Utolsó frissítés :
27/04/2026
Antibiotikum   Amikacin sulfate  
Injekció
Az oldatok stabilitása A keverékek stabilitása Stabilitást befolyásoló tényezők Kompatibilitás Az alkalmazás módja Irodalom pdf
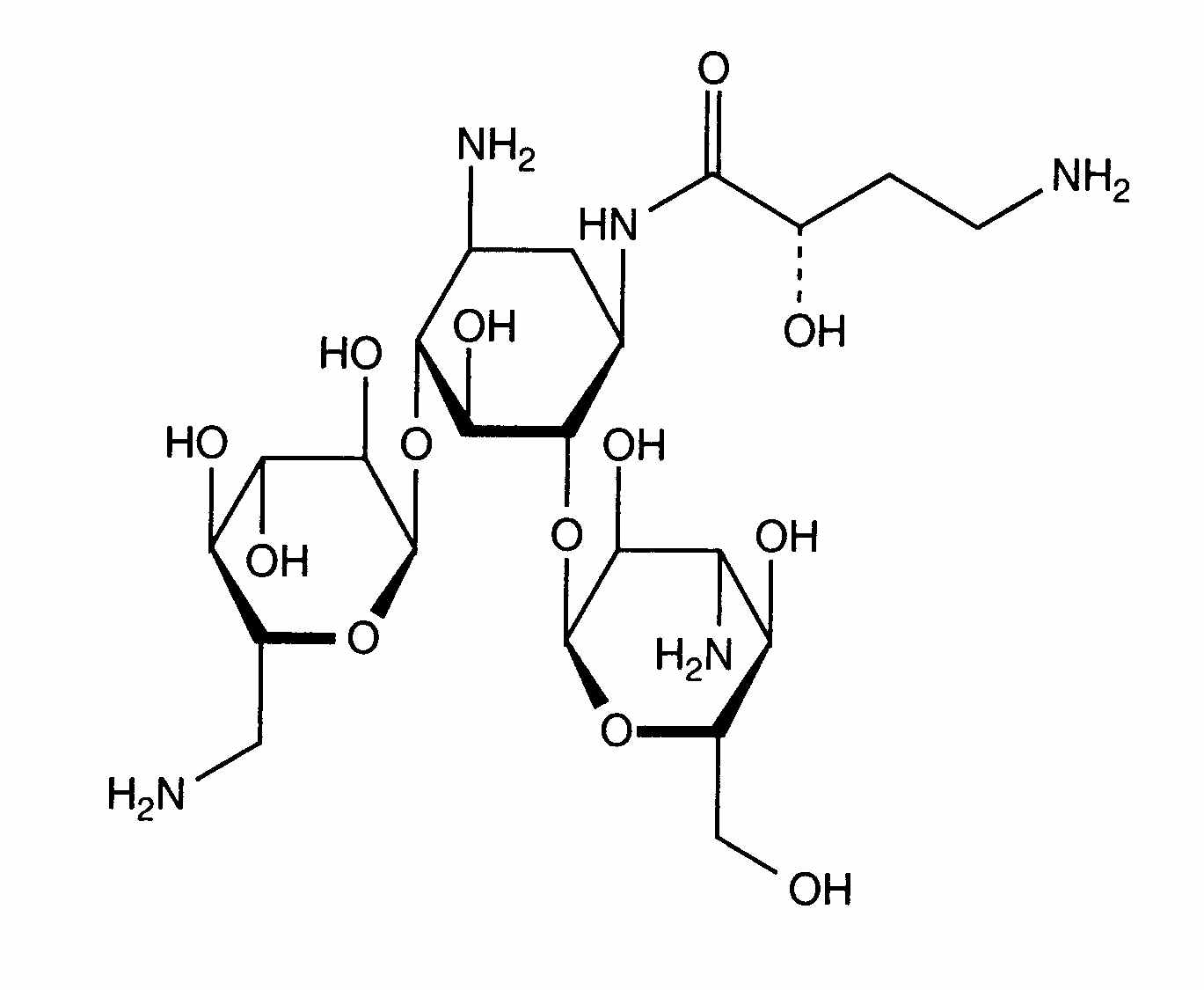
   Kémiai szerkezet   

Kereskedelmi név   Kereskedelmi név     

A kereskedelmi név meghatározó jelentőségű: a készítmények összetétele országonként, előállítóként eltérő lehet

Adnet India
Agnicin Mexikó
Akamin Ecuador
Akim Ecuador
Amicacil Brazília
Amicilon Brazília
Amicin Malaysia
Amicip Venezuela
Amijeksin Törökország
Amikabiot Ecuador, Peru
Amikacin Amerikai Egyesült Államok, Egyiptom, Irán, Kanada, Malaysia, Nagy-Britannia, Németország, Szaúd-Arábiában, új-Zéland
Amikacina Argentína, Chile, Colombia, Ecuador, Mexikó, Olaszország, Peru, Spanyolország, Venezuela
Amikacine Belgium, Franciaország, Hollandia, Marokkó
Amikafur Mexikó
Amikagram Peru
Amikalem Mexikó
Amikamed Peru
Amikamek Peru
Amikan Olaszország
Amikavax Venezuela
Amikaver Törökország
Amikayect Mexikó
Amikem Peru
Amiketem Törökország
Amikin Amerikai Egyesült Államok, Ausztrália, Brazília, Colombia, Ecuador, Egyiptom, Írország, Lengyelország, Magyarország, Mexikó, Nagy-Britannia, Peru, Svájc, Szaúd-Arábiában, Tunézia
Amiklin Franciaország, Törökország
Amikosit Románia, Törökország, Tunézia
Amikram Peru
Amukin Belgium, Hollandia, Luxemburg
Apalin Malaysia
Baxi K Chile, Mexikó
Behcacin India, Venezuela
Belka India
Biclin Ausztria, Finnország, Mexikó, Németország, Portugália, Spanyolország, Svédország
Biodacyna Lengyelország
Biokacin Mexikó
Briklin Görögország
Cadicin India
Chemacin Olaszország
Cikabit India
Cinamica India
Cinas India
Consumonit Görögország
Domak India
Doxocar Argentína
Elcin India
Elmik India
Emcin India
Emica India
Farcyclin Görögország
Flexelite Görögország
Greini Argentína
Ipacin Irán
Itukacin Peru
Kancin Görögország
Lanomycin Görögország
Lukadin Olaszország
Masmika India
Mediamik Olaszország
Micalpha Görögország
Micigen Mexikó
Migracin Olaszország
Mikacin Szaúd-Arábiában
Nekacin Olaszország
Novamin Brazília
Orlobin Görögország
Remikin Görögország
Rovericlin Görögország
Uzix Görögország
Kompatibilitás   Injekció   Kompatibilitás : Amikacin sulfate              
Ovdje su prikazane kompatibilnosti ili nekompatibilnosti s tipom nekompatibilnosti (taloženje, promjena boje, modifikacija emulzije itd.) u ovom slučaju. Kompatibilnosti prikazane ovdje najčešće su fizikalne dok se kemijska stabilnost molekule rijetko procjenjuje. Procjena ovih mikstura je proučavana kako bi se razmotrila mogućnost primjene lijeka putem Y-mjesta. Ovi se podaci ne smiju koristiti za pripremu mikstura unaprijed u vrećicama ili štrcaljkama. Ova vrsta informacije se može pronaći u odjeljku « stabilnost u miksturama ».
Vegyület Oldószer Irodalom
Összeegyeztethető
Injekció Amikacin sulfate 5 mg/ml
Injekció Aciclovir sodium 5 mg/ml
5% glükóz 336
Csapadék 1 óra után Összeegyeztethetetlen
Injekció Amikacin sulfate 5 mg/ml
Injekció Allopurinol sodium 3 mg/ml
0,9% nátrium-klorid 307
Összeegyeztethető
Injekció Amikacin sulfate 5 mg/ml
Injekció Amifostine 10 mg/ml
5% glükóz 3
Összeegyeztethető
Injekció Amikacin sulfate 5 mg/ml
Injekció Amiodarone hydrochloride 4 mg/ml
0,9% nátrium-klorid 385
Összeegyeztethető
Injekció Amikacin sulfate 5 mg/ml
Injekció Amiodarone hydrochloride 4 mg/ml
5% glükóz 385
Kémiai instabilitás Összeegyeztethetetlen
Injekció Amikacin sulfate
Injekció Amoxicillin sodium
3527
Kémiai instabilitás Összeegyeztethetetlen
Injekció Amikacin sulfate
Injekció Amoxicillin sodium
3549
Összeegyeztethető
Injekció Amikacin sulfate 250 mg/ml
Injekció Amoxicillin sodium / clavulanic acid 100/10 mg/ml
3824
Kémiai instabilitás Összeegyeztethetetlen
Injekció Amikacin sulfate
Injekció Amoxicillin sodium / clavulanic acid
3549
Meghatározatlan összeférhetetlenség Összeegyeztethetetlen
Injekció Amikacin sulfate
Injekció Amoxicillin sodium / clavulanic acid
3545
Meghatározatlan összeférhetetlenség Összeegyeztethetetlen
Injekció Amikacin sulfate
Injekció Amphotericin B
3549
Azonnali csapadék Összeegyeztethetetlen
Injekció Amikacin sulfate 5 mg/ml
Injekció Amphotericin B cholesteryl sulfate complex 0.83 mg/ml
5% glükóz 921
Kémiai instabilitás Összeegyeztethetetlen
Injekció Amikacin sulfate
Injekció Ampicillin sodium
3549
Kémiai instabilitás Összeegyeztethetetlen
Injekció Amikacin sulfate
Injekció Ampicillin sodium - sulbactam sodium
3549
Összeegyeztethető
Injekció Amikacin sulfate 5 mg/ml
Injekció Amsacrine 1 mg/ml
5% glükóz 253
Összeegyeztethető
Injekció Amikacin sulfate 5 mg/ml
Injekció Anidulafungin 0.5 mg/ml
5% glükóz 1982
Meghatározatlan összeférhetetlenség Összeegyeztethetetlen
Injekció Amikacin sulfate
Injekció Ascorbic acid
3549
Azonnali csapadék Összeegyeztethetetlen
Injekció Amikacin sulfate 100 mg/ml
Injekció Azithromycine 2 mg/ml
0,9% nátrium-klorid 1800
Kémiai instabilitás Összeegyeztethetetlen
Injekció Amikacin sulfate
Injekció Aztreonam
3549
Összeegyeztethető
Injekció Amikacin sulfate 5 mg/ml
Injekció Aztreonam 40 mg/ml
5% glükóz 99
Összeegyeztethető
Injekció Amikacin sulfate 5 mg/ml
Injekció Bivalirudin 5 mg/ml
5% glükóz 1713
Összeegyeztethető
Injekció Amikacin sulfate 250 mg/ml
Injekció Caffeine 10 mg/ml
Egy sem 3964
Összeegyeztethetetlen
Injekció Amikacin sulfate
Injekció Calcium gluconate
4964
Meghatározatlan összeférhetetlenség Összeegyeztethetetlen
Injekció Amikacin sulfate
Injekció Calcium gluconate
3644
Összeegyeztethető
Injekció Amikacin sulfate 5 mg/ml
Injekció Caspofungin acetate 0,7 mg/ml
0,9% nátrium-klorid 2247
Kémiai instabilitás Összeegyeztethetetlen
Injekció Amikacin sulfate
Injekció Cefalotin sodium
3549
Kémiai instabilitás Összeegyeztethetetlen
Injekció Amikacin sulfate
Injekció Cefamandole nafate
3549
Meghatározatlan összeférhetetlenség Összeegyeztethetetlen
Injekció Amikacin sulfate
Injekció Cefamandole nafate
3546
Kémiai instabilitás Összeegyeztethetetlen
Injekció Amikacin sulfate
Injekció Cefazolin sodium
3549
Összeegyeztethető
Injekció Amikacin sulfate 6 mg/ml
Injekció Cefepime dihydrochloride 40 mg/ml
0,9% nátrium-klorid 3548
Összeegyeztethető
Injekció Amikacin sulfate 6 mg/ml
Injekció Cefepime dihydrochloride 40 mg/ml
5% glükóz 3548
Összeegyeztethető
Injekció Amikacin sulfate 15 mg/ml
Injekció Cefepime dihydrochloride 125 mg/ml
Injekcióhoz való víz 2141
Kémiai instabilitás Összeegyeztethetetlen
Injekció Amikacin sulfate
Injekció Cefepime dihydrochloride
3549
Összeegyeztethető
Injekció Amikacin sulfate 5 mg/ml
Injekció Cefiderocol sulfate tosylate 20 mg/mL
5% glükóz 4528
Kémiai instabilitás Összeegyeztethetetlen
Injekció Amikacin sulfate
Injekció Cefmenoxime
3549
Kémiai instabilitás Összeegyeztethetetlen
Injekció Amikacin sulfate
Injekció Cefmetazole sodium
3549
Kémiai instabilitás Összeegyeztethetetlen
Injekció Amikacin sulfate
Injekció Cefonicid sodium
3549
Kémiai instabilitás Összeegyeztethetetlen
Injekció Amikacin sulfate
Injekció Cefoperazone sodium
3549
Meghatározatlan összeférhetetlenség Összeegyeztethetetlen
Injekció Amikacin sulfate
Injekció Cefoperazone sodium
3544
Kémiai instabilitás Összeegyeztethetetlen
Injekció Amikacin sulfate
Injekció Ceforanide
3549
Kémiai instabilitás Összeegyeztethetetlen
Injekció Amikacin sulfate
Injekció Cefotaxime sodium
3549
Kémiai instabilitás Összeegyeztethetetlen
Injekció Amikacin sulfate
Injekció Cefoxitin sodium
3549
Meghatározatlan összeférhetetlenség Összeegyeztethetetlen
Injekció Amikacin sulfate
Injekció Cefpirome sulfate
3677
Összeegyeztethető
Injekció Amikacin sulfate 5 mg/ml
Injekció Cefpirome sulfate 50 mg/ml
0,45% nátrium-klorid 280
Összeegyeztethető
Injekció Amikacin sulfate 5 mg/ml
Injekció Cefpirome sulfate 50 mg/ml
5% glükóz 280
Összeegyeztethető
Injekció Amikacin sulfate 5 mg/ml
Injekció Cefpirome sulfate 50 mg/ml
0,9% nátrium-klorid 280
Összeegyeztethető
Injekció Amikacin sulfate 5 mg/ml
Injekció Cefpirome sulfate 50 mg/ml
Ringer-laktát oldat 280
Kémiai instabilitás Összeegyeztethetetlen
Injekció Amikacin sulfate
Injekció Cefpirome sulfate
3549
Összeegyeztethető
Injekció Amikacin sulfate 5 mg/ml
Injekció Ceftaroline fosamil 2,22 mg/ml
Ringer-laktát oldat 3249
Összeegyeztethető
Injekció Amikacin sulfate 5 mg/ml
Injekció Ceftaroline fosamil 2,22 mg/ml
5% glükóz 3249
Összeegyeztethető
Injekció Amikacin sulfate 5 mg/ml
Injekció Ceftaroline fosamil 2,22 mg/ml
0,9% nátrium-klorid 3249
Meghatározatlan összeférhetetlenség Összeegyeztethetetlen
Injekció Amikacin sulfate
Injekció Ceftazidime
3883
Meghatározatlan összeférhetetlenség Összeegyeztethetetlen
Injekció Amikacin sulfate
Injekció Ceftazidime
3543
Összeegyeztethető
Injekció Amikacin sulfate 15 mg/ml
Injekció Ceftazidime 83.3 mg/ml
1759
Kémiai instabilitás Összeegyeztethetetlen
Injekció Amikacin sulfate
Injekció Ceftazidime Avibactam
3549
Azonnali csapadék Összeegyeztethetetlen
Injekció Amikacin sulfate 5 mg/ml
Injekció Ceftobiprole medocaril sodium 2 mg/ml
0,9% nátrium-klorid 2269
Meghatározatlan összeférhetetlenség Összeegyeztethetetlen
Injekció Amikacin sulfate
Injekció Ceftobiprole medocaril sodium
4650
Összeegyeztethető
Injekció Amikacin sulfate
5% glükóz 5076
Kémiai instabilitás Összeegyeztethetetlen
Injekció Amikacin sulfate
Injekció Ceftaroline fosamil
3549
Kémiai instabilitás Összeegyeztethetetlen
Injekció Amikacin sulfate
Injekció Ceftazidime
3549
Összeegyeztethető
Injekció Amikacin sulfate 15 mg/ml
Injekció Ceftazidime 125 mg/ml
Injekcióhoz való víz 2141
Kémiai instabilitás Összeegyeztethetetlen
Injekció Amikacin sulfate
Injekció Ceftizoxime sodium
3549
Azonnali csapadék Összeegyeztethetetlen
Injekció Amikacin sulfate 5 mg/ml
Injekció Ceftobiprole medocaril sodium 2 mg/ml
5% glükóz 2269
Kémiai instabilitás Összeegyeztethetetlen
Injekció Amikacin sulfate
Injekció Ceftobiprole medocaril sodium
3549
Azonnali csapadék Összeegyeztethetetlen
Injekció Amikacin sulfate 5 mg/ml
Injekció Ceftobiprole medocaril sodium 2 mg/ml
Ringer-laktát oldat 2269
Összeegyeztethető
Injekció Amikacin sulfate 5 mg/ml
Injekció Ceftolozane / tazobactam 10/5 mg/ml
5% glükóz 3828
Összeegyeztethető
Injekció Amikacin sulfate 5 mg/ml
Injekció Ceftolozane / tazobactam 10/5 mg/ml
0,9% nátrium-klorid 3828
Kémiai instabilitás Összeegyeztethetetlen
Injekció Amikacin sulfate
Injekció Ceftolozane / tazobactam
3549
Meghatározatlan összeférhetetlenség Összeegyeztethetetlen
Injekció Amikacin sulfate
Injekció Ceftriaxone disodium
3523
Kémiai instabilitás Összeegyeztethetetlen
Injekció Amikacin sulfate
Injekció Ceftriaxone disodium
3549
Kémiai instabilitás Összeegyeztethetetlen
Injekció Amikacin sulfate
Injekció Cefuroxime sodium
3549
Meghatározatlan összeférhetetlenség Összeegyeztethetetlen
Injekció Amikacin sulfate
Injekció Cefuroxime sodium
3687
Kémiai instabilitás Összeegyeztethetetlen
Injekció Amikacin sulfate
Injekció Cefuzonam
3549
Meghatározatlan összeférhetetlenség Összeegyeztethetetlen
Injekció Amikacin sulfate
Injekció Chlorothiazide sodium
3549
Összeegyeztethető
Injekció Amikacin sulfate 2.5 mg/ml
Injekció Cimetidine hydrochloride 1.5 mg/ml
5% glükóz 1201
Kémiai instabilitás Összeegyeztethetetlen
Injekció Amikacin sulfate 4 mg/ml
Injekció Ciprofloxacin lactate 1.5 mg/ml
0,9% nátrium-klorid 434
Kémiai instabilitás Összeegyeztethetetlen
Injekció Amikacin sulfate 4 mg/ml
Injekció Ciprofloxacin lactate 1.5 mg/ml
5% glükóz 434
Összeegyeztethető
Injekció Amikacin sulfate 5 mg/ml
Injekció Cisatracurium besylate 0.1 >> 5 mg/ml
5% glükóz 299
Összeegyeztethető
Injekció Amikacin sulfate 4 mg/ml
Injekció Clindamycin phosphate 9 mg/ml
0,9% nátrium-klorid 565
Összeegyeztethető
Injekció Amikacin sulfate 250 mg/ml
Parenterális táplálás (lipid-mentes) 999
Összeegyeztethető
Injekció Amikacin sulfate 5 mg/ml
Injekció Ciprofloxacin lactate 2 mg/ml
5% glükóz 285
Kémiai instabilitás Összeegyeztethetetlen
Injekció Amikacin sulfate
Injekció Cisplatin
3578
Összeegyeztethető
Injekció Amikacin sulfate 75 mg/ml
Injekció Clindamycin phosphate 90 mg/ml
0,9% nátrium-klorid 639
Összeegyeztethető
Injekció Amikacin sulfate
Injekció Clindamycin phosphate
0,9% nátrium-klorid 3526
Szubvizuális összeférhetetlenség Összeegyeztethetetlen
Injekció Amikacin sulfate 250 mg/ml
Injekció Cloxacillin sodium 100 mg/ml
Injekcióhoz való víz 3012
Meghatározatlan összeférhetetlenség Összeegyeztethetetlen
Injekció Amikacin sulfate
Injekció Daunorubicin/cytarabine liposomale
4354
Összeegyeztethető
Injekció Amikacin sulfate 5 mg/ml
Parenterális táplálás (lipid-mentes) 316
Összeegyeztethető
Injekció Amikacin sulfate 4 mg/ml
Injekció Clindamycin phosphate 9 mg/ml
5% glükóz 565
Összeegyeztethető
Injekció Amikacin sulfate
Injekció Clindamycin phosphate
5% glükóz 3526
Kémiai instabilitás Összeegyeztethetetlen
Injekció Amikacin sulfate
Injekció Cloxacillin sodium
3549
Meghatározatlan összeférhetetlenség Összeegyeztethetetlen
Injekció Amikacin sulfate
Injekció Cyanocobalamine
3549
Azonnali zavarosság Összeegyeztethetetlen
Injekció Amikacin sulfate
Injekció Daunorubicin/cytarabine liposomale 0,4 mg/mL
0,9% nátrium-klorid 4654
Azonnali csapadék Összeegyeztethetetlen
Injekció Amikacin sulfate 5 mg/ml
Injekció Defibrotide 8 mg/ml
0,9% nátrium-klorid 3728
Összeegyeztethető
Injekció Amikacin sulfate 50 mg/ml
Injekció Dexamethasone sodium phosphate 4 mg/ml
0,45% nátrium-klorid 132
Meghatározatlan összeférhetetlenség Összeegyeztethetetlen
Injekció Amikacin sulfate
Injekció Erythromycin lactobionate
3549
Összeegyeztethető
Injekció Amikacin sulfate 5 mg/ml
Parenterális táplálás (lipid-mentes) 301
Összeegyeztethető
Injekció Amikacin sulfate 5 mg/ml
Injekció Dexmedetomidine 4 µg/ml
0,9% nátrium-klorid 1712
Összeegyeztethető
Injekció Amikacin sulfate 5 & 250 mg/ml
Injekció Diltiazem hydrochloride 5 mg/ml
0,9% nátrium-klorid 198
Összeegyeztethető
Injekció Amikacin sulfate 5 mg/ml
Injekció Docetaxel 0.9 mg/ml
5% glükóz 1754
Összeegyeztethető
Injekció Amikacin sulfate 5 mg/ml
Injekció Doripenem 5 mg/ml
0,9% nátrium-klorid 2262
Összeegyeztethető
Injekció Amikacin sulfate 5 mg/ml
Injekció Doripenem 5 mg/ml
5% glükóz 2262
Kémiai instabilitás Összeegyeztethetetlen
Injekció Amikacin sulfate
Injekció Doripenem
3549
Összeegyeztethető
Injekció Amikacin sulfate 2 mg/ml
Injekció Enalaprilate 0.05 mg/ml
0,9% nátrium-klorid 1315
Kémiai instabilitás Összeegyeztethetetlen
Injekció Amikacin sulfate
Injekció Ertapenem
3549
Meghatározatlan összeférhetetlenség Összeegyeztethetetlen
Injekció Amikacin sulfate
Injekció Erythromycin lactobionate
3674
Összeegyeztethető
Injekció Amikacin sulfate 5 mg/ml
Injekció Esmolol hydrochloride 10 mg/ml
5% glükóz 384
Összeegyeztethető
Injekció Amikacin sulfate 5 mg/ml
Injekció Etoposide phosphate 5 mg/ml
5% glükóz 1410
Összeegyeztethető
Injekció Amikacin sulfate 5 mg/ml
Injekció Fenoldopam mesylate 80 µg/ml
0,9% nátrium-klorid 1803
Összeegyeztethető
Injekció Amikacin sulfate 5 mg/ml
Injekció Filgrastim 30 µg/ml
5% glükóz 244
Összeegyeztethető
Injekció Amikacin sulfate 0.487 >> 0.667 mg/ml
Parenterális táplálás (lipid) 1868
Összeegyeztethető
Injekció Amikacin sulfate 250 mg/ml
Ringer-laktát oldat 4603
Az emulzió instabilitása 1 óra múlva Összeegyeztethetetlen
Injekció Amikacin sulfate 250 mg/ml
Parenterális táplálás (lipid) 673
Összeegyeztethető
Injekció Amikacin sulfate 5 mg/ml
Injekció Filgrastim 40 µg/ml
5% glükóz 104
Az emulzió azonnali instabilitása Összeegyeztethetetlen
Injekció Amikacin sulfate 50 mg/ml
Parenterális táplálás (lipid) 132
Összeegyeztethető
Injekció Amikacin sulfate 5 mg/ml
Parenterális táplálás (lipid) 1415
Azonnali csapadék Összeegyeztethetetlen
Injekció Amikacin sulfate
Injekció Flucloxacillin sodium
3522
Összeegyeztethető
Injekció Amikacin sulfate 20 mg/ml
Injekció Fluconazole 2 mg/ml
0,9% nátrium-klorid 496
Összeegyeztethető
Injekció Amikacin sulfate 5 mg/ml
Injekció Fluconazole 2 mg/ml
Egy sem 256
Összeegyeztethető
Injekció Amikacin sulfate 5 mg/ml
Injekció Fludarabine phosphate 1 mg/ml
5% glükóz 492
Összeegyeztethető
Injekció Amikacin sulfate 20 mg/ml
Injekció Foscarnet sodium 24 mg/ml
Egy sem 73
Összeegyeztethető
Injekció Amikacin sulfate 5 mg/ml
Injekció Fosfomycin 30 mg/ml
0,9% nátrium-klorid 4055
Összeegyeztethető
Injekció Amikacin sulfate 5 mg/ml
Injekció Fosfomycin 30 mg/ml
5% glükóz 4055
Azonnali csapadék Összeegyeztethetetlen
Injekció Amikacin sulfate 2 mg/ml
Injekció Furosemide 0,16 mg/ml
0,9% nátrium-klorid 367
Azonnali csapadék Összeegyeztethetetlen
Injekció Amikacin sulfate 2 mg/ml
Injekció Furosemide 0,16 mg/ml
5% glükóz 367
Összeegyeztethető
Injekció Amikacin sulfate 5 mg/ml
Injekció Gemcitabine hydrochloride 10 mg/ml
0,9% nátrium-klorid 1423
Összeegyeztethető
Injekció Amikacin sulfate 5 mg/ml
Injekció Granisetron hydrochloride 0.05 mg/ml
5% glükóz 182
Meghatározatlan összeférhetetlenség Összeegyeztethetetlen
Injekció Amikacin sulfate
Injekció Heparin sodium
3549
Meghatározatlan összeférhetetlenség Összeegyeztethetetlen
Injekció Amikacin sulfate
Injekció Heparin sodium
3540
Azonnali csapadék Összeegyeztethetetlen
Injekció Amikacin sulfate
Injekció Heparin sodium
1022
Összeegyeztethető
Injekció Amikacin sulfate 5 mg/ml
Injekció Hetastarch 60 mg/ml
egyedi oldószer 1721
Azonnali csapadék Összeegyeztethetetlen
Injekció Amikacin sulfate 5 mg/ml
Injekció Hetastarch 60 mg/ml
0,9% nátrium-klorid 472
Összeegyeztethető
Injekció Amikacin sulfate 5 mg/ml
Injekció Hydromorphone hydrochloride 0.2 mg/ml
5% glükóz 405
Azonnali zavarosság Összeegyeztethetetlen
Injekció Amikacin sulfate 50 mg/ml
Injekció Ibuprofen lysinate 10 mg/ml
Injekcióhoz való víz 4419
Azonnali zavarosság Összeegyeztethetetlen
Injekció Amikacin sulfate 250 mg/ml
Injekció Ibuprofen lysinate 10 mg/ml
Injekcióhoz való víz 4419
Összeegyeztethető
Injekció Amikacin sulfate 5 mg/ml
Injekció Idarubicin hydrochloride 1 mg/ml
0,9% nátrium-klorid 491
Kémiai instabilitás Összeegyeztethetetlen
Injekció Amikacin sulfate
Injekció Imipenem - cilastatin sodium
3549
Összeegyeztethető
Injekció Amikacin sulfate 5 mg/ml
Injekció Isavuconazonium sulfate 1.5 mg/ml
5% glükóz 3829
Összeegyeztethető
Injekció Amikacin sulfate 5 mg/ml
Injekció Isavuconazonium sulfate 1.5 mg/ml
0,9% nátrium-klorid 3829
Összeegyeztethető
Injekció Amikacin sulfate 250 mg/ml
Injekció Ketamine hydrochloride 50 mg/ml
2109
Összeegyeztethető
Injekció Amikacin sulfate 5 mg/ml
Injekció Labetalol hydrochloride 1 mg/ml
5% glükóz 386
Összeegyeztethető
Injekció Amikacin sulfate 5 mg/ml
Injekció Lansoprazole 0.55 mg/ml
0,9% nátrium-klorid 1625
Összeegyeztethető
Injekció Amikacin sulfate 50 mg/ml
Injekció Levofloxacine 5 mg/ml
5% glükóz 1072
Összeegyeztethető
Injekció Amikacin sulfate 5 mg/ml
Injekció Linezolid 2 mg/ml
Egy sem 1925
Összeegyeztethető
Injekció Amikacin sulfate 5 mg/ml
Injekció Lorazepam 0.33 mg/ml
0,9% nátrium-klorid 186
Összeegyeztethető
Injekció Amikacin sulfate 5 mg/ml
Injekció Magnesium sulfate 16.67 >> 100 mg/ml
5% glükóz 1047
Összeegyeztethető
Injekció Amikacin sulfate 5 mg/ml
Injekció Melphalan 0.1 mg/ml
0,9% nátrium-klorid 169
Összeegyeztethető
Injekció Amikacin sulfate 250 mg/ml
Injekció Meropenem 50 mg/ml
4389
Összeegyeztethető
Injekció Amikacin sulfate 250 mg/ml
Injekció Meropenem 50 mg/ml
Injekcióhoz való víz 4319
Kémiai instabilitás Összeegyeztethetetlen
Injekció Amikacin sulfate
Injekció Meropenem
3549
Összeegyeztethető
Injekció Amikacin sulfate
Injekció Metronidazole
3594
Összeegyeztethető
Injekció Amikacin sulfate 5 mg/ml
Injekció Metronidazole 5 mg/ml
Egy sem 1035
Összeegyeztethető
Injekció Amikacin sulfate 5 mg/ml
Injekció Midazolam hydrochloride 5 mg/ml
Egy sem 186
Összeegyeztethető
Injekció Amikacin sulfate 5 mg/ml
Injekció Morphine sulfate 1 mg/ml
5% glükóz 405
Összeegyeztethető
Injekció Amikacin sulfate 250 mg/ml
Injekció N-acetylcysteine 200 mg/ml
Egy sem 3766
Kémiai instabilitás Összeegyeztethetetlen
Injekció Amikacin sulfate
Injekció Nafcillin sodium
3549
Összeegyeztethető
Injekció Amikacin sulfate 2,5 mg/ml
Injekció Nalbuphine hydrochloride 0,05 >> 0,33 mg/ml
0,9% nátrium-klorid 4867
Összeegyeztethető
Injekció Amikacin sulfate 250 mg/ml
Injekció Naloxone hydrochloride 0.4 mg/ml
Egy sem 3408
Összeegyeztethető
Injekció Amikacin sulfate 2 mg/ml
Injekció Nicardipine hydrochloride 0.1 mg/ml
5% glükóz 1490
Összeegyeztethető
Injekció Amikacin sulfate 2 mg/ml
Injekció Nicardipine hydrochloride 0.1 mg/ml
0,9% nátrium-klorid 1490
Összeegyeztethető
Injekció Amikacin sulfate 5 mg/ml
Injekció Ondansetron hydrochloride 1 mg/ml
0,9% nátrium-klorid 334
Kémiai instabilitás Összeegyeztethetetlen
Injekció Amikacin sulfate
Injekció Oxacillin sodium
3549
Összeegyeztethető
Injekció Amikacin sulfate 5 mg/ml
Injekció Paclitaxel 1.2 mg/ml
5% glükóz 248
Azonnali csapadék Összeegyeztethetetlen
Injekció Amikacin sulfate
Injekció Pantoprazole sodium
2090
Összeegyeztethető
Injekció Amikacin sulfate 250 mg/ml
Injekció Paracetamol 10 mg/ml
4742
Összeegyeztethető
Injekció Amikacin sulfate 5 mg/ml
Injekció Pemetrexed disodium 20 mg/ml
0,9% nátrium-klorid 1953
Kémiai instabilitás Összeegyeztethetetlen
Injekció Amikacin sulfate
Injekció Penicillin G potassium
3549
Kémiai instabilitás Összeegyeztethetetlen
Injekció Amikacin sulfate
Injekció Penicillin G sodium
3549
Összeegyeztethető
Injekció Amikacin sulfate 50 mg/ml
Injekció Pethidine hydrochloride 100 mg/ml
0,45% nátrium-klorid 132
Összeegyeztethető
Injekció Amikacin sulfate 5 mg/ml
Injekció Pethidine hydrochloride 10 mg/ml
5% glükóz 405
Meghatározatlan összeférhetetlenség Összeegyeztethetetlen
Injekció Amikacin sulfate
Injekció Phenytoin sodium
3549
Összeegyeztethető
Injekció Amikacin sulfate 40 mg/ml
Injekció Phloroglucinol 2,5 mg/ml
3791
Kémiai instabilitás Összeegyeztethetetlen
Injekció Amikacin sulfate
Injekció Piperacillin sodium
3549
Kémiai instabilitás Összeegyeztethetetlen
Injekció Amikacin sulfate
Injekció Piperacillin sodium / tazobactam
3549
Kémiai instabilitás Összeegyeztethetetlen
Injekció Amikacin sulfate
Injekció Piperacillin sodium / tazobactam
3586
Összeegyeztethető
Injekció Amikacin sulfate
Injekció Posaconazole
4380
Azonnali csapadék Összeegyeztethetetlen
Injekció Amikacin sulfate 5 mg/ml
Injekció Propofol 10 mg/ml
Egy sem 300
Meghatározatlan összeférhetetlenség Összeegyeztethetetlen
Injekció Amikacin sulfate
Injekció Pyridoxine hydrochloride
3549
Összeegyeztethető
Injekció Amikacin sulfate 5 mg/ml
Injekció Remifentanil hydrochloride 25 & 250 µg/ml
0,9% nátrium-klorid 59
Azonnali csapadék Összeegyeztethetetlen
Injekció Amikacin sulfate 250 mg/ml
Injekció Salbutamol sulfate 1 mg/ml
Egy sem 3216
Összeegyeztethető
Injekció Amikacin sulfate 5 mg/ml
Injekció Sargramostim 10 µg/ml
0,9% nátrium-klorid 335
Összeegyeztethető
Injekció Amikacin sulfate 10 mg/ml
Injekció Sulbactam/durlobactam 15/15 mg/ml
0,9% nátrium-klorid 4801
Összeegyeztethető
Injekció Amikacin sulfate 5 mg/ml
Injekció Tedizolid phosphate 0.8 mg/ml
0,9% nátrium-klorid 3827
Meghatározatlan összeférhetetlenség Összeegyeztethetetlen
Injekció Amikacin sulfate
Injekció Teicoplanine
3656
Összeegyeztethető
Injekció Amikacin sulfate
0,9% nátrium-klorid 5076
Meghatározatlan összeférhetetlenség Összeegyeztethetetlen
Injekció Amikacin sulfate 50 mg/ml
Injekció Propofol
4524
Meghatározatlan összeférhetetlenség Összeegyeztethetetlen
Injekció Amikacin sulfate
Injekció Temocilline
2296
Összeegyeztethető
Injekció Amikacin sulfate 15 mg/ml
Injekció Temocilline 83.33 mg/ml
Injekcióhoz való víz 2231
Kémiai instabilitás Összeegyeztethetetlen
Injekció Amikacin sulfate
Injekció Temocilline
3549
Összeegyeztethető
Injekció Amikacin sulfate 5 mg/ml
Injekció Teniposide 0.1 mg/ml
5% glükóz 905
Meghatározatlan összeférhetetlenség Összeegyeztethetetlen
Injekció Amikacin sulfate
Injekció Thiamine hydrochloride
3549
Azonnali csapadék Összeegyeztethetetlen
Injekció Amikacin sulfate 250 mg/ml
Injekció Thiopental sodium 25 mg/ml
0,9% nátrium-klorid 3767
Meghatározatlan összeférhetetlenség Összeegyeztethetetlen
Injekció Amikacin sulfate
Injekció Thiopental sodium
3549
Összeegyeztethető
Injekció Amikacin sulfate 5 mg/ml
Injekció Thiotepa 1 mg/ml
5% glükóz 249
Kémiai instabilitás Összeegyeztethetetlen
Injekció Amikacin sulfate
Injekció Ticarcillin / clavulanic acid
3587
Kémiai instabilitás Összeegyeztethetetlen
Injekció Amikacin sulfate
Injekció Ticarcillin / clavulanic acid
3549
Összeegyeztethető
Injekció Amikacin sulfate
Injekció Tigecycline
0,9% nátrium-klorid 3332
Összeegyeztethető
Injekció Amikacin sulfate 15 mg/ml
Injekció Vancomycin hydrochloride 10 mg/ml
5% glükóz 3385
Összeegyeztethető
Injekció Amikacin sulfate 2 mg/ml
Injekció Verapamil hydrochloride 0.08 mg/ml
0,9% nátrium-klorid 1057
Összeegyeztethető
Injekció Amikacin sulfate 2 mg/ml
Injekció Verapamil hydrochloride 0.08 mg/ml
5% glükóz 1057
Azonnali zavarosság Összeegyeztethetetlen
Injekció Amikacin sulfate 5 mg/ml
Injekció Vinorelbine tartrate 1 mg/ml
0,9% nátrium-klorid 84
Összeegyeztethető
Injekció Amikacin sulfate 5 mg/ml
Injekció Warfarin sodium 0.1 & 2 mg/ml
5% glükóz 552
Összeegyeztethető
Injekció Amikacin sulfate 5 mg/ml
Injekció Warfarin sodium 0.1 & 2 mg/ml
0,9% nátrium-klorid 552
Összeegyeztethető
Injekció Amikacin sulfate 4 mg/ml
Injekció Zidovudine 4 mg/ml
5% glükóz 337

  Mentions Légales