viimane versioon :
27/04/2026
antibiootikum   Amikacin sulfate  
Süsteravim
Stabiilsus lahustes Stabiilsust mõjutavad tegurid stabiilsust mõjutavad faktorid Sobimatus Manustamis viis Viited pdf
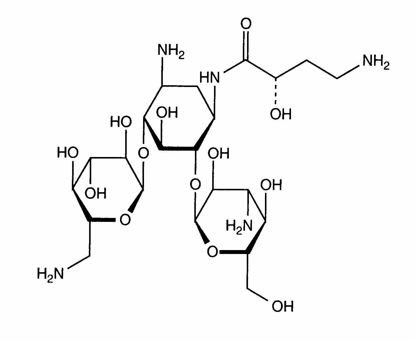
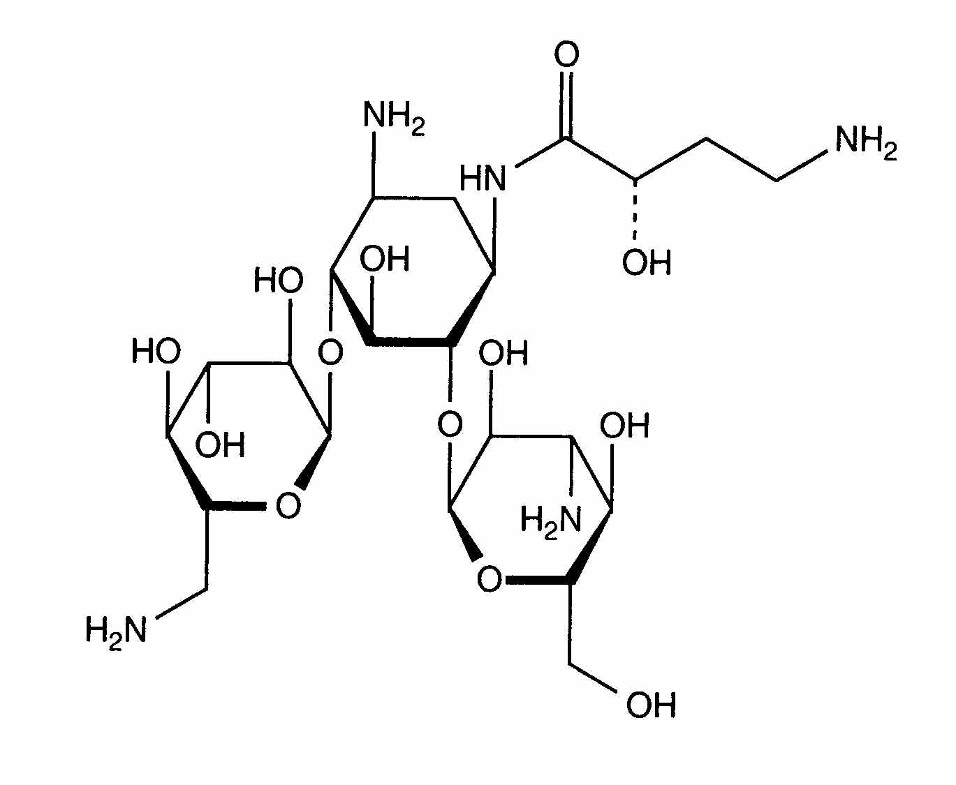
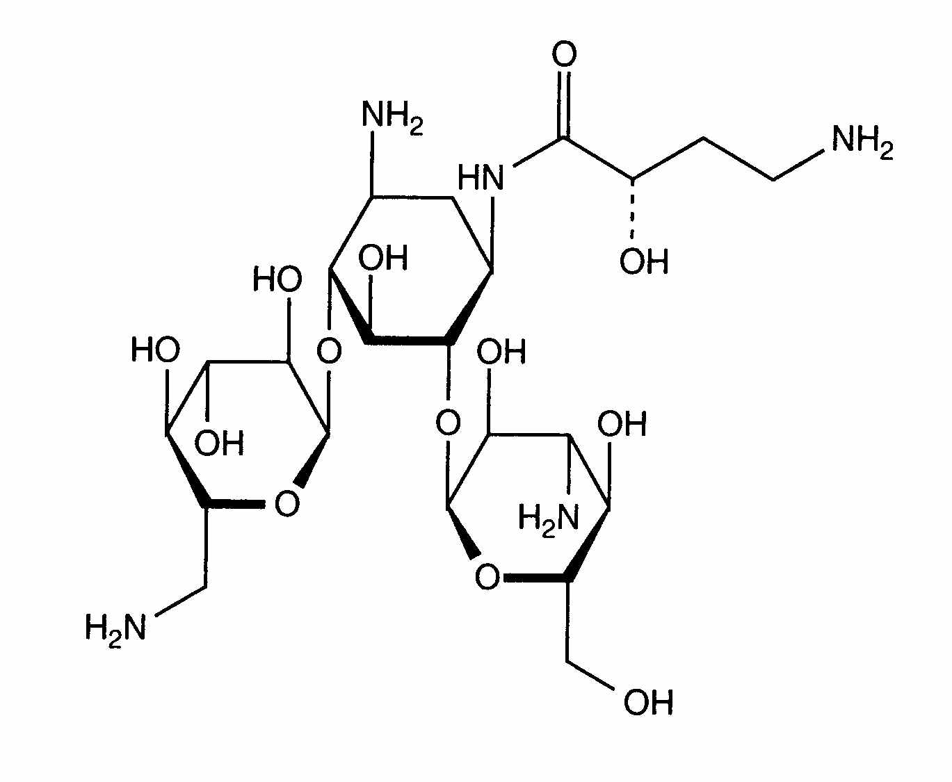
   keemiline struktuur  

Kaubanduslikud nimed erinevates maades   Kaubanduslikud nimed erinevates maades     

Preparaatide nimed on näitlikud ja abianete sisaldus võib erineda sõltuvalt riigist ja laborist

Adnet India
Agnicin Mehhiko
Akamin Ecuador
Akim Ecuador
Amicacil Brasiilia
Amicilon Brasiilia
Amicin Malaisia
Amicip Venetsueela
Amijeksin Türgi
Amikabiot Ecuador, Maroko
Amikacin Ameerika ühendriigid, Egiptus, Iraan, Kanada, Malaisia, Saksamaa, Saudi Araabia, Suurbritannia, uus-Meremaa
Amikacina Argentiina, Ecuador, Hispaania, Itaalia, Kolumbia, Maroko, Mehhiko, Tšiili, Venetsueela
Amikacine Belgia, Holland, Maroko, Prantsusmaa
Amikafur Mehhiko
Amikagram Maroko
Amikalem Mehhiko
Amikamed Maroko
Amikamek Maroko
Amikan Itaalia
Amikavax Venetsueela
Amikaver Türgi
Amikayect Mehhiko
Amikem Maroko
Amiketem Türgi
Amikin Ameerika ühendriigid, Austraalia, Brasiilia, Ecuador, Egiptus, Iirimaa, Kolumbia, Maroko, Mehhiko, Poola, Saudi Araabia, Suurbritannia, Sveits, Tuneesia, Ungari
Amiklin Prantsusmaa, Türgi
Amikosit Rumeenia, Tuneesia, Türgi
Amikram Maroko
Amukin Belgia, Holland, Luksemburg
Apalin Malaisia
Baxi K Mehhiko, Tšiili
Behcacin India, Venetsueela
Belka India
Biclin Austria, Hispaania, Mehhiko, Portugal, Rootsi, Saksamaa, Soome
Biodacyna Poola
Biokacin Mehhiko
Briklin Kreeka
Cadicin India
Chemacin Itaalia
Cikabit India
Cinamica India
Cinas India
Consumonit Kreeka
Domak India
Doxocar Argentiina
Elcin India
Elmik India
Emcin India
Emica India
Farcyclin Kreeka
Flexelite Kreeka
Greini Argentiina
Ipacin Iraan
Itukacin Maroko
Kancin Kreeka
Lanomycin Kreeka
Lukadin Itaalia
Masmika India
Mediamik Itaalia
Micalpha Kreeka
Micigen Mehhiko
Migracin Itaalia
Mikacin Saudi Araabia
Nekacin Itaalia
Novamin Brasiilia
Orlobin Kreeka
Remikin Kreeka
Rovericlin Kreeka
Uzix Kreeka
Sobimatus   Süsteravim   Sobimatus : Amikacin sulfate              
Sellel lehel kuvatakse sobimatusi ja sobimatuse tüüpi (sadenemine, värvuse muutus, emulsiooni modifitseerumine jne). Enamasti on siin lehel kuvatud füüsikalised sobimatused, kuna molekulide keemilist stabiilsust hinnatakse harva. Hinnatud on segude sobivust Y-liinis. Antud infot ei saa kasutada ravimite sobivuse hindamiseks juhul, kui ravimid on segatud süstaldes või infusioonikottides. See info on lehel « stabiilsus segudes ».
ingredient lahusti Viited
Ühilduv
Süsteravim Amikacin sulfate 5 mg/ml
Süsteravim Aciclovir sodium 5 mg/ml
glükoos 5% 336
Sade 1 tunni pärast Sobimatu
Süsteravim Amikacin sulfate 5 mg/ml
Süsteravim Allopurinol sodium 3 mg/ml
naatriumkloriid 0.9% 307
Ühilduv
Süsteravim Amikacin sulfate 5 mg/ml
Süsteravim Amifostine 10 mg/ml
glükoos 5% 3
Ühilduv
Süsteravim Amikacin sulfate 5 mg/ml
Süsteravim Amiodarone hydrochloride 4 mg/ml
naatriumkloriid 0.9% 385
Ühilduv
Süsteravim Amikacin sulfate 5 mg/ml
Süsteravim Amiodarone hydrochloride 4 mg/ml
glükoos 5% 385
Keemiline ebastabiilsus Sobimatu
Süsteravim Amikacin sulfate
Süsteravim Amoxicillin sodium
3527
Keemiline ebastabiilsus Sobimatu
Süsteravim Amikacin sulfate
Süsteravim Amoxicillin sodium
3549
Ühilduv
Süsteravim Amikacin sulfate 250 mg/ml
Süsteravim Amoxicillin sodium / clavulanic acid 100/10 mg/ml
3824
Keemiline ebastabiilsus Sobimatu
Süsteravim Amikacin sulfate
Süsteravim Amoxicillin sodium / clavulanic acid
3549
Täpsustamata sobimatus Sobimatu
Süsteravim Amikacin sulfate
Süsteravim Amoxicillin sodium / clavulanic acid
3545
Täpsustamata sobimatus Sobimatu
Süsteravim Amikacin sulfate
Süsteravim Amphotericin B
3549
Kohene sade Sobimatu
Süsteravim Amikacin sulfate 5 mg/ml
Süsteravim Amphotericin B cholesteryl sulfate complex 0.83 mg/ml
glükoos 5% 921
Keemiline ebastabiilsus Sobimatu
Süsteravim Amikacin sulfate
Süsteravim Ampicillin sodium
3549
Keemiline ebastabiilsus Sobimatu
Süsteravim Amikacin sulfate
Süsteravim Ampicillin sodium - sulbactam sodium
3549
Ühilduv
Süsteravim Amikacin sulfate 5 mg/ml
Süsteravim Amsacrine 1 mg/ml
glükoos 5% 253
Ühilduv
Süsteravim Amikacin sulfate 5 mg/ml
Süsteravim Anidulafungin 0.5 mg/ml
glükoos 5% 1982
Täpsustamata sobimatus Sobimatu
Süsteravim Amikacin sulfate
Süsteravim Ascorbic acid
3549
Kohene sade Sobimatu
Süsteravim Amikacin sulfate 100 mg/ml
Süsteravim Azithromycine 2 mg/ml
naatriumkloriid 0.9% 1800
Keemiline ebastabiilsus Sobimatu
Süsteravim Amikacin sulfate
Süsteravim Aztreonam
3549
Ühilduv
Süsteravim Amikacin sulfate 5 mg/ml
Süsteravim Aztreonam 40 mg/ml
glükoos 5% 99
Ühilduv
Süsteravim Amikacin sulfate 5 mg/ml
Süsteravim Bivalirudin 5 mg/ml
glükoos 5% 1713
Ühilduv
Süsteravim Amikacin sulfate 250 mg/ml
Süsteravim Caffeine 10 mg/ml
mitte ükski 3964
Sobimatu
Süsteravim Amikacin sulfate
Süsteravim Calcium gluconate
4964
Täpsustamata sobimatus Sobimatu
Süsteravim Amikacin sulfate
Süsteravim Calcium gluconate
3644
Ühilduv
Süsteravim Amikacin sulfate 5 mg/ml
Süsteravim Caspofungin acetate 0,7 mg/ml
naatriumkloriid 0.9% 2247
Keemiline ebastabiilsus Sobimatu
Süsteravim Amikacin sulfate
Süsteravim Cefalotin sodium
3549
Keemiline ebastabiilsus Sobimatu
Süsteravim Amikacin sulfate
Süsteravim Cefamandole nafate
3549
Täpsustamata sobimatus Sobimatu
Süsteravim Amikacin sulfate
Süsteravim Cefamandole nafate
3546
Keemiline ebastabiilsus Sobimatu
Süsteravim Amikacin sulfate
Süsteravim Cefazolin sodium
3549
Ühilduv
Süsteravim Amikacin sulfate 6 mg/ml
Süsteravim Cefepime dihydrochloride 40 mg/ml
naatriumkloriid 0.9% 3548
Ühilduv
Süsteravim Amikacin sulfate 6 mg/ml
Süsteravim Cefepime dihydrochloride 40 mg/ml
glükoos 5% 3548
Ühilduv
Süsteravim Amikacin sulfate 15 mg/ml
Süsteravim Cefepime dihydrochloride 125 mg/ml
süstevesi 2141
Keemiline ebastabiilsus Sobimatu
Süsteravim Amikacin sulfate
Süsteravim Cefepime dihydrochloride
3549
Ühilduv
Süsteravim Amikacin sulfate 5 mg/ml
Süsteravim Cefiderocol sulfate tosylate 20 mg/mL
glükoos 5% 4528
Keemiline ebastabiilsus Sobimatu
Süsteravim Amikacin sulfate
Süsteravim Cefmenoxime
3549
Keemiline ebastabiilsus Sobimatu
Süsteravim Amikacin sulfate
Süsteravim Cefmetazole sodium
3549
Keemiline ebastabiilsus Sobimatu
Süsteravim Amikacin sulfate
Süsteravim Cefonicid sodium
3549
Keemiline ebastabiilsus Sobimatu
Süsteravim Amikacin sulfate
Süsteravim Cefoperazone sodium
3549
Täpsustamata sobimatus Sobimatu
Süsteravim Amikacin sulfate
Süsteravim Cefoperazone sodium
3544
Keemiline ebastabiilsus Sobimatu
Süsteravim Amikacin sulfate
Süsteravim Ceforanide
3549
Keemiline ebastabiilsus Sobimatu
Süsteravim Amikacin sulfate
Süsteravim Cefotaxime sodium
3549
Keemiline ebastabiilsus Sobimatu
Süsteravim Amikacin sulfate
Süsteravim Cefoxitin sodium
3549
Täpsustamata sobimatus Sobimatu
Süsteravim Amikacin sulfate
Süsteravim Cefpirome sulfate
3677
Ühilduv
Süsteravim Amikacin sulfate 5 mg/ml
Süsteravim Cefpirome sulfate 50 mg/ml
naatriumkloriid 0.45% 280
Ühilduv
Süsteravim Amikacin sulfate 5 mg/ml
Süsteravim Cefpirome sulfate 50 mg/ml
glükoos 5% 280
Ühilduv
Süsteravim Amikacin sulfate 5 mg/ml
Süsteravim Cefpirome sulfate 50 mg/ml
naatriumkloriid 0.9% 280
Ühilduv
Süsteravim Amikacin sulfate 5 mg/ml
Süsteravim Cefpirome sulfate 50 mg/ml
Ringer laktaat 280
Keemiline ebastabiilsus Sobimatu
Süsteravim Amikacin sulfate
Süsteravim Cefpirome sulfate
3549
Ühilduv
Süsteravim Amikacin sulfate 5 mg/ml
Süsteravim Ceftaroline fosamil 2,22 mg/ml
Ringer laktaat 3249
Ühilduv
Süsteravim Amikacin sulfate 5 mg/ml
Süsteravim Ceftaroline fosamil 2,22 mg/ml
glükoos 5% 3249
Ühilduv
Süsteravim Amikacin sulfate 5 mg/ml
Süsteravim Ceftaroline fosamil 2,22 mg/ml
naatriumkloriid 0.9% 3249
Täpsustamata sobimatus Sobimatu
Süsteravim Amikacin sulfate
Süsteravim Ceftazidime
3883
Täpsustamata sobimatus Sobimatu
Süsteravim Amikacin sulfate
Süsteravim Ceftazidime
3543
Ühilduv
Süsteravim Amikacin sulfate 15 mg/ml
Süsteravim Ceftazidime 83.3 mg/ml
1759
Keemiline ebastabiilsus Sobimatu
Süsteravim Amikacin sulfate
Süsteravim Ceftazidime Avibactam
3549
Kohene sade Sobimatu
Süsteravim Amikacin sulfate 5 mg/ml
Süsteravim Ceftobiprole medocaril sodium 2 mg/ml
naatriumkloriid 0.9% 2269
Täpsustamata sobimatus Sobimatu
Süsteravim Amikacin sulfate
Süsteravim Ceftobiprole medocaril sodium
4650
Ühilduv
Süsteravim Amikacin sulfate
glükoos 5% 5076
Keemiline ebastabiilsus Sobimatu
Süsteravim Amikacin sulfate
Süsteravim Ceftaroline fosamil
3549
Keemiline ebastabiilsus Sobimatu
Süsteravim Amikacin sulfate
Süsteravim Ceftazidime
3549
Ühilduv
Süsteravim Amikacin sulfate 15 mg/ml
Süsteravim Ceftazidime 125 mg/ml
süstevesi 2141
Keemiline ebastabiilsus Sobimatu
Süsteravim Amikacin sulfate
Süsteravim Ceftizoxime sodium
3549
Kohene sade Sobimatu
Süsteravim Amikacin sulfate 5 mg/ml
Süsteravim Ceftobiprole medocaril sodium 2 mg/ml
glükoos 5% 2269
Keemiline ebastabiilsus Sobimatu
Süsteravim Amikacin sulfate
Süsteravim Ceftobiprole medocaril sodium
3549
Kohene sade Sobimatu
Süsteravim Amikacin sulfate 5 mg/ml
Süsteravim Ceftobiprole medocaril sodium 2 mg/ml
Ringer laktaat 2269
Ühilduv
Süsteravim Amikacin sulfate 5 mg/ml
Süsteravim Ceftolozane / tazobactam 10/5 mg/ml
glükoos 5% 3828
Ühilduv
Süsteravim Amikacin sulfate 5 mg/ml
Süsteravim Ceftolozane / tazobactam 10/5 mg/ml
naatriumkloriid 0.9% 3828
Keemiline ebastabiilsus Sobimatu
Süsteravim Amikacin sulfate
Süsteravim Ceftolozane / tazobactam
3549
Täpsustamata sobimatus Sobimatu
Süsteravim Amikacin sulfate
Süsteravim Ceftriaxone disodium
3523
Keemiline ebastabiilsus Sobimatu
Süsteravim Amikacin sulfate
Süsteravim Ceftriaxone disodium
3549
Keemiline ebastabiilsus Sobimatu
Süsteravim Amikacin sulfate
Süsteravim Cefuroxime sodium
3549
Täpsustamata sobimatus Sobimatu
Süsteravim Amikacin sulfate
Süsteravim Cefuroxime sodium
3687
Keemiline ebastabiilsus Sobimatu
Süsteravim Amikacin sulfate
Süsteravim Cefuzonam
3549
Täpsustamata sobimatus Sobimatu
Süsteravim Amikacin sulfate
Süsteravim Chlorothiazide sodium
3549
Ühilduv
Süsteravim Amikacin sulfate 2.5 mg/ml
Süsteravim Cimetidine hydrochloride 1.5 mg/ml
glükoos 5% 1201
Keemiline ebastabiilsus Sobimatu
Süsteravim Amikacin sulfate 4 mg/ml
Süsteravim Ciprofloxacin lactate 1.5 mg/ml
naatriumkloriid 0.9% 434
Keemiline ebastabiilsus Sobimatu
Süsteravim Amikacin sulfate 4 mg/ml
Süsteravim Ciprofloxacin lactate 1.5 mg/ml
glükoos 5% 434
Ühilduv
Süsteravim Amikacin sulfate 5 mg/ml
Süsteravim Cisatracurium besylate 0.1 >> 5 mg/ml
glükoos 5% 299
Ühilduv
Süsteravim Amikacin sulfate 4 mg/ml
Süsteravim Clindamycin phosphate 9 mg/ml
naatriumkloriid 0.9% 565
Ühilduv
Süsteravim Amikacin sulfate 250 mg/ml
Parenteraalse toitmise (lipiide tasuta) 999
Ühilduv
Süsteravim Amikacin sulfate 5 mg/ml
Süsteravim Ciprofloxacin lactate 2 mg/ml
glükoos 5% 285
Keemiline ebastabiilsus Sobimatu
Süsteravim Amikacin sulfate
Süsteravim Cisplatin
3578
Ühilduv
Süsteravim Amikacin sulfate 75 mg/ml
Süsteravim Clindamycin phosphate 90 mg/ml
naatriumkloriid 0.9% 639
Ühilduv
Süsteravim Amikacin sulfate
Süsteravim Clindamycin phosphate
naatriumkloriid 0.9% 3526
Subvisuaalne kokkusobimatus Sobimatu
Süsteravim Amikacin sulfate 250 mg/ml
Süsteravim Cloxacillin sodium 100 mg/ml
süstevesi 3012
Täpsustamata sobimatus Sobimatu
Süsteravim Amikacin sulfate
Süsteravim Daunorubicin/cytarabine liposomale
4354
Ühilduv
Süsteravim Amikacin sulfate 5 mg/ml
Parenteraalse toitmise (lipiide tasuta) 316
Ühilduv
Süsteravim Amikacin sulfate 4 mg/ml
Süsteravim Clindamycin phosphate 9 mg/ml
glükoos 5% 565
Ühilduv
Süsteravim Amikacin sulfate
Süsteravim Clindamycin phosphate
glükoos 5% 3526
Keemiline ebastabiilsus Sobimatu
Süsteravim Amikacin sulfate
Süsteravim Cloxacillin sodium
3549
Täpsustamata sobimatus Sobimatu
Süsteravim Amikacin sulfate
Süsteravim Cyanocobalamine
3549
Kohene hägusus Sobimatu
Süsteravim Amikacin sulfate
Süsteravim Daunorubicin/cytarabine liposomale 0,4 mg/mL
naatriumkloriid 0.9% 4654
Kohene sade Sobimatu
Süsteravim Amikacin sulfate 5 mg/ml
Süsteravim Defibrotide 8 mg/ml
naatriumkloriid 0.9% 3728
Ühilduv
Süsteravim Amikacin sulfate 50 mg/ml
Süsteravim Dexamethasone sodium phosphate 4 mg/ml
naatriumkloriid 0.45% 132
Täpsustamata sobimatus Sobimatu
Süsteravim Amikacin sulfate
Süsteravim Erythromycin lactobionate
3549
Ühilduv
Süsteravim Amikacin sulfate 5 mg/ml
Parenteraalse toitmise (lipiide tasuta) 301
Ühilduv
Süsteravim Amikacin sulfate 5 mg/ml
Süsteravim Dexmedetomidine 4 µg/ml
naatriumkloriid 0.9% 1712
Ühilduv
Süsteravim Amikacin sulfate 5 & 250 mg/ml
Süsteravim Diltiazem hydrochloride 5 mg/ml
naatriumkloriid 0.9% 198
Ühilduv
Süsteravim Amikacin sulfate 5 mg/ml
Süsteravim Docetaxel 0.9 mg/ml
glükoos 5% 1754
Ühilduv
Süsteravim Amikacin sulfate 5 mg/ml
Süsteravim Doripenem 5 mg/ml
naatriumkloriid 0.9% 2262
Ühilduv
Süsteravim Amikacin sulfate 5 mg/ml
Süsteravim Doripenem 5 mg/ml
glükoos 5% 2262
Keemiline ebastabiilsus Sobimatu
Süsteravim Amikacin sulfate
Süsteravim Doripenem
3549
Ühilduv
Süsteravim Amikacin sulfate 2 mg/ml
Süsteravim Enalaprilate 0.05 mg/ml
naatriumkloriid 0.9% 1315
Keemiline ebastabiilsus Sobimatu
Süsteravim Amikacin sulfate
Süsteravim Ertapenem
3549
Täpsustamata sobimatus Sobimatu
Süsteravim Amikacin sulfate
Süsteravim Erythromycin lactobionate
3674
Ühilduv
Süsteravim Amikacin sulfate 5 mg/ml
Süsteravim Esmolol hydrochloride 10 mg/ml
glükoos 5% 384
Ühilduv
Süsteravim Amikacin sulfate 5 mg/ml
Süsteravim Etoposide phosphate 5 mg/ml
glükoos 5% 1410
Ühilduv
Süsteravim Amikacin sulfate 5 mg/ml
Süsteravim Fenoldopam mesylate 80 µg/ml
naatriumkloriid 0.9% 1803
Ühilduv
Süsteravim Amikacin sulfate 5 mg/ml
Süsteravim Filgrastim 30 µg/ml
glükoos 5% 244
Ühilduv
Süsteravim Amikacin sulfate 0.487 >> 0.667 mg/ml
Parenteraalse toitmise (lipiidide) 1868
Ühilduv
Süsteravim Amikacin sulfate 250 mg/ml
Ringer laktaat 4603
Emulsiooni ebastabiilsus 1 tunni pärast Sobimatu
Süsteravim Amikacin sulfate 250 mg/ml
Parenteraalse toitmise (lipiidide) 673
Ühilduv
Süsteravim Amikacin sulfate 5 mg/ml
Süsteravim Filgrastim 40 µg/ml
glükoos 5% 104
Emulsiooni kohene ebastabiilsus Sobimatu
Süsteravim Amikacin sulfate 50 mg/ml
Parenteraalse toitmise (lipiidide) 132
Ühilduv
Süsteravim Amikacin sulfate 5 mg/ml
Parenteraalse toitmise (lipiidide) 1415
Kohene sade Sobimatu
Süsteravim Amikacin sulfate
Süsteravim Flucloxacillin sodium
3522
Ühilduv
Süsteravim Amikacin sulfate 20 mg/ml
Süsteravim Fluconazole 2 mg/ml
naatriumkloriid 0.9% 496
Ühilduv
Süsteravim Amikacin sulfate 5 mg/ml
Süsteravim Fluconazole 2 mg/ml
mitte ükski 256
Ühilduv
Süsteravim Amikacin sulfate 5 mg/ml
Süsteravim Fludarabine phosphate 1 mg/ml
glükoos 5% 492
Ühilduv
Süsteravim Amikacin sulfate 20 mg/ml
Süsteravim Foscarnet sodium 24 mg/ml
mitte ükski 73
Ühilduv
Süsteravim Amikacin sulfate 5 mg/ml
Süsteravim Fosfomycin 30 mg/ml
naatriumkloriid 0.9% 4055
Ühilduv
Süsteravim Amikacin sulfate 5 mg/ml
Süsteravim Fosfomycin 30 mg/ml
glükoos 5% 4055
Kohene sade Sobimatu
Süsteravim Amikacin sulfate 2 mg/ml
Süsteravim Furosemide 0,16 mg/ml
naatriumkloriid 0.9% 367
Kohene sade Sobimatu
Süsteravim Amikacin sulfate 2 mg/ml
Süsteravim Furosemide 0,16 mg/ml
glükoos 5% 367
Ühilduv
Süsteravim Amikacin sulfate 5 mg/ml
Süsteravim Gemcitabine hydrochloride 10 mg/ml
naatriumkloriid 0.9% 1423
Ühilduv
Süsteravim Amikacin sulfate 5 mg/ml
Süsteravim Granisetron hydrochloride 0.05 mg/ml
glükoos 5% 182
Täpsustamata sobimatus Sobimatu
Süsteravim Amikacin sulfate
Süsteravim Heparin sodium
3549
Täpsustamata sobimatus Sobimatu
Süsteravim Amikacin sulfate
Süsteravim Heparin sodium
3540
Kohene sade Sobimatu
Süsteravim Amikacin sulfate
Süsteravim Heparin sodium
1022
Ühilduv
Süsteravim Amikacin sulfate 5 mg/ml
Süsteravim Hetastarch 60 mg/ml
konkreetsed lahusti 1721
Kohene sade Sobimatu
Süsteravim Amikacin sulfate 5 mg/ml
Süsteravim Hetastarch 60 mg/ml
naatriumkloriid 0.9% 472
Ühilduv
Süsteravim Amikacin sulfate 5 mg/ml
Süsteravim Hydromorphone hydrochloride 0.2 mg/ml
glükoos 5% 405
Kohene hägusus Sobimatu
Süsteravim Amikacin sulfate 50 mg/ml
Süsteravim Ibuprofen lysinate 10 mg/ml
süstevesi 4419
Kohene hägusus Sobimatu
Süsteravim Amikacin sulfate 250 mg/ml
Süsteravim Ibuprofen lysinate 10 mg/ml
süstevesi 4419
Ühilduv
Süsteravim Amikacin sulfate 5 mg/ml
Süsteravim Idarubicin hydrochloride 1 mg/ml
naatriumkloriid 0.9% 491
Keemiline ebastabiilsus Sobimatu
Süsteravim Amikacin sulfate
Süsteravim Imipenem - cilastatin sodium
3549
Ühilduv
Süsteravim Amikacin sulfate 5 mg/ml
Süsteravim Isavuconazonium sulfate 1.5 mg/ml
glükoos 5% 3829
Ühilduv
Süsteravim Amikacin sulfate 5 mg/ml
Süsteravim Isavuconazonium sulfate 1.5 mg/ml
naatriumkloriid 0.9% 3829
Ühilduv
Süsteravim Amikacin sulfate 250 mg/ml
Süsteravim Ketamine hydrochloride 50 mg/ml
2109
Ühilduv
Süsteravim Amikacin sulfate 5 mg/ml
Süsteravim Labetalol hydrochloride 1 mg/ml
glükoos 5% 386
Ühilduv
Süsteravim Amikacin sulfate 5 mg/ml
Süsteravim Lansoprazole 0.55 mg/ml
naatriumkloriid 0.9% 1625
Ühilduv
Süsteravim Amikacin sulfate 50 mg/ml
Süsteravim Levofloxacine 5 mg/ml
glükoos 5% 1072
Ühilduv
Süsteravim Amikacin sulfate 5 mg/ml
Süsteravim Linezolid 2 mg/ml
mitte ükski 1925
Ühilduv
Süsteravim Amikacin sulfate 5 mg/ml
Süsteravim Lorazepam 0.33 mg/ml
naatriumkloriid 0.9% 186
Ühilduv
Süsteravim Amikacin sulfate 5 mg/ml
Süsteravim Magnesium sulfate 16.67 >> 100 mg/ml
glükoos 5% 1047
Ühilduv
Süsteravim Amikacin sulfate 5 mg/ml
Süsteravim Melphalan 0.1 mg/ml
naatriumkloriid 0.9% 169
Ühilduv
Süsteravim Amikacin sulfate 250 mg/ml
Süsteravim Meropenem 50 mg/ml
4389
Ühilduv
Süsteravim Amikacin sulfate 250 mg/ml
Süsteravim Meropenem 50 mg/ml
süstevesi 4319
Keemiline ebastabiilsus Sobimatu
Süsteravim Amikacin sulfate
Süsteravim Meropenem
3549
Ühilduv
Süsteravim Amikacin sulfate
Süsteravim Metronidazole
3594
Ühilduv
Süsteravim Amikacin sulfate 5 mg/ml
Süsteravim Metronidazole 5 mg/ml
mitte ükski 1035
Ühilduv
Süsteravim Amikacin sulfate 5 mg/ml
Süsteravim Midazolam hydrochloride 5 mg/ml
mitte ükski 186
Ühilduv
Süsteravim Amikacin sulfate 5 mg/ml
Süsteravim Morphine sulfate 1 mg/ml
glükoos 5% 405
Ühilduv
Süsteravim Amikacin sulfate 250 mg/ml
Süsteravim N-acetylcysteine 200 mg/ml
mitte ükski 3766
Keemiline ebastabiilsus Sobimatu
Süsteravim Amikacin sulfate
Süsteravim Nafcillin sodium
3549
Ühilduv
Süsteravim Amikacin sulfate 2,5 mg/ml
Süsteravim Nalbuphine hydrochloride 0,05 >> 0,33 mg/ml
naatriumkloriid 0.9% 4867
Ühilduv
Süsteravim Amikacin sulfate 250 mg/ml
Süsteravim Naloxone hydrochloride 0.4 mg/ml
mitte ükski 3408
Ühilduv
Süsteravim Amikacin sulfate 2 mg/ml
Süsteravim Nicardipine hydrochloride 0.1 mg/ml
glükoos 5% 1490
Ühilduv
Süsteravim Amikacin sulfate 2 mg/ml
Süsteravim Nicardipine hydrochloride 0.1 mg/ml
naatriumkloriid 0.9% 1490
Ühilduv
Süsteravim Amikacin sulfate 5 mg/ml
Süsteravim Ondansetron hydrochloride 1 mg/ml
naatriumkloriid 0.9% 334
Keemiline ebastabiilsus Sobimatu
Süsteravim Amikacin sulfate
Süsteravim Oxacillin sodium
3549
Ühilduv
Süsteravim Amikacin sulfate 5 mg/ml
Süsteravim Paclitaxel 1.2 mg/ml
glükoos 5% 248
Kohene sade Sobimatu
Süsteravim Amikacin sulfate
Süsteravim Pantoprazole sodium
2090
Ühilduv
Süsteravim Amikacin sulfate 250 mg/ml
Süsteravim Paracetamol 10 mg/ml
4742
Ühilduv
Süsteravim Amikacin sulfate 5 mg/ml
Süsteravim Pemetrexed disodium 20 mg/ml
naatriumkloriid 0.9% 1953
Keemiline ebastabiilsus Sobimatu
Süsteravim Amikacin sulfate
Süsteravim Penicillin G potassium
3549
Keemiline ebastabiilsus Sobimatu
Süsteravim Amikacin sulfate
Süsteravim Penicillin G sodium
3549
Ühilduv
Süsteravim Amikacin sulfate 50 mg/ml
Süsteravim Pethidine hydrochloride 100 mg/ml
naatriumkloriid 0.45% 132
Ühilduv
Süsteravim Amikacin sulfate 5 mg/ml
Süsteravim Pethidine hydrochloride 10 mg/ml
glükoos 5% 405
Täpsustamata sobimatus Sobimatu
Süsteravim Amikacin sulfate
Süsteravim Phenytoin sodium
3549
Ühilduv
Süsteravim Amikacin sulfate 40 mg/ml
Süsteravim Phloroglucinol 2,5 mg/ml
3791
Keemiline ebastabiilsus Sobimatu
Süsteravim Amikacin sulfate
Süsteravim Piperacillin sodium
3549
Keemiline ebastabiilsus Sobimatu
Süsteravim Amikacin sulfate
Süsteravim Piperacillin sodium / tazobactam
3549
Keemiline ebastabiilsus Sobimatu
Süsteravim Amikacin sulfate
Süsteravim Piperacillin sodium / tazobactam
3586
Ühilduv
Süsteravim Amikacin sulfate
Süsteravim Posaconazole
4380
Kohene sade Sobimatu
Süsteravim Amikacin sulfate 5 mg/ml
Süsteravim Propofol 10 mg/ml
mitte ükski 300
Täpsustamata sobimatus Sobimatu
Süsteravim Amikacin sulfate
Süsteravim Pyridoxine hydrochloride
3549
Ühilduv
Süsteravim Amikacin sulfate 5 mg/ml
Süsteravim Remifentanil hydrochloride 25 & 250 µg/ml
naatriumkloriid 0.9% 59
Kohene sade Sobimatu
Süsteravim Amikacin sulfate 250 mg/ml
Süsteravim Salbutamol sulfate 1 mg/ml
mitte ükski 3216
Ühilduv
Süsteravim Amikacin sulfate 5 mg/ml
Süsteravim Sargramostim 10 µg/ml
naatriumkloriid 0.9% 335
Ühilduv
Süsteravim Amikacin sulfate 10 mg/ml
Süsteravim Sulbactam/durlobactam 15/15 mg/ml
naatriumkloriid 0.9% 4801
Ühilduv
Süsteravim Amikacin sulfate 5 mg/ml
Süsteravim Tedizolid phosphate 0.8 mg/ml
naatriumkloriid 0.9% 3827
Täpsustamata sobimatus Sobimatu
Süsteravim Amikacin sulfate
Süsteravim Teicoplanine
3656
Ühilduv
Süsteravim Amikacin sulfate
naatriumkloriid 0.9% 5076
Täpsustamata sobimatus Sobimatu
Süsteravim Amikacin sulfate 50 mg/ml
Süsteravim Propofol
4524
Täpsustamata sobimatus Sobimatu
Süsteravim Amikacin sulfate
Süsteravim Temocilline
2296
Ühilduv
Süsteravim Amikacin sulfate 15 mg/ml
Süsteravim Temocilline 83.33 mg/ml
süstevesi 2231
Keemiline ebastabiilsus Sobimatu
Süsteravim Amikacin sulfate
Süsteravim Temocilline
3549
Ühilduv
Süsteravim Amikacin sulfate 5 mg/ml
Süsteravim Teniposide 0.1 mg/ml
glükoos 5% 905
Täpsustamata sobimatus Sobimatu
Süsteravim Amikacin sulfate
Süsteravim Thiamine hydrochloride
3549
Kohene sade Sobimatu
Süsteravim Amikacin sulfate 250 mg/ml
Süsteravim Thiopental sodium 25 mg/ml
naatriumkloriid 0.9% 3767
Täpsustamata sobimatus Sobimatu
Süsteravim Amikacin sulfate
Süsteravim Thiopental sodium
3549
Ühilduv
Süsteravim Amikacin sulfate 5 mg/ml
Süsteravim Thiotepa 1 mg/ml
glükoos 5% 249
Keemiline ebastabiilsus Sobimatu
Süsteravim Amikacin sulfate
Süsteravim Ticarcillin / clavulanic acid
3587
Keemiline ebastabiilsus Sobimatu
Süsteravim Amikacin sulfate
Süsteravim Ticarcillin / clavulanic acid
3549
Ühilduv
Süsteravim Amikacin sulfate
Süsteravim Tigecycline
naatriumkloriid 0.9% 3332
Ühilduv
Süsteravim Amikacin sulfate 15 mg/ml
Süsteravim Vancomycin hydrochloride 10 mg/ml
glükoos 5% 3385
Ühilduv
Süsteravim Amikacin sulfate 2 mg/ml
Süsteravim Verapamil hydrochloride 0.08 mg/ml
naatriumkloriid 0.9% 1057
Ühilduv
Süsteravim Amikacin sulfate 2 mg/ml
Süsteravim Verapamil hydrochloride 0.08 mg/ml
glükoos 5% 1057
Kohene hägusus Sobimatu
Süsteravim Amikacin sulfate 5 mg/ml
Süsteravim Vinorelbine tartrate 1 mg/ml
naatriumkloriid 0.9% 84
Ühilduv
Süsteravim Amikacin sulfate 5 mg/ml
Süsteravim Warfarin sodium 0.1 & 2 mg/ml
glükoos 5% 552
Ühilduv
Süsteravim Amikacin sulfate 5 mg/ml
Süsteravim Warfarin sodium 0.1 & 2 mg/ml
naatriumkloriid 0.9% 552
Ühilduv
Süsteravim Amikacin sulfate 4 mg/ml
Süsteravim Zidovudine 4 mg/ml
glükoos 5% 337

  Mentions Légales