Son güncelleme :
27/04/2026
Antibiyotik   Amikacin sulfate  
Enjeksiyon
Çözeltilerin stabilitesi Karışımlardaki stabilitesi Stabiliteyi etkileyen faktörler Uyumluluk Uygulama yöntemi Kaynaklar pdf
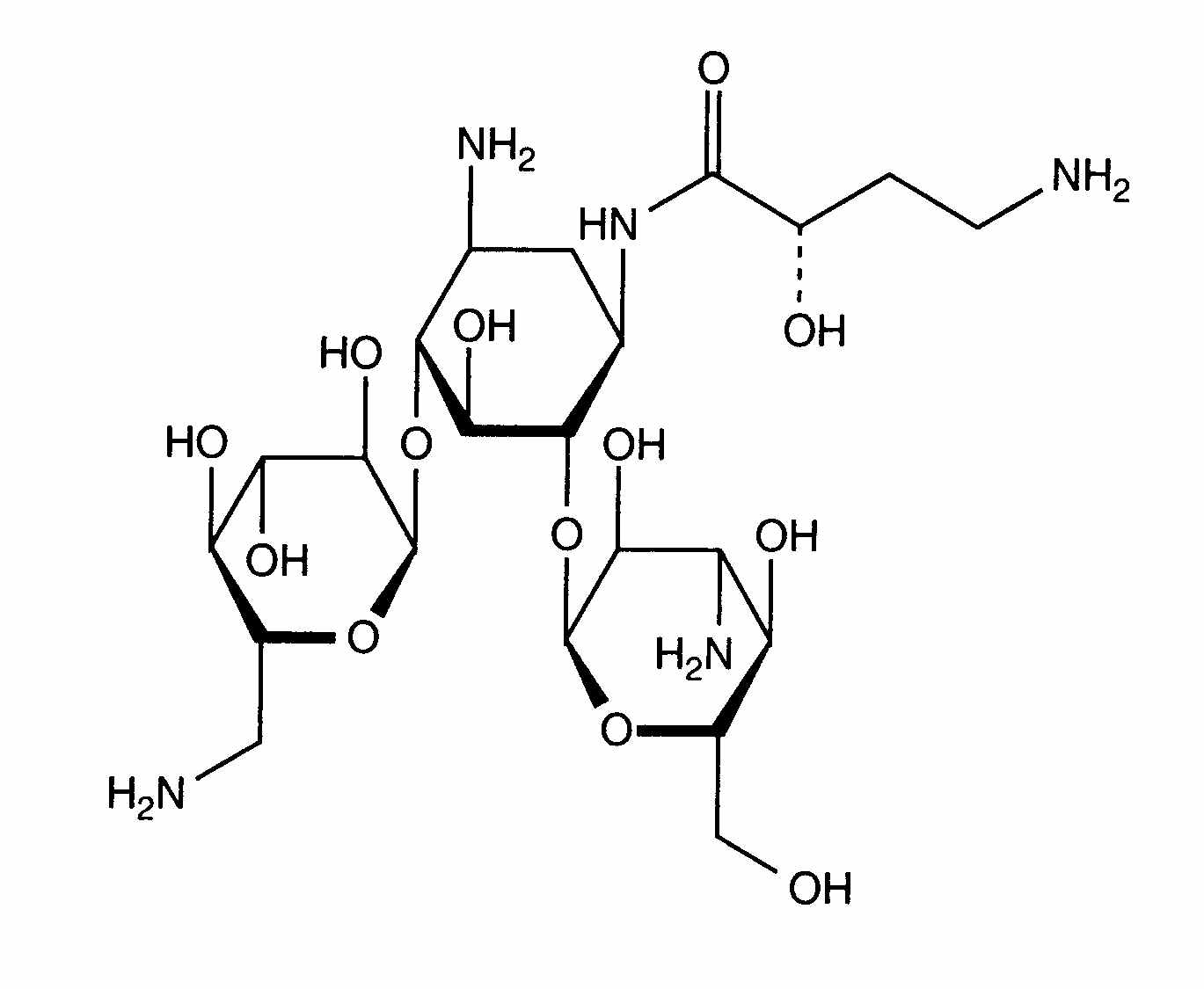
   Kimyasal yapı   

Ticari isim   Ticari isim     

Trade names are indicative and excipients composition can be different depending on the country and manufacturers

Adnet Hindistan
Agnicin Meksika
Akamin Ekvador
Akim Ekvador
Amicacil Brezilya
Amicilon Brezilya
Amicin Malezya
Amicip Venezuela
Amijeksin Türkiye
Amikabiot Ekvador, Peru
Amikacin Almanya, Amerika Birleşik Devletleri, Büyük Britanya, İran, Kanada, Malezya, Mısır, Suudi Arabistan, yeni Zelanda
Amikacina Arjantin, Ekvador, İspanya, İtalya, Kolombiya, Meksika, Peru, Şili, Venezuela
Amikacine Belçika, Fas, Fransa, Hollanda
Amikafur Meksika
Amikagram Peru
Amikalem Meksika
Amikamed Peru
Amikamek Peru
Amikan İtalya
Amikavax Venezuela
Amikaver Türkiye
Amikayect Meksika
Amikem Peru
Amiketem Türkiye
Amikin Amerika Birleşik Devletleri, Avustralya, Brezilya, Büyük Britanya, Ekvador, İrlanda, İsviçre, Kolombiya, Macaristan, Meksika, Mısır, Peru, Polonya, Suudi Arabistan, Tunus
Amiklin Fransa, Türkiye
Amikosit Romanya, Tunus, Türkiye
Amikram Peru
Amukin Belçika, Hollanda, Lüksemburg
Apalin Malezya
Baxi K Meksika, Şili
Behcacin Hindistan, Venezuela
Belka Hindistan
Biclin Almanya, Avusturya, Finlandiya, İspanya, İsveç, Meksika, Portekiz
Biodacyna Polonya
Biokacin Meksika
Briklin Yunanistan
Cadicin Hindistan
Chemacin İtalya
Cikabit Hindistan
Cinamica Hindistan
Cinas Hindistan
Consumonit Yunanistan
Domak Hindistan
Doxocar Arjantin
Elcin Hindistan
Elmik Hindistan
Emcin Hindistan
Emica Hindistan
Farcyclin Yunanistan
Flexelite Yunanistan
Greini Arjantin
Ipacin İran
Itukacin Peru
Kancin Yunanistan
Lanomycin Yunanistan
Lukadin İtalya
Masmika Hindistan
Mediamik İtalya
Micalpha Yunanistan
Micigen Meksika
Migracin İtalya
Mikacin Suudi Arabistan
Nekacin İtalya
Novamin Brezilya
Orlobin Yunanistan
Remikin Yunanistan
Rovericlin Yunanistan
Uzix Yunanistan
Uyumluluk   Enjeksiyon    Uyumluluk : Amikacin sulfate              
Bu ekran, bu durumda uyumsuzluk tipiyle (çökelme, renk değişimi, bir emülsiyonun modifikasyonu, vb.) Uyumlulukları veya uyumsuzlukları gösterir. Burada gösterilen uyumluluklar çoğunlukla yalnızca fizikseldir ve her molekülün kimyasal stabilitesi nadiren değerlendirilir. Bu karışımların değerlendirilmesi, hastaya Y bölgesi uygulama olasılığını göz önünde bulundurmak için çalışıldı. Bu veriler önceden torba veya şırıngalarda karışım yapmak için kullanılamaz. Bu tür bilgiler "Karışımda stabilite" ekranında mevcuttur.
Bileşik Çözücü Kaynaklar
Uyumlu
Enjeksiyon Amikacin sulfate 5 mg/ml
Enjeksiyon Aciclovir sodium 5 mg/ml
Glukoz %5 336
1 saat sonra yağış uyumsuz
Enjeksiyon Amikacin sulfate 5 mg/ml
Enjeksiyon Allopurinol sodium 3 mg/ml
Sodyum klorür % 0,9 307
Uyumlu
Enjeksiyon Amikacin sulfate 5 mg/ml
Enjeksiyon Amifostine 10 mg/ml
Glukoz %5 3
Uyumlu
Enjeksiyon Amikacin sulfate 5 mg/ml
Enjeksiyon Amiodarone hydrochloride 4 mg/ml
Sodyum klorür % 0,9 385
Uyumlu
Enjeksiyon Amikacin sulfate 5 mg/ml
Enjeksiyon Amiodarone hydrochloride 4 mg/ml
Glukoz %5 385
Kimyasal kararsızlık uyumsuz
Enjeksiyon Amikacin sulfate
Enjeksiyon Amoxicillin sodium
3527
Kimyasal kararsızlık uyumsuz
Enjeksiyon Amikacin sulfate
Enjeksiyon Amoxicillin sodium
3549
Uyumlu
Enjeksiyon Amikacin sulfate 250 mg/ml
Enjeksiyon Amoxicillin sodium / clavulanic acid 100/10 mg/ml
3824
Kimyasal kararsızlık uyumsuz
Enjeksiyon Amikacin sulfate
Enjeksiyon Amoxicillin sodium / clavulanic acid
3549
Belirtilmemiş uyumsuzluk uyumsuz
Enjeksiyon Amikacin sulfate
Enjeksiyon Amoxicillin sodium / clavulanic acid
3545
Belirtilmemiş uyumsuzluk uyumsuz
Enjeksiyon Amikacin sulfate
Enjeksiyon Amphotericin B
3549
Acil yağış uyumsuz
Enjeksiyon Amikacin sulfate 5 mg/ml
Enjeksiyon Amphotericin B cholesteryl sulfate complex 0.83 mg/ml
Glukoz %5 921
Kimyasal kararsızlık uyumsuz
Enjeksiyon Amikacin sulfate
Enjeksiyon Ampicillin sodium
3549
Kimyasal kararsızlık uyumsuz
Enjeksiyon Amikacin sulfate
Enjeksiyon Ampicillin sodium - sulbactam sodium
3549
Uyumlu
Enjeksiyon Amikacin sulfate 5 mg/ml
Enjeksiyon Amsacrine 1 mg/ml
Glukoz %5 253
Uyumlu
Enjeksiyon Amikacin sulfate 5 mg/ml
Enjeksiyon Anidulafungin 0.5 mg/ml
Glukoz %5 1982
Belirtilmemiş uyumsuzluk uyumsuz
Enjeksiyon Amikacin sulfate
Enjeksiyon Ascorbic acid
3549
Acil yağış uyumsuz
Enjeksiyon Amikacin sulfate 100 mg/ml
Enjeksiyon Azithromycine 2 mg/ml
Sodyum klorür % 0,9 1800
Kimyasal kararsızlık uyumsuz
Enjeksiyon Amikacin sulfate
Enjeksiyon Aztreonam
3549
Uyumlu
Enjeksiyon Amikacin sulfate 5 mg/ml
Enjeksiyon Aztreonam 40 mg/ml
Glukoz %5 99
Uyumlu
Enjeksiyon Amikacin sulfate 5 mg/ml
Enjeksiyon Bivalirudin 5 mg/ml
Glukoz %5 1713
Uyumlu
Enjeksiyon Amikacin sulfate 250 mg/ml
Enjeksiyon Caffeine 10 mg/ml
Yok 3964
uyumsuz
Enjeksiyon Amikacin sulfate
Enjeksiyon Calcium gluconate
4964
Belirtilmemiş uyumsuzluk uyumsuz
Enjeksiyon Amikacin sulfate
Enjeksiyon Calcium gluconate
3644
Uyumlu
Enjeksiyon Amikacin sulfate 5 mg/ml
Enjeksiyon Caspofungin acetate 0,7 mg/ml
Sodyum klorür % 0,9 2247
Kimyasal kararsızlık uyumsuz
Enjeksiyon Amikacin sulfate
Enjeksiyon Cefalotin sodium
3549
Kimyasal kararsızlık uyumsuz
Enjeksiyon Amikacin sulfate
Enjeksiyon Cefamandole nafate
3549
Belirtilmemiş uyumsuzluk uyumsuz
Enjeksiyon Amikacin sulfate
Enjeksiyon Cefamandole nafate
3546
Kimyasal kararsızlık uyumsuz
Enjeksiyon Amikacin sulfate
Enjeksiyon Cefazolin sodium
3549
Uyumlu
Enjeksiyon Amikacin sulfate 6 mg/ml
Enjeksiyon Cefepime dihydrochloride 40 mg/ml
Sodyum klorür % 0,9 3548
Uyumlu
Enjeksiyon Amikacin sulfate 6 mg/ml
Enjeksiyon Cefepime dihydrochloride 40 mg/ml
Glukoz %5 3548
Uyumlu
Enjeksiyon Amikacin sulfate 15 mg/ml
Enjeksiyon Cefepime dihydrochloride 125 mg/ml
Enjeksiyonluk su 2141
Kimyasal kararsızlık uyumsuz
Enjeksiyon Amikacin sulfate
Enjeksiyon Cefepime dihydrochloride
3549
Uyumlu
Enjeksiyon Amikacin sulfate 5 mg/ml
Enjeksiyon Cefiderocol sulfate tosylate 20 mg/mL
Glukoz %5 4528
Kimyasal kararsızlık uyumsuz
Enjeksiyon Amikacin sulfate
Enjeksiyon Cefmenoxime
3549
Kimyasal kararsızlık uyumsuz
Enjeksiyon Amikacin sulfate
Enjeksiyon Cefmetazole sodium
3549
Kimyasal kararsızlık uyumsuz
Enjeksiyon Amikacin sulfate
Enjeksiyon Cefonicid sodium
3549
Kimyasal kararsızlık uyumsuz
Enjeksiyon Amikacin sulfate
Enjeksiyon Cefoperazone sodium
3549
Belirtilmemiş uyumsuzluk uyumsuz
Enjeksiyon Amikacin sulfate
Enjeksiyon Cefoperazone sodium
3544
Kimyasal kararsızlık uyumsuz
Enjeksiyon Amikacin sulfate
Enjeksiyon Ceforanide
3549
Kimyasal kararsızlık uyumsuz
Enjeksiyon Amikacin sulfate
Enjeksiyon Cefotaxime sodium
3549
Kimyasal kararsızlık uyumsuz
Enjeksiyon Amikacin sulfate
Enjeksiyon Cefoxitin sodium
3549
Belirtilmemiş uyumsuzluk uyumsuz
Enjeksiyon Amikacin sulfate
Enjeksiyon Cefpirome sulfate
3677
Uyumlu
Enjeksiyon Amikacin sulfate 5 mg/ml
Enjeksiyon Cefpirome sulfate 50 mg/ml
Sodyum klorür % 0,45 280
Uyumlu
Enjeksiyon Amikacin sulfate 5 mg/ml
Enjeksiyon Cefpirome sulfate 50 mg/ml
Glukoz %5 280
Uyumlu
Enjeksiyon Amikacin sulfate 5 mg/ml
Enjeksiyon Cefpirome sulfate 50 mg/ml
Sodyum klorür % 0,9 280
Uyumlu
Enjeksiyon Amikacin sulfate 5 mg/ml
Enjeksiyon Cefpirome sulfate 50 mg/ml
Laktatlı ringer 280
Kimyasal kararsızlık uyumsuz
Enjeksiyon Amikacin sulfate
Enjeksiyon Cefpirome sulfate
3549
Uyumlu
Enjeksiyon Amikacin sulfate 5 mg/ml
Enjeksiyon Ceftaroline fosamil 2,22 mg/ml
Laktatlı ringer 3249
Uyumlu
Enjeksiyon Amikacin sulfate 5 mg/ml
Enjeksiyon Ceftaroline fosamil 2,22 mg/ml
Glukoz %5 3249
Uyumlu
Enjeksiyon Amikacin sulfate 5 mg/ml
Enjeksiyon Ceftaroline fosamil 2,22 mg/ml
Sodyum klorür % 0,9 3249
Belirtilmemiş uyumsuzluk uyumsuz
Enjeksiyon Amikacin sulfate
Enjeksiyon Ceftazidime
3883
Belirtilmemiş uyumsuzluk uyumsuz
Enjeksiyon Amikacin sulfate
Enjeksiyon Ceftazidime
3543
Uyumlu
Enjeksiyon Amikacin sulfate 15 mg/ml
Enjeksiyon Ceftazidime 83.3 mg/ml
1759
Kimyasal kararsızlık uyumsuz
Enjeksiyon Amikacin sulfate
Enjeksiyon Ceftazidime Avibactam
3549
Acil yağış uyumsuz
Enjeksiyon Amikacin sulfate 5 mg/ml
Enjeksiyon Ceftobiprole medocaril sodium 2 mg/ml
Sodyum klorür % 0,9 2269
Belirtilmemiş uyumsuzluk uyumsuz
Enjeksiyon Amikacin sulfate
Enjeksiyon Ceftobiprole medocaril sodium
4650
Uyumlu
Enjeksiyon Amikacin sulfate
Glukoz %5 5076
Kimyasal kararsızlık uyumsuz
Enjeksiyon Amikacin sulfate
Enjeksiyon Ceftaroline fosamil
3549
Kimyasal kararsızlık uyumsuz
Enjeksiyon Amikacin sulfate
Enjeksiyon Ceftazidime
3549
Uyumlu
Enjeksiyon Amikacin sulfate 15 mg/ml
Enjeksiyon Ceftazidime 125 mg/ml
Enjeksiyonluk su 2141
Kimyasal kararsızlık uyumsuz
Enjeksiyon Amikacin sulfate
Enjeksiyon Ceftizoxime sodium
3549
Acil yağış uyumsuz
Enjeksiyon Amikacin sulfate 5 mg/ml
Enjeksiyon Ceftobiprole medocaril sodium 2 mg/ml
Glukoz %5 2269
Kimyasal kararsızlık uyumsuz
Enjeksiyon Amikacin sulfate
Enjeksiyon Ceftobiprole medocaril sodium
3549
Acil yağış uyumsuz
Enjeksiyon Amikacin sulfate 5 mg/ml
Enjeksiyon Ceftobiprole medocaril sodium 2 mg/ml
Laktatlı ringer 2269
Uyumlu
Enjeksiyon Amikacin sulfate 5 mg/ml
Enjeksiyon Ceftolozane / tazobactam 10/5 mg/ml
Glukoz %5 3828
Uyumlu
Enjeksiyon Amikacin sulfate 5 mg/ml
Enjeksiyon Ceftolozane / tazobactam 10/5 mg/ml
Sodyum klorür % 0,9 3828
Kimyasal kararsızlık uyumsuz
Enjeksiyon Amikacin sulfate
Enjeksiyon Ceftolozane / tazobactam
3549
Belirtilmemiş uyumsuzluk uyumsuz
Enjeksiyon Amikacin sulfate
Enjeksiyon Ceftriaxone disodium
3523
Kimyasal kararsızlık uyumsuz
Enjeksiyon Amikacin sulfate
Enjeksiyon Ceftriaxone disodium
3549
Kimyasal kararsızlık uyumsuz
Enjeksiyon Amikacin sulfate
Enjeksiyon Cefuroxime sodium
3549
Belirtilmemiş uyumsuzluk uyumsuz
Enjeksiyon Amikacin sulfate
Enjeksiyon Cefuroxime sodium
3687
Kimyasal kararsızlık uyumsuz
Enjeksiyon Amikacin sulfate
Enjeksiyon Cefuzonam
3549
Belirtilmemiş uyumsuzluk uyumsuz
Enjeksiyon Amikacin sulfate
Enjeksiyon Chlorothiazide sodium
3549
Uyumlu
Enjeksiyon Amikacin sulfate 2.5 mg/ml
Enjeksiyon Cimetidine hydrochloride 1.5 mg/ml
Glukoz %5 1201
Kimyasal kararsızlık uyumsuz
Enjeksiyon Amikacin sulfate 4 mg/ml
Enjeksiyon Ciprofloxacin lactate 1.5 mg/ml
Sodyum klorür % 0,9 434
Kimyasal kararsızlık uyumsuz
Enjeksiyon Amikacin sulfate 4 mg/ml
Enjeksiyon Ciprofloxacin lactate 1.5 mg/ml
Glukoz %5 434
Uyumlu
Enjeksiyon Amikacin sulfate 5 mg/ml
Enjeksiyon Cisatracurium besylate 0.1 >> 5 mg/ml
Glukoz %5 299
Uyumlu
Enjeksiyon Amikacin sulfate 4 mg/ml
Enjeksiyon Clindamycin phosphate 9 mg/ml
Sodyum klorür % 0,9 565
Uyumlu
Enjeksiyon Amikacin sulfate 250 mg/ml
Parenteral beslenme (ikili karışım) 999
Uyumlu
Enjeksiyon Amikacin sulfate 5 mg/ml
Enjeksiyon Ciprofloxacin lactate 2 mg/ml
Glukoz %5 285
Kimyasal kararsızlık uyumsuz
Enjeksiyon Amikacin sulfate
Enjeksiyon Cisplatin
3578
Uyumlu
Enjeksiyon Amikacin sulfate 75 mg/ml
Enjeksiyon Clindamycin phosphate 90 mg/ml
Sodyum klorür % 0,9 639
Uyumlu
Enjeksiyon Amikacin sulfate
Enjeksiyon Clindamycin phosphate
Sodyum klorür % 0,9 3526
Subvisual uyumsuzluk uyumsuz
Enjeksiyon Amikacin sulfate 250 mg/ml
Enjeksiyon Cloxacillin sodium 100 mg/ml
Enjeksiyonluk su 3012
Belirtilmemiş uyumsuzluk uyumsuz
Enjeksiyon Amikacin sulfate
Enjeksiyon Daunorubicin/cytarabine liposomale
4354
Uyumlu
Enjeksiyon Amikacin sulfate 5 mg/ml
Parenteral beslenme (ikili karışım) 316
Uyumlu
Enjeksiyon Amikacin sulfate 4 mg/ml
Enjeksiyon Clindamycin phosphate 9 mg/ml
Glukoz %5 565
Uyumlu
Enjeksiyon Amikacin sulfate
Enjeksiyon Clindamycin phosphate
Glukoz %5 3526
Kimyasal kararsızlık uyumsuz
Enjeksiyon Amikacin sulfate
Enjeksiyon Cloxacillin sodium
3549
Belirtilmemiş uyumsuzluk uyumsuz
Enjeksiyon Amikacin sulfate
Enjeksiyon Cyanocobalamine
3549
Anında bulanıklık uyumsuz
Enjeksiyon Amikacin sulfate
Enjeksiyon Daunorubicin/cytarabine liposomale 0,4 mg/mL
Sodyum klorür % 0,9 4654
Acil yağış uyumsuz
Enjeksiyon Amikacin sulfate 5 mg/ml
Enjeksiyon Defibrotide 8 mg/ml
Sodyum klorür % 0,9 3728
Uyumlu
Enjeksiyon Amikacin sulfate 50 mg/ml
Enjeksiyon Dexamethasone sodium phosphate 4 mg/ml
Sodyum klorür % 0,45 132
Belirtilmemiş uyumsuzluk uyumsuz
Enjeksiyon Amikacin sulfate
Enjeksiyon Erythromycin lactobionate
3549
Uyumlu
Enjeksiyon Amikacin sulfate 5 mg/ml
Parenteral beslenme (ikili karışım) 301
Uyumlu
Enjeksiyon Amikacin sulfate 5 mg/ml
Enjeksiyon Dexmedetomidine 4 µg/ml
Sodyum klorür % 0,9 1712
Uyumlu
Enjeksiyon Amikacin sulfate 5 & 250 mg/ml
Enjeksiyon Diltiazem hydrochloride 5 mg/ml
Sodyum klorür % 0,9 198
Uyumlu
Enjeksiyon Amikacin sulfate 5 mg/ml
Enjeksiyon Docetaxel 0.9 mg/ml
Glukoz %5 1754
Uyumlu
Enjeksiyon Amikacin sulfate 5 mg/ml
Enjeksiyon Doripenem 5 mg/ml
Sodyum klorür % 0,9 2262
Uyumlu
Enjeksiyon Amikacin sulfate 5 mg/ml
Enjeksiyon Doripenem 5 mg/ml
Glukoz %5 2262
Kimyasal kararsızlık uyumsuz
Enjeksiyon Amikacin sulfate
Enjeksiyon Doripenem
3549
Uyumlu
Enjeksiyon Amikacin sulfate 2 mg/ml
Enjeksiyon Enalaprilate 0.05 mg/ml
Sodyum klorür % 0,9 1315
Kimyasal kararsızlık uyumsuz
Enjeksiyon Amikacin sulfate
Enjeksiyon Ertapenem
3549
Belirtilmemiş uyumsuzluk uyumsuz
Enjeksiyon Amikacin sulfate
Enjeksiyon Erythromycin lactobionate
3674
Uyumlu
Enjeksiyon Amikacin sulfate 5 mg/ml
Enjeksiyon Esmolol hydrochloride 10 mg/ml
Glukoz %5 384
Uyumlu
Enjeksiyon Amikacin sulfate 5 mg/ml
Enjeksiyon Etoposide phosphate 5 mg/ml
Glukoz %5 1410
Uyumlu
Enjeksiyon Amikacin sulfate 5 mg/ml
Enjeksiyon Fenoldopam mesylate 80 µg/ml
Sodyum klorür % 0,9 1803
Uyumlu
Enjeksiyon Amikacin sulfate 5 mg/ml
Enjeksiyon Filgrastim 30 µg/ml
Glukoz %5 244
Uyumlu
Enjeksiyon Amikacin sulfate 0.487 >> 0.667 mg/ml
Parenteral beslenme (Lipidler) 1868
Uyumlu
Enjeksiyon Amikacin sulfate 250 mg/ml
Laktatlı ringer 4603
1 saat sonra emülsiyonun kararsızlığı uyumsuz
Enjeksiyon Amikacin sulfate 250 mg/ml
Parenteral beslenme (Lipidler) 673
Uyumlu
Enjeksiyon Amikacin sulfate 5 mg/ml
Enjeksiyon Filgrastim 40 µg/ml
Glukoz %5 104
Emülsiyonun anında dengesizliği uyumsuz
Enjeksiyon Amikacin sulfate 50 mg/ml
Parenteral beslenme (Lipidler) 132
Uyumlu
Enjeksiyon Amikacin sulfate 5 mg/ml
Parenteral beslenme (Lipidler) 1415
Acil yağış uyumsuz
Enjeksiyon Amikacin sulfate
Enjeksiyon Flucloxacillin sodium
3522
Uyumlu
Enjeksiyon Amikacin sulfate 20 mg/ml
Enjeksiyon Fluconazole 2 mg/ml
Sodyum klorür % 0,9 496
Uyumlu
Enjeksiyon Amikacin sulfate 5 mg/ml
Enjeksiyon Fluconazole 2 mg/ml
Yok 256
Uyumlu
Enjeksiyon Amikacin sulfate 5 mg/ml
Enjeksiyon Fludarabine phosphate 1 mg/ml
Glukoz %5 492
Uyumlu
Enjeksiyon Amikacin sulfate 20 mg/ml
Enjeksiyon Foscarnet sodium 24 mg/ml
Yok 73
Uyumlu
Enjeksiyon Amikacin sulfate 5 mg/ml
Enjeksiyon Fosfomycin 30 mg/ml
Sodyum klorür % 0,9 4055
Uyumlu
Enjeksiyon Amikacin sulfate 5 mg/ml
Enjeksiyon Fosfomycin 30 mg/ml
Glukoz %5 4055
Acil yağış uyumsuz
Enjeksiyon Amikacin sulfate 2 mg/ml
Enjeksiyon Furosemide 0,16 mg/ml
Sodyum klorür % 0,9 367
Acil yağış uyumsuz
Enjeksiyon Amikacin sulfate 2 mg/ml
Enjeksiyon Furosemide 0,16 mg/ml
Glukoz %5 367
Uyumlu
Enjeksiyon Amikacin sulfate 5 mg/ml
Enjeksiyon Gemcitabine hydrochloride 10 mg/ml
Sodyum klorür % 0,9 1423
Uyumlu
Enjeksiyon Amikacin sulfate 5 mg/ml
Enjeksiyon Granisetron hydrochloride 0.05 mg/ml
Glukoz %5 182
Belirtilmemiş uyumsuzluk uyumsuz
Enjeksiyon Amikacin sulfate
Enjeksiyon Heparin sodium
3549
Belirtilmemiş uyumsuzluk uyumsuz
Enjeksiyon Amikacin sulfate
Enjeksiyon Heparin sodium
3540
Acil yağış uyumsuz
Enjeksiyon Amikacin sulfate
Enjeksiyon Heparin sodium
1022
Uyumlu
Enjeksiyon Amikacin sulfate 5 mg/ml
Enjeksiyon Hetastarch 60 mg/ml
çözücü Özgül 1721
Acil yağış uyumsuz
Enjeksiyon Amikacin sulfate 5 mg/ml
Enjeksiyon Hetastarch 60 mg/ml
Sodyum klorür % 0,9 472
Uyumlu
Enjeksiyon Amikacin sulfate 5 mg/ml
Enjeksiyon Hydromorphone hydrochloride 0.2 mg/ml
Glukoz %5 405
Anında bulanıklık uyumsuz
Enjeksiyon Amikacin sulfate 50 mg/ml
Enjeksiyon Ibuprofen lysinate 10 mg/ml
Enjeksiyonluk su 4419
Anında bulanıklık uyumsuz
Enjeksiyon Amikacin sulfate 250 mg/ml
Enjeksiyon Ibuprofen lysinate 10 mg/ml
Enjeksiyonluk su 4419
Uyumlu
Enjeksiyon Amikacin sulfate 5 mg/ml
Enjeksiyon Idarubicin hydrochloride 1 mg/ml
Sodyum klorür % 0,9 491
Kimyasal kararsızlık uyumsuz
Enjeksiyon Amikacin sulfate
Enjeksiyon Imipenem - cilastatin sodium
3549
Uyumlu
Enjeksiyon Amikacin sulfate 5 mg/ml
Enjeksiyon Isavuconazonium sulfate 1.5 mg/ml
Glukoz %5 3829
Uyumlu
Enjeksiyon Amikacin sulfate 5 mg/ml
Enjeksiyon Isavuconazonium sulfate 1.5 mg/ml
Sodyum klorür % 0,9 3829
Uyumlu
Enjeksiyon Amikacin sulfate 250 mg/ml
Enjeksiyon Ketamine hydrochloride 50 mg/ml
2109
Uyumlu
Enjeksiyon Amikacin sulfate 5 mg/ml
Enjeksiyon Labetalol hydrochloride 1 mg/ml
Glukoz %5 386
Uyumlu
Enjeksiyon Amikacin sulfate 5 mg/ml
Enjeksiyon Lansoprazole 0.55 mg/ml
Sodyum klorür % 0,9 1625
Uyumlu
Enjeksiyon Amikacin sulfate 50 mg/ml
Enjeksiyon Levofloxacine 5 mg/ml
Glukoz %5 1072
Uyumlu
Enjeksiyon Amikacin sulfate 5 mg/ml
Enjeksiyon Linezolid 2 mg/ml
Yok 1925
Uyumlu
Enjeksiyon Amikacin sulfate 5 mg/ml
Enjeksiyon Lorazepam 0.33 mg/ml
Sodyum klorür % 0,9 186
Uyumlu
Enjeksiyon Amikacin sulfate 5 mg/ml
Enjeksiyon Magnesium sulfate 16.67 >> 100 mg/ml
Glukoz %5 1047
Uyumlu
Enjeksiyon Amikacin sulfate 5 mg/ml
Enjeksiyon Melphalan 0.1 mg/ml
Sodyum klorür % 0,9 169
Uyumlu
Enjeksiyon Amikacin sulfate 250 mg/ml
Enjeksiyon Meropenem 50 mg/ml
4389
Uyumlu
Enjeksiyon Amikacin sulfate 250 mg/ml
Enjeksiyon Meropenem 50 mg/ml
Enjeksiyonluk su 4319
Kimyasal kararsızlık uyumsuz
Enjeksiyon Amikacin sulfate
Enjeksiyon Meropenem
3549
Uyumlu
Enjeksiyon Amikacin sulfate
Enjeksiyon Metronidazole
3594
Uyumlu
Enjeksiyon Amikacin sulfate 5 mg/ml
Enjeksiyon Metronidazole 5 mg/ml
Yok 1035
Uyumlu
Enjeksiyon Amikacin sulfate 5 mg/ml
Enjeksiyon Midazolam hydrochloride 5 mg/ml
Yok 186
Uyumlu
Enjeksiyon Amikacin sulfate 5 mg/ml
Enjeksiyon Morphine sulfate 1 mg/ml
Glukoz %5 405
Uyumlu
Enjeksiyon Amikacin sulfate 250 mg/ml
Enjeksiyon N-acetylcysteine 200 mg/ml
Yok 3766
Kimyasal kararsızlık uyumsuz
Enjeksiyon Amikacin sulfate
Enjeksiyon Nafcillin sodium
3549
Uyumlu
Enjeksiyon Amikacin sulfate 2,5 mg/ml
Enjeksiyon Nalbuphine hydrochloride 0,05 >> 0,33 mg/ml
Sodyum klorür % 0,9 4867
Uyumlu
Enjeksiyon Amikacin sulfate 250 mg/ml
Enjeksiyon Naloxone hydrochloride 0.4 mg/ml
Yok 3408
Uyumlu
Enjeksiyon Amikacin sulfate 2 mg/ml
Enjeksiyon Nicardipine hydrochloride 0.1 mg/ml
Glukoz %5 1490
Uyumlu
Enjeksiyon Amikacin sulfate 2 mg/ml
Enjeksiyon Nicardipine hydrochloride 0.1 mg/ml
Sodyum klorür % 0,9 1490
Uyumlu
Enjeksiyon Amikacin sulfate 5 mg/ml
Enjeksiyon Ondansetron hydrochloride 1 mg/ml
Sodyum klorür % 0,9 334
Kimyasal kararsızlık uyumsuz
Enjeksiyon Amikacin sulfate
Enjeksiyon Oxacillin sodium
3549
Uyumlu
Enjeksiyon Amikacin sulfate 5 mg/ml
Enjeksiyon Paclitaxel 1.2 mg/ml
Glukoz %5 248
Acil yağış uyumsuz
Enjeksiyon Amikacin sulfate
Enjeksiyon Pantoprazole sodium
2090
Uyumlu
Enjeksiyon Amikacin sulfate 250 mg/ml
Enjeksiyon Paracetamol 10 mg/ml
4742
Uyumlu
Enjeksiyon Amikacin sulfate 5 mg/ml
Enjeksiyon Pemetrexed disodium 20 mg/ml
Sodyum klorür % 0,9 1953
Kimyasal kararsızlık uyumsuz
Enjeksiyon Amikacin sulfate
Enjeksiyon Penicillin G potassium
3549
Kimyasal kararsızlık uyumsuz
Enjeksiyon Amikacin sulfate
Enjeksiyon Penicillin G sodium
3549
Uyumlu
Enjeksiyon Amikacin sulfate 50 mg/ml
Enjeksiyon Pethidine hydrochloride 100 mg/ml
Sodyum klorür % 0,45 132
Uyumlu
Enjeksiyon Amikacin sulfate 5 mg/ml
Enjeksiyon Pethidine hydrochloride 10 mg/ml
Glukoz %5 405
Belirtilmemiş uyumsuzluk uyumsuz
Enjeksiyon Amikacin sulfate
Enjeksiyon Phenytoin sodium
3549
Uyumlu
Enjeksiyon Amikacin sulfate 40 mg/ml
Enjeksiyon Phloroglucinol 2,5 mg/ml
3791
Kimyasal kararsızlık uyumsuz
Enjeksiyon Amikacin sulfate
Enjeksiyon Piperacillin sodium
3549
Kimyasal kararsızlık uyumsuz
Enjeksiyon Amikacin sulfate
Enjeksiyon Piperacillin sodium / tazobactam
3549
Kimyasal kararsızlık uyumsuz
Enjeksiyon Amikacin sulfate
Enjeksiyon Piperacillin sodium / tazobactam
3586
Uyumlu
Enjeksiyon Amikacin sulfate
Enjeksiyon Posaconazole
4380
Acil yağış uyumsuz
Enjeksiyon Amikacin sulfate 5 mg/ml
Enjeksiyon Propofol 10 mg/ml
Yok 300
Belirtilmemiş uyumsuzluk uyumsuz
Enjeksiyon Amikacin sulfate
Enjeksiyon Pyridoxine hydrochloride
3549
Uyumlu
Enjeksiyon Amikacin sulfate 5 mg/ml
Enjeksiyon Remifentanil hydrochloride 25 & 250 µg/ml
Sodyum klorür % 0,9 59
Acil yağış uyumsuz
Enjeksiyon Amikacin sulfate 250 mg/ml
Enjeksiyon Salbutamol sulfate 1 mg/ml
Yok 3216
Uyumlu
Enjeksiyon Amikacin sulfate 5 mg/ml
Enjeksiyon Sargramostim 10 µg/ml
Sodyum klorür % 0,9 335
Uyumlu
Enjeksiyon Amikacin sulfate 10 mg/ml
Enjeksiyon Sulbactam/durlobactam 15/15 mg/ml
Sodyum klorür % 0,9 4801
Uyumlu
Enjeksiyon Amikacin sulfate 5 mg/ml
Enjeksiyon Tedizolid phosphate 0.8 mg/ml
Sodyum klorür % 0,9 3827
Belirtilmemiş uyumsuzluk uyumsuz
Enjeksiyon Amikacin sulfate
Enjeksiyon Teicoplanine
3656
Uyumlu
Enjeksiyon Amikacin sulfate
Sodyum klorür % 0,9 5076
Belirtilmemiş uyumsuzluk uyumsuz
Enjeksiyon Amikacin sulfate 50 mg/ml
Enjeksiyon Propofol
4524
Belirtilmemiş uyumsuzluk uyumsuz
Enjeksiyon Amikacin sulfate
Enjeksiyon Temocilline
2296
Uyumlu
Enjeksiyon Amikacin sulfate 15 mg/ml
Enjeksiyon Temocilline 83.33 mg/ml
Enjeksiyonluk su 2231
Kimyasal kararsızlık uyumsuz
Enjeksiyon Amikacin sulfate
Enjeksiyon Temocilline
3549
Uyumlu
Enjeksiyon Amikacin sulfate 5 mg/ml
Enjeksiyon Teniposide 0.1 mg/ml
Glukoz %5 905
Belirtilmemiş uyumsuzluk uyumsuz
Enjeksiyon Amikacin sulfate
Enjeksiyon Thiamine hydrochloride
3549
Acil yağış uyumsuz
Enjeksiyon Amikacin sulfate 250 mg/ml
Enjeksiyon Thiopental sodium 25 mg/ml
Sodyum klorür % 0,9 3767
Belirtilmemiş uyumsuzluk uyumsuz
Enjeksiyon Amikacin sulfate
Enjeksiyon Thiopental sodium
3549
Uyumlu
Enjeksiyon Amikacin sulfate 5 mg/ml
Enjeksiyon Thiotepa 1 mg/ml
Glukoz %5 249
Kimyasal kararsızlık uyumsuz
Enjeksiyon Amikacin sulfate
Enjeksiyon Ticarcillin / clavulanic acid
3587
Kimyasal kararsızlık uyumsuz
Enjeksiyon Amikacin sulfate
Enjeksiyon Ticarcillin / clavulanic acid
3549
Uyumlu
Enjeksiyon Amikacin sulfate
Enjeksiyon Tigecycline
Sodyum klorür % 0,9 3332
Uyumlu
Enjeksiyon Amikacin sulfate 15 mg/ml
Enjeksiyon Vancomycin hydrochloride 10 mg/ml
Glukoz %5 3385
Uyumlu
Enjeksiyon Amikacin sulfate 2 mg/ml
Enjeksiyon Verapamil hydrochloride 0.08 mg/ml
Sodyum klorür % 0,9 1057
Uyumlu
Enjeksiyon Amikacin sulfate 2 mg/ml
Enjeksiyon Verapamil hydrochloride 0.08 mg/ml
Glukoz %5 1057
Anında bulanıklık uyumsuz
Enjeksiyon Amikacin sulfate 5 mg/ml
Enjeksiyon Vinorelbine tartrate 1 mg/ml
Sodyum klorür % 0,9 84
Uyumlu
Enjeksiyon Amikacin sulfate 5 mg/ml
Enjeksiyon Warfarin sodium 0.1 & 2 mg/ml
Glukoz %5 552
Uyumlu
Enjeksiyon Amikacin sulfate 5 mg/ml
Enjeksiyon Warfarin sodium 0.1 & 2 mg/ml
Sodyum klorür % 0,9 552
Uyumlu
Enjeksiyon Amikacin sulfate 4 mg/ml
Enjeksiyon Zidovudine 4 mg/ml
Glukoz %5 337

  Mentions Légales