Laatste update :
27/04/2026
Antibioticum   Amikacin sulfate  
injecteerbaar geneesmiddel
Stabiliteit in oplossing Stabiliteit in mengsels Factoren die de stabiliteit beïnvloeden Verenigbaarheden Toedieningswijze Literatuur pdf
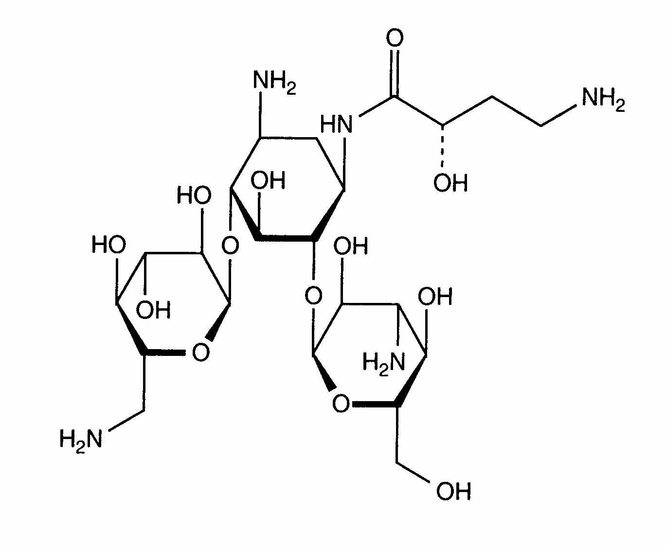
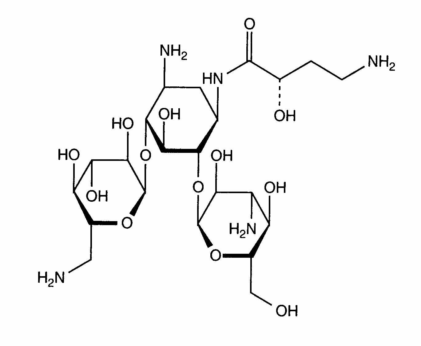
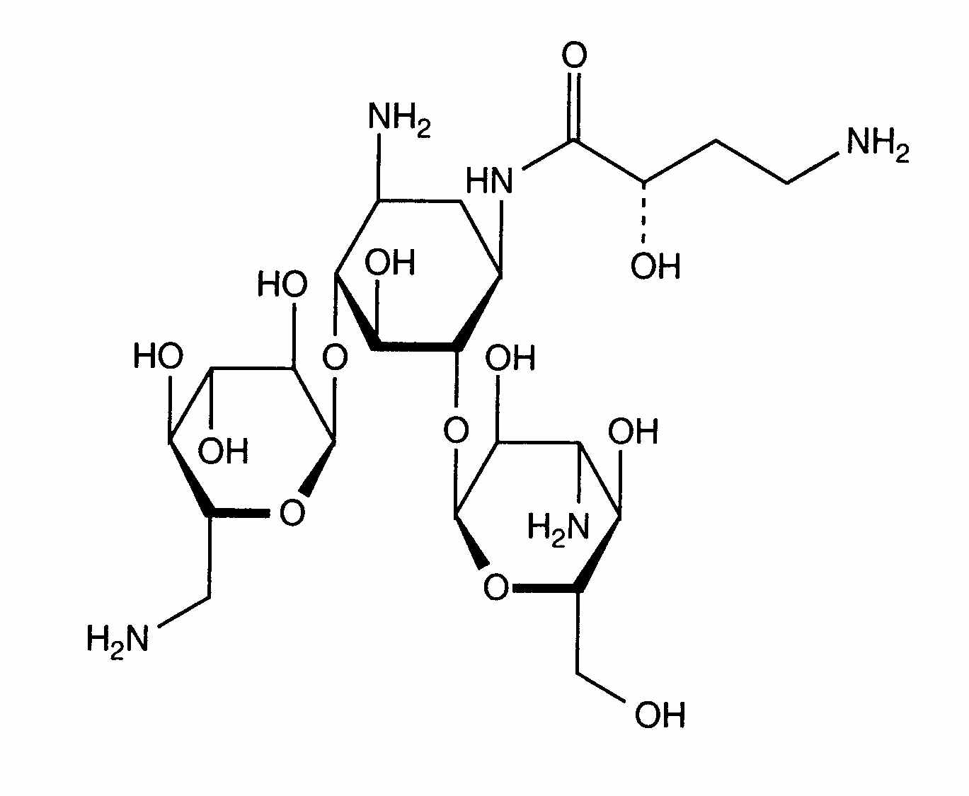
   Molecuulstructuur  

Merknamen in verschillende landen   Merknamen in verschillende landen     

Handelsnamen zijn slechts een indicatie; de samenstelling van hulpstoffen kan per land variëren afhankelijk van de fabrikant

Adnet Indië
Agnicin Mexico
Akamin Ecuador
Akim Ecuador
Amicacil Brazilië
Amicilon Brazilië
Amicin Maleisië
Amicip Venezuela
Amijeksin Turkije
Amikabiot Ecuador, Peru
Amikacin Canada, Duitsland, Egypte, Groot Britannië, Iran, Maleisië, nieuw Zeeland, Saudi-Arabië, USA
Amikacina Argentinië, Chili, Colombia, Ecuador, Italië, Mexico, Peru, Spanje, Venezuela
Amikacine België, Frankrijk, Marokko, Nederland
Amikafur Mexico
Amikagram Peru
Amikalem Mexico
Amikamed Peru
Amikamek Peru
Amikan Italië
Amikavax Venezuela
Amikaver Turkije
Amikayect Mexico
Amikem Peru
Amiketem Turkije
Amikin Australië, Brazilië, Colombia, Ecuador, Egypte, Groot Britannië, Hongarije, Ierland, Mexico, Peru, Polen, Saudi-Arabië, Tunisie, USA, Zwitserland
Amiklin Frankrijk, Turkije
Amikosit Roemenië, Tunisie, Turkije
Amikram Peru
Amukin België, Luxemburg, Nederland
Apalin Maleisië
Baxi K Chili, Mexico
Behcacin Indië, Venezuela
Belka Indië
Biclin Duitsland, Finland, Mexico, Oostenrijk, Portugal, Spanje, Zweden
Biodacyna Polen
Biokacin Mexico
Briklin Griekenland
Cadicin Indië
Chemacin Italië
Cikabit Indië
Cinamica Indië
Cinas Indië
Consumonit Griekenland
Domak Indië
Doxocar Argentinië
Elcin Indië
Elmik Indië
Emcin Indië
Emica Indië
Farcyclin Griekenland
Flexelite Griekenland
Greini Argentinië
Ipacin Iran
Itukacin Peru
Kancin Griekenland
Lanomycin Griekenland
Lukadin Italië
Masmika Indië
Mediamik Italië
Micalpha Griekenland
Micigen Mexico
Migracin Italië
Mikacin Saudi-Arabië
Nekacin Italië
Novamin Brazilië
Orlobin Griekenland
Remikin Griekenland
Rovericlin Griekenland
Uzix Griekenland
Verenigbaarheden   injecteerbaar geneesmiddel   Verenigbaarheden : Amikacin sulfate              
In dit scherm worden de verenigbaarheden en onverenigbaarheden weergegeven. In het geval van een onverenigbaarheid wordt ook het type (neerslag, kleurverandering, modificatie van een emulsie, etc) weergegeven. De weergegeven verenigbaarheden zijn meestal alleen op uiterlijk beoordeeld, er heeft zelden een chemische beoordeling van iedere component plaatsgevonden. De verenigbaarheden betreffen gelijktijdige toediening aan de patient middels de Y-site. De data kan niet gebruikt worden in de beoordeling van verenigbaarheden van componenten in infuuszakken of spuiten. Die informatie is te vinden onder ‘stabiliteit in mengsels’.
Stof Oplosmiddel Literatuur
Verenigbaar
injecteerbaar geneesmiddel Amikacin sulfate 5 mg/ml
injecteerbaar geneesmiddel Aciclovir sodium 5 mg/ml
Glucose 5% 336
Neerslag na 1 uur Onverenigbaar
injecteerbaar geneesmiddel Amikacin sulfate 5 mg/ml
injecteerbaar geneesmiddel Allopurinol sodium 3 mg/ml
Natriumchloride 0,9% 307
Verenigbaar
injecteerbaar geneesmiddel Amikacin sulfate 5 mg/ml
injecteerbaar geneesmiddel Amifostine 10 mg/ml
Glucose 5% 3
Verenigbaar
injecteerbaar geneesmiddel Amikacin sulfate 5 mg/ml
injecteerbaar geneesmiddel Amiodarone hydrochloride 4 mg/ml
Natriumchloride 0,9% 385
Verenigbaar
injecteerbaar geneesmiddel Amikacin sulfate 5 mg/ml
injecteerbaar geneesmiddel Amiodarone hydrochloride 4 mg/ml
Glucose 5% 385
Chemische instabiliteit Onverenigbaar
injecteerbaar geneesmiddel Amikacin sulfate
injecteerbaar geneesmiddel Amoxicillin sodium
3527
Chemische instabiliteit Onverenigbaar
injecteerbaar geneesmiddel Amikacin sulfate
injecteerbaar geneesmiddel Amoxicillin sodium
3549
Verenigbaar
injecteerbaar geneesmiddel Amikacin sulfate 250 mg/ml
injecteerbaar geneesmiddel Amoxicillin sodium / clavulanic acid 100/10 mg/ml
3824
Chemische instabiliteit Onverenigbaar
injecteerbaar geneesmiddel Amikacin sulfate
injecteerbaar geneesmiddel Amoxicillin sodium / clavulanic acid
3549
Niet-gespecificeerde incompatibiliteit Onverenigbaar
injecteerbaar geneesmiddel Amikacin sulfate
injecteerbaar geneesmiddel Amoxicillin sodium / clavulanic acid
3545
Niet-gespecificeerde incompatibiliteit Onverenigbaar
injecteerbaar geneesmiddel Amikacin sulfate
injecteerbaar geneesmiddel Amphotericin B
3549
Onmiddellijke neerslag Onverenigbaar
injecteerbaar geneesmiddel Amikacin sulfate 5 mg/ml
injecteerbaar geneesmiddel Amphotericin B cholesteryl sulfate complex 0.83 mg/ml
Glucose 5% 921
Chemische instabiliteit Onverenigbaar
injecteerbaar geneesmiddel Amikacin sulfate
injecteerbaar geneesmiddel Ampicillin sodium
3549
Chemische instabiliteit Onverenigbaar
injecteerbaar geneesmiddel Amikacin sulfate
injecteerbaar geneesmiddel Ampicillin sodium - sulbactam sodium
3549
Verenigbaar
injecteerbaar geneesmiddel Amikacin sulfate 5 mg/ml
injecteerbaar geneesmiddel Amsacrine 1 mg/ml
Glucose 5% 253
Verenigbaar
injecteerbaar geneesmiddel Amikacin sulfate 5 mg/ml
injecteerbaar geneesmiddel Anidulafungin 0.5 mg/ml
Glucose 5% 1982
Niet-gespecificeerde incompatibiliteit Onverenigbaar
injecteerbaar geneesmiddel Amikacin sulfate
injecteerbaar geneesmiddel Ascorbic acid
3549
Onmiddellijke neerslag Onverenigbaar
injecteerbaar geneesmiddel Amikacin sulfate 100 mg/ml
injecteerbaar geneesmiddel Azithromycine 2 mg/ml
Natriumchloride 0,9% 1800
Chemische instabiliteit Onverenigbaar
injecteerbaar geneesmiddel Amikacin sulfate
injecteerbaar geneesmiddel Aztreonam
3549
Verenigbaar
injecteerbaar geneesmiddel Amikacin sulfate 5 mg/ml
injecteerbaar geneesmiddel Aztreonam 40 mg/ml
Glucose 5% 99
Verenigbaar
injecteerbaar geneesmiddel Amikacin sulfate 5 mg/ml
injecteerbaar geneesmiddel Bivalirudin 5 mg/ml
Glucose 5% 1713
Verenigbaar
injecteerbaar geneesmiddel Amikacin sulfate 250 mg/ml
injecteerbaar geneesmiddel Caffeine 10 mg/ml
Geen 3964
Onverenigbaar
injecteerbaar geneesmiddel Amikacin sulfate
injecteerbaar geneesmiddel Calcium gluconate
4964
Niet-gespecificeerde incompatibiliteit Onverenigbaar
injecteerbaar geneesmiddel Amikacin sulfate
injecteerbaar geneesmiddel Calcium gluconate
3644
Verenigbaar
injecteerbaar geneesmiddel Amikacin sulfate 5 mg/ml
injecteerbaar geneesmiddel Caspofungin acetate 0,7 mg/ml
Natriumchloride 0,9% 2247
Chemische instabiliteit Onverenigbaar
injecteerbaar geneesmiddel Amikacin sulfate
injecteerbaar geneesmiddel Cefalotin sodium
3549
Chemische instabiliteit Onverenigbaar
injecteerbaar geneesmiddel Amikacin sulfate
injecteerbaar geneesmiddel Cefamandole nafate
3549
Niet-gespecificeerde incompatibiliteit Onverenigbaar
injecteerbaar geneesmiddel Amikacin sulfate
injecteerbaar geneesmiddel Cefamandole nafate
3546
Chemische instabiliteit Onverenigbaar
injecteerbaar geneesmiddel Amikacin sulfate
injecteerbaar geneesmiddel Cefazolin sodium
3549
Verenigbaar
injecteerbaar geneesmiddel Amikacin sulfate 6 mg/ml
injecteerbaar geneesmiddel Cefepime dihydrochloride 40 mg/ml
Natriumchloride 0,9% 3548
Verenigbaar
injecteerbaar geneesmiddel Amikacin sulfate 6 mg/ml
injecteerbaar geneesmiddel Cefepime dihydrochloride 40 mg/ml
Glucose 5% 3548
Verenigbaar
injecteerbaar geneesmiddel Amikacin sulfate 15 mg/ml
injecteerbaar geneesmiddel Cefepime dihydrochloride 125 mg/ml
Water voor injectie 2141
Chemische instabiliteit Onverenigbaar
injecteerbaar geneesmiddel Amikacin sulfate
injecteerbaar geneesmiddel Cefepime dihydrochloride
3549
Verenigbaar
injecteerbaar geneesmiddel Amikacin sulfate 5 mg/ml
injecteerbaar geneesmiddel Cefiderocol sulfate tosylate 20 mg/mL
Glucose 5% 4528
Chemische instabiliteit Onverenigbaar
injecteerbaar geneesmiddel Amikacin sulfate
injecteerbaar geneesmiddel Cefmenoxime
3549
Chemische instabiliteit Onverenigbaar
injecteerbaar geneesmiddel Amikacin sulfate
injecteerbaar geneesmiddel Cefmetazole sodium
3549
Chemische instabiliteit Onverenigbaar
injecteerbaar geneesmiddel Amikacin sulfate
injecteerbaar geneesmiddel Cefonicid sodium
3549
Chemische instabiliteit Onverenigbaar
injecteerbaar geneesmiddel Amikacin sulfate
injecteerbaar geneesmiddel Cefoperazone sodium
3549
Niet-gespecificeerde incompatibiliteit Onverenigbaar
injecteerbaar geneesmiddel Amikacin sulfate
injecteerbaar geneesmiddel Cefoperazone sodium
3544
Chemische instabiliteit Onverenigbaar
injecteerbaar geneesmiddel Amikacin sulfate
injecteerbaar geneesmiddel Ceforanide
3549
Chemische instabiliteit Onverenigbaar
injecteerbaar geneesmiddel Amikacin sulfate
injecteerbaar geneesmiddel Cefotaxime sodium
3549
Chemische instabiliteit Onverenigbaar
injecteerbaar geneesmiddel Amikacin sulfate
injecteerbaar geneesmiddel Cefoxitin sodium
3549
Niet-gespecificeerde incompatibiliteit Onverenigbaar
injecteerbaar geneesmiddel Amikacin sulfate
injecteerbaar geneesmiddel Cefpirome sulfate
3677
Verenigbaar
injecteerbaar geneesmiddel Amikacin sulfate 5 mg/ml
injecteerbaar geneesmiddel Cefpirome sulfate 50 mg/ml
Natriumchloride 0,45 % 280
Verenigbaar
injecteerbaar geneesmiddel Amikacin sulfate 5 mg/ml
injecteerbaar geneesmiddel Cefpirome sulfate 50 mg/ml
Glucose 5% 280
Verenigbaar
injecteerbaar geneesmiddel Amikacin sulfate 5 mg/ml
injecteerbaar geneesmiddel Cefpirome sulfate 50 mg/ml
Natriumchloride 0,9% 280
Verenigbaar
injecteerbaar geneesmiddel Amikacin sulfate 5 mg/ml
injecteerbaar geneesmiddel Cefpirome sulfate 50 mg/ml
Ringer-lactaat 280
Chemische instabiliteit Onverenigbaar
injecteerbaar geneesmiddel Amikacin sulfate
injecteerbaar geneesmiddel Cefpirome sulfate
3549
Verenigbaar
injecteerbaar geneesmiddel Amikacin sulfate 5 mg/ml
injecteerbaar geneesmiddel Ceftaroline fosamil 2,22 mg/ml
Ringer-lactaat 3249
Verenigbaar
injecteerbaar geneesmiddel Amikacin sulfate 5 mg/ml
injecteerbaar geneesmiddel Ceftaroline fosamil 2,22 mg/ml
Glucose 5% 3249
Verenigbaar
injecteerbaar geneesmiddel Amikacin sulfate 5 mg/ml
injecteerbaar geneesmiddel Ceftaroline fosamil 2,22 mg/ml
Natriumchloride 0,9% 3249
Niet-gespecificeerde incompatibiliteit Onverenigbaar
injecteerbaar geneesmiddel Amikacin sulfate
injecteerbaar geneesmiddel Ceftazidime
3883
Niet-gespecificeerde incompatibiliteit Onverenigbaar
injecteerbaar geneesmiddel Amikacin sulfate
injecteerbaar geneesmiddel Ceftazidime
3543
Verenigbaar
injecteerbaar geneesmiddel Amikacin sulfate 15 mg/ml
injecteerbaar geneesmiddel Ceftazidime 83.3 mg/ml
1759
Chemische instabiliteit Onverenigbaar
injecteerbaar geneesmiddel Amikacin sulfate
injecteerbaar geneesmiddel Ceftazidime Avibactam
3549
Onmiddellijke neerslag Onverenigbaar
injecteerbaar geneesmiddel Amikacin sulfate 5 mg/ml
injecteerbaar geneesmiddel Ceftobiprole medocaril sodium 2 mg/ml
Natriumchloride 0,9% 2269
Niet-gespecificeerde incompatibiliteit Onverenigbaar
injecteerbaar geneesmiddel Amikacin sulfate
injecteerbaar geneesmiddel Ceftobiprole medocaril sodium
4650
Verenigbaar
injecteerbaar geneesmiddel Amikacin sulfate
Glucose 5% 5076
Chemische instabiliteit Onverenigbaar
injecteerbaar geneesmiddel Amikacin sulfate
injecteerbaar geneesmiddel Ceftaroline fosamil
3549
Chemische instabiliteit Onverenigbaar
injecteerbaar geneesmiddel Amikacin sulfate
injecteerbaar geneesmiddel Ceftazidime
3549
Verenigbaar
injecteerbaar geneesmiddel Amikacin sulfate 15 mg/ml
injecteerbaar geneesmiddel Ceftazidime 125 mg/ml
Water voor injectie 2141
Chemische instabiliteit Onverenigbaar
injecteerbaar geneesmiddel Amikacin sulfate
injecteerbaar geneesmiddel Ceftizoxime sodium
3549
Onmiddellijke neerslag Onverenigbaar
injecteerbaar geneesmiddel Amikacin sulfate 5 mg/ml
injecteerbaar geneesmiddel Ceftobiprole medocaril sodium 2 mg/ml
Glucose 5% 2269
Chemische instabiliteit Onverenigbaar
injecteerbaar geneesmiddel Amikacin sulfate
injecteerbaar geneesmiddel Ceftobiprole medocaril sodium
3549
Onmiddellijke neerslag Onverenigbaar
injecteerbaar geneesmiddel Amikacin sulfate 5 mg/ml
injecteerbaar geneesmiddel Ceftobiprole medocaril sodium 2 mg/ml
Ringer-lactaat 2269
Verenigbaar
injecteerbaar geneesmiddel Amikacin sulfate 5 mg/ml
injecteerbaar geneesmiddel Ceftolozane / tazobactam 10/5 mg/ml
Glucose 5% 3828
Verenigbaar
injecteerbaar geneesmiddel Amikacin sulfate 5 mg/ml
injecteerbaar geneesmiddel Ceftolozane / tazobactam 10/5 mg/ml
Natriumchloride 0,9% 3828
Chemische instabiliteit Onverenigbaar
injecteerbaar geneesmiddel Amikacin sulfate
injecteerbaar geneesmiddel Ceftolozane / tazobactam
3549
Niet-gespecificeerde incompatibiliteit Onverenigbaar
injecteerbaar geneesmiddel Amikacin sulfate
injecteerbaar geneesmiddel Ceftriaxone disodium
3523
Chemische instabiliteit Onverenigbaar
injecteerbaar geneesmiddel Amikacin sulfate
injecteerbaar geneesmiddel Ceftriaxone disodium
3549
Chemische instabiliteit Onverenigbaar
injecteerbaar geneesmiddel Amikacin sulfate
injecteerbaar geneesmiddel Cefuroxime sodium
3549
Niet-gespecificeerde incompatibiliteit Onverenigbaar
injecteerbaar geneesmiddel Amikacin sulfate
injecteerbaar geneesmiddel Cefuroxime sodium
3687
Chemische instabiliteit Onverenigbaar
injecteerbaar geneesmiddel Amikacin sulfate
injecteerbaar geneesmiddel Cefuzonam
3549
Niet-gespecificeerde incompatibiliteit Onverenigbaar
injecteerbaar geneesmiddel Amikacin sulfate
injecteerbaar geneesmiddel Chlorothiazide sodium
3549
Verenigbaar
injecteerbaar geneesmiddel Amikacin sulfate 2.5 mg/ml
injecteerbaar geneesmiddel Cimetidine hydrochloride 1.5 mg/ml
Glucose 5% 1201
Chemische instabiliteit Onverenigbaar
injecteerbaar geneesmiddel Amikacin sulfate 4 mg/ml
injecteerbaar geneesmiddel Ciprofloxacin lactate 1.5 mg/ml
Natriumchloride 0,9% 434
Chemische instabiliteit Onverenigbaar
injecteerbaar geneesmiddel Amikacin sulfate 4 mg/ml
injecteerbaar geneesmiddel Ciprofloxacin lactate 1.5 mg/ml
Glucose 5% 434
Verenigbaar
injecteerbaar geneesmiddel Amikacin sulfate 5 mg/ml
injecteerbaar geneesmiddel Cisatracurium besylate 0.1 >> 5 mg/ml
Glucose 5% 299
Verenigbaar
injecteerbaar geneesmiddel Amikacin sulfate 4 mg/ml
injecteerbaar geneesmiddel Clindamycin phosphate 9 mg/ml
Natriumchloride 0,9% 565
Verenigbaar
injecteerbaar geneesmiddel Amikacin sulfate 250 mg/ml
Parenterale voeding (zonder vet) 999
Verenigbaar
injecteerbaar geneesmiddel Amikacin sulfate 5 mg/ml
injecteerbaar geneesmiddel Ciprofloxacin lactate 2 mg/ml
Glucose 5% 285
Chemische instabiliteit Onverenigbaar
injecteerbaar geneesmiddel Amikacin sulfate
injecteerbaar geneesmiddel Cisplatin
3578
Verenigbaar
injecteerbaar geneesmiddel Amikacin sulfate 75 mg/ml
injecteerbaar geneesmiddel Clindamycin phosphate 90 mg/ml
Natriumchloride 0,9% 639
Verenigbaar
injecteerbaar geneesmiddel Amikacin sulfate
injecteerbaar geneesmiddel Clindamycin phosphate
Natriumchloride 0,9% 3526
Subvisuele incompatibiliteit Onverenigbaar
injecteerbaar geneesmiddel Amikacin sulfate 250 mg/ml
injecteerbaar geneesmiddel Cloxacillin sodium 100 mg/ml
Water voor injectie 3012
Niet-gespecificeerde incompatibiliteit Onverenigbaar
injecteerbaar geneesmiddel Amikacin sulfate
injecteerbaar geneesmiddel Daunorubicin/cytarabine liposomale
4354
Verenigbaar
injecteerbaar geneesmiddel Amikacin sulfate 5 mg/ml
Parenterale voeding (zonder vet) 316
Verenigbaar
injecteerbaar geneesmiddel Amikacin sulfate 4 mg/ml
injecteerbaar geneesmiddel Clindamycin phosphate 9 mg/ml
Glucose 5% 565
Verenigbaar
injecteerbaar geneesmiddel Amikacin sulfate
injecteerbaar geneesmiddel Clindamycin phosphate
Glucose 5% 3526
Chemische instabiliteit Onverenigbaar
injecteerbaar geneesmiddel Amikacin sulfate
injecteerbaar geneesmiddel Cloxacillin sodium
3549
Niet-gespecificeerde incompatibiliteit Onverenigbaar
injecteerbaar geneesmiddel Amikacin sulfate
injecteerbaar geneesmiddel Cyanocobalamine
3549
Onmiddellijke troebelheid Onverenigbaar
injecteerbaar geneesmiddel Amikacin sulfate
injecteerbaar geneesmiddel Daunorubicin/cytarabine liposomale 0,4 mg/mL
Natriumchloride 0,9% 4654
Onmiddellijke neerslag Onverenigbaar
injecteerbaar geneesmiddel Amikacin sulfate 5 mg/ml
injecteerbaar geneesmiddel Defibrotide 8 mg/ml
Natriumchloride 0,9% 3728
Verenigbaar
injecteerbaar geneesmiddel Amikacin sulfate 50 mg/ml
injecteerbaar geneesmiddel Dexamethasone sodium phosphate 4 mg/ml
Natriumchloride 0,45 % 132
Niet-gespecificeerde incompatibiliteit Onverenigbaar
injecteerbaar geneesmiddel Amikacin sulfate
injecteerbaar geneesmiddel Erythromycin lactobionate
3549
Verenigbaar
injecteerbaar geneesmiddel Amikacin sulfate 5 mg/ml
Parenterale voeding (zonder vet) 301
Verenigbaar
injecteerbaar geneesmiddel Amikacin sulfate 5 mg/ml
injecteerbaar geneesmiddel Dexmedetomidine 4 µg/ml
Natriumchloride 0,9% 1712
Verenigbaar
injecteerbaar geneesmiddel Amikacin sulfate 5 & 250 mg/ml
injecteerbaar geneesmiddel Diltiazem hydrochloride 5 mg/ml
Natriumchloride 0,9% 198
Verenigbaar
injecteerbaar geneesmiddel Amikacin sulfate 5 mg/ml
injecteerbaar geneesmiddel Docetaxel 0.9 mg/ml
Glucose 5% 1754
Verenigbaar
injecteerbaar geneesmiddel Amikacin sulfate 5 mg/ml
injecteerbaar geneesmiddel Doripenem 5 mg/ml
Natriumchloride 0,9% 2262
Verenigbaar
injecteerbaar geneesmiddel Amikacin sulfate 5 mg/ml
injecteerbaar geneesmiddel Doripenem 5 mg/ml
Glucose 5% 2262
Chemische instabiliteit Onverenigbaar
injecteerbaar geneesmiddel Amikacin sulfate
injecteerbaar geneesmiddel Doripenem
3549
Verenigbaar
injecteerbaar geneesmiddel Amikacin sulfate 2 mg/ml
injecteerbaar geneesmiddel Enalaprilate 0.05 mg/ml
Natriumchloride 0,9% 1315
Chemische instabiliteit Onverenigbaar
injecteerbaar geneesmiddel Amikacin sulfate
injecteerbaar geneesmiddel Ertapenem
3549
Niet-gespecificeerde incompatibiliteit Onverenigbaar
injecteerbaar geneesmiddel Amikacin sulfate
injecteerbaar geneesmiddel Erythromycin lactobionate
3674
Verenigbaar
injecteerbaar geneesmiddel Amikacin sulfate 5 mg/ml
injecteerbaar geneesmiddel Esmolol hydrochloride 10 mg/ml
Glucose 5% 384
Verenigbaar
injecteerbaar geneesmiddel Amikacin sulfate 5 mg/ml
injecteerbaar geneesmiddel Etoposide phosphate 5 mg/ml
Glucose 5% 1410
Verenigbaar
injecteerbaar geneesmiddel Amikacin sulfate 5 mg/ml
injecteerbaar geneesmiddel Fenoldopam mesylate 80 µg/ml
Natriumchloride 0,9% 1803
Verenigbaar
injecteerbaar geneesmiddel Amikacin sulfate 5 mg/ml
injecteerbaar geneesmiddel Filgrastim 30 µg/ml
Glucose 5% 244
Verenigbaar
injecteerbaar geneesmiddel Amikacin sulfate 0.487 >> 0.667 mg/ml
Parenterale voeding (met lipiden) 1868
Verenigbaar
injecteerbaar geneesmiddel Amikacin sulfate 250 mg/ml
Ringer-lactaat 4603
Instabiliteit van de emulsie na 1 uur Onverenigbaar
injecteerbaar geneesmiddel Amikacin sulfate 250 mg/ml
Parenterale voeding (met lipiden) 673
Verenigbaar
injecteerbaar geneesmiddel Amikacin sulfate 5 mg/ml
injecteerbaar geneesmiddel Filgrastim 40 µg/ml
Glucose 5% 104
Onmiddellijke instabiliteit van de emulsie Onverenigbaar
injecteerbaar geneesmiddel Amikacin sulfate 50 mg/ml
Parenterale voeding (met lipiden) 132
Verenigbaar
injecteerbaar geneesmiddel Amikacin sulfate 5 mg/ml
Parenterale voeding (met lipiden) 1415
Onmiddellijke neerslag Onverenigbaar
injecteerbaar geneesmiddel Amikacin sulfate
injecteerbaar geneesmiddel Flucloxacillin sodium
3522
Verenigbaar
injecteerbaar geneesmiddel Amikacin sulfate 20 mg/ml
injecteerbaar geneesmiddel Fluconazole 2 mg/ml
Natriumchloride 0,9% 496
Verenigbaar
injecteerbaar geneesmiddel Amikacin sulfate 5 mg/ml
injecteerbaar geneesmiddel Fluconazole 2 mg/ml
Geen 256
Verenigbaar
injecteerbaar geneesmiddel Amikacin sulfate 5 mg/ml
injecteerbaar geneesmiddel Fludarabine phosphate 1 mg/ml
Glucose 5% 492
Verenigbaar
injecteerbaar geneesmiddel Amikacin sulfate 20 mg/ml
injecteerbaar geneesmiddel Foscarnet sodium 24 mg/ml
Geen 73
Verenigbaar
injecteerbaar geneesmiddel Amikacin sulfate 5 mg/ml
injecteerbaar geneesmiddel Fosfomycin 30 mg/ml
Natriumchloride 0,9% 4055
Verenigbaar
injecteerbaar geneesmiddel Amikacin sulfate 5 mg/ml
injecteerbaar geneesmiddel Fosfomycin 30 mg/ml
Glucose 5% 4055
Onmiddellijke neerslag Onverenigbaar
injecteerbaar geneesmiddel Amikacin sulfate 2 mg/ml
injecteerbaar geneesmiddel Furosemide 0,16 mg/ml
Natriumchloride 0,9% 367
Onmiddellijke neerslag Onverenigbaar
injecteerbaar geneesmiddel Amikacin sulfate 2 mg/ml
injecteerbaar geneesmiddel Furosemide 0,16 mg/ml
Glucose 5% 367
Verenigbaar
injecteerbaar geneesmiddel Amikacin sulfate 5 mg/ml
injecteerbaar geneesmiddel Gemcitabine hydrochloride 10 mg/ml
Natriumchloride 0,9% 1423
Verenigbaar
injecteerbaar geneesmiddel Amikacin sulfate 5 mg/ml
injecteerbaar geneesmiddel Granisetron hydrochloride 0.05 mg/ml
Glucose 5% 182
Niet-gespecificeerde incompatibiliteit Onverenigbaar
injecteerbaar geneesmiddel Amikacin sulfate
injecteerbaar geneesmiddel Heparin sodium
3549
Niet-gespecificeerde incompatibiliteit Onverenigbaar
injecteerbaar geneesmiddel Amikacin sulfate
injecteerbaar geneesmiddel Heparin sodium
3540
Onmiddellijke neerslag Onverenigbaar
injecteerbaar geneesmiddel Amikacin sulfate
injecteerbaar geneesmiddel Heparin sodium
1022
Verenigbaar
injecteerbaar geneesmiddel Amikacin sulfate 5 mg/ml
injecteerbaar geneesmiddel Hetastarch 60 mg/ml
specifieke solvent 1721
Onmiddellijke neerslag Onverenigbaar
injecteerbaar geneesmiddel Amikacin sulfate 5 mg/ml
injecteerbaar geneesmiddel Hetastarch 60 mg/ml
Natriumchloride 0,9% 472
Verenigbaar
injecteerbaar geneesmiddel Amikacin sulfate 5 mg/ml
injecteerbaar geneesmiddel Hydromorphone hydrochloride 0.2 mg/ml
Glucose 5% 405
Onmiddellijke troebelheid Onverenigbaar
injecteerbaar geneesmiddel Amikacin sulfate 50 mg/ml
injecteerbaar geneesmiddel Ibuprofen lysinate 10 mg/ml
Water voor injectie 4419
Onmiddellijke troebelheid Onverenigbaar
injecteerbaar geneesmiddel Amikacin sulfate 250 mg/ml
injecteerbaar geneesmiddel Ibuprofen lysinate 10 mg/ml
Water voor injectie 4419
Verenigbaar
injecteerbaar geneesmiddel Amikacin sulfate 5 mg/ml
injecteerbaar geneesmiddel Idarubicin hydrochloride 1 mg/ml
Natriumchloride 0,9% 491
Chemische instabiliteit Onverenigbaar
injecteerbaar geneesmiddel Amikacin sulfate
injecteerbaar geneesmiddel Imipenem - cilastatin sodium
3549
Verenigbaar
injecteerbaar geneesmiddel Amikacin sulfate 5 mg/ml
injecteerbaar geneesmiddel Isavuconazonium sulfate 1.5 mg/ml
Glucose 5% 3829
Verenigbaar
injecteerbaar geneesmiddel Amikacin sulfate 5 mg/ml
injecteerbaar geneesmiddel Isavuconazonium sulfate 1.5 mg/ml
Natriumchloride 0,9% 3829
Verenigbaar
injecteerbaar geneesmiddel Amikacin sulfate 250 mg/ml
injecteerbaar geneesmiddel Ketamine hydrochloride 50 mg/ml
2109
Verenigbaar
injecteerbaar geneesmiddel Amikacin sulfate 5 mg/ml
injecteerbaar geneesmiddel Labetalol hydrochloride 1 mg/ml
Glucose 5% 386
Verenigbaar
injecteerbaar geneesmiddel Amikacin sulfate 5 mg/ml
injecteerbaar geneesmiddel Lansoprazole 0.55 mg/ml
Natriumchloride 0,9% 1625
Verenigbaar
injecteerbaar geneesmiddel Amikacin sulfate 50 mg/ml
injecteerbaar geneesmiddel Levofloxacine 5 mg/ml
Glucose 5% 1072
Verenigbaar
injecteerbaar geneesmiddel Amikacin sulfate 5 mg/ml
injecteerbaar geneesmiddel Linezolid 2 mg/ml
Geen 1925
Verenigbaar
injecteerbaar geneesmiddel Amikacin sulfate 5 mg/ml
injecteerbaar geneesmiddel Lorazepam 0.33 mg/ml
Natriumchloride 0,9% 186
Verenigbaar
injecteerbaar geneesmiddel Amikacin sulfate 5 mg/ml
injecteerbaar geneesmiddel Magnesium sulfate 16.67 >> 100 mg/ml
Glucose 5% 1047
Verenigbaar
injecteerbaar geneesmiddel Amikacin sulfate 5 mg/ml
injecteerbaar geneesmiddel Melphalan 0.1 mg/ml
Natriumchloride 0,9% 169
Verenigbaar
injecteerbaar geneesmiddel Amikacin sulfate 250 mg/ml
injecteerbaar geneesmiddel Meropenem 50 mg/ml
4389
Verenigbaar
injecteerbaar geneesmiddel Amikacin sulfate 250 mg/ml
injecteerbaar geneesmiddel Meropenem 50 mg/ml
Water voor injectie 4319
Chemische instabiliteit Onverenigbaar
injecteerbaar geneesmiddel Amikacin sulfate
injecteerbaar geneesmiddel Meropenem
3549
Verenigbaar
injecteerbaar geneesmiddel Amikacin sulfate
injecteerbaar geneesmiddel Metronidazole
3594
Verenigbaar
injecteerbaar geneesmiddel Amikacin sulfate 5 mg/ml
injecteerbaar geneesmiddel Metronidazole 5 mg/ml
Geen 1035
Verenigbaar
injecteerbaar geneesmiddel Amikacin sulfate 5 mg/ml
injecteerbaar geneesmiddel Midazolam hydrochloride 5 mg/ml
Geen 186
Verenigbaar
injecteerbaar geneesmiddel Amikacin sulfate 5 mg/ml
injecteerbaar geneesmiddel Morphine sulfate 1 mg/ml
Glucose 5% 405
Verenigbaar
injecteerbaar geneesmiddel Amikacin sulfate 250 mg/ml
injecteerbaar geneesmiddel N-acetylcysteine 200 mg/ml
Geen 3766
Chemische instabiliteit Onverenigbaar
injecteerbaar geneesmiddel Amikacin sulfate
injecteerbaar geneesmiddel Nafcillin sodium
3549
Verenigbaar
injecteerbaar geneesmiddel Amikacin sulfate 2,5 mg/ml
injecteerbaar geneesmiddel Nalbuphine hydrochloride 0,05 >> 0,33 mg/ml
Natriumchloride 0,9% 4867
Verenigbaar
injecteerbaar geneesmiddel Amikacin sulfate 250 mg/ml
injecteerbaar geneesmiddel Naloxone hydrochloride 0.4 mg/ml
Geen 3408
Verenigbaar
injecteerbaar geneesmiddel Amikacin sulfate 2 mg/ml
injecteerbaar geneesmiddel Nicardipine hydrochloride 0.1 mg/ml
Glucose 5% 1490
Verenigbaar
injecteerbaar geneesmiddel Amikacin sulfate 2 mg/ml
injecteerbaar geneesmiddel Nicardipine hydrochloride 0.1 mg/ml
Natriumchloride 0,9% 1490
Verenigbaar
injecteerbaar geneesmiddel Amikacin sulfate 5 mg/ml
injecteerbaar geneesmiddel Ondansetron hydrochloride 1 mg/ml
Natriumchloride 0,9% 334
Chemische instabiliteit Onverenigbaar
injecteerbaar geneesmiddel Amikacin sulfate
injecteerbaar geneesmiddel Oxacillin sodium
3549
Verenigbaar
injecteerbaar geneesmiddel Amikacin sulfate 5 mg/ml
injecteerbaar geneesmiddel Paclitaxel 1.2 mg/ml
Glucose 5% 248
Onmiddellijke neerslag Onverenigbaar
injecteerbaar geneesmiddel Amikacin sulfate
injecteerbaar geneesmiddel Pantoprazole sodium
2090
Verenigbaar
injecteerbaar geneesmiddel Amikacin sulfate 250 mg/ml
injecteerbaar geneesmiddel Paracetamol 10 mg/ml
4742
Verenigbaar
injecteerbaar geneesmiddel Amikacin sulfate 5 mg/ml
injecteerbaar geneesmiddel Pemetrexed disodium 20 mg/ml
Natriumchloride 0,9% 1953
Chemische instabiliteit Onverenigbaar
injecteerbaar geneesmiddel Amikacin sulfate
injecteerbaar geneesmiddel Penicillin G potassium
3549
Chemische instabiliteit Onverenigbaar
injecteerbaar geneesmiddel Amikacin sulfate
injecteerbaar geneesmiddel Penicillin G sodium
3549
Verenigbaar
injecteerbaar geneesmiddel Amikacin sulfate 50 mg/ml
injecteerbaar geneesmiddel Pethidine hydrochloride 100 mg/ml
Natriumchloride 0,45 % 132
Verenigbaar
injecteerbaar geneesmiddel Amikacin sulfate 5 mg/ml
injecteerbaar geneesmiddel Pethidine hydrochloride 10 mg/ml
Glucose 5% 405
Niet-gespecificeerde incompatibiliteit Onverenigbaar
injecteerbaar geneesmiddel Amikacin sulfate
injecteerbaar geneesmiddel Phenytoin sodium
3549
Verenigbaar
injecteerbaar geneesmiddel Amikacin sulfate 40 mg/ml
injecteerbaar geneesmiddel Phloroglucinol 2,5 mg/ml
3791
Chemische instabiliteit Onverenigbaar
injecteerbaar geneesmiddel Amikacin sulfate
injecteerbaar geneesmiddel Piperacillin sodium
3549
Chemische instabiliteit Onverenigbaar
injecteerbaar geneesmiddel Amikacin sulfate
injecteerbaar geneesmiddel Piperacillin sodium / tazobactam
3549
Chemische instabiliteit Onverenigbaar
injecteerbaar geneesmiddel Amikacin sulfate
injecteerbaar geneesmiddel Piperacillin sodium / tazobactam
3586
Verenigbaar
injecteerbaar geneesmiddel Amikacin sulfate
injecteerbaar geneesmiddel Posaconazole
4380
Onmiddellijke neerslag Onverenigbaar
injecteerbaar geneesmiddel Amikacin sulfate 5 mg/ml
injecteerbaar geneesmiddel Propofol 10 mg/ml
Geen 300
Niet-gespecificeerde incompatibiliteit Onverenigbaar
injecteerbaar geneesmiddel Amikacin sulfate
injecteerbaar geneesmiddel Pyridoxine hydrochloride
3549
Verenigbaar
injecteerbaar geneesmiddel Amikacin sulfate 5 mg/ml
injecteerbaar geneesmiddel Remifentanil hydrochloride 25 & 250 µg/ml
Natriumchloride 0,9% 59
Onmiddellijke neerslag Onverenigbaar
injecteerbaar geneesmiddel Amikacin sulfate 250 mg/ml
injecteerbaar geneesmiddel Salbutamol sulfate 1 mg/ml
Geen 3216
Verenigbaar
injecteerbaar geneesmiddel Amikacin sulfate 5 mg/ml
injecteerbaar geneesmiddel Sargramostim 10 µg/ml
Natriumchloride 0,9% 335
Verenigbaar
injecteerbaar geneesmiddel Amikacin sulfate 10 mg/ml
injecteerbaar geneesmiddel Sulbactam/durlobactam 15/15 mg/ml
Natriumchloride 0,9% 4801
Verenigbaar
injecteerbaar geneesmiddel Amikacin sulfate 5 mg/ml
injecteerbaar geneesmiddel Tedizolid phosphate 0.8 mg/ml
Natriumchloride 0,9% 3827
Niet-gespecificeerde incompatibiliteit Onverenigbaar
injecteerbaar geneesmiddel Amikacin sulfate
injecteerbaar geneesmiddel Teicoplanine
3656
Verenigbaar
injecteerbaar geneesmiddel Amikacin sulfate
Natriumchloride 0,9% 5076
Niet-gespecificeerde incompatibiliteit Onverenigbaar
injecteerbaar geneesmiddel Amikacin sulfate 50 mg/ml
injecteerbaar geneesmiddel Propofol
4524
Niet-gespecificeerde incompatibiliteit Onverenigbaar
injecteerbaar geneesmiddel Amikacin sulfate
injecteerbaar geneesmiddel Temocilline
2296
Verenigbaar
injecteerbaar geneesmiddel Amikacin sulfate 15 mg/ml
injecteerbaar geneesmiddel Temocilline 83.33 mg/ml
Water voor injectie 2231
Chemische instabiliteit Onverenigbaar
injecteerbaar geneesmiddel Amikacin sulfate
injecteerbaar geneesmiddel Temocilline
3549
Verenigbaar
injecteerbaar geneesmiddel Amikacin sulfate 5 mg/ml
injecteerbaar geneesmiddel Teniposide 0.1 mg/ml
Glucose 5% 905
Niet-gespecificeerde incompatibiliteit Onverenigbaar
injecteerbaar geneesmiddel Amikacin sulfate
injecteerbaar geneesmiddel Thiamine hydrochloride
3549
Onmiddellijke neerslag Onverenigbaar
injecteerbaar geneesmiddel Amikacin sulfate 250 mg/ml
injecteerbaar geneesmiddel Thiopental sodium 25 mg/ml
Natriumchloride 0,9% 3767
Niet-gespecificeerde incompatibiliteit Onverenigbaar
injecteerbaar geneesmiddel Amikacin sulfate
injecteerbaar geneesmiddel Thiopental sodium
3549
Verenigbaar
injecteerbaar geneesmiddel Amikacin sulfate 5 mg/ml
injecteerbaar geneesmiddel Thiotepa 1 mg/ml
Glucose 5% 249
Chemische instabiliteit Onverenigbaar
injecteerbaar geneesmiddel Amikacin sulfate
injecteerbaar geneesmiddel Ticarcillin / clavulanic acid
3587
Chemische instabiliteit Onverenigbaar
injecteerbaar geneesmiddel Amikacin sulfate
injecteerbaar geneesmiddel Ticarcillin / clavulanic acid
3549
Verenigbaar
injecteerbaar geneesmiddel Amikacin sulfate
injecteerbaar geneesmiddel Tigecycline
Natriumchloride 0,9% 3332
Verenigbaar
injecteerbaar geneesmiddel Amikacin sulfate 15 mg/ml
injecteerbaar geneesmiddel Vancomycin hydrochloride 10 mg/ml
Glucose 5% 3385
Verenigbaar
injecteerbaar geneesmiddel Amikacin sulfate 2 mg/ml
injecteerbaar geneesmiddel Verapamil hydrochloride 0.08 mg/ml
Natriumchloride 0,9% 1057
Verenigbaar
injecteerbaar geneesmiddel Amikacin sulfate 2 mg/ml
injecteerbaar geneesmiddel Verapamil hydrochloride 0.08 mg/ml
Glucose 5% 1057
Onmiddellijke troebelheid Onverenigbaar
injecteerbaar geneesmiddel Amikacin sulfate 5 mg/ml
injecteerbaar geneesmiddel Vinorelbine tartrate 1 mg/ml
Natriumchloride 0,9% 84
Verenigbaar
injecteerbaar geneesmiddel Amikacin sulfate 5 mg/ml
injecteerbaar geneesmiddel Warfarin sodium 0.1 & 2 mg/ml
Glucose 5% 552
Verenigbaar
injecteerbaar geneesmiddel Amikacin sulfate 5 mg/ml
injecteerbaar geneesmiddel Warfarin sodium 0.1 & 2 mg/ml
Natriumchloride 0,9% 552
Verenigbaar
injecteerbaar geneesmiddel Amikacin sulfate 4 mg/ml
injecteerbaar geneesmiddel Zidovudine 4 mg/ml
Glucose 5% 337

  Mentions Légales