Poslední aktualizace :
27/04/2026
Antibiotikum   Amikacin sulfate  
injekce
Stabilita roztoků Stabilita směsí Faktory ovlivňující stabilitu Kompatibilita Způsoby aplikace Odkazy pdf
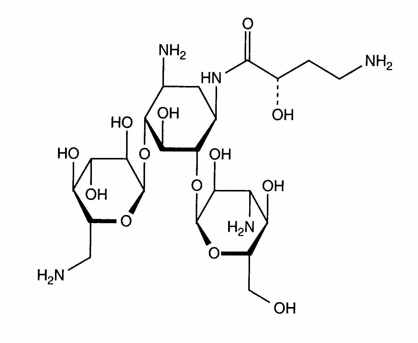
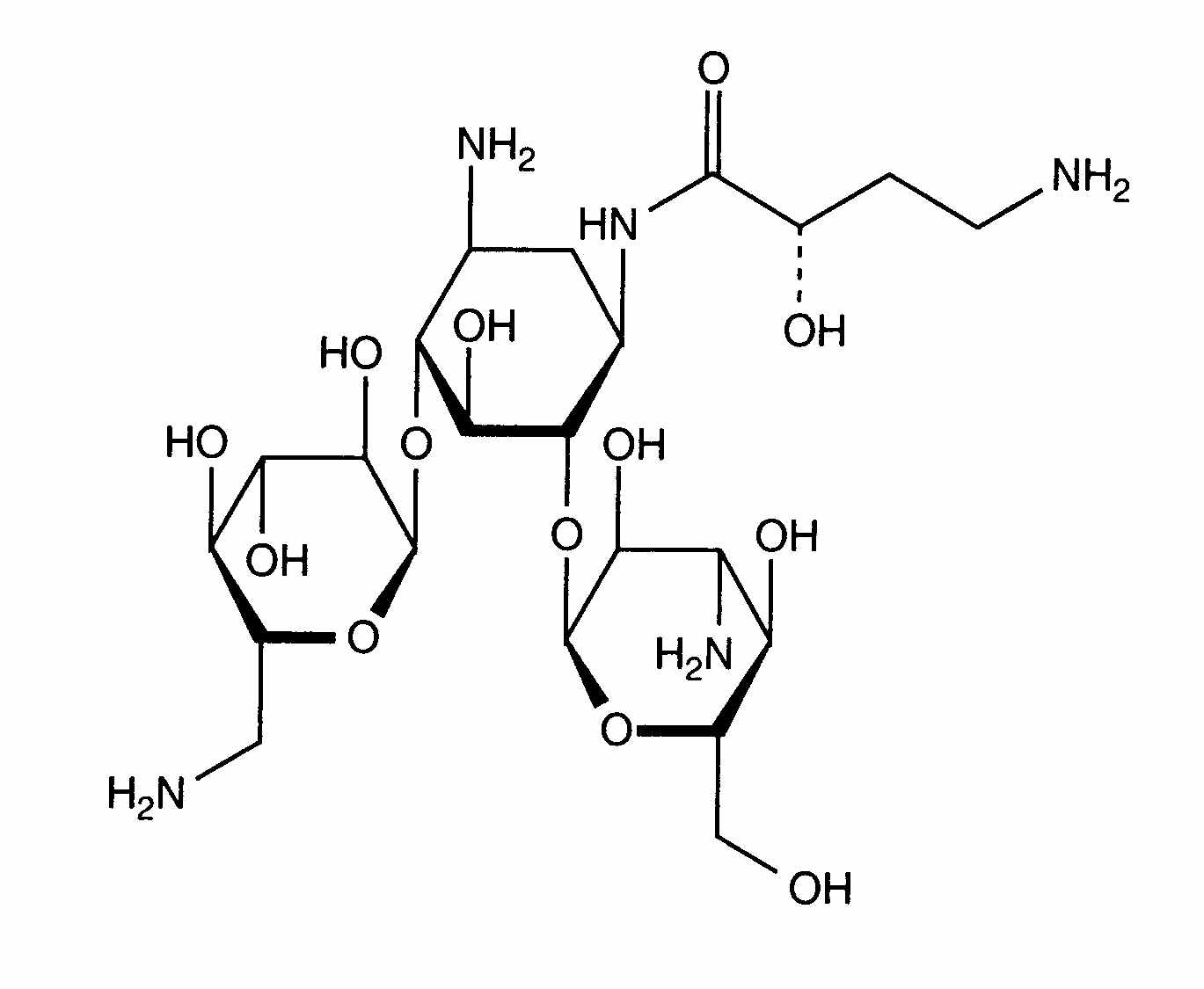
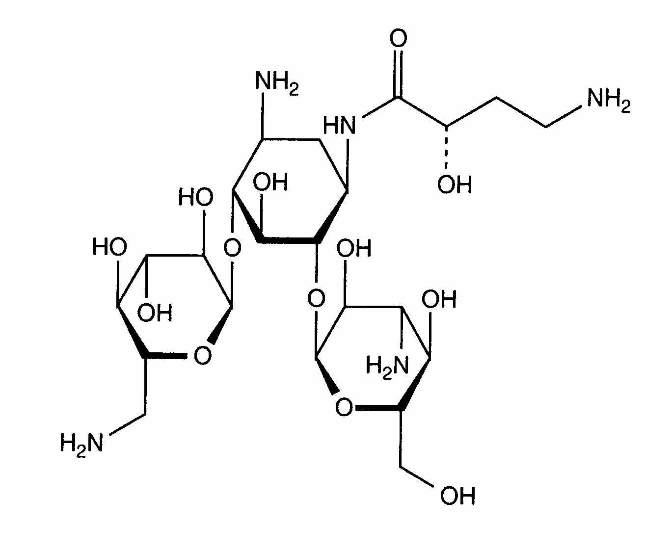
   Chemický vzorec  

Obchodní název   Obchodní název     

Trade names are indicative and excipients composition can be different depending on the country and manufacturers

Adnet Indie
Agnicin Mexiko
Akamin Ekvádor
Akim Ekvádor
Amicacil BrazÌlie
Amicilon BrazÌlie
Amicin Malajsie
Amicip Venezuela
Amijeksin Turecko
Amikabiot Ekvádor, Peru
Amikacin Egypt, Írán, Kanada, Malajsie, NÏmecko, nový Zéland, Saúdská Arábie, USA, Velká Británie
Amikacina äpanÏlsko, Argentina, Chile, Ekvádor, Itálie, Kolumbie, Mexiko, Peru, Venezuela
Amikacine Belgie, Francie, Maroko, Nizozemsko
Amikafur Mexiko
Amikagram Peru
Amikalem Mexiko
Amikamed Peru
Amikamek Peru
Amikan Itálie
Amikavax Venezuela
Amikaver Turecko
Amikayect Mexiko
Amikem Peru
Amiketem Turecko
Amikin Austrálie, BrazÌlie, Egypt, Ekvádor, Irsko, Kolumbie, MaÔarsko, Mexiko, Peru, Polsko, Saúdská Arábie, Švýcarsko, Tunisko, USA, Velká Británie
Amiklin Francie, Turecko
Amikosit Rumunsko, Tunisko, Turecko
Amikram Peru
Amukin Belgie, Lucembursko, Nizozemsko
Apalin Malajsie
Baxi K Chile, Mexiko
Behcacin Indie, Venezuela
Belka Indie
Biclin äpanÏlsko, Finsko, Mexiko, NÏmecko, Portugalsko, Rakousko, Švédsko
Biodacyna Polsko
Biokacin Mexiko
Briklin ÿecko
Cadicin Indie
Chemacin Itálie
Cikabit Indie
Cinamica Indie
Cinas Indie
Consumonit ÿecko
Domak Indie
Doxocar Argentina
Elcin Indie
Elmik Indie
Emcin Indie
Emica Indie
Farcyclin ÿecko
Flexelite ÿecko
Greini Argentina
Ipacin Írán
Itukacin Peru
Kancin ÿecko
Lanomycin ÿecko
Lukadin Itálie
Masmika Indie
Mediamik Itálie
Micalpha ÿecko
Micigen Mexiko
Migracin Itálie
Mikacin Saúdská Arábie
Nekacin Itálie
Novamin BrazÌlie
Orlobin ÿecko
Remikin ÿecko
Rovericlin ÿecko
Uzix ÿecko
Kompatibilita   injekce   Kompatibilita : Amikacin sulfate              
Tato obrazovka ukazuje kompatibilitu nebo nekompatibilitu s, v tomto případě, typem nekompatibility (srážení, změna barvy, modifikace emulze atd.). Zde uvedené kompatibility jsou většinou pouze fyzikální, přičemž chemická stabilita každé molekuly je zřídka hodnocena. Hodnocení těchto směsí bylo studováno, aby se zvážila možnost podání Y-místa pacientovi. Tyto údaje nelze použít k přípravě směsí předem v pytlích nebo stříkačkách. Tento typ informací je k dispozici na obrazovce „Stabilita ve směsi“.
SlouËenina RozpouötÏdlo Odkazy
Kompatibilní
injekce Amikacin sulfate 5 mg/ml
injekce Aciclovir sodium 5 mg/ml
GlukÛza 5% 336
Srážky po 1 hodině Nekompatibilní
injekce Amikacin sulfate 5 mg/ml
injekce Allopurinol sodium 3 mg/ml
Chlorid sodný 0,9% 307
Kompatibilní
injekce Amikacin sulfate 5 mg/ml
injekce Amifostine 10 mg/ml
GlukÛza 5% 3
Kompatibilní
injekce Amikacin sulfate 5 mg/ml
injekce Amiodarone hydrochloride 4 mg/ml
Chlorid sodný 0,9% 385
Kompatibilní
injekce Amikacin sulfate 5 mg/ml
injekce Amiodarone hydrochloride 4 mg/ml
GlukÛza 5% 385
Chemická nestabilita Nekompatibilní
injekce Amikacin sulfate
injekce Amoxicillin sodium
3527
Chemická nestabilita Nekompatibilní
injekce Amikacin sulfate
injekce Amoxicillin sodium
3549
Kompatibilní
injekce Amikacin sulfate 250 mg/ml
injekce Amoxicillin sodium / clavulanic acid 100/10 mg/ml
3824
Chemická nestabilita Nekompatibilní
injekce Amikacin sulfate
injekce Amoxicillin sodium / clavulanic acid
3549
Nespecifikovaná nekompatibilita Nekompatibilní
injekce Amikacin sulfate
injekce Amoxicillin sodium / clavulanic acid
3545
Nespecifikovaná nekompatibilita Nekompatibilní
injekce Amikacin sulfate
injekce Amphotericin B
3549
Okamžité srážení Nekompatibilní
injekce Amikacin sulfate 5 mg/ml
injekce Amphotericin B cholesteryl sulfate complex 0.83 mg/ml
GlukÛza 5% 921
Chemická nestabilita Nekompatibilní
injekce Amikacin sulfate
injekce Ampicillin sodium
3549
Chemická nestabilita Nekompatibilní
injekce Amikacin sulfate
injekce Ampicillin sodium - sulbactam sodium
3549
Kompatibilní
injekce Amikacin sulfate 5 mg/ml
injekce Amsacrine 1 mg/ml
GlukÛza 5% 253
Kompatibilní
injekce Amikacin sulfate 5 mg/ml
injekce Anidulafungin 0.5 mg/ml
GlukÛza 5% 1982
Nespecifikovaná nekompatibilita Nekompatibilní
injekce Amikacin sulfate
injekce Ascorbic acid
3549
Okamžité srážení Nekompatibilní
injekce Amikacin sulfate 100 mg/ml
injekce Azithromycine 2 mg/ml
Chlorid sodný 0,9% 1800
Chemická nestabilita Nekompatibilní
injekce Amikacin sulfate
injekce Aztreonam
3549
Kompatibilní
injekce Amikacin sulfate 5 mg/ml
injekce Aztreonam 40 mg/ml
GlukÛza 5% 99
Kompatibilní
injekce Amikacin sulfate 5 mg/ml
injekce Bivalirudin 5 mg/ml
GlukÛza 5% 1713
Kompatibilní
injekce Amikacin sulfate 250 mg/ml
injekce Caffeine 10 mg/ml
Žádné 3964
Nekompatibilní
injekce Amikacin sulfate
injekce Calcium gluconate
4964
Nespecifikovaná nekompatibilita Nekompatibilní
injekce Amikacin sulfate
injekce Calcium gluconate
3644
Kompatibilní
injekce Amikacin sulfate 5 mg/ml
injekce Caspofungin acetate 0,7 mg/ml
Chlorid sodný 0,9% 2247
Chemická nestabilita Nekompatibilní
injekce Amikacin sulfate
injekce Cefalotin sodium
3549
Chemická nestabilita Nekompatibilní
injekce Amikacin sulfate
injekce Cefamandole nafate
3549
Nespecifikovaná nekompatibilita Nekompatibilní
injekce Amikacin sulfate
injekce Cefamandole nafate
3546
Chemická nestabilita Nekompatibilní
injekce Amikacin sulfate
injekce Cefazolin sodium
3549
Kompatibilní
injekce Amikacin sulfate 6 mg/ml
injekce Cefepime dihydrochloride 40 mg/ml
Chlorid sodný 0,9% 3548
Kompatibilní
injekce Amikacin sulfate 6 mg/ml
injekce Cefepime dihydrochloride 40 mg/ml
GlukÛza 5% 3548
Kompatibilní
injekce Amikacin sulfate 15 mg/ml
injekce Cefepime dihydrochloride 125 mg/ml
Voda pro injekci 2141
Chemická nestabilita Nekompatibilní
injekce Amikacin sulfate
injekce Cefepime dihydrochloride
3549
Kompatibilní
injekce Amikacin sulfate 5 mg/ml
injekce Cefiderocol sulfate tosylate 20 mg/mL
GlukÛza 5% 4528
Chemická nestabilita Nekompatibilní
injekce Amikacin sulfate
injekce Cefmenoxime
3549
Chemická nestabilita Nekompatibilní
injekce Amikacin sulfate
injekce Cefmetazole sodium
3549
Chemická nestabilita Nekompatibilní
injekce Amikacin sulfate
injekce Cefonicid sodium
3549
Chemická nestabilita Nekompatibilní
injekce Amikacin sulfate
injekce Cefoperazone sodium
3549
Nespecifikovaná nekompatibilita Nekompatibilní
injekce Amikacin sulfate
injekce Cefoperazone sodium
3544
Chemická nestabilita Nekompatibilní
injekce Amikacin sulfate
injekce Ceforanide
3549
Chemická nestabilita Nekompatibilní
injekce Amikacin sulfate
injekce Cefotaxime sodium
3549
Chemická nestabilita Nekompatibilní
injekce Amikacin sulfate
injekce Cefoxitin sodium
3549
Nespecifikovaná nekompatibilita Nekompatibilní
injekce Amikacin sulfate
injekce Cefpirome sulfate
3677
Kompatibilní
injekce Amikacin sulfate 5 mg/ml
injekce Cefpirome sulfate 50 mg/ml
Chlorid sodný 0,45% 280
Kompatibilní
injekce Amikacin sulfate 5 mg/ml
injekce Cefpirome sulfate 50 mg/ml
GlukÛza 5% 280
Kompatibilní
injekce Amikacin sulfate 5 mg/ml
injekce Cefpirome sulfate 50 mg/ml
Chlorid sodný 0,9% 280
Kompatibilní
injekce Amikacin sulfate 5 mg/ml
injekce Cefpirome sulfate 50 mg/ml
RingerŐs laktátový roztok 280
Chemická nestabilita Nekompatibilní
injekce Amikacin sulfate
injekce Cefpirome sulfate
3549
Kompatibilní
injekce Amikacin sulfate 5 mg/ml
injekce Ceftaroline fosamil 2,22 mg/ml
RingerŐs laktátový roztok 3249
Kompatibilní
injekce Amikacin sulfate 5 mg/ml
injekce Ceftaroline fosamil 2,22 mg/ml
GlukÛza 5% 3249
Kompatibilní
injekce Amikacin sulfate 5 mg/ml
injekce Ceftaroline fosamil 2,22 mg/ml
Chlorid sodný 0,9% 3249
Nespecifikovaná nekompatibilita Nekompatibilní
injekce Amikacin sulfate
injekce Ceftazidime
3883
Nespecifikovaná nekompatibilita Nekompatibilní
injekce Amikacin sulfate
injekce Ceftazidime
3543
Kompatibilní
injekce Amikacin sulfate 15 mg/ml
injekce Ceftazidime 83.3 mg/ml
1759
Chemická nestabilita Nekompatibilní
injekce Amikacin sulfate
injekce Ceftazidime Avibactam
3549
Okamžité srážení Nekompatibilní
injekce Amikacin sulfate 5 mg/ml
injekce Ceftobiprole medocaril sodium 2 mg/ml
Chlorid sodný 0,9% 2269
Nespecifikovaná nekompatibilita Nekompatibilní
injekce Amikacin sulfate
injekce Ceftobiprole medocaril sodium
4650
Kompatibilní
injekce Amikacin sulfate
GlukÛza 5% 5076
Chemická nestabilita Nekompatibilní
injekce Amikacin sulfate
injekce Ceftaroline fosamil
3549
Chemická nestabilita Nekompatibilní
injekce Amikacin sulfate
injekce Ceftazidime
3549
Kompatibilní
injekce Amikacin sulfate 15 mg/ml
injekce Ceftazidime 125 mg/ml
Voda pro injekci 2141
Chemická nestabilita Nekompatibilní
injekce Amikacin sulfate
injekce Ceftizoxime sodium
3549
Okamžité srážení Nekompatibilní
injekce Amikacin sulfate 5 mg/ml
injekce Ceftobiprole medocaril sodium 2 mg/ml
GlukÛza 5% 2269
Chemická nestabilita Nekompatibilní
injekce Amikacin sulfate
injekce Ceftobiprole medocaril sodium
3549
Okamžité srážení Nekompatibilní
injekce Amikacin sulfate 5 mg/ml
injekce Ceftobiprole medocaril sodium 2 mg/ml
RingerŐs laktátový roztok 2269
Kompatibilní
injekce Amikacin sulfate 5 mg/ml
injekce Ceftolozane / tazobactam 10/5 mg/ml
GlukÛza 5% 3828
Kompatibilní
injekce Amikacin sulfate 5 mg/ml
injekce Ceftolozane / tazobactam 10/5 mg/ml
Chlorid sodný 0,9% 3828
Chemická nestabilita Nekompatibilní
injekce Amikacin sulfate
injekce Ceftolozane / tazobactam
3549
Nespecifikovaná nekompatibilita Nekompatibilní
injekce Amikacin sulfate
injekce Ceftriaxone disodium
3523
Chemická nestabilita Nekompatibilní
injekce Amikacin sulfate
injekce Ceftriaxone disodium
3549
Chemická nestabilita Nekompatibilní
injekce Amikacin sulfate
injekce Cefuroxime sodium
3549
Nespecifikovaná nekompatibilita Nekompatibilní
injekce Amikacin sulfate
injekce Cefuroxime sodium
3687
Chemická nestabilita Nekompatibilní
injekce Amikacin sulfate
injekce Cefuzonam
3549
Nespecifikovaná nekompatibilita Nekompatibilní
injekce Amikacin sulfate
injekce Chlorothiazide sodium
3549
Kompatibilní
injekce Amikacin sulfate 2.5 mg/ml
injekce Cimetidine hydrochloride 1.5 mg/ml
GlukÛza 5% 1201
Chemická nestabilita Nekompatibilní
injekce Amikacin sulfate 4 mg/ml
injekce Ciprofloxacin lactate 1.5 mg/ml
Chlorid sodný 0,9% 434
Chemická nestabilita Nekompatibilní
injekce Amikacin sulfate 4 mg/ml
injekce Ciprofloxacin lactate 1.5 mg/ml
GlukÛza 5% 434
Kompatibilní
injekce Amikacin sulfate 5 mg/ml
injekce Cisatracurium besylate 0.1 >> 5 mg/ml
GlukÛza 5% 299
Kompatibilní
injekce Amikacin sulfate 4 mg/ml
injekce Clindamycin phosphate 9 mg/ml
Chlorid sodný 0,9% 565
Kompatibilní
injekce Amikacin sulfate 250 mg/ml
Parenterální výživa (binární směs) 999
Kompatibilní
injekce Amikacin sulfate 5 mg/ml
injekce Ciprofloxacin lactate 2 mg/ml
GlukÛza 5% 285
Chemická nestabilita Nekompatibilní
injekce Amikacin sulfate
injekce Cisplatin
3578
Kompatibilní
injekce Amikacin sulfate 75 mg/ml
injekce Clindamycin phosphate 90 mg/ml
Chlorid sodný 0,9% 639
Kompatibilní
injekce Amikacin sulfate
injekce Clindamycin phosphate
Chlorid sodný 0,9% 3526
Subvisuální nekompatibilita Nekompatibilní
injekce Amikacin sulfate 250 mg/ml
injekce Cloxacillin sodium 100 mg/ml
Voda pro injekci 3012
Nespecifikovaná nekompatibilita Nekompatibilní
injekce Amikacin sulfate
injekce Daunorubicin/cytarabine liposomale
4354
Kompatibilní
injekce Amikacin sulfate 5 mg/ml
Parenterální výživa (binární směs) 316
Kompatibilní
injekce Amikacin sulfate 4 mg/ml
injekce Clindamycin phosphate 9 mg/ml
GlukÛza 5% 565
Kompatibilní
injekce Amikacin sulfate
injekce Clindamycin phosphate
GlukÛza 5% 3526
Chemická nestabilita Nekompatibilní
injekce Amikacin sulfate
injekce Cloxacillin sodium
3549
Nespecifikovaná nekompatibilita Nekompatibilní
injekce Amikacin sulfate
injekce Cyanocobalamine
3549
Okamžitá zákal Nekompatibilní
injekce Amikacin sulfate
injekce Daunorubicin/cytarabine liposomale 0,4 mg/mL
Chlorid sodný 0,9% 4654
Okamžité srážení Nekompatibilní
injekce Amikacin sulfate 5 mg/ml
injekce Defibrotide 8 mg/ml
Chlorid sodný 0,9% 3728
Kompatibilní
injekce Amikacin sulfate 50 mg/ml
injekce Dexamethasone sodium phosphate 4 mg/ml
Chlorid sodný 0,45% 132
Nespecifikovaná nekompatibilita Nekompatibilní
injekce Amikacin sulfate
injekce Erythromycin lactobionate
3549
Kompatibilní
injekce Amikacin sulfate 5 mg/ml
Parenterální výživa (binární směs) 301
Kompatibilní
injekce Amikacin sulfate 5 mg/ml
injekce Dexmedetomidine 4 µg/ml
Chlorid sodný 0,9% 1712
Kompatibilní
injekce Amikacin sulfate 5 & 250 mg/ml
injekce Diltiazem hydrochloride 5 mg/ml
Chlorid sodný 0,9% 198
Kompatibilní
injekce Amikacin sulfate 5 mg/ml
injekce Docetaxel 0.9 mg/ml
GlukÛza 5% 1754
Kompatibilní
injekce Amikacin sulfate 5 mg/ml
injekce Doripenem 5 mg/ml
Chlorid sodný 0,9% 2262
Kompatibilní
injekce Amikacin sulfate 5 mg/ml
injekce Doripenem 5 mg/ml
GlukÛza 5% 2262
Chemická nestabilita Nekompatibilní
injekce Amikacin sulfate
injekce Doripenem
3549
Kompatibilní
injekce Amikacin sulfate 2 mg/ml
injekce Enalaprilate 0.05 mg/ml
Chlorid sodný 0,9% 1315
Chemická nestabilita Nekompatibilní
injekce Amikacin sulfate
injekce Ertapenem
3549
Nespecifikovaná nekompatibilita Nekompatibilní
injekce Amikacin sulfate
injekce Erythromycin lactobionate
3674
Kompatibilní
injekce Amikacin sulfate 5 mg/ml
injekce Esmolol hydrochloride 10 mg/ml
GlukÛza 5% 384
Kompatibilní
injekce Amikacin sulfate 5 mg/ml
injekce Etoposide phosphate 5 mg/ml
GlukÛza 5% 1410
Kompatibilní
injekce Amikacin sulfate 5 mg/ml
injekce Fenoldopam mesylate 80 µg/ml
Chlorid sodný 0,9% 1803
Kompatibilní
injekce Amikacin sulfate 5 mg/ml
injekce Filgrastim 30 µg/ml
GlukÛza 5% 244
Kompatibilní
injekce Amikacin sulfate 0.487 >> 0.667 mg/ml
Parenterální výživa (lipidy) 1868
Kompatibilní
injekce Amikacin sulfate 250 mg/ml
RingerŐs laktátový roztok 4603
Nestabilita emulze po 1 hodině Nekompatibilní
injekce Amikacin sulfate 250 mg/ml
Parenterální výživa (lipidy) 673
Kompatibilní
injekce Amikacin sulfate 5 mg/ml
injekce Filgrastim 40 µg/ml
GlukÛza 5% 104
Okamžitá nestabilita emulze Nekompatibilní
injekce Amikacin sulfate 50 mg/ml
Parenterální výživa (lipidy) 132
Kompatibilní
injekce Amikacin sulfate 5 mg/ml
Parenterální výživa (lipidy) 1415
Okamžité srážení Nekompatibilní
injekce Amikacin sulfate
injekce Flucloxacillin sodium
3522
Kompatibilní
injekce Amikacin sulfate 20 mg/ml
injekce Fluconazole 2 mg/ml
Chlorid sodný 0,9% 496
Kompatibilní
injekce Amikacin sulfate 5 mg/ml
injekce Fluconazole 2 mg/ml
Žádné 256
Kompatibilní
injekce Amikacin sulfate 5 mg/ml
injekce Fludarabine phosphate 1 mg/ml
GlukÛza 5% 492
Kompatibilní
injekce Amikacin sulfate 20 mg/ml
injekce Foscarnet sodium 24 mg/ml
Žádné 73
Kompatibilní
injekce Amikacin sulfate 5 mg/ml
injekce Fosfomycin 30 mg/ml
Chlorid sodný 0,9% 4055
Kompatibilní
injekce Amikacin sulfate 5 mg/ml
injekce Fosfomycin 30 mg/ml
GlukÛza 5% 4055
Okamžité srážení Nekompatibilní
injekce Amikacin sulfate 2 mg/ml
injekce Furosemide 0,16 mg/ml
Chlorid sodný 0,9% 367
Okamžité srážení Nekompatibilní
injekce Amikacin sulfate 2 mg/ml
injekce Furosemide 0,16 mg/ml
GlukÛza 5% 367
Kompatibilní
injekce Amikacin sulfate 5 mg/ml
injekce Gemcitabine hydrochloride 10 mg/ml
Chlorid sodný 0,9% 1423
Kompatibilní
injekce Amikacin sulfate 5 mg/ml
injekce Granisetron hydrochloride 0.05 mg/ml
GlukÛza 5% 182
Nespecifikovaná nekompatibilita Nekompatibilní
injekce Amikacin sulfate
injekce Heparin sodium
3549
Nespecifikovaná nekompatibilita Nekompatibilní
injekce Amikacin sulfate
injekce Heparin sodium
3540
Okamžité srážení Nekompatibilní
injekce Amikacin sulfate
injekce Heparin sodium
1022
Kompatibilní
injekce Amikacin sulfate 5 mg/ml
injekce Hetastarch 60 mg/ml
Zvláštní rozpouštědla 1721
Okamžité srážení Nekompatibilní
injekce Amikacin sulfate 5 mg/ml
injekce Hetastarch 60 mg/ml
Chlorid sodný 0,9% 472
Kompatibilní
injekce Amikacin sulfate 5 mg/ml
injekce Hydromorphone hydrochloride 0.2 mg/ml
GlukÛza 5% 405
Okamžitá zákal Nekompatibilní
injekce Amikacin sulfate 50 mg/ml
injekce Ibuprofen lysinate 10 mg/ml
Voda pro injekci 4419
Okamžitá zákal Nekompatibilní
injekce Amikacin sulfate 250 mg/ml
injekce Ibuprofen lysinate 10 mg/ml
Voda pro injekci 4419
Kompatibilní
injekce Amikacin sulfate 5 mg/ml
injekce Idarubicin hydrochloride 1 mg/ml
Chlorid sodný 0,9% 491
Chemická nestabilita Nekompatibilní
injekce Amikacin sulfate
injekce Imipenem - cilastatin sodium
3549
Kompatibilní
injekce Amikacin sulfate 5 mg/ml
injekce Isavuconazonium sulfate 1.5 mg/ml
GlukÛza 5% 3829
Kompatibilní
injekce Amikacin sulfate 5 mg/ml
injekce Isavuconazonium sulfate 1.5 mg/ml
Chlorid sodný 0,9% 3829
Kompatibilní
injekce Amikacin sulfate 250 mg/ml
injekce Ketamine hydrochloride 50 mg/ml
2109
Kompatibilní
injekce Amikacin sulfate 5 mg/ml
injekce Labetalol hydrochloride 1 mg/ml
GlukÛza 5% 386
Kompatibilní
injekce Amikacin sulfate 5 mg/ml
injekce Lansoprazole 0.55 mg/ml
Chlorid sodný 0,9% 1625
Kompatibilní
injekce Amikacin sulfate 50 mg/ml
injekce Levofloxacine 5 mg/ml
GlukÛza 5% 1072
Kompatibilní
injekce Amikacin sulfate 5 mg/ml
injekce Linezolid 2 mg/ml
Žádné 1925
Kompatibilní
injekce Amikacin sulfate 5 mg/ml
injekce Lorazepam 0.33 mg/ml
Chlorid sodný 0,9% 186
Kompatibilní
injekce Amikacin sulfate 5 mg/ml
injekce Magnesium sulfate 16.67 >> 100 mg/ml
GlukÛza 5% 1047
Kompatibilní
injekce Amikacin sulfate 5 mg/ml
injekce Melphalan 0.1 mg/ml
Chlorid sodný 0,9% 169
Kompatibilní
injekce Amikacin sulfate 250 mg/ml
injekce Meropenem 50 mg/ml
4389
Kompatibilní
injekce Amikacin sulfate 250 mg/ml
injekce Meropenem 50 mg/ml
Voda pro injekci 4319
Chemická nestabilita Nekompatibilní
injekce Amikacin sulfate
injekce Meropenem
3549
Kompatibilní
injekce Amikacin sulfate
injekce Metronidazole
3594
Kompatibilní
injekce Amikacin sulfate 5 mg/ml
injekce Metronidazole 5 mg/ml
Žádné 1035
Kompatibilní
injekce Amikacin sulfate 5 mg/ml
injekce Midazolam hydrochloride 5 mg/ml
Žádné 186
Kompatibilní
injekce Amikacin sulfate 5 mg/ml
injekce Morphine sulfate 1 mg/ml
GlukÛza 5% 405
Kompatibilní
injekce Amikacin sulfate 250 mg/ml
injekce N-acetylcysteine 200 mg/ml
Žádné 3766
Chemická nestabilita Nekompatibilní
injekce Amikacin sulfate
injekce Nafcillin sodium
3549
Kompatibilní
injekce Amikacin sulfate 2,5 mg/ml
injekce Nalbuphine hydrochloride 0,05 >> 0,33 mg/ml
Chlorid sodný 0,9% 4867
Kompatibilní
injekce Amikacin sulfate 250 mg/ml
injekce Naloxone hydrochloride 0.4 mg/ml
Žádné 3408
Kompatibilní
injekce Amikacin sulfate 2 mg/ml
injekce Nicardipine hydrochloride 0.1 mg/ml
GlukÛza 5% 1490
Kompatibilní
injekce Amikacin sulfate 2 mg/ml
injekce Nicardipine hydrochloride 0.1 mg/ml
Chlorid sodný 0,9% 1490
Kompatibilní
injekce Amikacin sulfate 5 mg/ml
injekce Ondansetron hydrochloride 1 mg/ml
Chlorid sodný 0,9% 334
Chemická nestabilita Nekompatibilní
injekce Amikacin sulfate
injekce Oxacillin sodium
3549
Kompatibilní
injekce Amikacin sulfate 5 mg/ml
injekce Paclitaxel 1.2 mg/ml
GlukÛza 5% 248
Okamžité srážení Nekompatibilní
injekce Amikacin sulfate
injekce Pantoprazole sodium
2090
Kompatibilní
injekce Amikacin sulfate 250 mg/ml
injekce Paracetamol 10 mg/ml
4742
Kompatibilní
injekce Amikacin sulfate 5 mg/ml
injekce Pemetrexed disodium 20 mg/ml
Chlorid sodný 0,9% 1953
Chemická nestabilita Nekompatibilní
injekce Amikacin sulfate
injekce Penicillin G potassium
3549
Chemická nestabilita Nekompatibilní
injekce Amikacin sulfate
injekce Penicillin G sodium
3549
Kompatibilní
injekce Amikacin sulfate 50 mg/ml
injekce Pethidine hydrochloride 100 mg/ml
Chlorid sodný 0,45% 132
Kompatibilní
injekce Amikacin sulfate 5 mg/ml
injekce Pethidine hydrochloride 10 mg/ml
GlukÛza 5% 405
Nespecifikovaná nekompatibilita Nekompatibilní
injekce Amikacin sulfate
injekce Phenytoin sodium
3549
Kompatibilní
injekce Amikacin sulfate 40 mg/ml
injekce Phloroglucinol 2,5 mg/ml
3791
Chemická nestabilita Nekompatibilní
injekce Amikacin sulfate
injekce Piperacillin sodium
3549
Chemická nestabilita Nekompatibilní
injekce Amikacin sulfate
injekce Piperacillin sodium / tazobactam
3549
Chemická nestabilita Nekompatibilní
injekce Amikacin sulfate
injekce Piperacillin sodium / tazobactam
3586
Kompatibilní
injekce Amikacin sulfate
injekce Posaconazole
4380
Okamžité srážení Nekompatibilní
injekce Amikacin sulfate 5 mg/ml
injekce Propofol 10 mg/ml
Žádné 300
Nespecifikovaná nekompatibilita Nekompatibilní
injekce Amikacin sulfate
injekce Pyridoxine hydrochloride
3549
Kompatibilní
injekce Amikacin sulfate 5 mg/ml
injekce Remifentanil hydrochloride 25 & 250 µg/ml
Chlorid sodný 0,9% 59
Okamžité srážení Nekompatibilní
injekce Amikacin sulfate 250 mg/ml
injekce Salbutamol sulfate 1 mg/ml
Žádné 3216
Kompatibilní
injekce Amikacin sulfate 5 mg/ml
injekce Sargramostim 10 µg/ml
Chlorid sodný 0,9% 335
Kompatibilní
injekce Amikacin sulfate 10 mg/ml
injekce Sulbactam/durlobactam 15/15 mg/ml
Chlorid sodný 0,9% 4801
Kompatibilní
injekce Amikacin sulfate 5 mg/ml
injekce Tedizolid phosphate 0.8 mg/ml
Chlorid sodný 0,9% 3827
Nespecifikovaná nekompatibilita Nekompatibilní
injekce Amikacin sulfate
injekce Teicoplanine
3656
Kompatibilní
injekce Amikacin sulfate
Chlorid sodný 0,9% 5076
Nespecifikovaná nekompatibilita Nekompatibilní
injekce Amikacin sulfate 50 mg/ml
injekce Propofol
4524
Nespecifikovaná nekompatibilita Nekompatibilní
injekce Amikacin sulfate
injekce Temocilline
2296
Kompatibilní
injekce Amikacin sulfate 15 mg/ml
injekce Temocilline 83.33 mg/ml
Voda pro injekci 2231
Chemická nestabilita Nekompatibilní
injekce Amikacin sulfate
injekce Temocilline
3549
Kompatibilní
injekce Amikacin sulfate 5 mg/ml
injekce Teniposide 0.1 mg/ml
GlukÛza 5% 905
Nespecifikovaná nekompatibilita Nekompatibilní
injekce Amikacin sulfate
injekce Thiamine hydrochloride
3549
Okamžité srážení Nekompatibilní
injekce Amikacin sulfate 250 mg/ml
injekce Thiopental sodium 25 mg/ml
Chlorid sodný 0,9% 3767
Nespecifikovaná nekompatibilita Nekompatibilní
injekce Amikacin sulfate
injekce Thiopental sodium
3549
Kompatibilní
injekce Amikacin sulfate 5 mg/ml
injekce Thiotepa 1 mg/ml
GlukÛza 5% 249
Chemická nestabilita Nekompatibilní
injekce Amikacin sulfate
injekce Ticarcillin / clavulanic acid
3587
Chemická nestabilita Nekompatibilní
injekce Amikacin sulfate
injekce Ticarcillin / clavulanic acid
3549
Kompatibilní
injekce Amikacin sulfate
injekce Tigecycline
Chlorid sodný 0,9% 3332
Kompatibilní
injekce Amikacin sulfate 15 mg/ml
injekce Vancomycin hydrochloride 10 mg/ml
GlukÛza 5% 3385
Kompatibilní
injekce Amikacin sulfate 2 mg/ml
injekce Verapamil hydrochloride 0.08 mg/ml
Chlorid sodný 0,9% 1057
Kompatibilní
injekce Amikacin sulfate 2 mg/ml
injekce Verapamil hydrochloride 0.08 mg/ml
GlukÛza 5% 1057
Okamžitá zákal Nekompatibilní
injekce Amikacin sulfate 5 mg/ml
injekce Vinorelbine tartrate 1 mg/ml
Chlorid sodný 0,9% 84
Kompatibilní
injekce Amikacin sulfate 5 mg/ml
injekce Warfarin sodium 0.1 & 2 mg/ml
GlukÛza 5% 552
Kompatibilní
injekce Amikacin sulfate 5 mg/ml
injekce Warfarin sodium 0.1 & 2 mg/ml
Chlorid sodný 0,9% 552
Kompatibilní
injekce Amikacin sulfate 4 mg/ml
injekce Zidovudine 4 mg/ml
GlukÛza 5% 337

  Mentions Légales