dạng tiêm Amikacin sulfate
Dạng tiêm Daunorubicin/cytarabine liposomale
4354
Tương thích
Dạng tiêm Amikacin sulfate 5 mg/ml
Dinh dưỡng đường tĩnh mạch (hỗn hợp 2 thành phần) 316
Tương thích
Dạng tiêm Amikacin sulfate 4 mg/ml
Dạng tiêm Clindamycin phosphate 9 mg/ml
Glucose 5% 565
Tương thích
Dạng tiêm Amikacin sulfate
Dạng tiêm Clindamycin phosphate
Glucose 5% 3526
Không ổn định hóa học Không tương thích
Dạng tiêm Amikacin sulfate
Dạng tiêm Cloxacillin sodium
3549
Không tương thích không xác định Không tương thích
Dạng tiêm Amikacin sulfate
Dạng tiêm Cyanocobalamine
3549
Độ đục ngay lập tức Không tương thích
Dạng tiêm Amikacin sulfate
Dạng tiêm Daunorubicin/cytarabine liposomale 0,4 mg/mL
NaCl 0,9% 4654
Lượng mưa ngay lập tức Không tương thích
Dạng tiêm Amikacin sulfate 5 mg/ml
Dạng tiêm Defibrotide 8 mg/ml
NaCl 0,9% 3728
Tương thích
Dạng tiêm Amikacin sulfate 50 mg/ml
Dạng tiêm Dexamethasone sodium phosphate 4 mg/ml
NaCl 0,45% 132
Không tương thích không xác định Không tương thích
Dạng tiêm Amikacin sulfate
Dạng tiêm Erythromycin lactobionate
3549
Tương thích
Dạng tiêm Amikacin sulfate 5 mg/ml
Dinh dưỡng đường tĩnh mạch (hỗn hợp 2 thành phần) 301
Tương thích
Dạng tiêm Amikacin sulfate 5 mg/ml
Dạng tiêm Dexmedetomidine 4 µg/ml
NaCl 0,9% 1712
Tương thích
Dạng tiêm Amikacin sulfate 5 & 250 mg/ml
Dạng tiêm Diltiazem hydrochloride 5 mg/ml
NaCl 0,9% 198
Tương thích
Dạng tiêm Amikacin sulfate 5 mg/ml
Dạng tiêm Docetaxel 0.9 mg/ml
Glucose 5% 1754
Tương thích
Dạng tiêm Amikacin sulfate 5 mg/ml
Dạng tiêm Doripenem 5 mg/ml
NaCl 0,9% 2262
Tương thích
Dạng tiêm Amikacin sulfate 5 mg/ml
Dạng tiêm Doripenem 5 mg/ml
Glucose 5% 2262
Không ổn định hóa học Không tương thích
Dạng tiêm Amikacin sulfate
Dạng tiêm Doripenem
3549
Tương thích
Dạng tiêm Amikacin sulfate 2 mg/ml
Dạng tiêm Enalaprilate 0.05 mg/ml
NaCl 0,9% 1315
Không ổn định hóa học Không tương thích
Dạng tiêm Amikacin sulfate
Dạng tiêm Ertapenem
3549
Không tương thích không xác định Không tương thích
Dạng tiêm Amikacin sulfate
Dạng tiêm Erythromycin lactobionate
3674
Tương thích
Dạng tiêm Amikacin sulfate 5 mg/ml
Dạng tiêm Esmolol hydrochloride 10 mg/ml
Glucose 5% 384
Tương thích
Dạng tiêm Amikacin sulfate 5 mg/ml
Dạng tiêm Etoposide phosphate 5 mg/ml
Glucose 5% 1410
Tương thích
Dạng tiêm Amikacin sulfate 5 mg/ml
Dạng tiêm Fenoldopam mesylate 80 µg/ml
NaCl 0,9% 1803
Tương thích
Dạng tiêm Amikacin sulfate 5 mg/ml
Dạng tiêm Filgrastim 30 µg/ml
Glucose 5% 244
Tương thích
Dạng tiêm Amikacin sulfate 0.487 >> 0.667 mg/ml
Dinh dưỡng đường tĩnh mạch (có lipids) 1868
Tương thích
Dạng tiêm Amikacin sulfate 250 mg/ml
Dung dịch Ringer’s lactate 4603
Tính không ổn định của nhũ tương sau 1 giờ Không tương thích
Dạng tiêm Amikacin sulfate 250 mg/ml
Dinh dưỡng đường tĩnh mạch (có lipids) 673
Tương thích
Dạng tiêm Amikacin sulfate 5 mg/ml
Dạng tiêm Filgrastim 40 µg/ml
Glucose 5% 104
Sự mất ổn định tức thì của nhũ tương Không tương thích
Dạng tiêm Amikacin sulfate 50 mg/ml
Dinh dưỡng đường tĩnh mạch (có lipids) 132
Tương thích
Dạng tiêm Amikacin sulfate 5 mg/ml
Dinh dưỡng đường tĩnh mạch (có lipids) 1415
Lượng mưa ngay lập tức Không tương thích
Dạng tiêm Amikacin sulfate
Dạng tiêm Flucloxacillin sodium
3522
Tương thích
Dạng tiêm Amikacin sulfate 20 mg/ml
Dạng tiêm Fluconazole 2 mg/ml
NaCl 0,9% 496
Tương thích
Dạng tiêm Amikacin sulfate 5 mg/ml
Dạng tiêm Fluconazole 2 mg/ml
Không 256
Tương thích
Dạng tiêm Amikacin sulfate 5 mg/ml
Dạng tiêm Fludarabine phosphate 1 mg/ml
Glucose 5% 492
Tương thích
Dạng tiêm Amikacin sulfate 20 mg/ml
Dạng tiêm Foscarnet sodium 24 mg/ml
Không 73
Tương thích
Dạng tiêm Amikacin sulfate 5 mg/ml
Dạng tiêm Fosfomycin 30 mg/ml
NaCl 0,9% 4055
Tương thích
Dạng tiêm Amikacin sulfate 5 mg/ml
Dạng tiêm Fosfomycin 30 mg/ml
Glucose 5% 4055
Lượng mưa ngay lập tức Không tương thích
Dạng tiêm Amikacin sulfate 2 mg/ml
Dạng tiêm Furosemide 0,16 mg/ml
NaCl 0,9% 367
Lượng mưa ngay lập tức Không tương thích
Dạng tiêm Amikacin sulfate 2 mg/ml
Dạng tiêm Furosemide 0,16 mg/ml
Glucose 5% 367
Tương thích
Dạng tiêm Amikacin sulfate 5 mg/ml
Dạng tiêm Gemcitabine hydrochloride 10 mg/ml
NaCl 0,9% 1423
Tương thích
Dạng tiêm Amikacin sulfate 5 mg/ml
Dạng tiêm Granisetron hydrochloride 0.05 mg/ml
Glucose 5% 182
Không tương thích không xác định Không tương thích
Dạng tiêm Amikacin sulfate
Dạng tiêm Heparin sodium
3549
Không tương thích không xác định Không tương thích
Dạng tiêm Amikacin sulfate
Dạng tiêm Heparin sodium
3540
Lượng mưa ngay lập tức Không tương thích
Dạng tiêm Amikacin sulfate
Dạng tiêm Heparin sodium
1022
Tương thích
Dạng tiêm Amikacin sulfate 5 mg/ml
Dạng tiêm Hetastarch 60 mg/ml
dung môi cụ thể 1721
Lượng mưa ngay lập tức Không tương thích
Dạng tiêm Amikacin sulfate 5 mg/ml
Dạng tiêm Hetastarch 60 mg/ml
NaCl 0,9% 472
Tương thích
Dạng tiêm Amikacin sulfate 5 mg/ml
Dạng tiêm Hydromorphone hydrochloride 0.2 mg/ml
Glucose 5% 405
Độ đục ngay lập tức Không tương thích
Dạng tiêm Amikacin sulfate 50 mg/ml
Dạng tiêm Ibuprofen lysinate 10 mg/ml
Nước cất pha tiêm 4419
Độ đục ngay lập tức Không tương thích
Dạng tiêm Amikacin sulfate 250 mg/ml
Dạng tiêm Ibuprofen lysinate 10 mg/ml
Nước cất pha tiêm 4419
Tương thích
Dạng tiêm Amikacin sulfate 5 mg/ml
Dạng tiêm Idarubicin hydrochloride 1 mg/ml
NaCl 0,9% 491
Không ổn định hóa học Không tương thích
Dạng tiêm Amikacin sulfate
Dạng tiêm Imipenem - cilastatin sodium
3549
Tương thích
Dạng tiêm Amikacin sulfate 5 mg/ml
Dạng tiêm Isavuconazonium sulfate 1.5 mg/ml
Glucose 5% 3829
Tương thích
Dạng tiêm Amikacin sulfate 5 mg/ml
Dạng tiêm Isavuconazonium sulfate 1.5 mg/ml
NaCl 0,9% 3829
Tương thích
Dạng tiêm Amikacin sulfate 250 mg/ml
Dạng tiêm Ketamine hydrochloride 50 mg/ml
2109
Tương thích
Dạng tiêm Amikacin sulfate 5 mg/ml
Dạng tiêm Labetalol hydrochloride 1 mg/ml
Glucose 5% 386
Tương thích
Dạng tiêm Amikacin sulfate 5 mg/ml
Dạng tiêm Lansoprazole 0.55 mg/ml
NaCl 0,9% 1625
Tương thích
Dạng tiêm Amikacin sulfate 50 mg/ml
Dạng tiêm Levofloxacine 5 mg/ml
Glucose 5% 1072
Tương thích
Dạng tiêm Amikacin sulfate 5 mg/ml
Dạng tiêm Linezolid 2 mg/ml
Không 1925
Tương thích
Dạng tiêm Amikacin sulfate 5 mg/ml
Dạng tiêm Lorazepam 0.33 mg/ml
NaCl 0,9% 186
Tương thích
Dạng tiêm Amikacin sulfate 5 mg/ml
Dạng tiêm Magnesium sulfate 16.67 >> 100 mg/ml
Glucose 5% 1047
Tương thích
Dạng tiêm Amikacin sulfate 5 mg/ml
Dạng tiêm Melphalan 0.1 mg/ml
NaCl 0,9% 169
Tương thích
Dạng tiêm Amikacin sulfate 250 mg/ml
Dạng tiêm Meropenem 50 mg/ml
4389
Tương thích
Dạng tiêm Amikacin sulfate 250 mg/ml
Dạng tiêm Meropenem 50 mg/ml
Nước cất pha tiêm 4319
Không ổn định hóa học Không tương thích
Dạng tiêm Amikacin sulfate
Dạng tiêm Meropenem
3549
Tương thích
Dạng tiêm Amikacin sulfate
Dạng tiêm Metronidazole
3594
Tương thích
Dạng tiêm Amikacin sulfate 5 mg/ml
Dạng tiêm Metronidazole 5 mg/ml
Không 1035
Tương thích
Dạng tiêm Amikacin sulfate 5 mg/ml
Dạng tiêm Midazolam hydrochloride 5 mg/ml
Không 186
Tương thích
Dạng tiêm Amikacin sulfate 5 mg/ml
Dạng tiêm Morphine sulfate 1 mg/ml
Glucose 5% 405
Tương thích
Dạng tiêm Amikacin sulfate 250 mg/ml
Dạng tiêm N-acetylcysteine 200 mg/ml
Không 3766
Không ổn định hóa học Không tương thích
Dạng tiêm Amikacin sulfate
Dạng tiêm Nafcillin sodium
3549
Tương thích
Dạng tiêm Amikacin sulfate 2,5 mg/ml
Dạng tiêm Nalbuphine hydrochloride 0,05 >> 0,33 mg/ml
NaCl 0,9% 4867
Tương thích
Dạng tiêm Amikacin sulfate 250 mg/ml
Dạng tiêm Naloxone hydrochloride 0.4 mg/ml
Không 3408
Tương thích
Dạng tiêm Amikacin sulfate 2 mg/ml
Dạng tiêm Nicardipine hydrochloride 0.1 mg/ml
Glucose 5% 1490
Tương thích
Dạng tiêm Amikacin sulfate 2 mg/ml
Dạng tiêm Nicardipine hydrochloride 0.1 mg/ml
NaCl 0,9% 1490
Tương thích
Dạng tiêm Amikacin sulfate 5 mg/ml
Dạng tiêm Ondansetron hydrochloride 1 mg/ml
NaCl 0,9% 334
Không ổn định hóa học Không tương thích
Dạng tiêm Amikacin sulfate
Dạng tiêm Oxacillin sodium
3549
Tương thích
Dạng tiêm Amikacin sulfate 5 mg/ml
Dạng tiêm Paclitaxel 1.2 mg/ml
Glucose 5% 248
Lượng mưa ngay lập tức Không tương thích
Dạng tiêm Amikacin sulfate
Dạng tiêm Pantoprazole sodium
2090
Tương thích
Dạng tiêm Amikacin sulfate 250 mg/ml
Dạng tiêm Paracetamol 10 mg/ml
4742
Tương thích
Dạng tiêm Amikacin sulfate 5 mg/ml
Dạng tiêm Pemetrexed disodium 20 mg/ml
NaCl 0,9% 1953
Không ổn định hóa học Không tương thích
Dạng tiêm Amikacin sulfate
Dạng tiêm Penicillin G potassium
3549
Không ổn định hóa học Không tương thích
Dạng tiêm Amikacin sulfate
Dạng tiêm Penicillin G sodium
3549
Tương thích
Dạng tiêm Amikacin sulfate 50 mg/ml
Dạng tiêm Pethidine hydrochloride 100 mg/ml
NaCl 0,45% 132
Tương thích
Dạng tiêm Amikacin sulfate 5 mg/ml
Dạng tiêm Pethidine hydrochloride 10 mg/ml
Glucose 5% 405
Không tương thích không xác định Không tương thích
Dạng tiêm Amikacin sulfate
Dạng tiêm Phenytoin sodium
3549
Tương thích
Dạng tiêm Amikacin sulfate 40 mg/ml
Dạng tiêm Phloroglucinol 2,5 mg/ml
3791
Không ổn định hóa học Không tương thích
Dạng tiêm Amikacin sulfate
Dạng tiêm Piperacillin sodium
3549
Không ổn định hóa học Không tương thích
Dạng tiêm Amikacin sulfate
Dạng tiêm Piperacillin sodium / tazobactam
3549
Không ổn định hóa học Không tương thích
Dạng tiêm Amikacin sulfate
Dạng tiêm Piperacillin sodium / tazobactam
3586
Tương thích
Dạng tiêm Amikacin sulfate
Dạng tiêm Posaconazole
4380
Lượng mưa ngay lập tức Không tương thích
Dạng tiêm Amikacin sulfate 5 mg/ml
Dạng tiêm Propofol 10 mg/ml
Không 300
Không tương thích không xác định Không tương thích
Dạng tiêm Amikacin sulfate
Dạng tiêm Pyridoxine hydrochloride
3549
Tương thích
Dạng tiêm Amikacin sulfate 5 mg/ml
Dạng tiêm Remifentanil hydrochloride 25 & 250 µg/ml
NaCl 0,9% 59
Lượng mưa ngay lập tức Không tương thích
Dạng tiêm Amikacin sulfate 250 mg/ml
Dạng tiêm Salbutamol sulfate 1 mg/ml
Không 3216
Tương thích
Dạng tiêm Amikacin sulfate 5 mg/ml
Dạng tiêm Sargramostim 10 µg/ml
NaCl 0,9% 335
Tương thích
Dạng tiêm Amikacin sulfate 10 mg/ml
Dạng tiêm Sulbactam/durlobactam 15/15 mg/ml
NaCl 0,9% 4801
Tương thích
Dạng tiêm Amikacin sulfate 5 mg/ml
Dạng tiêm Tedizolid phosphate 0.8 mg/ml
NaCl 0,9% 3827
Không tương thích không xác định Không tương thích
Dạng tiêm Amikacin sulfate
Dạng tiêm Teicoplanine
3656
Tương thích
Dạng tiêm Amikacin sulfate
NaCl 0,9% 5076
Không tương thích không xác định Không tương thích
Dạng tiêm Amikacin sulfate 50 mg/ml
Dạng tiêm Propofol
4524
Không tương thích không xác định Không tương thích
Dạng tiêm Amikacin sulfate
Dạng tiêm Temocilline
2296
Tương thích
Dạng tiêm Amikacin sulfate 15 mg/ml
Dạng tiêm Temocilline 83.33 mg/ml
Nước cất pha tiêm 2231
Không ổn định hóa học Không tương thích
Dạng tiêm Amikacin sulfate
Dạng tiêm Temocilline
3549
Tương thích
Dạng tiêm Amikacin sulfate 5 mg/ml
Dạng tiêm Teniposide 0.1 mg/ml
Glucose 5% 905
Không tương thích không xác định Không tương thích
Dạng tiêm Amikacin sulfate
Dạng tiêm Thiamine hydrochloride
3549
Lượng mưa ngay lập tức Không tương thích
Dạng tiêm Amikacin sulfate 250 mg/ml
Dạng tiêm Thiopental sodium 25 mg/ml
NaCl 0,9% 3767
Không tương thích không xác định Không tương thích
Dạng tiêm Amikacin sulfate
Dạng tiêm Thiopental sodium
3549
Tương thích
Dạng tiêm Amikacin sulfate 5 mg/ml
Dạng tiêm Thiotepa 1 mg/ml
Glucose 5% 249
Không ổn định hóa học Không tương thích
Dạng tiêm Amikacin sulfate
Dạng tiêm Ticarcillin / clavulanic acid
3587
Không ổn định hóa học Không tương thích
Dạng tiêm Amikacin sulfate
Dạng tiêm Ticarcillin / clavulanic acid
3549
Tương thích
Dạng tiêm Amikacin sulfate
Dạng tiêm Tigecycline
NaCl 0,9% 3332
Tương thích
Dạng tiêm Amikacin sulfate 15 mg/ml
Dạng tiêm Vancomycin hydrochloride 10 mg/ml
Glucose 5% 3385
Tương thích
Dạng tiêm Amikacin sulfate 2 mg/ml
Dạng tiêm Verapamil hydrochloride 0.08 mg/ml
NaCl 0,9% 1057
Tương thích
Dạng tiêm Amikacin sulfate 2 mg/ml
Dạng tiêm Verapamil hydrochloride 0.08 mg/ml
Glucose 5% 1057
Độ đục ngay lập tức Không tương thích
Dạng tiêm Amikacin sulfate 5 mg/ml
Dạng tiêm Vinorelbine tartrate 1 mg/ml
NaCl 0,9% 84
Tương thích
Dạng tiêm Amikacin sulfate 5 mg/ml
Dạng tiêm Warfarin sodium 0.1 & 2 mg/ml
Glucose 5% 552
Tương thích
Dạng tiêm Amikacin sulfate 5 mg/ml
Dạng tiêm Warfarin sodium 0.1 & 2 mg/ml
NaCl 0,9% 552
Tương thích
Dạng tiêm Amikacin sulfate 4 mg/ml
Dạng tiêm Zidovudine 4 mg/ml
Glucose 5% 337

  Mentions Légales