Ultimele actualizari :
27/04/2026
Antibiotic   Amikacin sulfate  
Injectabil
Stabilitatea in solutie Stabilitatea in amestec Factorii care influenteaza stabilitatea Compatibilitate Microunde Bibliografie pdf
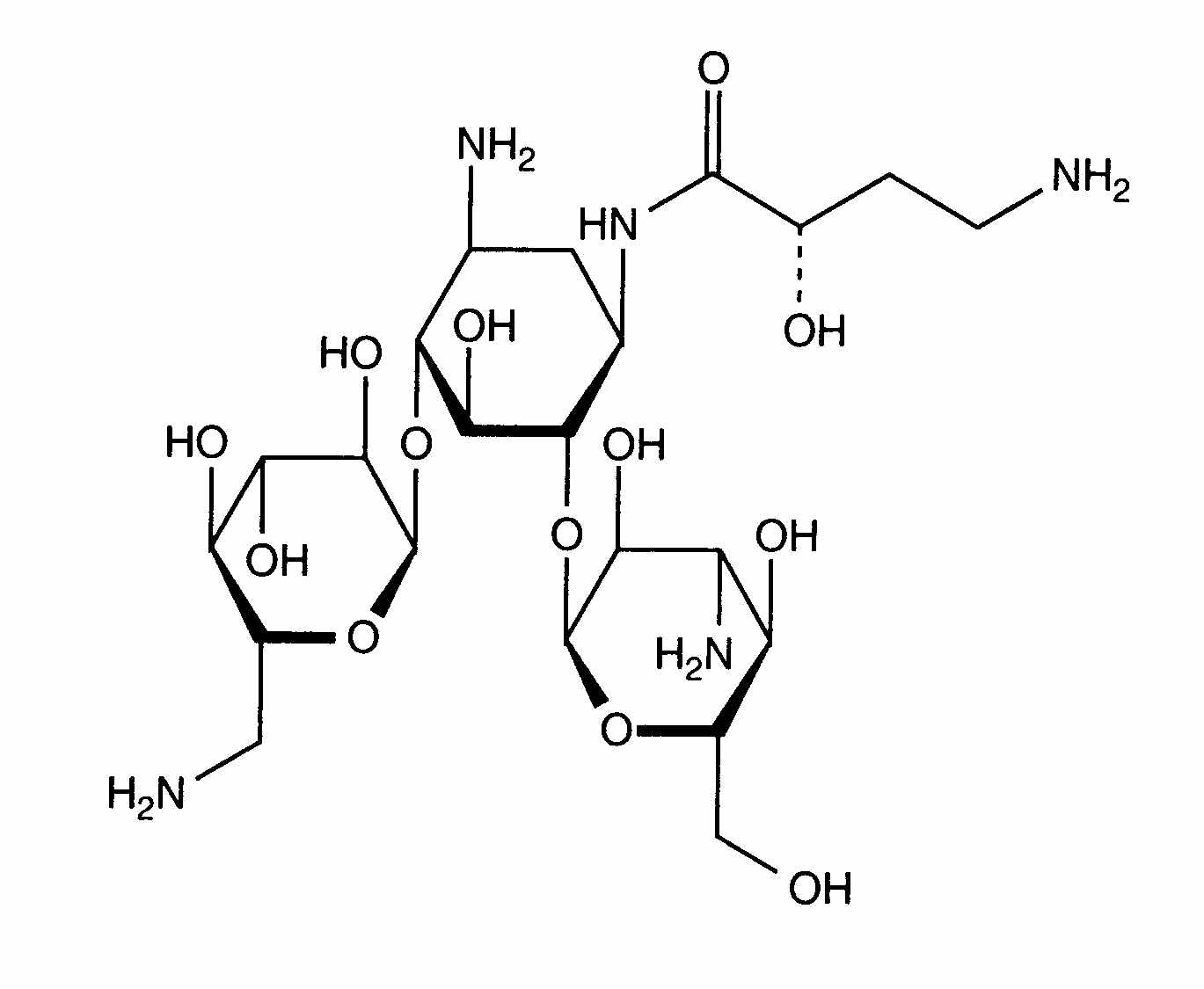
   Formula chimica  

Denumirea comerciala   Denumirea comerciala     

Trade names are indicative and excipients composition can be different depending on the country and manufacturers

Adnet India
Agnicin Mexic
Akamin Ecuador
Akim Ecuador
Amicacil Brazilia
Amicilon Brazilia
Amicin Malaezia
Amicip Venezuela
Amijeksin Turcia
Amikabiot Ecuador, Peru
Amikacin Arabia Saudita, Canada, Egipt, Germania, Iran, Malaezia, Marea Britanie, noua Zeelandă, SUA
Amikacina Argentina, Chilli, Columbia, Ecuador, Italia, Mexic, Peru, Spania, Venezuela
Amikacine Belgia, Franta, Maroc, Olanda
Amikafur Mexic
Amikagram Peru
Amikalem Mexic
Amikamed Peru
Amikamek Peru
Amikan Italia
Amikavax Venezuela
Amikaver Turcia
Amikayect Mexic
Amikem Peru
Amiketem Turcia
Amikin Arabia Saudita, Australia, Brazilia, Columbia, Ecuador, Egipt, Elvetia, Irlanda, Marea Britanie, Mexic, Peru, Polonia, SUA, Tunisia, Ungaria
Amiklin Franta, Turcia
Amikosit Romania, Tunisia, Turcia
Amikram Peru
Amukin Belgia, Luxemburg, Olanda
Apalin Malaezia
Baxi K Chilli, Mexic
Behcacin India, Venezuela
Belka India
Biclin Austria, Finlanda, Germania, Mexic, Portugalia, Spania, Suedia
Biodacyna Polonia
Biokacin Mexic
Briklin Grecia
Cadicin India
Chemacin Italia
Cikabit India
Cinamica India
Cinas India
Consumonit Grecia
Domak India
Doxocar Argentina
Elcin India
Elmik India
Emcin India
Emica India
Farcyclin Grecia
Flexelite Grecia
Greini Argentina
Ipacin Iran
Itukacin Peru
Kancin Grecia
Lanomycin Grecia
Lukadin Italia
Masmika India
Mediamik Italia
Micalpha Grecia
Micigen Mexic
Migracin Italia
Mikacin Arabia Saudita
Nekacin Italia
Novamin Brazilia
Orlobin Grecia
Remikin Grecia
Rovericlin Grecia
Uzix Grecia
Compatibilitate   Injectabil   Compatibilitate : Amikacin sulfate              
Acest ecran indică compatibilitățile sau incompatibilitățile cu, în acest caz, tipul de incompatibilitate (precipitații, schimbarea culorii, modificarea unei emulsii etc.). Compatibilitățile prezentate aici sunt în mare parte numai fizice, stabilitatea chimică a fiecărei molecule fiind rareori evaluată. Evaluarea acestor amestecuri a fost studiată pentru a lua în considerare posibilitatea administrării site-ului Y la pacient. Aceste date nu pot fi utilizate pentru prepararea în prealabil a amestecurilor în pungi sau seringi. Acest tip de informații este disponibil în ecranul „Stabilitate în amestec».
Molecula (substanta activa) Solvent Bibiografie
Compatibil
Injectabil Amikacin sulfate 5 mg/ml
Injectabil Aciclovir sodium 5 mg/ml
Glucoza 5% 336
Precipitații după 1 oră Incompatibil
Injectabil Amikacin sulfate 5 mg/ml
Injectabil Allopurinol sodium 3 mg/ml
clorura de sodiu 0,9% 307
Compatibil
Injectabil Amikacin sulfate 5 mg/ml
Injectabil Amifostine 10 mg/ml
Glucoza 5% 3
Compatibil
Injectabil Amikacin sulfate 5 mg/ml
Injectabil Amiodarone hydrochloride 4 mg/ml
clorura de sodiu 0,9% 385
Compatibil
Injectabil Amikacin sulfate 5 mg/ml
Injectabil Amiodarone hydrochloride 4 mg/ml
Glucoza 5% 385
Instabilitate chimică Incompatibil
Injectabil Amikacin sulfate
Injectabil Amoxicillin sodium
3527
Instabilitate chimică Incompatibil
Injectabil Amikacin sulfate
Injectabil Amoxicillin sodium
3549
Compatibil
Injectabil Amikacin sulfate 250 mg/ml
Injectabil Amoxicillin sodium / clavulanic acid 100/10 mg/ml
3824
Instabilitate chimică Incompatibil
Injectabil Amikacin sulfate
Injectabil Amoxicillin sodium / clavulanic acid
3549
Incompatibilitate nespecificată Incompatibil
Injectabil Amikacin sulfate
Injectabil Amoxicillin sodium / clavulanic acid
3545
Incompatibilitate nespecificată Incompatibil
Injectabil Amikacin sulfate
Injectabil Amphotericin B
3549
Precipitații imediate Incompatibil
Injectabil Amikacin sulfate 5 mg/ml
Injectabil Amphotericin B cholesteryl sulfate complex 0.83 mg/ml
Glucoza 5% 921
Instabilitate chimică Incompatibil
Injectabil Amikacin sulfate
Injectabil Ampicillin sodium
3549
Instabilitate chimică Incompatibil
Injectabil Amikacin sulfate
Injectabil Ampicillin sodium - sulbactam sodium
3549
Compatibil
Injectabil Amikacin sulfate 5 mg/ml
Injectabil Amsacrine 1 mg/ml
Glucoza 5% 253
Compatibil
Injectabil Amikacin sulfate 5 mg/ml
Injectabil Anidulafungin 0.5 mg/ml
Glucoza 5% 1982
Incompatibilitate nespecificată Incompatibil
Injectabil Amikacin sulfate
Injectabil Ascorbic acid
3549
Precipitații imediate Incompatibil
Injectabil Amikacin sulfate 100 mg/ml
Injectabil Azithromycine 2 mg/ml
clorura de sodiu 0,9% 1800
Instabilitate chimică Incompatibil
Injectabil Amikacin sulfate
Injectabil Aztreonam
3549
Compatibil
Injectabil Amikacin sulfate 5 mg/ml
Injectabil Aztreonam 40 mg/ml
Glucoza 5% 99
Compatibil
Injectabil Amikacin sulfate 5 mg/ml
Injectabil Bivalirudin 5 mg/ml
Glucoza 5% 1713
Compatibil
Injectabil Amikacin sulfate 250 mg/ml
Injectabil Caffeine 10 mg/ml
fara 3964
Incompatibil
Injectabil Amikacin sulfate
Injectabil Calcium gluconate
4964
Incompatibilitate nespecificată Incompatibil
Injectabil Amikacin sulfate
Injectabil Calcium gluconate
3644
Compatibil
Injectabil Amikacin sulfate 5 mg/ml
Injectabil Caspofungin acetate 0,7 mg/ml
clorura de sodiu 0,9% 2247
Instabilitate chimică Incompatibil
Injectabil Amikacin sulfate
Injectabil Cefalotin sodium
3549
Instabilitate chimică Incompatibil
Injectabil Amikacin sulfate
Injectabil Cefamandole nafate
3549
Incompatibilitate nespecificată Incompatibil
Injectabil Amikacin sulfate
Injectabil Cefamandole nafate
3546
Instabilitate chimică Incompatibil
Injectabil Amikacin sulfate
Injectabil Cefazolin sodium
3549
Compatibil
Injectabil Amikacin sulfate 6 mg/ml
Injectabil Cefepime dihydrochloride 40 mg/ml
clorura de sodiu 0,9% 3548
Compatibil
Injectabil Amikacin sulfate 6 mg/ml
Injectabil Cefepime dihydrochloride 40 mg/ml
Glucoza 5% 3548
Compatibil
Injectabil Amikacin sulfate 15 mg/ml
Injectabil Cefepime dihydrochloride 125 mg/ml
apa pentru preparate injectabile 2141
Instabilitate chimică Incompatibil
Injectabil Amikacin sulfate
Injectabil Cefepime dihydrochloride
3549
Compatibil
Injectabil Amikacin sulfate 5 mg/ml
Injectabil Cefiderocol sulfate tosylate 20 mg/mL
Glucoza 5% 4528
Instabilitate chimică Incompatibil
Injectabil Amikacin sulfate
Injectabil Cefmenoxime
3549
Instabilitate chimică Incompatibil
Injectabil Amikacin sulfate
Injectabil Cefmetazole sodium
3549
Instabilitate chimică Incompatibil
Injectabil Amikacin sulfate
Injectabil Cefonicid sodium
3549
Instabilitate chimică Incompatibil
Injectabil Amikacin sulfate
Injectabil Cefoperazone sodium
3549
Incompatibilitate nespecificată Incompatibil
Injectabil Amikacin sulfate
Injectabil Cefoperazone sodium
3544
Instabilitate chimică Incompatibil
Injectabil Amikacin sulfate
Injectabil Ceforanide
3549
Instabilitate chimică Incompatibil
Injectabil Amikacin sulfate
Injectabil Cefotaxime sodium
3549
Instabilitate chimică Incompatibil
Injectabil Amikacin sulfate
Injectabil Cefoxitin sodium
3549
Incompatibilitate nespecificată Incompatibil
Injectabil Amikacin sulfate
Injectabil Cefpirome sulfate
3677
Compatibil
Injectabil Amikacin sulfate 5 mg/ml
Injectabil Cefpirome sulfate 50 mg/ml
clorura de sodiu 0,45% 280
Compatibil
Injectabil Amikacin sulfate 5 mg/ml
Injectabil Cefpirome sulfate 50 mg/ml
Glucoza 5% 280
Compatibil
Injectabil Amikacin sulfate 5 mg/ml
Injectabil Cefpirome sulfate 50 mg/ml
clorura de sodiu 0,9% 280
Compatibil
Injectabil Amikacin sulfate 5 mg/ml
Injectabil Cefpirome sulfate 50 mg/ml
Solutie Ringer lactat 280
Instabilitate chimică Incompatibil
Injectabil Amikacin sulfate
Injectabil Cefpirome sulfate
3549
Compatibil
Injectabil Amikacin sulfate 5 mg/ml
Injectabil Ceftaroline fosamil 2,22 mg/ml
Solutie Ringer lactat 3249
Compatibil
Injectabil Amikacin sulfate 5 mg/ml
Injectabil Ceftaroline fosamil 2,22 mg/ml
Glucoza 5% 3249
Compatibil
Injectabil Amikacin sulfate 5 mg/ml
Injectabil Ceftaroline fosamil 2,22 mg/ml
clorura de sodiu 0,9% 3249
Incompatibilitate nespecificată Incompatibil
Injectabil Amikacin sulfate
Injectabil Ceftazidime
3883
Incompatibilitate nespecificată Incompatibil
Injectabil Amikacin sulfate
Injectabil Ceftazidime
3543
Compatibil
Injectabil Amikacin sulfate 15 mg/ml
Injectabil Ceftazidime 83.3 mg/ml
1759
Instabilitate chimică Incompatibil
Injectabil Amikacin sulfate
Injectabil Ceftazidime Avibactam
3549
Precipitații imediate Incompatibil
Injectabil Amikacin sulfate 5 mg/ml
Injectabil Ceftobiprole medocaril sodium 2 mg/ml
clorura de sodiu 0,9% 2269
Incompatibilitate nespecificată Incompatibil
Injectabil Amikacin sulfate
Injectabil Ceftobiprole medocaril sodium
4650
Compatibil
Injectabil Amikacin sulfate
Glucoza 5% 5076
Instabilitate chimică Incompatibil
Injectabil Amikacin sulfate
Injectabil Ceftaroline fosamil
3549
Instabilitate chimică Incompatibil
Injectabil Amikacin sulfate
Injectabil Ceftazidime
3549
Compatibil
Injectabil Amikacin sulfate 15 mg/ml
Injectabil Ceftazidime 125 mg/ml
apa pentru preparate injectabile 2141
Instabilitate chimică Incompatibil
Injectabil Amikacin sulfate
Injectabil Ceftizoxime sodium
3549
Precipitații imediate Incompatibil
Injectabil Amikacin sulfate 5 mg/ml
Injectabil Ceftobiprole medocaril sodium 2 mg/ml
Glucoza 5% 2269
Instabilitate chimică Incompatibil
Injectabil Amikacin sulfate
Injectabil Ceftobiprole medocaril sodium
3549
Precipitații imediate Incompatibil
Injectabil Amikacin sulfate 5 mg/ml
Injectabil Ceftobiprole medocaril sodium 2 mg/ml
Solutie Ringer lactat 2269
Compatibil
Injectabil Amikacin sulfate 5 mg/ml
Injectabil Ceftolozane / tazobactam 10/5 mg/ml
Glucoza 5% 3828
Compatibil
Injectabil Amikacin sulfate 5 mg/ml
Injectabil Ceftolozane / tazobactam 10/5 mg/ml
clorura de sodiu 0,9% 3828
Instabilitate chimică Incompatibil
Injectabil Amikacin sulfate
Injectabil Ceftolozane / tazobactam
3549
Incompatibilitate nespecificată Incompatibil
Injectabil Amikacin sulfate
Injectabil Ceftriaxone disodium
3523
Instabilitate chimică Incompatibil
Injectabil Amikacin sulfate
Injectabil Ceftriaxone disodium
3549
Instabilitate chimică Incompatibil
Injectabil Amikacin sulfate
Injectabil Cefuroxime sodium
3549
Incompatibilitate nespecificată Incompatibil
Injectabil Amikacin sulfate
Injectabil Cefuroxime sodium
3687
Instabilitate chimică Incompatibil
Injectabil Amikacin sulfate
Injectabil Cefuzonam
3549
Incompatibilitate nespecificată Incompatibil
Injectabil Amikacin sulfate
Injectabil Chlorothiazide sodium
3549
Compatibil
Injectabil Amikacin sulfate 2.5 mg/ml
Injectabil Cimetidine hydrochloride 1.5 mg/ml
Glucoza 5% 1201
Instabilitate chimică Incompatibil
Injectabil Amikacin sulfate 4 mg/ml
Injectabil Ciprofloxacin lactate 1.5 mg/ml
clorura de sodiu 0,9% 434
Instabilitate chimică Incompatibil
Injectabil Amikacin sulfate 4 mg/ml
Injectabil Ciprofloxacin lactate 1.5 mg/ml
Glucoza 5% 434
Compatibil
Injectabil Amikacin sulfate 5 mg/ml
Injectabil Cisatracurium besylate 0.1 >> 5 mg/ml
Glucoza 5% 299
Compatibil
Injectabil Amikacin sulfate 4 mg/ml
Injectabil Clindamycin phosphate 9 mg/ml
clorura de sodiu 0,9% 565
Compatibil
Injectabil Amikacin sulfate 250 mg/ml
Nutritie parenterala (amestec binar) 999
Compatibil
Injectabil Amikacin sulfate 5 mg/ml
Injectabil Ciprofloxacin lactate 2 mg/ml
Glucoza 5% 285
Instabilitate chimică Incompatibil
Injectabil Amikacin sulfate
Injectabil Cisplatin
3578
Compatibil
Injectabil Amikacin sulfate 75 mg/ml
Injectabil Clindamycin phosphate 90 mg/ml
clorura de sodiu 0,9% 639
Compatibil
Injectabil Amikacin sulfate
Injectabil Clindamycin phosphate
clorura de sodiu 0,9% 3526
Incompatibilitate subvisuală Incompatibil
Injectabil Amikacin sulfate 250 mg/ml
Injectabil Cloxacillin sodium 100 mg/ml
apa pentru preparate injectabile 3012
Incompatibilitate nespecificată Incompatibil
Injectabil Amikacin sulfate
Injectabil Daunorubicin/cytarabine liposomale
4354
Compatibil
Injectabil Amikacin sulfate 5 mg/ml
Nutritie parenterala (amestec binar) 316
Compatibil
Injectabil Amikacin sulfate 4 mg/ml
Injectabil Clindamycin phosphate 9 mg/ml
Glucoza 5% 565
Compatibil
Injectabil Amikacin sulfate
Injectabil Clindamycin phosphate
Glucoza 5% 3526
Instabilitate chimică Incompatibil
Injectabil Amikacin sulfate
Injectabil Cloxacillin sodium
3549
Incompatibilitate nespecificată Incompatibil
Injectabil Amikacin sulfate
Injectabil Cyanocobalamine
3549
Turbiditate imediată Incompatibil
Injectabil Amikacin sulfate
Injectabil Daunorubicin/cytarabine liposomale 0,4 mg/mL
clorura de sodiu 0,9% 4654
Precipitații imediate Incompatibil
Injectabil Amikacin sulfate 5 mg/ml
Injectabil Defibrotide 8 mg/ml
clorura de sodiu 0,9% 3728
Compatibil
Injectabil Amikacin sulfate 50 mg/ml
Injectabil Dexamethasone sodium phosphate 4 mg/ml
clorura de sodiu 0,45% 132
Incompatibilitate nespecificată Incompatibil
Injectabil Amikacin sulfate
Injectabil Erythromycin lactobionate
3549
Compatibil
Injectabil Amikacin sulfate 5 mg/ml
Nutritie parenterala (amestec binar) 301
Compatibil
Injectabil Amikacin sulfate 5 mg/ml
Injectabil Dexmedetomidine 4 µg/ml
clorura de sodiu 0,9% 1712
Compatibil
Injectabil Amikacin sulfate 5 & 250 mg/ml
Injectabil Diltiazem hydrochloride 5 mg/ml
clorura de sodiu 0,9% 198
Compatibil
Injectabil Amikacin sulfate 5 mg/ml
Injectabil Docetaxel 0.9 mg/ml
Glucoza 5% 1754
Compatibil
Injectabil Amikacin sulfate 5 mg/ml
Injectabil Doripenem 5 mg/ml
clorura de sodiu 0,9% 2262
Compatibil
Injectabil Amikacin sulfate 5 mg/ml
Injectabil Doripenem 5 mg/ml
Glucoza 5% 2262
Instabilitate chimică Incompatibil
Injectabil Amikacin sulfate
Injectabil Doripenem
3549
Compatibil
Injectabil Amikacin sulfate 2 mg/ml
Injectabil Enalaprilate 0.05 mg/ml
clorura de sodiu 0,9% 1315
Instabilitate chimică Incompatibil
Injectabil Amikacin sulfate
Injectabil Ertapenem
3549
Incompatibilitate nespecificată Incompatibil
Injectabil Amikacin sulfate
Injectabil Erythromycin lactobionate
3674
Compatibil
Injectabil Amikacin sulfate 5 mg/ml
Injectabil Esmolol hydrochloride 10 mg/ml
Glucoza 5% 384
Compatibil
Injectabil Amikacin sulfate 5 mg/ml
Injectabil Etoposide phosphate 5 mg/ml
Glucoza 5% 1410
Compatibil
Injectabil Amikacin sulfate 5 mg/ml
Injectabil Fenoldopam mesylate 80 µg/ml
clorura de sodiu 0,9% 1803
Compatibil
Injectabil Amikacin sulfate 5 mg/ml
Injectabil Filgrastim 30 µg/ml
Glucoza 5% 244
Compatibil
Injectabil Amikacin sulfate 0.487 >> 0.667 mg/ml
Nutriție parenterală (cu lipide) 1868
Compatibil
Injectabil Amikacin sulfate 250 mg/ml
Solutie Ringer lactat 4603
Instabilitatea emulsiei după 1 oră Incompatibil
Injectabil Amikacin sulfate 250 mg/ml
Nutriție parenterală (cu lipide) 673
Compatibil
Injectabil Amikacin sulfate 5 mg/ml
Injectabil Filgrastim 40 µg/ml
Glucoza 5% 104
Instabilitate imediată a emulsiei Incompatibil
Injectabil Amikacin sulfate 50 mg/ml
Nutriție parenterală (cu lipide) 132
Compatibil
Injectabil Amikacin sulfate 5 mg/ml
Nutriție parenterală (cu lipide) 1415
Precipitații imediate Incompatibil
Injectabil Amikacin sulfate
Injectabil Flucloxacillin sodium
3522
Compatibil
Injectabil Amikacin sulfate 20 mg/ml
Injectabil Fluconazole 2 mg/ml
clorura de sodiu 0,9% 496
Compatibil
Injectabil Amikacin sulfate 5 mg/ml
Injectabil Fluconazole 2 mg/ml
fara 256
Compatibil
Injectabil Amikacin sulfate 5 mg/ml
Injectabil Fludarabine phosphate 1 mg/ml
Glucoza 5% 492
Compatibil
Injectabil Amikacin sulfate 20 mg/ml
Injectabil Foscarnet sodium 24 mg/ml
fara 73
Compatibil
Injectabil Amikacin sulfate 5 mg/ml
Injectabil Fosfomycin 30 mg/ml
clorura de sodiu 0,9% 4055
Compatibil
Injectabil Amikacin sulfate 5 mg/ml
Injectabil Fosfomycin 30 mg/ml
Glucoza 5% 4055
Precipitații imediate Incompatibil
Injectabil Amikacin sulfate 2 mg/ml
Injectabil Furosemide 0,16 mg/ml
clorura de sodiu 0,9% 367
Precipitații imediate Incompatibil
Injectabil Amikacin sulfate 2 mg/ml
Injectabil Furosemide 0,16 mg/ml
Glucoza 5% 367
Compatibil
Injectabil Amikacin sulfate 5 mg/ml
Injectabil Gemcitabine hydrochloride 10 mg/ml
clorura de sodiu 0,9% 1423
Compatibil
Injectabil Amikacin sulfate 5 mg/ml
Injectabil Granisetron hydrochloride 0.05 mg/ml
Glucoza 5% 182
Incompatibilitate nespecificată Incompatibil
Injectabil Amikacin sulfate
Injectabil Heparin sodium
3549
Incompatibilitate nespecificată Incompatibil
Injectabil Amikacin sulfate
Injectabil Heparin sodium
3540
Precipitații imediate Incompatibil
Injectabil Amikacin sulfate
Injectabil Heparin sodium
1022
Compatibil
Injectabil Amikacin sulfate 5 mg/ml
Injectabil Hetastarch 60 mg/ml
specific de solvent 1721
Precipitații imediate Incompatibil
Injectabil Amikacin sulfate 5 mg/ml
Injectabil Hetastarch 60 mg/ml
clorura de sodiu 0,9% 472
Compatibil
Injectabil Amikacin sulfate 5 mg/ml
Injectabil Hydromorphone hydrochloride 0.2 mg/ml
Glucoza 5% 405
Turbiditate imediată Incompatibil
Injectabil Amikacin sulfate 50 mg/ml
Injectabil Ibuprofen lysinate 10 mg/ml
apa pentru preparate injectabile 4419
Turbiditate imediată Incompatibil
Injectabil Amikacin sulfate 250 mg/ml
Injectabil Ibuprofen lysinate 10 mg/ml
apa pentru preparate injectabile 4419
Compatibil
Injectabil Amikacin sulfate 5 mg/ml
Injectabil Idarubicin hydrochloride 1 mg/ml
clorura de sodiu 0,9% 491
Instabilitate chimică Incompatibil
Injectabil Amikacin sulfate
Injectabil Imipenem - cilastatin sodium
3549
Compatibil
Injectabil Amikacin sulfate 5 mg/ml
Injectabil Isavuconazonium sulfate 1.5 mg/ml
Glucoza 5% 3829
Compatibil
Injectabil Amikacin sulfate 5 mg/ml
Injectabil Isavuconazonium sulfate 1.5 mg/ml
clorura de sodiu 0,9% 3829
Compatibil
Injectabil Amikacin sulfate 250 mg/ml
Injectabil Ketamine hydrochloride 50 mg/ml
2109
Compatibil
Injectabil Amikacin sulfate 5 mg/ml
Injectabil Labetalol hydrochloride 1 mg/ml
Glucoza 5% 386
Compatibil
Injectabil Amikacin sulfate 5 mg/ml
Injectabil Lansoprazole 0.55 mg/ml
clorura de sodiu 0,9% 1625
Compatibil
Injectabil Amikacin sulfate 50 mg/ml
Injectabil Levofloxacine 5 mg/ml
Glucoza 5% 1072
Compatibil
Injectabil Amikacin sulfate 5 mg/ml
Injectabil Linezolid 2 mg/ml
fara 1925
Compatibil
Injectabil Amikacin sulfate 5 mg/ml
Injectabil Lorazepam 0.33 mg/ml
clorura de sodiu 0,9% 186
Compatibil
Injectabil Amikacin sulfate 5 mg/ml
Injectabil Magnesium sulfate 16.67 >> 100 mg/ml
Glucoza 5% 1047
Compatibil
Injectabil Amikacin sulfate 5 mg/ml
Injectabil Melphalan 0.1 mg/ml
clorura de sodiu 0,9% 169
Compatibil
Injectabil Amikacin sulfate 250 mg/ml
Injectabil Meropenem 50 mg/ml
4389
Compatibil
Injectabil Amikacin sulfate 250 mg/ml
Injectabil Meropenem 50 mg/ml
apa pentru preparate injectabile 4319
Instabilitate chimică Incompatibil
Injectabil Amikacin sulfate
Injectabil Meropenem
3549
Compatibil
Injectabil Amikacin sulfate
Injectabil Metronidazole
3594
Compatibil
Injectabil Amikacin sulfate 5 mg/ml
Injectabil Metronidazole 5 mg/ml
fara 1035
Compatibil
Injectabil Amikacin sulfate 5 mg/ml
Injectabil Midazolam hydrochloride 5 mg/ml
fara 186
Compatibil
Injectabil Amikacin sulfate 5 mg/ml
Injectabil Morphine sulfate 1 mg/ml
Glucoza 5% 405
Compatibil
Injectabil Amikacin sulfate 250 mg/ml
Injectabil N-acetylcysteine 200 mg/ml
fara 3766
Instabilitate chimică Incompatibil
Injectabil Amikacin sulfate
Injectabil Nafcillin sodium
3549
Compatibil
Injectabil Amikacin sulfate 2,5 mg/ml
Injectabil Nalbuphine hydrochloride 0,05 >> 0,33 mg/ml
clorura de sodiu 0,9% 4867
Compatibil
Injectabil Amikacin sulfate 250 mg/ml
Injectabil Naloxone hydrochloride 0.4 mg/ml
fara 3408
Compatibil
Injectabil Amikacin sulfate 2 mg/ml
Injectabil Nicardipine hydrochloride 0.1 mg/ml
Glucoza 5% 1490
Compatibil
Injectabil Amikacin sulfate 2 mg/ml
Injectabil Nicardipine hydrochloride 0.1 mg/ml
clorura de sodiu 0,9% 1490
Compatibil
Injectabil Amikacin sulfate 5 mg/ml
Injectabil Ondansetron hydrochloride 1 mg/ml
clorura de sodiu 0,9% 334
Instabilitate chimică Incompatibil
Injectabil Amikacin sulfate
Injectabil Oxacillin sodium
3549
Compatibil
Injectabil Amikacin sulfate 5 mg/ml
Injectabil Paclitaxel 1.2 mg/ml
Glucoza 5% 248
Precipitații imediate Incompatibil
Injectabil Amikacin sulfate
Injectabil Pantoprazole sodium
2090
Compatibil
Injectabil Amikacin sulfate 250 mg/ml
Injectabil Paracetamol 10 mg/ml
4742
Compatibil
Injectabil Amikacin sulfate 5 mg/ml
Injectabil Pemetrexed disodium 20 mg/ml
clorura de sodiu 0,9% 1953
Instabilitate chimică Incompatibil
Injectabil Amikacin sulfate
Injectabil Penicillin G potassium
3549
Instabilitate chimică Incompatibil
Injectabil Amikacin sulfate
Injectabil Penicillin G sodium
3549
Compatibil
Injectabil Amikacin sulfate 50 mg/ml
Injectabil Pethidine hydrochloride 100 mg/ml
clorura de sodiu 0,45% 132
Compatibil
Injectabil Amikacin sulfate 5 mg/ml
Injectabil Pethidine hydrochloride 10 mg/ml
Glucoza 5% 405
Incompatibilitate nespecificată Incompatibil
Injectabil Amikacin sulfate
Injectabil Phenytoin sodium
3549
Compatibil
Injectabil Amikacin sulfate 40 mg/ml
Injectabil Phloroglucinol 2,5 mg/ml
3791
Instabilitate chimică Incompatibil
Injectabil Amikacin sulfate
Injectabil Piperacillin sodium
3549
Instabilitate chimică Incompatibil
Injectabil Amikacin sulfate
Injectabil Piperacillin sodium / tazobactam
3549
Instabilitate chimică Incompatibil
Injectabil Amikacin sulfate
Injectabil Piperacillin sodium / tazobactam
3586
Compatibil
Injectabil Amikacin sulfate
Injectabil Posaconazole
4380
Precipitații imediate Incompatibil
Injectabil Amikacin sulfate 5 mg/ml
Injectabil Propofol 10 mg/ml
fara 300
Incompatibilitate nespecificată Incompatibil
Injectabil Amikacin sulfate
Injectabil Pyridoxine hydrochloride
3549
Compatibil
Injectabil Amikacin sulfate 5 mg/ml
Injectabil Remifentanil hydrochloride 25 & 250 µg/ml
clorura de sodiu 0,9% 59
Precipitații imediate Incompatibil
Injectabil Amikacin sulfate 250 mg/ml
Injectabil Salbutamol sulfate 1 mg/ml
fara 3216
Compatibil
Injectabil Amikacin sulfate 5 mg/ml
Injectabil Sargramostim 10 µg/ml
clorura de sodiu 0,9% 335
Compatibil
Injectabil Amikacin sulfate 10 mg/ml
Injectabil Sulbactam/durlobactam 15/15 mg/ml
clorura de sodiu 0,9% 4801
Compatibil
Injectabil Amikacin sulfate 5 mg/ml
Injectabil Tedizolid phosphate 0.8 mg/ml
clorura de sodiu 0,9% 3827
Incompatibilitate nespecificată Incompatibil
Injectabil Amikacin sulfate
Injectabil Teicoplanine
3656
Compatibil
Injectabil Amikacin sulfate
clorura de sodiu 0,9% 5076
Incompatibilitate nespecificată Incompatibil
Injectabil Amikacin sulfate 50 mg/ml
Injectabil Propofol
4524
Incompatibilitate nespecificată Incompatibil
Injectabil Amikacin sulfate
Injectabil Temocilline
2296
Compatibil
Injectabil Amikacin sulfate 15 mg/ml
Injectabil Temocilline 83.33 mg/ml
apa pentru preparate injectabile 2231
Instabilitate chimică Incompatibil
Injectabil Amikacin sulfate
Injectabil Temocilline
3549
Compatibil
Injectabil Amikacin sulfate 5 mg/ml
Injectabil Teniposide 0.1 mg/ml
Glucoza 5% 905
Incompatibilitate nespecificată Incompatibil
Injectabil Amikacin sulfate
Injectabil Thiamine hydrochloride
3549
Precipitații imediate Incompatibil
Injectabil Amikacin sulfate 250 mg/ml
Injectabil Thiopental sodium 25 mg/ml
clorura de sodiu 0,9% 3767
Incompatibilitate nespecificată Incompatibil
Injectabil Amikacin sulfate
Injectabil Thiopental sodium
3549
Compatibil
Injectabil Amikacin sulfate 5 mg/ml
Injectabil Thiotepa 1 mg/ml
Glucoza 5% 249
Instabilitate chimică Incompatibil
Injectabil Amikacin sulfate
Injectabil Ticarcillin / clavulanic acid
3587
Instabilitate chimică Incompatibil
Injectabil Amikacin sulfate
Injectabil Ticarcillin / clavulanic acid
3549
Compatibil
Injectabil Amikacin sulfate
Injectabil Tigecycline
clorura de sodiu 0,9% 3332
Compatibil
Injectabil Amikacin sulfate 15 mg/ml
Injectabil Vancomycin hydrochloride 10 mg/ml
Glucoza 5% 3385
Compatibil
Injectabil Amikacin sulfate 2 mg/ml
Injectabil Verapamil hydrochloride 0.08 mg/ml
clorura de sodiu 0,9% 1057
Compatibil
Injectabil Amikacin sulfate 2 mg/ml
Injectabil Verapamil hydrochloride 0.08 mg/ml
Glucoza 5% 1057
Turbiditate imediată Incompatibil
Injectabil Amikacin sulfate 5 mg/ml
Injectabil Vinorelbine tartrate 1 mg/ml
clorura de sodiu 0,9% 84
Compatibil
Injectabil Amikacin sulfate 5 mg/ml
Injectabil Warfarin sodium 0.1 & 2 mg/ml
Glucoza 5% 552
Compatibil
Injectabil Amikacin sulfate 5 mg/ml
Injectabil Warfarin sodium 0.1 & 2 mg/ml
clorura de sodiu 0,9% 552
Compatibil
Injectabil Amikacin sulfate 4 mg/ml
Injectabil Zidovudine 4 mg/ml
Glucoza 5% 337

  Mentions Légales