Siste oppdatering :
27/04/2026
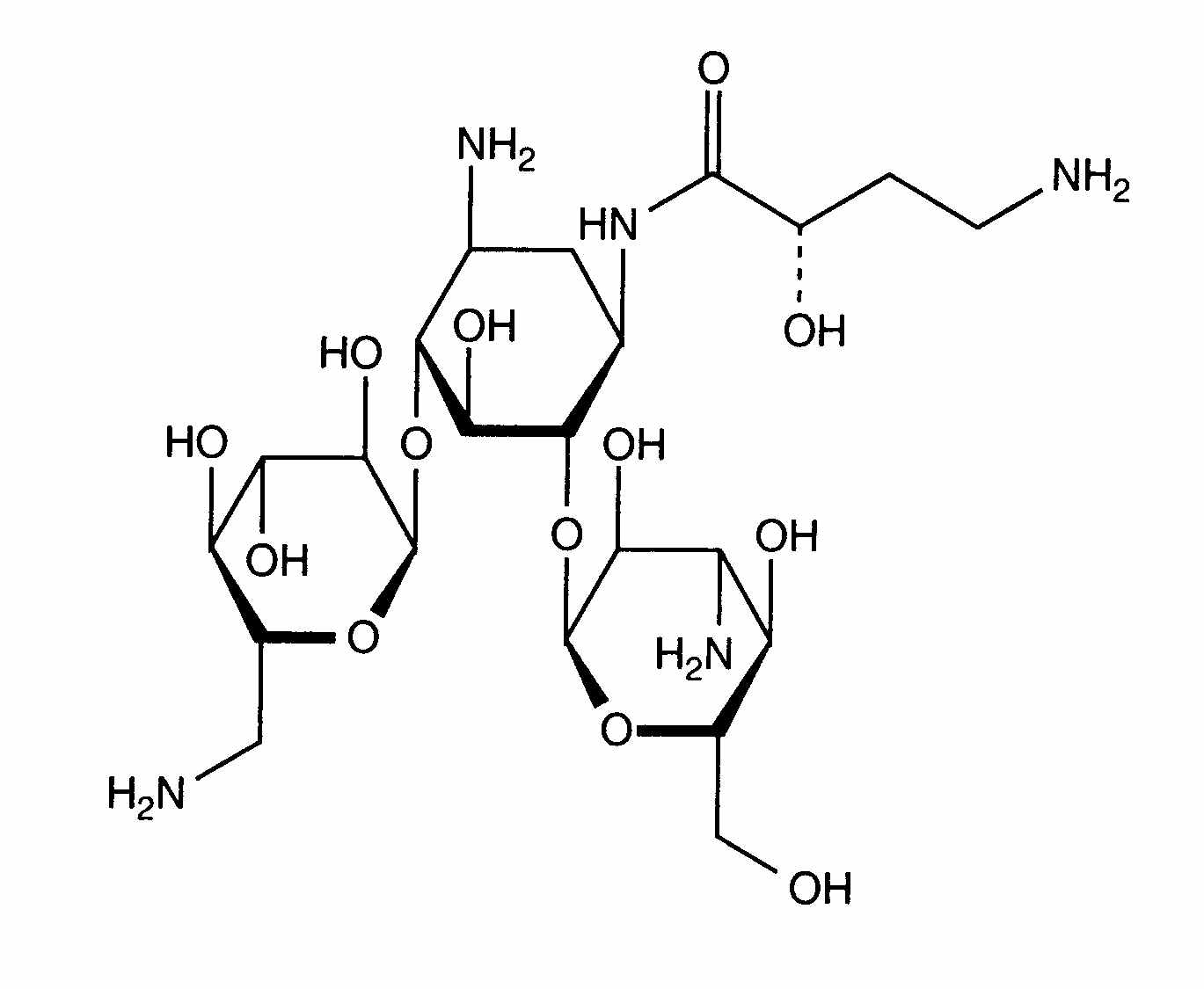
Antibiotika   Amikacin sulfate  
Injeksjon
Oppløsningsstabilitet Stabilitet i blandinger Faktorer som påvirker stabiliteten Kompatibilitet Administrasjonsmåte Referanser pdf
   Kjemisk struktur  

Handelsnavn   Handelsnavn     

Handelsnavn er veiledende og sammensetning av hjelpestoffer kan være forskjellig avhengig av land og produsent

Adnet India
Agnicin Mexico
Akamin Ecuador
Akim Ecuador
Amicacil Brasil
Amicilon Brasil
Amicin Malaysia
Amicip Venezuela
Amijeksin Tyrkia
Amikabiot Ecuador, Peru
Amikacin Canada, Egypt, Iran, Malaysia, New Zealand, Saudi-Arabia, Storbritannia, Tyskland, USA
Amikacina Argentina, Chile, Colombia, Ecuador, Italia, Mexico, Peru, Spania, Venezuela
Amikacine Belgia, Frankrike, Marokko, Nederland
Amikafur Mexico
Amikagram Peru
Amikalem Mexico
Amikamed Peru
Amikamek Peru
Amikan Italia
Amikavax Venezuela
Amikaver Tyrkia
Amikayect Mexico
Amikem Peru
Amiketem Tyrkia
Amikin Australia, Brasil, Colombia, Ecuador, Egypt, Irland, Mexico, Peru, Polen, Saudi-Arabia, Storbritannia, Sveits, Tunisia, Ungarn, USA
Amiklin Frankrike, Tyrkia
Amikosit Romania, Tunisia, Tyrkia
Amikram Peru
Amukin Belgia, Luxembourg, Nederland
Apalin Malaysia
Baxi K Chile, Mexico
Behcacin India, Venezuela
Belka India
Biclin Finland, Mexico, Portugal, Spania, Sverige, Tyskland, Østerrike
Biodacyna Polen
Biokacin Mexico
Briklin Hellas
Cadicin India
Chemacin Italia
Cikabit India
Cinamica India
Cinas India
Consumonit Hellas
Domak India
Doxocar Argentina
Elcin India
Elmik India
Emcin India
Emica India
Farcyclin Hellas
Flexelite Hellas
Greini Argentina
Ipacin Iran
Itukacin Peru
Kancin Hellas
Lanomycin Hellas
Lukadin Italia
Masmika India
Mediamik Italia
Micalpha Hellas
Micigen Mexico
Migracin Italia
Mikacin Saudi-Arabia
Nekacin Italia
Novamin Brasil
Orlobin Hellas
Remikin Hellas
Rovericlin Hellas
Uzix Hellas
Kompatibilitet   Injeksjon   Kompatibilitet : Amikacin sulfate              
Dette skjermbildet viser kompatibilitet eller inkompatibilitet med, i dette tilfellet, typen inkompatibilitet (nedbør, fargeendring, modifisering av en emulsjon, etc.). Kompatibilitetene som er vist her, er for det meste bare fysiske, og den kjemiske stabiliteten til hvert molekyl blir sjelden vurdert. Evalueringen av disse blandingene ble studert for å vurdere muligheten for Y-stedadministrasjon til pasienten. Disse dataene kan ikke brukes til å lage blandinger på forhånd i poser eller sprøyter. Denne typen informasjon er tilgjengelig på skjermen "Stabilitet i blanding".
Legemiddel Oppløsningsmiddel Referanser
Kompatibel
Injeksjon Amikacin sulfate 5 mg/ml
Injeksjon Aciclovir sodium 5 mg/ml
Glukose 5 % 336
Nedbør etter 1 time Uforenlig
Injeksjon Amikacin sulfate 5 mg/ml
Injeksjon Allopurinol sodium 3 mg/ml
Natriumklorid 0,9 % 307
Kompatibel
Injeksjon Amikacin sulfate 5 mg/ml
Injeksjon Amifostine 10 mg/ml
Glukose 5 % 3
Kompatibel
Injeksjon Amikacin sulfate 5 mg/ml
Injeksjon Amiodarone hydrochloride 4 mg/ml
Natriumklorid 0,9 % 385
Kompatibel
Injeksjon Amikacin sulfate 5 mg/ml
Injeksjon Amiodarone hydrochloride 4 mg/ml
Glukose 5 % 385
Kjemisk ustabilitet Uforenlig
Injeksjon Amikacin sulfate
Injeksjon Amoxicillin sodium
3527
Kjemisk ustabilitet Uforenlig
Injeksjon Amikacin sulfate
Injeksjon Amoxicillin sodium
3549
Kompatibel
Injeksjon Amikacin sulfate 250 mg/ml
Injeksjon Amoxicillin sodium / clavulanic acid 100/10 mg/ml
3824
Kjemisk ustabilitet Uforenlig
Injeksjon Amikacin sulfate
Injeksjon Amoxicillin sodium / clavulanic acid
3549
Uspesifisert inkompatibilitet Uforenlig
Injeksjon Amikacin sulfate
Injeksjon Amoxicillin sodium / clavulanic acid
3545
Uspesifisert inkompatibilitet Uforenlig
Injeksjon Amikacin sulfate
Injeksjon Amphotericin B
3549
Umiddelbar nedbør Uforenlig
Injeksjon Amikacin sulfate 5 mg/ml
Injeksjon Amphotericin B cholesteryl sulfate complex 0.83 mg/ml
Glukose 5 % 921
Kjemisk ustabilitet Uforenlig
Injeksjon Amikacin sulfate
Injeksjon Ampicillin sodium
3549
Kjemisk ustabilitet Uforenlig
Injeksjon Amikacin sulfate
Injeksjon Ampicillin sodium - sulbactam sodium
3549
Kompatibel
Injeksjon Amikacin sulfate 5 mg/ml
Injeksjon Amsacrine 1 mg/ml
Glukose 5 % 253
Kompatibel
Injeksjon Amikacin sulfate 5 mg/ml
Injeksjon Anidulafungin 0.5 mg/ml
Glukose 5 % 1982
Uspesifisert inkompatibilitet Uforenlig
Injeksjon Amikacin sulfate
Injeksjon Ascorbic acid
3549
Umiddelbar nedbør Uforenlig
Injeksjon Amikacin sulfate 100 mg/ml
Injeksjon Azithromycine 2 mg/ml
Natriumklorid 0,9 % 1800
Kjemisk ustabilitet Uforenlig
Injeksjon Amikacin sulfate
Injeksjon Aztreonam
3549
Kompatibel
Injeksjon Amikacin sulfate 5 mg/ml
Injeksjon Aztreonam 40 mg/ml
Glukose 5 % 99
Kompatibel
Injeksjon Amikacin sulfate 5 mg/ml
Injeksjon Bivalirudin 5 mg/ml
Glukose 5 % 1713
Kompatibel
Injeksjon Amikacin sulfate 250 mg/ml
Injeksjon Caffeine 10 mg/ml
Ingen 3964
Uforenlig
Injeksjon Amikacin sulfate
Injeksjon Calcium gluconate
4964
Uspesifisert inkompatibilitet Uforenlig
Injeksjon Amikacin sulfate
Injeksjon Calcium gluconate
3644
Kompatibel
Injeksjon Amikacin sulfate 5 mg/ml
Injeksjon Caspofungin acetate 0,7 mg/ml
Natriumklorid 0,9 % 2247
Kjemisk ustabilitet Uforenlig
Injeksjon Amikacin sulfate
Injeksjon Cefalotin sodium
3549
Kjemisk ustabilitet Uforenlig
Injeksjon Amikacin sulfate
Injeksjon Cefamandole nafate
3549
Uspesifisert inkompatibilitet Uforenlig
Injeksjon Amikacin sulfate
Injeksjon Cefamandole nafate
3546
Kjemisk ustabilitet Uforenlig
Injeksjon Amikacin sulfate
Injeksjon Cefazolin sodium
3549
Kompatibel
Injeksjon Amikacin sulfate 6 mg/ml
Injeksjon Cefepime dihydrochloride 40 mg/ml
Natriumklorid 0,9 % 3548
Kompatibel
Injeksjon Amikacin sulfate 6 mg/ml
Injeksjon Cefepime dihydrochloride 40 mg/ml
Glukose 5 % 3548
Kompatibel
Injeksjon Amikacin sulfate 15 mg/ml
Injeksjon Cefepime dihydrochloride 125 mg/ml
Vann til injeksjon 2141
Kjemisk ustabilitet Uforenlig
Injeksjon Amikacin sulfate
Injeksjon Cefepime dihydrochloride
3549
Kompatibel
Injeksjon Amikacin sulfate 5 mg/ml
Injeksjon Cefiderocol sulfate tosylate 20 mg/mL
Glukose 5 % 4528
Kjemisk ustabilitet Uforenlig
Injeksjon Amikacin sulfate
Injeksjon Cefmenoxime
3549
Kjemisk ustabilitet Uforenlig
Injeksjon Amikacin sulfate
Injeksjon Cefmetazole sodium
3549
Kjemisk ustabilitet Uforenlig
Injeksjon Amikacin sulfate
Injeksjon Cefonicid sodium
3549
Kjemisk ustabilitet Uforenlig
Injeksjon Amikacin sulfate
Injeksjon Cefoperazone sodium
3549
Uspesifisert inkompatibilitet Uforenlig
Injeksjon Amikacin sulfate
Injeksjon Cefoperazone sodium
3544
Kjemisk ustabilitet Uforenlig
Injeksjon Amikacin sulfate
Injeksjon Ceforanide
3549
Kjemisk ustabilitet Uforenlig
Injeksjon Amikacin sulfate
Injeksjon Cefotaxime sodium
3549
Kjemisk ustabilitet Uforenlig
Injeksjon Amikacin sulfate
Injeksjon Cefoxitin sodium
3549
Uspesifisert inkompatibilitet Uforenlig
Injeksjon Amikacin sulfate
Injeksjon Cefpirome sulfate
3677
Kompatibel
Injeksjon Amikacin sulfate 5 mg/ml
Injeksjon Cefpirome sulfate 50 mg/ml
Natriumklorid 0,45 % 280
Kompatibel
Injeksjon Amikacin sulfate 5 mg/ml
Injeksjon Cefpirome sulfate 50 mg/ml
Glukose 5 % 280
Kompatibel
Injeksjon Amikacin sulfate 5 mg/ml
Injeksjon Cefpirome sulfate 50 mg/ml
Natriumklorid 0,9 % 280
Kompatibel
Injeksjon Amikacin sulfate 5 mg/ml
Injeksjon Cefpirome sulfate 50 mg/ml
Ringers laktatoppløsning 280
Kjemisk ustabilitet Uforenlig
Injeksjon Amikacin sulfate
Injeksjon Cefpirome sulfate
3549
Kompatibel
Injeksjon Amikacin sulfate 5 mg/ml
Injeksjon Ceftaroline fosamil 2,22 mg/ml
Ringers laktatoppløsning 3249
Kompatibel
Injeksjon Amikacin sulfate 5 mg/ml
Injeksjon Ceftaroline fosamil 2,22 mg/ml
Glukose 5 % 3249
Kompatibel
Injeksjon Amikacin sulfate 5 mg/ml
Injeksjon Ceftaroline fosamil 2,22 mg/ml
Natriumklorid 0,9 % 3249
Uspesifisert inkompatibilitet Uforenlig
Injeksjon Amikacin sulfate
Injeksjon Ceftazidime
3883
Uspesifisert inkompatibilitet Uforenlig
Injeksjon Amikacin sulfate
Injeksjon Ceftazidime
3543
Kompatibel
Injeksjon Amikacin sulfate 15 mg/ml
Injeksjon Ceftazidime 83.3 mg/ml
1759
Kjemisk ustabilitet Uforenlig
Injeksjon Amikacin sulfate
Injeksjon Ceftazidime Avibactam
3549
Umiddelbar nedbør Uforenlig
Injeksjon Amikacin sulfate 5 mg/ml
Injeksjon Ceftobiprole medocaril sodium 2 mg/ml
Natriumklorid 0,9 % 2269
Uspesifisert inkompatibilitet Uforenlig
Injeksjon Amikacin sulfate
Injeksjon Ceftobiprole medocaril sodium
4650
Kompatibel
Injeksjon Amikacin sulfate
Glukose 5 % 5076
Kjemisk ustabilitet Uforenlig
Injeksjon Amikacin sulfate
Injeksjon Ceftaroline fosamil
3549
Kjemisk ustabilitet Uforenlig
Injeksjon Amikacin sulfate
Injeksjon Ceftazidime
3549
Kompatibel
Injeksjon Amikacin sulfate 15 mg/ml
Injeksjon Ceftazidime 125 mg/ml
Vann til injeksjon 2141
Kjemisk ustabilitet Uforenlig
Injeksjon Amikacin sulfate
Injeksjon Ceftizoxime sodium
3549
Umiddelbar nedbør Uforenlig
Injeksjon Amikacin sulfate 5 mg/ml
Injeksjon Ceftobiprole medocaril sodium 2 mg/ml
Glukose 5 % 2269
Kjemisk ustabilitet Uforenlig
Injeksjon Amikacin sulfate
Injeksjon Ceftobiprole medocaril sodium
3549
Umiddelbar nedbør Uforenlig
Injeksjon Amikacin sulfate 5 mg/ml
Injeksjon Ceftobiprole medocaril sodium 2 mg/ml
Ringers laktatoppløsning 2269
Kompatibel
Injeksjon Amikacin sulfate 5 mg/ml
Injeksjon Ceftolozane / tazobactam 10/5 mg/ml
Glukose 5 % 3828
Kompatibel
Injeksjon Amikacin sulfate 5 mg/ml
Injeksjon Ceftolozane / tazobactam 10/5 mg/ml
Natriumklorid 0,9 % 3828
Kjemisk ustabilitet Uforenlig
Injeksjon Amikacin sulfate
Injeksjon Ceftolozane / tazobactam
3549
Uspesifisert inkompatibilitet Uforenlig
Injeksjon Amikacin sulfate
Injeksjon Ceftriaxone disodium
3523
Kjemisk ustabilitet Uforenlig
Injeksjon Amikacin sulfate
Injeksjon Ceftriaxone disodium
3549
Kjemisk ustabilitet Uforenlig
Injeksjon Amikacin sulfate
Injeksjon Cefuroxime sodium
3549
Uspesifisert inkompatibilitet Uforenlig
Injeksjon Amikacin sulfate
Injeksjon Cefuroxime sodium
3687
Kjemisk ustabilitet Uforenlig
Injeksjon Amikacin sulfate
Injeksjon Cefuzonam
3549
Uspesifisert inkompatibilitet Uforenlig
Injeksjon Amikacin sulfate
Injeksjon Chlorothiazide sodium
3549
Kompatibel
Injeksjon Amikacin sulfate 2.5 mg/ml
Injeksjon Cimetidine hydrochloride 1.5 mg/ml
Glukose 5 % 1201
Kjemisk ustabilitet Uforenlig
Injeksjon Amikacin sulfate 4 mg/ml
Injeksjon Ciprofloxacin lactate 1.5 mg/ml
Natriumklorid 0,9 % 434
Kjemisk ustabilitet Uforenlig
Injeksjon Amikacin sulfate 4 mg/ml
Injeksjon Ciprofloxacin lactate 1.5 mg/ml
Glukose 5 % 434
Kompatibel
Injeksjon Amikacin sulfate 5 mg/ml
Injeksjon Cisatracurium besylate 0.1 >> 5 mg/ml
Glukose 5 % 299
Kompatibel
Injeksjon Amikacin sulfate 4 mg/ml
Injeksjon Clindamycin phosphate 9 mg/ml
Natriumklorid 0,9 % 565
Kompatibel
Injeksjon Amikacin sulfate 250 mg/ml
Parenteral ernæring(lipid-free) 999
Kompatibel
Injeksjon Amikacin sulfate 5 mg/ml
Injeksjon Ciprofloxacin lactate 2 mg/ml
Glukose 5 % 285
Kjemisk ustabilitet Uforenlig
Injeksjon Amikacin sulfate
Injeksjon Cisplatin
3578
Kompatibel
Injeksjon Amikacin sulfate 75 mg/ml
Injeksjon Clindamycin phosphate 90 mg/ml
Natriumklorid 0,9 % 639
Kompatibel
Injeksjon Amikacin sulfate
Injeksjon Clindamycin phosphate
Natriumklorid 0,9 % 3526
Subvisuell inkompatibilitet Uforenlig
Injeksjon Amikacin sulfate 250 mg/ml
Injeksjon Cloxacillin sodium 100 mg/ml
Vann til injeksjon 3012
Uspesifisert inkompatibilitet Uforenlig
Injeksjon Amikacin sulfate
Injeksjon Daunorubicin/cytarabine liposomale
4354
Kompatibel
Injeksjon Amikacin sulfate 5 mg/ml
Parenteral ernæring(lipid-free) 316
Kompatibel
Injeksjon Amikacin sulfate 4 mg/ml
Injeksjon Clindamycin phosphate 9 mg/ml
Glukose 5 % 565
Kompatibel
Injeksjon Amikacin sulfate
Injeksjon Clindamycin phosphate
Glukose 5 % 3526
Kjemisk ustabilitet Uforenlig
Injeksjon Amikacin sulfate
Injeksjon Cloxacillin sodium
3549
Uspesifisert inkompatibilitet Uforenlig
Injeksjon Amikacin sulfate
Injeksjon Cyanocobalamine
3549
Umiddelbar turbiditet Uforenlig
Injeksjon Amikacin sulfate
Injeksjon Daunorubicin/cytarabine liposomale 0,4 mg/mL
Natriumklorid 0,9 % 4654
Umiddelbar nedbør Uforenlig
Injeksjon Amikacin sulfate 5 mg/ml
Injeksjon Defibrotide 8 mg/ml
Natriumklorid 0,9 % 3728
Kompatibel
Injeksjon Amikacin sulfate 50 mg/ml
Injeksjon Dexamethasone sodium phosphate 4 mg/ml
Natriumklorid 0,45 % 132
Uspesifisert inkompatibilitet Uforenlig
Injeksjon Amikacin sulfate
Injeksjon Erythromycin lactobionate
3549
Kompatibel
Injeksjon Amikacin sulfate 5 mg/ml
Parenteral ernæring(lipid-free) 301
Kompatibel
Injeksjon Amikacin sulfate 5 mg/ml
Injeksjon Dexmedetomidine 4 µg/ml
Natriumklorid 0,9 % 1712
Kompatibel
Injeksjon Amikacin sulfate 5 & 250 mg/ml
Injeksjon Diltiazem hydrochloride 5 mg/ml
Natriumklorid 0,9 % 198
Kompatibel
Injeksjon Amikacin sulfate 5 mg/ml
Injeksjon Docetaxel 0.9 mg/ml
Glukose 5 % 1754
Kompatibel
Injeksjon Amikacin sulfate 5 mg/ml
Injeksjon Doripenem 5 mg/ml
Natriumklorid 0,9 % 2262
Kompatibel
Injeksjon Amikacin sulfate 5 mg/ml
Injeksjon Doripenem 5 mg/ml
Glukose 5 % 2262
Kjemisk ustabilitet Uforenlig
Injeksjon Amikacin sulfate
Injeksjon Doripenem
3549
Kompatibel
Injeksjon Amikacin sulfate 2 mg/ml
Injeksjon Enalaprilate 0.05 mg/ml
Natriumklorid 0,9 % 1315
Kjemisk ustabilitet Uforenlig
Injeksjon Amikacin sulfate
Injeksjon Ertapenem
3549
Uspesifisert inkompatibilitet Uforenlig
Injeksjon Amikacin sulfate
Injeksjon Erythromycin lactobionate
3674
Kompatibel
Injeksjon Amikacin sulfate 5 mg/ml
Injeksjon Esmolol hydrochloride 10 mg/ml
Glukose 5 % 384
Kompatibel
Injeksjon Amikacin sulfate 5 mg/ml
Injeksjon Etoposide phosphate 5 mg/ml
Glukose 5 % 1410
Kompatibel
Injeksjon Amikacin sulfate 5 mg/ml
Injeksjon Fenoldopam mesylate 80 µg/ml
Natriumklorid 0,9 % 1803
Kompatibel
Injeksjon Amikacin sulfate 5 mg/ml
Injeksjon Filgrastim 30 µg/ml
Glukose 5 % 244
Kompatibel
Injeksjon Amikacin sulfate 0.487 >> 0.667 mg/ml
Parenteral ernæring (med lipider) 1868
Kompatibel
Injeksjon Amikacin sulfate 250 mg/ml
Ringers laktatoppløsning 4603
Ustabilitet av emulsjonen etter 1 time Uforenlig
Injeksjon Amikacin sulfate 250 mg/ml
Parenteral ernæring (med lipider) 673
Kompatibel
Injeksjon Amikacin sulfate 5 mg/ml
Injeksjon Filgrastim 40 µg/ml
Glukose 5 % 104
Umiddelbar ustabilitet av emulsjonen Uforenlig
Injeksjon Amikacin sulfate 50 mg/ml
Parenteral ernæring (med lipider) 132
Kompatibel
Injeksjon Amikacin sulfate 5 mg/ml
Parenteral ernæring (med lipider) 1415
Umiddelbar nedbør Uforenlig
Injeksjon Amikacin sulfate
Injeksjon Flucloxacillin sodium
3522
Kompatibel
Injeksjon Amikacin sulfate 20 mg/ml
Injeksjon Fluconazole 2 mg/ml
Natriumklorid 0,9 % 496
Kompatibel
Injeksjon Amikacin sulfate 5 mg/ml
Injeksjon Fluconazole 2 mg/ml
Ingen 256
Kompatibel
Injeksjon Amikacin sulfate 5 mg/ml
Injeksjon Fludarabine phosphate 1 mg/ml
Glukose 5 % 492
Kompatibel
Injeksjon Amikacin sulfate 20 mg/ml
Injeksjon Foscarnet sodium 24 mg/ml
Ingen 73
Kompatibel
Injeksjon Amikacin sulfate 5 mg/ml
Injeksjon Fosfomycin 30 mg/ml
Natriumklorid 0,9 % 4055
Kompatibel
Injeksjon Amikacin sulfate 5 mg/ml
Injeksjon Fosfomycin 30 mg/ml
Glukose 5 % 4055
Umiddelbar nedbør Uforenlig
Injeksjon Amikacin sulfate 2 mg/ml
Injeksjon Furosemide 0,16 mg/ml
Natriumklorid 0,9 % 367
Umiddelbar nedbør Uforenlig
Injeksjon Amikacin sulfate 2 mg/ml
Injeksjon Furosemide 0,16 mg/ml
Glukose 5 % 367
Kompatibel
Injeksjon Amikacin sulfate 5 mg/ml
Injeksjon Gemcitabine hydrochloride 10 mg/ml
Natriumklorid 0,9 % 1423
Kompatibel
Injeksjon Amikacin sulfate 5 mg/ml
Injeksjon Granisetron hydrochloride 0.05 mg/ml
Glukose 5 % 182
Uspesifisert inkompatibilitet Uforenlig
Injeksjon Amikacin sulfate
Injeksjon Heparin sodium
3549
Uspesifisert inkompatibilitet Uforenlig
Injeksjon Amikacin sulfate
Injeksjon Heparin sodium
3540
Umiddelbar nedbør Uforenlig
Injeksjon Amikacin sulfate
Injeksjon Heparin sodium
1022
Kompatibel
Injeksjon Amikacin sulfate 5 mg/ml
Injeksjon Hetastarch 60 mg/ml
spesifikk løsemiddel 1721
Umiddelbar nedbør Uforenlig
Injeksjon Amikacin sulfate 5 mg/ml
Injeksjon Hetastarch 60 mg/ml
Natriumklorid 0,9 % 472
Kompatibel
Injeksjon Amikacin sulfate 5 mg/ml
Injeksjon Hydromorphone hydrochloride 0.2 mg/ml
Glukose 5 % 405
Umiddelbar turbiditet Uforenlig
Injeksjon Amikacin sulfate 50 mg/ml
Injeksjon Ibuprofen lysinate 10 mg/ml
Vann til injeksjon 4419
Umiddelbar turbiditet Uforenlig
Injeksjon Amikacin sulfate 250 mg/ml
Injeksjon Ibuprofen lysinate 10 mg/ml
Vann til injeksjon 4419
Kompatibel
Injeksjon Amikacin sulfate 5 mg/ml
Injeksjon Idarubicin hydrochloride 1 mg/ml
Natriumklorid 0,9 % 491
Kjemisk ustabilitet Uforenlig
Injeksjon Amikacin sulfate
Injeksjon Imipenem - cilastatin sodium
3549
Kompatibel
Injeksjon Amikacin sulfate 5 mg/ml
Injeksjon Isavuconazonium sulfate 1.5 mg/ml
Glukose 5 % 3829
Kompatibel
Injeksjon Amikacin sulfate 5 mg/ml
Injeksjon Isavuconazonium sulfate 1.5 mg/ml
Natriumklorid 0,9 % 3829
Kompatibel
Injeksjon Amikacin sulfate 250 mg/ml
Injeksjon Ketamine hydrochloride 50 mg/ml
2109
Kompatibel
Injeksjon Amikacin sulfate 5 mg/ml
Injeksjon Labetalol hydrochloride 1 mg/ml
Glukose 5 % 386
Kompatibel
Injeksjon Amikacin sulfate 5 mg/ml
Injeksjon Lansoprazole 0.55 mg/ml
Natriumklorid 0,9 % 1625
Kompatibel
Injeksjon Amikacin sulfate 50 mg/ml
Injeksjon Levofloxacine 5 mg/ml
Glukose 5 % 1072
Kompatibel
Injeksjon Amikacin sulfate 5 mg/ml
Injeksjon Linezolid 2 mg/ml
Ingen 1925
Kompatibel
Injeksjon Amikacin sulfate 5 mg/ml
Injeksjon Lorazepam 0.33 mg/ml
Natriumklorid 0,9 % 186
Kompatibel
Injeksjon Amikacin sulfate 5 mg/ml
Injeksjon Magnesium sulfate 16.67 >> 100 mg/ml
Glukose 5 % 1047
Kompatibel
Injeksjon Amikacin sulfate 5 mg/ml
Injeksjon Melphalan 0.1 mg/ml
Natriumklorid 0,9 % 169
Kompatibel
Injeksjon Amikacin sulfate 250 mg/ml
Injeksjon Meropenem 50 mg/ml
4389
Kompatibel
Injeksjon Amikacin sulfate 250 mg/ml
Injeksjon Meropenem 50 mg/ml
Vann til injeksjon 4319
Kjemisk ustabilitet Uforenlig
Injeksjon Amikacin sulfate
Injeksjon Meropenem
3549
Kompatibel
Injeksjon Amikacin sulfate
Injeksjon Metronidazole
3594
Kompatibel
Injeksjon Amikacin sulfate 5 mg/ml
Injeksjon Metronidazole 5 mg/ml
Ingen 1035
Kompatibel
Injeksjon Amikacin sulfate 5 mg/ml
Injeksjon Midazolam hydrochloride 5 mg/ml
Ingen 186
Kompatibel
Injeksjon Amikacin sulfate 5 mg/ml
Injeksjon Morphine sulfate 1 mg/ml
Glukose 5 % 405
Kompatibel
Injeksjon Amikacin sulfate 250 mg/ml
Injeksjon N-acetylcysteine 200 mg/ml
Ingen 3766
Kjemisk ustabilitet Uforenlig
Injeksjon Amikacin sulfate
Injeksjon Nafcillin sodium
3549
Kompatibel
Injeksjon Amikacin sulfate 2,5 mg/ml
Injeksjon Nalbuphine hydrochloride 0,05 >> 0,33 mg/ml
Natriumklorid 0,9 % 4867
Kompatibel
Injeksjon Amikacin sulfate 250 mg/ml
Injeksjon Naloxone hydrochloride 0.4 mg/ml
Ingen 3408
Kompatibel
Injeksjon Amikacin sulfate 2 mg/ml
Injeksjon Nicardipine hydrochloride 0.1 mg/ml
Glukose 5 % 1490
Kompatibel
Injeksjon Amikacin sulfate 2 mg/ml
Injeksjon Nicardipine hydrochloride 0.1 mg/ml
Natriumklorid 0,9 % 1490
Kompatibel
Injeksjon Amikacin sulfate 5 mg/ml
Injeksjon Ondansetron hydrochloride 1 mg/ml
Natriumklorid 0,9 % 334
Kjemisk ustabilitet Uforenlig
Injeksjon Amikacin sulfate
Injeksjon Oxacillin sodium
3549
Kompatibel
Injeksjon Amikacin sulfate 5 mg/ml
Injeksjon Paclitaxel 1.2 mg/ml
Glukose 5 % 248
Umiddelbar nedbør Uforenlig
Injeksjon Amikacin sulfate
Injeksjon Pantoprazole sodium
2090
Kompatibel
Injeksjon Amikacin sulfate 250 mg/ml
Injeksjon Paracetamol 10 mg/ml
4742
Kompatibel
Injeksjon Amikacin sulfate 5 mg/ml
Injeksjon Pemetrexed disodium 20 mg/ml
Natriumklorid 0,9 % 1953
Kjemisk ustabilitet Uforenlig
Injeksjon Amikacin sulfate
Injeksjon Penicillin G potassium
3549
Kjemisk ustabilitet Uforenlig
Injeksjon Amikacin sulfate
Injeksjon Penicillin G sodium
3549
Kompatibel
Injeksjon Amikacin sulfate 50 mg/ml
Injeksjon Pethidine hydrochloride 100 mg/ml
Natriumklorid 0,45 % 132
Kompatibel
Injeksjon Amikacin sulfate 5 mg/ml
Injeksjon Pethidine hydrochloride 10 mg/ml
Glukose 5 % 405
Uspesifisert inkompatibilitet Uforenlig
Injeksjon Amikacin sulfate
Injeksjon Phenytoin sodium
3549
Kompatibel
Injeksjon Amikacin sulfate 40 mg/ml
Injeksjon Phloroglucinol 2,5 mg/ml
3791
Kjemisk ustabilitet Uforenlig
Injeksjon Amikacin sulfate
Injeksjon Piperacillin sodium
3549
Kjemisk ustabilitet Uforenlig
Injeksjon Amikacin sulfate
Injeksjon Piperacillin sodium / tazobactam
3549
Kjemisk ustabilitet Uforenlig
Injeksjon Amikacin sulfate
Injeksjon Piperacillin sodium / tazobactam
3586
Kompatibel
Injeksjon Amikacin sulfate
Injeksjon Posaconazole
4380
Umiddelbar nedbør Uforenlig
Injeksjon Amikacin sulfate 5 mg/ml
Injeksjon Propofol 10 mg/ml
Ingen 300
Uspesifisert inkompatibilitet Uforenlig
Injeksjon Amikacin sulfate
Injeksjon Pyridoxine hydrochloride
3549
Kompatibel
Injeksjon Amikacin sulfate 5 mg/ml
Injeksjon Remifentanil hydrochloride 25 & 250 µg/ml
Natriumklorid 0,9 % 59
Umiddelbar nedbør Uforenlig
Injeksjon Amikacin sulfate 250 mg/ml
Injeksjon Salbutamol sulfate 1 mg/ml
Ingen 3216
Kompatibel
Injeksjon Amikacin sulfate 5 mg/ml
Injeksjon Sargramostim 10 µg/ml
Natriumklorid 0,9 % 335
Kompatibel
Injeksjon Amikacin sulfate 10 mg/ml
Injeksjon Sulbactam/durlobactam 15/15 mg/ml
Natriumklorid 0,9 % 4801
Kompatibel
Injeksjon Amikacin sulfate 5 mg/ml
Injeksjon Tedizolid phosphate 0.8 mg/ml
Natriumklorid 0,9 % 3827
Uspesifisert inkompatibilitet Uforenlig
Injeksjon Amikacin sulfate
Injeksjon Teicoplanine
3656
Kompatibel
Injeksjon Amikacin sulfate
Natriumklorid 0,9 % 5076
Uspesifisert inkompatibilitet Uforenlig
Injeksjon Amikacin sulfate 50 mg/ml
Injeksjon Propofol
4524
Uspesifisert inkompatibilitet Uforenlig
Injeksjon Amikacin sulfate
Injeksjon Temocilline
2296
Kompatibel
Injeksjon Amikacin sulfate 15 mg/ml
Injeksjon Temocilline 83.33 mg/ml
Vann til injeksjon 2231
Kjemisk ustabilitet Uforenlig
Injeksjon Amikacin sulfate
Injeksjon Temocilline
3549
Kompatibel
Injeksjon Amikacin sulfate 5 mg/ml
Injeksjon Teniposide 0.1 mg/ml
Glukose 5 % 905
Uspesifisert inkompatibilitet Uforenlig
Injeksjon Amikacin sulfate
Injeksjon Thiamine hydrochloride
3549
Umiddelbar nedbør Uforenlig
Injeksjon Amikacin sulfate 250 mg/ml
Injeksjon Thiopental sodium 25 mg/ml
Natriumklorid 0,9 % 3767
Uspesifisert inkompatibilitet Uforenlig
Injeksjon Amikacin sulfate
Injeksjon Thiopental sodium
3549
Kompatibel
Injeksjon Amikacin sulfate 5 mg/ml
Injeksjon Thiotepa 1 mg/ml
Glukose 5 % 249
Kjemisk ustabilitet Uforenlig
Injeksjon Amikacin sulfate
Injeksjon Ticarcillin / clavulanic acid
3587
Kjemisk ustabilitet Uforenlig
Injeksjon Amikacin sulfate
Injeksjon Ticarcillin / clavulanic acid
3549
Kompatibel
Injeksjon Amikacin sulfate
Injeksjon Tigecycline
Natriumklorid 0,9 % 3332
Kompatibel
Injeksjon Amikacin sulfate 15 mg/ml
Injeksjon Vancomycin hydrochloride 10 mg/ml
Glukose 5 % 3385
Kompatibel
Injeksjon Amikacin sulfate 2 mg/ml
Injeksjon Verapamil hydrochloride 0.08 mg/ml
Natriumklorid 0,9 % 1057
Kompatibel
Injeksjon Amikacin sulfate 2 mg/ml
Injeksjon Verapamil hydrochloride 0.08 mg/ml
Glukose 5 % 1057
Umiddelbar turbiditet Uforenlig
Injeksjon Amikacin sulfate 5 mg/ml
Injeksjon Vinorelbine tartrate 1 mg/ml
Natriumklorid 0,9 % 84
Kompatibel
Injeksjon Amikacin sulfate 5 mg/ml
Injeksjon Warfarin sodium 0.1 & 2 mg/ml
Glukose 5 % 552
Kompatibel
Injeksjon Amikacin sulfate 5 mg/ml
Injeksjon Warfarin sodium 0.1 & 2 mg/ml
Natriumklorid 0,9 % 552
Kompatibel
Injeksjon Amikacin sulfate 4 mg/ml
Injeksjon Zidovudine 4 mg/ml
Glukose 5 % 337

  Mentions Légales