آخر تحديث :
27/04/2026
مضاد حيوي   Amikacin sulfate  
حقن
الاستقرار في حلول استقرار مخاليط العوامل التي تؤثر على الاستقرار التوافق طريقة التعاطي مراجع pdf
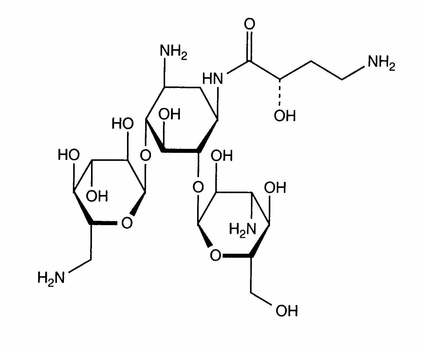
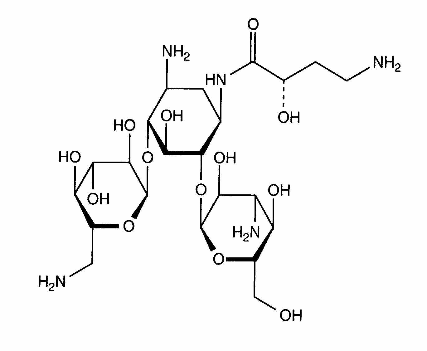
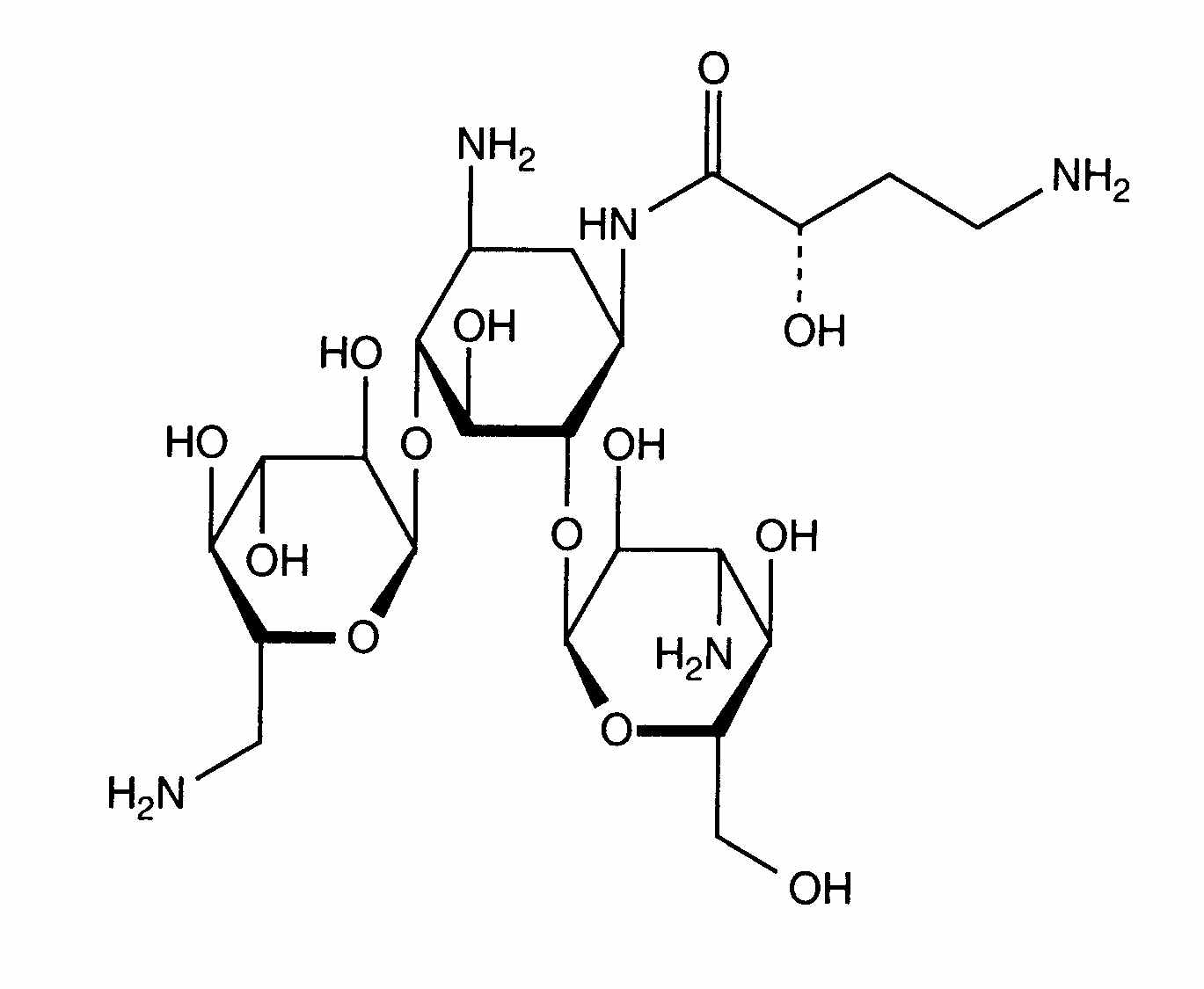
   التركيب الكيميائي  

حجز الاسم التجاري   حجز الاسم التجاري     

تحذير الأسماء التجاريه المختلفه قد تحتوي علي محتوي إضافات مختلفة حسب الدوله و المعمل

Adnet الهند
Agnicin المكسيك
Akamin الإكوادور
Akim الإكوادور
Amicacil البرازيل
Amicilon البرازيل
Amicin ماليزيا
Amicip فنزويلا
Amijeksin تركيا
Amikabiot الإكوادور, بيرو
Amikacin ألمانيا, إيران, العربية السعودية, الولايات المتحدة, بريطانيا العظمي, زيلاندا الجديدة, كندا, ماليزيا, مصر
Amikacina إسبانيا, إيطاليا, الأرجنتين, الإكوادور, المكسيك, بيرو, تشيلي, فنزويلا, كولومبيا
Amikacine المغرب, بلجيكا, فرنسا, هولندا
Amikafur المكسيك
Amikagram بيرو
Amikalem المكسيك
Amikamed بيرو
Amikamek بيرو
Amikan إيطاليا
Amikavax فنزويلا
Amikaver تركيا
Amikayect المكسيك
Amikem بيرو
Amiketem تركيا
Amikin أستراليا, الإكوادور, البرازيل, العربية السعودية, المكسيك, الولايات المتحدة, ايرلندا, بريطانيا العظمي, بولندا, بيرو, تونس, سويسرا, كولومبيا, مصر, هنغاريا
Amiklin تركيا, فرنسا
Amikosit تركيا, تونس, رومانيا
Amikram بيرو
Amukin بلجيكا, لوكسمبورغ, هولندا
Apalin ماليزيا
Baxi K المكسيك, تشيلي
Behcacin الهند, فنزويلا
Belka الهند
Biclin ألمانيا, إسبانيا, البرتغال, السويد, المكسيك, النمسا, فنلندا
Biodacyna بولندا
Biokacin المكسيك
Briklin يونان
Cadicin الهند
Chemacin إيطاليا
Cikabit الهند
Cinamica الهند
Cinas الهند
Consumonit يونان
Domak الهند
Doxocar الأرجنتين
Elcin الهند
Elmik الهند
Emcin الهند
Emica الهند
Farcyclin يونان
Flexelite يونان
Greini الأرجنتين
Ipacin إيران
Itukacin بيرو
Kancin يونان
Lanomycin يونان
Lukadin إيطاليا
Masmika الهند
Mediamik إيطاليا
Micalpha يونان
Micigen المكسيك
Migracin إيطاليا
Mikacin العربية السعودية
Nekacin إيطاليا
Novamin البرازيل
Orlobin يونان
Remikin يونان
Rovericlin يونان
Uzix يونان
التوافق   حقن   التوافق : Amikacin sulfate              
This screen indicates the compatibilities or incompatibilities with, in this case, the type of incompatibility (precipitation, color change, modification of an emulsion, etc.). The compatibilities shown here are mostly physical only, with the chemical stability of each molecule rarely being assessed. The evaluation of these mixtures was studied to consider the possibility of Y-site administration to the patient. These data cannot be used for making mixtures in advance in bags or syringes. This type of information is available in the screen "Stability in mixture ».
مركب مذيب مراجع
kompatibel
حقن Amikacin sulfate 5 mg/ml
حقن Aciclovir sodium 5 mg/ml
الجلوكوز %5 336
هطول الأمطار بعد 1 ساعة غير متوافق
حقن Amikacin sulfate 5 mg/ml
حقن Allopurinol sodium 3 mg/ml
كلوريد الصوديوم 0.9% 307
kompatibel
حقن Amikacin sulfate 5 mg/ml
حقن Amifostine 10 mg/ml
الجلوكوز %5 3
kompatibel
حقن Amikacin sulfate 5 mg/ml
حقن Amiodarone hydrochloride 4 mg/ml
كلوريد الصوديوم 0.9% 385
kompatibel
حقن Amikacin sulfate 5 mg/ml
حقن Amiodarone hydrochloride 4 mg/ml
الجلوكوز %5 385
عدم الاستقرار الكيميائي غير متوافق
حقن Amikacin sulfate
حقن Amoxicillin sodium
3527
عدم الاستقرار الكيميائي غير متوافق
حقن Amikacin sulfate
حقن Amoxicillin sodium
3549
kompatibel
حقن Amikacin sulfate 250 mg/ml
حقن Amoxicillin sodium / clavulanic acid 100/10 mg/ml
3824
عدم الاستقرار الكيميائي غير متوافق
حقن Amikacin sulfate
حقن Amoxicillin sodium / clavulanic acid
3549
عدم توافق غير محدد غير متوافق
حقن Amikacin sulfate
حقن Amoxicillin sodium / clavulanic acid
3545
عدم توافق غير محدد غير متوافق
حقن Amikacin sulfate
حقن Amphotericin B
3549
هطول فوري غير متوافق
حقن Amikacin sulfate 5 mg/ml
حقن Amphotericin B cholesteryl sulfate complex 0.83 mg/ml
الجلوكوز %5 921
عدم الاستقرار الكيميائي غير متوافق
حقن Amikacin sulfate
حقن Ampicillin sodium
3549
عدم الاستقرار الكيميائي غير متوافق
حقن Amikacin sulfate
حقن Ampicillin sodium - sulbactam sodium
3549
kompatibel
حقن Amikacin sulfate 5 mg/ml
حقن Amsacrine 1 mg/ml
الجلوكوز %5 253
kompatibel
حقن Amikacin sulfate 5 mg/ml
حقن Anidulafungin 0.5 mg/ml
الجلوكوز %5 1982
عدم توافق غير محدد غير متوافق
حقن Amikacin sulfate
حقن Ascorbic acid
3549
هطول فوري غير متوافق
حقن Amikacin sulfate 100 mg/ml
حقن Azithromycine 2 mg/ml
كلوريد الصوديوم 0.9% 1800
عدم الاستقرار الكيميائي غير متوافق
حقن Amikacin sulfate
حقن Aztreonam
3549
kompatibel
حقن Amikacin sulfate 5 mg/ml
حقن Aztreonam 40 mg/ml
الجلوكوز %5 99
kompatibel
حقن Amikacin sulfate 5 mg/ml
حقن Bivalirudin 5 mg/ml
الجلوكوز %5 1713
kompatibel
حقن Amikacin sulfate 250 mg/ml
حقن Caffeine 10 mg/ml
لا شيء 3964
غير متوافق
حقن Amikacin sulfate
حقن Calcium gluconate
4964
عدم توافق غير محدد غير متوافق
حقن Amikacin sulfate
حقن Calcium gluconate
3644
kompatibel
حقن Amikacin sulfate 5 mg/ml
حقن Caspofungin acetate 0,7 mg/ml
كلوريد الصوديوم 0.9% 2247
عدم الاستقرار الكيميائي غير متوافق
حقن Amikacin sulfate
حقن Cefalotin sodium
3549
عدم الاستقرار الكيميائي غير متوافق
حقن Amikacin sulfate
حقن Cefamandole nafate
3549
عدم توافق غير محدد غير متوافق
حقن Amikacin sulfate
حقن Cefamandole nafate
3546
عدم الاستقرار الكيميائي غير متوافق
حقن Amikacin sulfate
حقن Cefazolin sodium
3549
kompatibel
حقن Amikacin sulfate 6 mg/ml
حقن Cefepime dihydrochloride 40 mg/ml
كلوريد الصوديوم 0.9% 3548
kompatibel
حقن Amikacin sulfate 6 mg/ml
حقن Cefepime dihydrochloride 40 mg/ml
الجلوكوز %5 3548
kompatibel
حقن Amikacin sulfate 15 mg/ml
حقن Cefepime dihydrochloride 125 mg/ml
حقن المياه لل 2141
عدم الاستقرار الكيميائي غير متوافق
حقن Amikacin sulfate
حقن Cefepime dihydrochloride
3549
kompatibel
حقن Amikacin sulfate 5 mg/ml
حقن Cefiderocol sulfate tosylate 20 mg/mL
الجلوكوز %5 4528
عدم الاستقرار الكيميائي غير متوافق
حقن Amikacin sulfate
حقن Cefmenoxime
3549
عدم الاستقرار الكيميائي غير متوافق
حقن Amikacin sulfate
حقن Cefmetazole sodium
3549
عدم الاستقرار الكيميائي غير متوافق
حقن Amikacin sulfate
حقن Cefonicid sodium
3549
عدم الاستقرار الكيميائي غير متوافق
حقن Amikacin sulfate
حقن Cefoperazone sodium
3549
عدم توافق غير محدد غير متوافق
حقن Amikacin sulfate
حقن Cefoperazone sodium
3544
عدم الاستقرار الكيميائي غير متوافق
حقن Amikacin sulfate
حقن Ceforanide
3549
عدم الاستقرار الكيميائي غير متوافق
حقن Amikacin sulfate
حقن Cefotaxime sodium
3549
عدم الاستقرار الكيميائي غير متوافق
حقن Amikacin sulfate
حقن Cefoxitin sodium
3549
عدم توافق غير محدد غير متوافق
حقن Amikacin sulfate
حقن Cefpirome sulfate
3677
kompatibel
حقن Amikacin sulfate 5 mg/ml
حقن Cefpirome sulfate 50 mg/ml
كلوريد الصوديوم 0.45% 280
kompatibel
حقن Amikacin sulfate 5 mg/ml
حقن Cefpirome sulfate 50 mg/ml
الجلوكوز %5 280
kompatibel
حقن Amikacin sulfate 5 mg/ml
حقن Cefpirome sulfate 50 mg/ml
كلوريد الصوديوم 0.9% 280
kompatibel
حقن Amikacin sulfate 5 mg/ml
حقن Cefpirome sulfate 50 mg/ml
محلول رينجر  اللاكتات 280
عدم الاستقرار الكيميائي غير متوافق
حقن Amikacin sulfate
حقن Cefpirome sulfate
3549
kompatibel
حقن Amikacin sulfate 5 mg/ml
حقن Ceftaroline fosamil 2,22 mg/ml
محلول رينجر  اللاكتات 3249
kompatibel
حقن Amikacin sulfate 5 mg/ml
حقن Ceftaroline fosamil 2,22 mg/ml
الجلوكوز %5 3249
kompatibel
حقن Amikacin sulfate 5 mg/ml
حقن Ceftaroline fosamil 2,22 mg/ml
كلوريد الصوديوم 0.9% 3249
عدم توافق غير محدد غير متوافق
حقن Amikacin sulfate
حقن Ceftazidime
3883
عدم توافق غير محدد غير متوافق
حقن Amikacin sulfate
حقن Ceftazidime
3543
kompatibel
حقن Amikacin sulfate 15 mg/ml
حقن Ceftazidime 83.3 mg/ml
1759
عدم الاستقرار الكيميائي غير متوافق
حقن Amikacin sulfate
حقن Ceftazidime Avibactam
3549
هطول فوري غير متوافق
حقن Amikacin sulfate 5 mg/ml
حقن Ceftobiprole medocaril sodium 2 mg/ml
كلوريد الصوديوم 0.9% 2269
عدم توافق غير محدد غير متوافق
حقن Amikacin sulfate
حقن Ceftobiprole medocaril sodium
4650
kompatibel
حقن Amikacin sulfate
الجلوكوز %5 5076
عدم الاستقرار الكيميائي غير متوافق
حقن Amikacin sulfate
حقن Ceftaroline fosamil
3549
عدم الاستقرار الكيميائي غير متوافق
حقن Amikacin sulfate
حقن Ceftazidime
3549
kompatibel
حقن Amikacin sulfate 15 mg/ml
حقن Ceftazidime 125 mg/ml
حقن المياه لل 2141
عدم الاستقرار الكيميائي غير متوافق
حقن Amikacin sulfate
حقن Ceftizoxime sodium
3549
هطول فوري غير متوافق
حقن Amikacin sulfate 5 mg/ml
حقن Ceftobiprole medocaril sodium 2 mg/ml
الجلوكوز %5 2269
عدم الاستقرار الكيميائي غير متوافق
حقن Amikacin sulfate
حقن Ceftobiprole medocaril sodium
3549
هطول فوري غير متوافق
حقن Amikacin sulfate 5 mg/ml
حقن Ceftobiprole medocaril sodium 2 mg/ml
محلول رينجر  اللاكتات 2269
kompatibel
حقن Amikacin sulfate 5 mg/ml
حقن Ceftolozane / tazobactam 10/5 mg/ml
الجلوكوز %5 3828
kompatibel
حقن Amikacin sulfate 5 mg/ml
حقن Ceftolozane / tazobactam 10/5 mg/ml
كلوريد الصوديوم 0.9% 3828
عدم الاستقرار الكيميائي غير متوافق
حقن Amikacin sulfate
حقن Ceftolozane / tazobactam
3549
عدم توافق غير محدد غير متوافق
حقن Amikacin sulfate
حقن Ceftriaxone disodium
3523
عدم الاستقرار الكيميائي غير متوافق
حقن Amikacin sulfate
حقن Ceftriaxone disodium
3549
عدم الاستقرار الكيميائي غير متوافق
حقن Amikacin sulfate
حقن Cefuroxime sodium
3549
عدم توافق غير محدد غير متوافق
حقن Amikacin sulfate
حقن Cefuroxime sodium
3687
عدم الاستقرار الكيميائي غير متوافق
حقن Amikacin sulfate
حقن Cefuzonam
3549
عدم توافق غير محدد غير متوافق
حقن Amikacin sulfate
حقن Chlorothiazide sodium
3549
kompatibel
حقن Amikacin sulfate 2.5 mg/ml
حقن Cimetidine hydrochloride 1.5 mg/ml
الجلوكوز %5 1201
عدم الاستقرار الكيميائي غير متوافق
حقن Amikacin sulfate 4 mg/ml
حقن Ciprofloxacin lactate 1.5 mg/ml
كلوريد الصوديوم 0.9% 434
عدم الاستقرار الكيميائي غير متوافق
حقن Amikacin sulfate 4 mg/ml
حقن Ciprofloxacin lactate 1.5 mg/ml
الجلوكوز %5 434
kompatibel
حقن Amikacin sulfate 5 mg/ml
حقن Cisatracurium besylate 0.1 >> 5 mg/ml
الجلوكوز %5 299
kompatibel
حقن Amikacin sulfate 4 mg/ml
حقن Clindamycin phosphate 9 mg/ml
كلوريد الصوديوم 0.9% 565
kompatibel
حقن Amikacin sulfate 250 mg/ml
 التغذية الوريدية (خالية من الدهن) 999
kompatibel
حقن Amikacin sulfate 5 mg/ml
حقن Ciprofloxacin lactate 2 mg/ml
الجلوكوز %5 285
عدم الاستقرار الكيميائي غير متوافق
حقن Amikacin sulfate
حقن Cisplatin
3578
kompatibel
حقن Amikacin sulfate 75 mg/ml
حقن Clindamycin phosphate 90 mg/ml
كلوريد الصوديوم 0.9% 639
kompatibel
حقن Amikacin sulfate
حقن Clindamycin phosphate
كلوريد الصوديوم 0.9% 3526
عدم التوافق المرئي غير متوافق
حقن Amikacin sulfate 250 mg/ml
حقن Cloxacillin sodium 100 mg/ml
حقن المياه لل 3012
عدم توافق غير محدد غير متوافق
حقن Amikacin sulfate
حقن Daunorubicin/cytarabine liposomale
4354
kompatibel
حقن Amikacin sulfate 5 mg/ml
 التغذية الوريدية (خالية من الدهن) 316
kompatibel
حقن Amikacin sulfate 4 mg/ml
حقن Clindamycin phosphate 9 mg/ml
الجلوكوز %5 565
kompatibel
حقن Amikacin sulfate
حقن Clindamycin phosphate
الجلوكوز %5 3526
عدم الاستقرار الكيميائي غير متوافق
حقن Amikacin sulfate
حقن Cloxacillin sodium
3549
عدم توافق غير محدد غير متوافق
حقن Amikacin sulfate
حقن Cyanocobalamine
3549
التعكر الفوري غير متوافق
حقن Amikacin sulfate
حقن Daunorubicin/cytarabine liposomale 0,4 mg/mL
كلوريد الصوديوم 0.9% 4654
هطول فوري غير متوافق
حقن Amikacin sulfate 5 mg/ml
حقن Defibrotide 8 mg/ml
كلوريد الصوديوم 0.9% 3728
kompatibel
حقن Amikacin sulfate 50 mg/ml
حقن Dexamethasone sodium phosphate 4 mg/ml
كلوريد الصوديوم 0.45% 132
عدم توافق غير محدد غير متوافق
حقن Amikacin sulfate
حقن Erythromycin lactobionate
3549
kompatibel
حقن Amikacin sulfate 5 mg/ml
 التغذية الوريدية (خالية من الدهن) 301
kompatibel
حقن Amikacin sulfate 5 mg/ml
حقن Dexmedetomidine 4 µg/ml
كلوريد الصوديوم 0.9% 1712
kompatibel
حقن Amikacin sulfate 5 & 250 mg/ml
حقن Diltiazem hydrochloride 5 mg/ml
كلوريد الصوديوم 0.9% 198
kompatibel
حقن Amikacin sulfate 5 mg/ml
حقن Docetaxel 0.9 mg/ml
الجلوكوز %5 1754
kompatibel
حقن Amikacin sulfate 5 mg/ml
حقن Doripenem 5 mg/ml
كلوريد الصوديوم 0.9% 2262
kompatibel
حقن Amikacin sulfate 5 mg/ml
حقن Doripenem 5 mg/ml
الجلوكوز %5 2262
عدم الاستقرار الكيميائي غير متوافق
حقن Amikacin sulfate
حقن Doripenem
3549
kompatibel
حقن Amikacin sulfate 2 mg/ml
حقن Enalaprilate 0.05 mg/ml
كلوريد الصوديوم 0.9% 1315
عدم الاستقرار الكيميائي غير متوافق
حقن Amikacin sulfate
حقن Ertapenem
3549
عدم توافق غير محدد غير متوافق
حقن Amikacin sulfate
حقن Erythromycin lactobionate
3674
kompatibel
حقن Amikacin sulfate 5 mg/ml
حقن Esmolol hydrochloride 10 mg/ml
الجلوكوز %5 384
kompatibel
حقن Amikacin sulfate 5 mg/ml
حقن Etoposide phosphate 5 mg/ml
الجلوكوز %5 1410
kompatibel
حقن Amikacin sulfate 5 mg/ml
حقن Fenoldopam mesylate 80 µg/ml
كلوريد الصوديوم 0.9% 1803
kompatibel
حقن Amikacin sulfate 5 mg/ml
حقن Filgrastim 30 µg/ml
الجلوكوز %5 244
kompatibel
حقن Amikacin sulfate 0.487 >> 0.667 mg/ml
التغذية الوريدية (مع الدهون) 1868
kompatibel
حقن Amikacin sulfate 250 mg/ml
محلول رينجر  اللاكتات 4603
عدم استقرار المستحلب بعد ساعة واحدة غير متوافق
حقن Amikacin sulfate 250 mg/ml
التغذية الوريدية (مع الدهون) 673
kompatibel
حقن Amikacin sulfate 5 mg/ml
حقن Filgrastim 40 µg/ml
الجلوكوز %5 104
عدم استقرار فوري للمستحلب غير متوافق
حقن Amikacin sulfate 50 mg/ml
التغذية الوريدية (مع الدهون) 132
kompatibel
حقن Amikacin sulfate 5 mg/ml
التغذية الوريدية (مع الدهون) 1415
هطول فوري غير متوافق
حقن Amikacin sulfate
حقن Flucloxacillin sodium
3522
kompatibel
حقن Amikacin sulfate 20 mg/ml
حقن Fluconazole 2 mg/ml
كلوريد الصوديوم 0.9% 496
kompatibel
حقن Amikacin sulfate 5 mg/ml
حقن Fluconazole 2 mg/ml
لا شيء 256
kompatibel
حقن Amikacin sulfate 5 mg/ml
حقن Fludarabine phosphate 1 mg/ml
الجلوكوز %5 492
kompatibel
حقن Amikacin sulfate 20 mg/ml
حقن Foscarnet sodium 24 mg/ml
لا شيء 73
kompatibel
حقن Amikacin sulfate 5 mg/ml
حقن Fosfomycin 30 mg/ml
كلوريد الصوديوم 0.9% 4055
kompatibel
حقن Amikacin sulfate 5 mg/ml
حقن Fosfomycin 30 mg/ml
الجلوكوز %5 4055
هطول فوري غير متوافق
حقن Amikacin sulfate 2 mg/ml
حقن Furosemide 0,16 mg/ml
كلوريد الصوديوم 0.9% 367
هطول فوري غير متوافق
حقن Amikacin sulfate 2 mg/ml
حقن Furosemide 0,16 mg/ml
الجلوكوز %5 367
kompatibel
حقن Amikacin sulfate 5 mg/ml
حقن Gemcitabine hydrochloride 10 mg/ml
كلوريد الصوديوم 0.9% 1423
kompatibel
حقن Amikacin sulfate 5 mg/ml
حقن Granisetron hydrochloride 0.05 mg/ml
الجلوكوز %5 182
عدم توافق غير محدد غير متوافق
حقن Amikacin sulfate
حقن Heparin sodium
3549
عدم توافق غير محدد غير متوافق
حقن Amikacin sulfate
حقن Heparin sodium
3540
هطول فوري غير متوافق
حقن Amikacin sulfate
حقن Heparin sodium
1022
kompatibel
حقن Amikacin sulfate 5 mg/ml
حقن Hetastarch 60 mg/ml
مذيب معين 1721
هطول فوري غير متوافق
حقن Amikacin sulfate 5 mg/ml
حقن Hetastarch 60 mg/ml
كلوريد الصوديوم 0.9% 472
kompatibel
حقن Amikacin sulfate 5 mg/ml
حقن Hydromorphone hydrochloride 0.2 mg/ml
الجلوكوز %5 405
التعكر الفوري غير متوافق
حقن Amikacin sulfate 50 mg/ml
حقن Ibuprofen lysinate 10 mg/ml
حقن المياه لل 4419
التعكر الفوري غير متوافق
حقن Amikacin sulfate 250 mg/ml
حقن Ibuprofen lysinate 10 mg/ml
حقن المياه لل 4419
kompatibel
حقن Amikacin sulfate 5 mg/ml
حقن Idarubicin hydrochloride 1 mg/ml
كلوريد الصوديوم 0.9% 491
عدم الاستقرار الكيميائي غير متوافق
حقن Amikacin sulfate
حقن Imipenem - cilastatin sodium
3549
kompatibel
حقن Amikacin sulfate 5 mg/ml
حقن Isavuconazonium sulfate 1.5 mg/ml
الجلوكوز %5 3829
kompatibel
حقن Amikacin sulfate 5 mg/ml
حقن Isavuconazonium sulfate 1.5 mg/ml
كلوريد الصوديوم 0.9% 3829
kompatibel
حقن Amikacin sulfate 250 mg/ml
حقن Ketamine hydrochloride 50 mg/ml
2109
kompatibel
حقن Amikacin sulfate 5 mg/ml
حقن Labetalol hydrochloride 1 mg/ml
الجلوكوز %5 386
kompatibel
حقن Amikacin sulfate 5 mg/ml
حقن Lansoprazole 0.55 mg/ml
كلوريد الصوديوم 0.9% 1625
kompatibel
حقن Amikacin sulfate 50 mg/ml
حقن Levofloxacine 5 mg/ml
الجلوكوز %5 1072
kompatibel
حقن Amikacin sulfate 5 mg/ml
حقن Linezolid 2 mg/ml
لا شيء 1925
kompatibel
حقن Amikacin sulfate 5 mg/ml
حقن Lorazepam 0.33 mg/ml
كلوريد الصوديوم 0.9% 186
kompatibel
حقن Amikacin sulfate 5 mg/ml
حقن Magnesium sulfate 16.67 >> 100 mg/ml
الجلوكوز %5 1047
kompatibel
حقن Amikacin sulfate 5 mg/ml
حقن Melphalan 0.1 mg/ml
كلوريد الصوديوم 0.9% 169
kompatibel
حقن Amikacin sulfate 250 mg/ml
حقن Meropenem 50 mg/ml
4389
kompatibel
حقن Amikacin sulfate 250 mg/ml
حقن Meropenem 50 mg/ml
حقن المياه لل 4319
عدم الاستقرار الكيميائي غير متوافق
حقن Amikacin sulfate
حقن Meropenem
3549
kompatibel
حقن Amikacin sulfate
حقن Metronidazole
3594
kompatibel
حقن Amikacin sulfate 5 mg/ml
حقن Metronidazole 5 mg/ml
لا شيء 1035
kompatibel
حقن Amikacin sulfate 5 mg/ml
حقن Midazolam hydrochloride 5 mg/ml
لا شيء 186
kompatibel
حقن Amikacin sulfate 5 mg/ml
حقن Morphine sulfate 1 mg/ml
الجلوكوز %5 405
kompatibel
حقن Amikacin sulfate 250 mg/ml
حقن N-acetylcysteine 200 mg/ml
لا شيء 3766
عدم الاستقرار الكيميائي غير متوافق
حقن Amikacin sulfate
حقن Nafcillin sodium
3549
kompatibel
حقن Amikacin sulfate 2,5 mg/ml
حقن Nalbuphine hydrochloride 0,05 >> 0,33 mg/ml
كلوريد الصوديوم 0.9% 4867
kompatibel
حقن Amikacin sulfate 250 mg/ml
حقن Naloxone hydrochloride 0.4 mg/ml
لا شيء 3408
kompatibel
حقن Amikacin sulfate 2 mg/ml
حقن Nicardipine hydrochloride 0.1 mg/ml
الجلوكوز %5 1490
kompatibel
حقن Amikacin sulfate 2 mg/ml
حقن Nicardipine hydrochloride 0.1 mg/ml
كلوريد الصوديوم 0.9% 1490
kompatibel
حقن Amikacin sulfate 5 mg/ml
حقن Ondansetron hydrochloride 1 mg/ml
كلوريد الصوديوم 0.9% 334
عدم الاستقرار الكيميائي غير متوافق
حقن Amikacin sulfate
حقن Oxacillin sodium
3549
kompatibel
حقن Amikacin sulfate 5 mg/ml
حقن Paclitaxel 1.2 mg/ml
الجلوكوز %5 248
هطول فوري غير متوافق
حقن Amikacin sulfate
حقن Pantoprazole sodium
2090
kompatibel
حقن Amikacin sulfate 250 mg/ml
حقن Paracetamol 10 mg/ml
4742
kompatibel
حقن Amikacin sulfate 5 mg/ml
حقن Pemetrexed disodium 20 mg/ml
كلوريد الصوديوم 0.9% 1953
عدم الاستقرار الكيميائي غير متوافق
حقن Amikacin sulfate
حقن Penicillin G potassium
3549
عدم الاستقرار الكيميائي غير متوافق
حقن Amikacin sulfate
حقن Penicillin G sodium
3549
kompatibel
حقن Amikacin sulfate 50 mg/ml
حقن Pethidine hydrochloride 100 mg/ml
كلوريد الصوديوم 0.45% 132
kompatibel
حقن Amikacin sulfate 5 mg/ml
حقن Pethidine hydrochloride 10 mg/ml
الجلوكوز %5 405
عدم توافق غير محدد غير متوافق
حقن Amikacin sulfate
حقن Phenytoin sodium
3549
kompatibel
حقن Amikacin sulfate 40 mg/ml
حقن Phloroglucinol 2,5 mg/ml
3791
عدم الاستقرار الكيميائي غير متوافق
حقن Amikacin sulfate
حقن Piperacillin sodium
3549
عدم الاستقرار الكيميائي غير متوافق
حقن Amikacin sulfate
حقن Piperacillin sodium / tazobactam
3549
عدم الاستقرار الكيميائي غير متوافق
حقن Amikacin sulfate
حقن Piperacillin sodium / tazobactam
3586
kompatibel
حقن Amikacin sulfate
حقن Posaconazole
4380
هطول فوري غير متوافق
حقن Amikacin sulfate 5 mg/ml
حقن Propofol 10 mg/ml
لا شيء 300
عدم توافق غير محدد غير متوافق
حقن Amikacin sulfate
حقن Pyridoxine hydrochloride
3549
kompatibel
حقن Amikacin sulfate 5 mg/ml
حقن Remifentanil hydrochloride 25 & 250 µg/ml
كلوريد الصوديوم 0.9% 59
هطول فوري غير متوافق
حقن Amikacin sulfate 250 mg/ml
حقن Salbutamol sulfate 1 mg/ml
لا شيء 3216
kompatibel
حقن Amikacin sulfate 5 mg/ml
حقن Sargramostim 10 µg/ml
كلوريد الصوديوم 0.9% 335
kompatibel
حقن Amikacin sulfate 10 mg/ml
حقن Sulbactam/durlobactam 15/15 mg/ml
كلوريد الصوديوم 0.9% 4801
kompatibel
حقن Amikacin sulfate 5 mg/ml
حقن Tedizolid phosphate 0.8 mg/ml
كلوريد الصوديوم 0.9% 3827
عدم توافق غير محدد غير متوافق
حقن Amikacin sulfate
حقن Teicoplanine
3656
kompatibel
حقن Amikacin sulfate
كلوريد الصوديوم 0.9% 5076
عدم توافق غير محدد غير متوافق
حقن Amikacin sulfate 50 mg/ml
حقن Propofol
4524
عدم توافق غير محدد غير متوافق
حقن Amikacin sulfate
حقن Temocilline
2296
kompatibel
حقن Amikacin sulfate 15 mg/ml
حقن Temocilline 83.33 mg/ml
حقن المياه لل 2231
عدم الاستقرار الكيميائي غير متوافق
حقن Amikacin sulfate
حقن Temocilline
3549
kompatibel
حقن Amikacin sulfate 5 mg/ml
حقن Teniposide 0.1 mg/ml
الجلوكوز %5 905
عدم توافق غير محدد غير متوافق
حقن Amikacin sulfate
حقن Thiamine hydrochloride
3549
هطول فوري غير متوافق
حقن Amikacin sulfate 250 mg/ml
حقن Thiopental sodium 25 mg/ml
كلوريد الصوديوم 0.9% 3767
عدم توافق غير محدد غير متوافق
حقن Amikacin sulfate
حقن Thiopental sodium
3549
kompatibel
حقن Amikacin sulfate 5 mg/ml
حقن Thiotepa 1 mg/ml
الجلوكوز %5 249
عدم الاستقرار الكيميائي غير متوافق
حقن Amikacin sulfate
حقن Ticarcillin / clavulanic acid
3587
عدم الاستقرار الكيميائي غير متوافق
حقن Amikacin sulfate
حقن Ticarcillin / clavulanic acid
3549
kompatibel
حقن Amikacin sulfate
حقن Tigecycline
كلوريد الصوديوم 0.9% 3332
kompatibel
حقن Amikacin sulfate 15 mg/ml
حقن Vancomycin hydrochloride 10 mg/ml
الجلوكوز %5 3385
kompatibel
حقن Amikacin sulfate 2 mg/ml
حقن Verapamil hydrochloride 0.08 mg/ml
كلوريد الصوديوم 0.9% 1057
kompatibel
حقن Amikacin sulfate 2 mg/ml
حقن Verapamil hydrochloride 0.08 mg/ml
الجلوكوز %5 1057
التعكر الفوري غير متوافق
حقن Amikacin sulfate 5 mg/ml
حقن Vinorelbine tartrate 1 mg/ml
كلوريد الصوديوم 0.9% 84
kompatibel
حقن Amikacin sulfate 5 mg/ml
حقن Warfarin sodium 0.1 & 2 mg/ml
الجلوكوز %5 552
kompatibel
حقن Amikacin sulfate 5 mg/ml
حقن Warfarin sodium 0.1 & 2 mg/ml
كلوريد الصوديوم 0.9% 552
kompatibel
حقن Amikacin sulfate 4 mg/ml
حقن Zidovudine 4 mg/ml
الجلوكوز %5 337

  Mentions Légales