Последно актуализиране :
27/04/2026
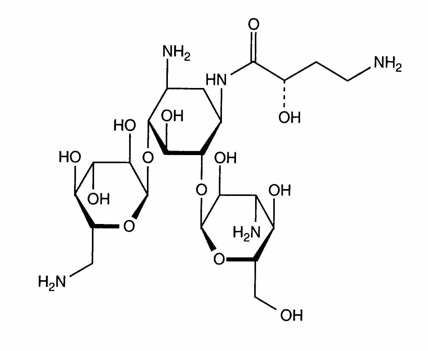
Антибиотик   Amikacin sulfate  
Инжекция/Инжекционен
Стабилност на разтвори Стабилност на смеси Фактори, повлияващи стабилността Съвместимост Път на въвеждане Библиография Pdf
   Химична структура  

Търговско наименование   Търговско наименование     

Търговските имена са примерни и съставът на помощните вещества може да бъде различен в зависимост от държавата и лабораториите

Adnet Индия
Agnicin Мексико
Akamin Еквадор
Akim Еквадор
Amicacil Бразилия
Amicilon Бразилия
Amicin Малайзия
Amicip Венецуела
Amijeksin Турция
Amikabiot Еквадор, Перу
Amikacin Великобритания, Германия, Египет, Иран, Канада, Малайзия, нова Зеландия, Саудитска Арабия, Съединени Американски щати / САЩ
Amikacina Аржентина, Венецуела, Еквадор, Испания, Италия, Колумбия, Мексико, Перу, Чили
Amikacine Белгия, Мароко, Франция, Холандия
Amikafur Мексико
Amikagram Перу
Amikalem Мексико
Amikamed Перу
Amikamek Перу
Amikan Италия
Amikavax Венецуела
Amikaver Турция
Amikayect Мексико
Amikem Перу
Amiketem Турция
Amikin Австралия, Бразилия, Великобритания, Египет, Еквадор, Ирландия, Колумбия, Мексико, Перу, Полша, Саудитска Арабия, Съединени Американски щати / САЩ, Тунис, Унгария, Швейцария
Amiklin Турция, Франция
Amikosit Румъния, Тунис, Турция
Amikram Перу
Amukin Белгия, Люксенбург, Холандия
Apalin Малайзия
Baxi K Мексико, Чили
Behcacin Венецуела, Индия
Belka Индия
Biclin Австрия, Германия, Испания, Мексико, Португалия, Финландия, Швеция
Biodacyna Полша
Biokacin Мексико
Briklin Гърция
Cadicin Индия
Chemacin Италия
Cikabit Индия
Cinamica Индия
Cinas Индия
Consumonit Гърция
Domak Индия
Doxocar Аржентина
Elcin Индия
Elmik Индия
Emcin Индия
Emica Индия
Farcyclin Гърция
Flexelite Гърция
Greini Аржентина
Ipacin Иран
Itukacin Перу
Kancin Гърция
Lanomycin Гърция
Lukadin Италия
Masmika Индия
Mediamik Италия
Micalpha Гърция
Micigen Мексико
Migracin Италия
Mikacin Саудитска Арабия
Nekacin Италия
Novamin Бразилия
Orlobin Гърция
Remikin Гърция
Rovericlin Гърция
Uzix Гърция
Съвместимост   Инжекция/Инжекционен   Съвместимост : Amikacin sulfate              
Този екран показва съвместимостта или несъвместимостта с, в този случай, вида на несъвместимостта (утаяване, промяна на цвета, модификация на емулсия и др.). Показаните тук съвместимости са предимно физически, като рядко се оценява химическата стабилност на всяка молекула. Оценката на тези смеси беше проучена, за да се разгледа възможността за приложение на Y-място на пациента. Тези данни не могат да се използват за предварително приготвяне на смеси в торбички или спринцовки. Този тип информация е достъпна на екрана "Стабилност в сместа".
Състав / молекула Разтворител Библиография
съвместим
Инжекция/Инжекционен Amikacin sulfate 5 mg/ml
Инжекция/Инжекционен Aciclovir sodium 5 mg/ml
Glucose 5% 336
Валежи след 1 час Несъвместим
Инжекция/Инжекционен Amikacin sulfate 5 mg/ml
Инжекция/Инжекционен Allopurinol sodium 3 mg/ml
Sodium chloride 0,9% 307
съвместим
Инжекция/Инжекционен Amikacin sulfate 5 mg/ml
Инжекция/Инжекционен Amifostine 10 mg/ml
Glucose 5% 3
съвместим
Инжекция/Инжекционен Amikacin sulfate 5 mg/ml
Инжекция/Инжекционен Amiodarone hydrochloride 4 mg/ml
Sodium chloride 0,9% 385
съвместим
Инжекция/Инжекционен Amikacin sulfate 5 mg/ml
Инжекция/Инжекционен Amiodarone hydrochloride 4 mg/ml
Glucose 5% 385
Химическа нестабилност Несъвместим
Инжекция/Инжекционен Amikacin sulfate
Инжекция/Инжекционен Amoxicillin sodium
3527
Химическа нестабилност Несъвместим
Инжекция/Инжекционен Amikacin sulfate
Инжекция/Инжекционен Amoxicillin sodium
3549
съвместим
Инжекция/Инжекционен Amikacin sulfate 250 mg/ml
Инжекция/Инжекционен Amoxicillin sodium / clavulanic acid 100/10 mg/ml
3824
Химическа нестабилност Несъвместим
Инжекция/Инжекционен Amikacin sulfate
Инжекция/Инжекционен Amoxicillin sodium / clavulanic acid
3549
Неопределена несъвместимост Несъвместим
Инжекция/Инжекционен Amikacin sulfate
Инжекция/Инжекционен Amoxicillin sodium / clavulanic acid
3545
Неопределена несъвместимост Несъвместим
Инжекция/Инжекционен Amikacin sulfate
Инжекция/Инжекционен Amphotericin B
3549
Незабавни валежи Несъвместим
Инжекция/Инжекционен Amikacin sulfate 5 mg/ml
Инжекция/Инжекционен Amphotericin B cholesteryl sulfate complex 0.83 mg/ml
Glucose 5% 921
Химическа нестабилност Несъвместим
Инжекция/Инжекционен Amikacin sulfate
Инжекция/Инжекционен Ampicillin sodium
3549
Химическа нестабилност Несъвместим
Инжекция/Инжекционен Amikacin sulfate
Инжекция/Инжекционен Ampicillin sodium - sulbactam sodium
3549
съвместим
Инжекция/Инжекционен Amikacin sulfate 5 mg/ml
Инжекция/Инжекционен Amsacrine 1 mg/ml
Glucose 5% 253
съвместим
Инжекция/Инжекционен Amikacin sulfate 5 mg/ml
Инжекция/Инжекционен Anidulafungin 0.5 mg/ml
Glucose 5% 1982
Неопределена несъвместимост Несъвместим
Инжекция/Инжекционен Amikacin sulfate
Инжекция/Инжекционен Ascorbic acid
3549
Незабавни валежи Несъвместим
Инжекция/Инжекционен Amikacin sulfate 100 mg/ml
Инжекция/Инжекционен Azithromycine 2 mg/ml
Sodium chloride 0,9% 1800
Химическа нестабилност Несъвместим
Инжекция/Инжекционен Amikacin sulfate
Инжекция/Инжекционен Aztreonam
3549
съвместим
Инжекция/Инжекционен Amikacin sulfate 5 mg/ml
Инжекция/Инжекционен Aztreonam 40 mg/ml
Glucose 5% 99
съвместим
Инжекция/Инжекционен Amikacin sulfate 5 mg/ml
Инжекция/Инжекционен Bivalirudin 5 mg/ml
Glucose 5% 1713
съвместим
Инжекция/Инжекционен Amikacin sulfate 250 mg/ml
Инжекция/Инжекционен Caffeine 10 mg/ml
Няма 3964
Несъвместим
Инжекция/Инжекционен Amikacin sulfate
Инжекция/Инжекционен Calcium gluconate
4964
Неопределена несъвместимост Несъвместим
Инжекция/Инжекционен Amikacin sulfate
Инжекция/Инжекционен Calcium gluconate
3644
съвместим
Инжекция/Инжекционен Amikacin sulfate 5 mg/ml
Инжекция/Инжекционен Caspofungin acetate 0,7 mg/ml
Sodium chloride 0,9% 2247
Химическа нестабилност Несъвместим
Инжекция/Инжекционен Amikacin sulfate
Инжекция/Инжекционен Cefalotin sodium
3549
Химическа нестабилност Несъвместим
Инжекция/Инжекционен Amikacin sulfate
Инжекция/Инжекционен Cefamandole nafate
3549
Неопределена несъвместимост Несъвместим
Инжекция/Инжекционен Amikacin sulfate
Инжекция/Инжекционен Cefamandole nafate
3546
Химическа нестабилност Несъвместим
Инжекция/Инжекционен Amikacin sulfate
Инжекция/Инжекционен Cefazolin sodium
3549
съвместим
Инжекция/Инжекционен Amikacin sulfate 6 mg/ml
Инжекция/Инжекционен Cefepime dihydrochloride 40 mg/ml
Sodium chloride 0,9% 3548
съвместим
Инжекция/Инжекционен Amikacin sulfate 6 mg/ml
Инжекция/Инжекционен Cefepime dihydrochloride 40 mg/ml
Glucose 5% 3548
съвместим
Инжекция/Инжекционен Amikacin sulfate 15 mg/ml
Инжекция/Инжекционен Cefepime dihydrochloride 125 mg/ml
Вода за инжекции 2141
Химическа нестабилност Несъвместим
Инжекция/Инжекционен Amikacin sulfate
Инжекция/Инжекционен Cefepime dihydrochloride
3549
съвместим
Инжекция/Инжекционен Amikacin sulfate 5 mg/ml
Инжекция/Инжекционен Cefiderocol sulfate tosylate 20 mg/mL
Glucose 5% 4528
Химическа нестабилност Несъвместим
Инжекция/Инжекционен Amikacin sulfate
Инжекция/Инжекционен Cefmenoxime
3549
Химическа нестабилност Несъвместим
Инжекция/Инжекционен Amikacin sulfate
Инжекция/Инжекционен Cefmetazole sodium
3549
Химическа нестабилност Несъвместим
Инжекция/Инжекционен Amikacin sulfate
Инжекция/Инжекционен Cefonicid sodium
3549
Химическа нестабилност Несъвместим
Инжекция/Инжекционен Amikacin sulfate
Инжекция/Инжекционен Cefoperazone sodium
3549
Неопределена несъвместимост Несъвместим
Инжекция/Инжекционен Amikacin sulfate
Инжекция/Инжекционен Cefoperazone sodium
3544
Химическа нестабилност Несъвместим
Инжекция/Инжекционен Amikacin sulfate
Инжекция/Инжекционен Ceforanide
3549
Химическа нестабилност Несъвместим
Инжекция/Инжекционен Amikacin sulfate
Инжекция/Инжекционен Cefotaxime sodium
3549
Химическа нестабилност Несъвместим
Инжекция/Инжекционен Amikacin sulfate
Инжекция/Инжекционен Cefoxitin sodium
3549
Неопределена несъвместимост Несъвместим
Инжекция/Инжекционен Amikacin sulfate
Инжекция/Инжекционен Cefpirome sulfate
3677
съвместим
Инжекция/Инжекционен Amikacin sulfate 5 mg/ml
Инжекция/Инжекционен Cefpirome sulfate 50 mg/ml
Sodium chloride 0,45% 280
съвместим
Инжекция/Инжекционен Amikacin sulfate 5 mg/ml
Инжекция/Инжекционен Cefpirome sulfate 50 mg/ml
Glucose 5% 280
съвместим
Инжекция/Инжекционен Amikacin sulfate 5 mg/ml
Инжекция/Инжекционен Cefpirome sulfate 50 mg/ml
Sodium chloride 0,9% 280
съвместим
Инжекция/Инжекционен Amikacin sulfate 5 mg/ml
Инжекция/Инжекционен Cefpirome sulfate 50 mg/ml
Ринтер лактат 280
Химическа нестабилност Несъвместим
Инжекция/Инжекционен Amikacin sulfate
Инжекция/Инжекционен Cefpirome sulfate
3549
съвместим
Инжекция/Инжекционен Amikacin sulfate 5 mg/ml
Инжекция/Инжекционен Ceftaroline fosamil 2,22 mg/ml
Ринтер лактат 3249
съвместим
Инжекция/Инжекционен Amikacin sulfate 5 mg/ml
Инжекция/Инжекционен Ceftaroline fosamil 2,22 mg/ml
Glucose 5% 3249
съвместим
Инжекция/Инжекционен Amikacin sulfate 5 mg/ml
Инжекция/Инжекционен Ceftaroline fosamil 2,22 mg/ml
Sodium chloride 0,9% 3249
Неопределена несъвместимост Несъвместим
Инжекция/Инжекционен Amikacin sulfate
Инжекция/Инжекционен Ceftazidime
3883
Неопределена несъвместимост Несъвместим
Инжекция/Инжекционен Amikacin sulfate
Инжекция/Инжекционен Ceftazidime
3543
съвместим
Инжекция/Инжекционен Amikacin sulfate 15 mg/ml
Инжекция/Инжекционен Ceftazidime 83.3 mg/ml
1759
Химическа нестабилност Несъвместим
Инжекция/Инжекционен Amikacin sulfate
Инжекция/Инжекционен Ceftazidime Avibactam
3549
Незабавни валежи Несъвместим
Инжекция/Инжекционен Amikacin sulfate 5 mg/ml
Инжекция/Инжекционен Ceftobiprole medocaril sodium 2 mg/ml
Sodium chloride 0,9% 2269
Неопределена несъвместимост Несъвместим
Инжекция/Инжекционен Amikacin sulfate
Инжекция/Инжекционен Ceftobiprole medocaril sodium
4650
съвместим
Инжекция/Инжекционен Amikacin sulfate
Glucose 5% 5076
Химическа нестабилност Несъвместим
Инжекция/Инжекционен Amikacin sulfate
Инжекция/Инжекционен Ceftaroline fosamil
3549
Химическа нестабилност Несъвместим
Инжекция/Инжекционен Amikacin sulfate
Инжекция/Инжекционен Ceftazidime
3549
съвместим
Инжекция/Инжекционен Amikacin sulfate 15 mg/ml
Инжекция/Инжекционен Ceftazidime 125 mg/ml
Вода за инжекции 2141
Химическа нестабилност Несъвместим
Инжекция/Инжекционен Amikacin sulfate
Инжекция/Инжекционен Ceftizoxime sodium
3549
Незабавни валежи Несъвместим
Инжекция/Инжекционен Amikacin sulfate 5 mg/ml
Инжекция/Инжекционен Ceftobiprole medocaril sodium 2 mg/ml
Glucose 5% 2269
Химическа нестабилност Несъвместим
Инжекция/Инжекционен Amikacin sulfate
Инжекция/Инжекционен Ceftobiprole medocaril sodium
3549
Незабавни валежи Несъвместим
Инжекция/Инжекционен Amikacin sulfate 5 mg/ml
Инжекция/Инжекционен Ceftobiprole medocaril sodium 2 mg/ml
Ринтер лактат 2269
съвместим
Инжекция/Инжекционен Amikacin sulfate 5 mg/ml
Инжекция/Инжекционен Ceftolozane / tazobactam 10/5 mg/ml
Glucose 5% 3828
съвместим
Инжекция/Инжекционен Amikacin sulfate 5 mg/ml
Инжекция/Инжекционен Ceftolozane / tazobactam 10/5 mg/ml
Sodium chloride 0,9% 3828
Химическа нестабилност Несъвместим
Инжекция/Инжекционен Amikacin sulfate
Инжекция/Инжекционен Ceftolozane / tazobactam
3549
Неопределена несъвместимост Несъвместим
Инжекция/Инжекционен Amikacin sulfate
Инжекция/Инжекционен Ceftriaxone disodium
3523
Химическа нестабилност Несъвместим
Инжекция/Инжекционен Amikacin sulfate
Инжекция/Инжекционен Ceftriaxone disodium
3549
Химическа нестабилност Несъвместим
Инжекция/Инжекционен Amikacin sulfate
Инжекция/Инжекционен Cefuroxime sodium
3549
Неопределена несъвместимост Несъвместим
Инжекция/Инжекционен Amikacin sulfate
Инжекция/Инжекционен Cefuroxime sodium
3687
Химическа нестабилност Несъвместим
Инжекция/Инжекционен Amikacin sulfate
Инжекция/Инжекционен Cefuzonam
3549
Неопределена несъвместимост Несъвместим
Инжекция/Инжекционен Amikacin sulfate
Инжекция/Инжекционен Chlorothiazide sodium
3549
съвместим
Инжекция/Инжекционен Amikacin sulfate 2.5 mg/ml
Инжекция/Инжекционен Cimetidine hydrochloride 1.5 mg/ml
Glucose 5% 1201
Химическа нестабилност Несъвместим
Инжекция/Инжекционен Amikacin sulfate 4 mg/ml
Инжекция/Инжекционен Ciprofloxacin lactate 1.5 mg/ml
Sodium chloride 0,9% 434
Химическа нестабилност Несъвместим
Инжекция/Инжекционен Amikacin sulfate 4 mg/ml
Инжекция/Инжекционен Ciprofloxacin lactate 1.5 mg/ml
Glucose 5% 434
съвместим
Инжекция/Инжекционен Amikacin sulfate 5 mg/ml
Инжекция/Инжекционен Cisatracurium besylate 0.1 >> 5 mg/ml
Glucose 5% 299
съвместим
Инжекция/Инжекционен Amikacin sulfate 4 mg/ml
Инжекция/Инжекционен Clindamycin phosphate 9 mg/ml
Sodium chloride 0,9% 565
съвместим
Инжекция/Инжекционен Amikacin sulfate 250 mg/ml
Парентерално хранене (липидите безплатно) 999
съвместим
Инжекция/Инжекционен Amikacin sulfate 5 mg/ml
Инжекция/Инжекционен Ciprofloxacin lactate 2 mg/ml
Glucose 5% 285
Химическа нестабилност Несъвместим
Инжекция/Инжекционен Amikacin sulfate
Инжекция/Инжекционен Cisplatin
3578
съвместим
Инжекция/Инжекционен Amikacin sulfate 75 mg/ml
Инжекция/Инжекционен Clindamycin phosphate 90 mg/ml
Sodium chloride 0,9% 639
съвместим
Инжекция/Инжекционен Amikacin sulfate
Инжекция/Инжекционен Clindamycin phosphate
Sodium chloride 0,9% 3526
Субизуална несъвместимост Несъвместим
Инжекция/Инжекционен Amikacin sulfate 250 mg/ml
Инжекция/Инжекционен Cloxacillin sodium 100 mg/ml
Вода за инжекции 3012
Неопределена несъвместимост Несъвместим
Инжекция/Инжекционен Amikacin sulfate
Инжекция/Инжекционен Daunorubicin/cytarabine liposomale
4354
съвместим
Инжекция/Инжекционен Amikacin sulfate 5 mg/ml
Парентерално хранене (липидите безплатно) 316
съвместим
Инжекция/Инжекционен Amikacin sulfate 4 mg/ml
Инжекция/Инжекционен Clindamycin phosphate 9 mg/ml
Glucose 5% 565
съвместим
Инжекция/Инжекционен Amikacin sulfate
Инжекция/Инжекционен Clindamycin phosphate
Glucose 5% 3526
Химическа нестабилност Несъвместим
Инжекция/Инжекционен Amikacin sulfate
Инжекция/Инжекционен Cloxacillin sodium
3549
Неопределена несъвместимост Несъвместим
Инжекция/Инжекционен Amikacin sulfate
Инжекция/Инжекционен Cyanocobalamine
3549
Незабавна мътност Несъвместим
Инжекция/Инжекционен Amikacin sulfate
Инжекция/Инжекционен Daunorubicin/cytarabine liposomale 0,4 mg/mL
Sodium chloride 0,9% 4654
Незабавни валежи Несъвместим
Инжекция/Инжекционен Amikacin sulfate 5 mg/ml
Инжекция/Инжекционен Defibrotide 8 mg/ml
Sodium chloride 0,9% 3728
съвместим
Инжекция/Инжекционен Amikacin sulfate 50 mg/ml
Инжекция/Инжекционен Dexamethasone sodium phosphate 4 mg/ml
Sodium chloride 0,45% 132
Неопределена несъвместимост Несъвместим
Инжекция/Инжекционен Amikacin sulfate
Инжекция/Инжекционен Erythromycin lactobionate
3549
съвместим
Инжекция/Инжекционен Amikacin sulfate 5 mg/ml
Парентерално хранене (липидите безплатно) 301
съвместим
Инжекция/Инжекционен Amikacin sulfate 5 mg/ml
Инжекция/Инжекционен Dexmedetomidine 4 µg/ml
Sodium chloride 0,9% 1712
съвместим
Инжекция/Инжекционен Amikacin sulfate 5 & 250 mg/ml
Инжекция/Инжекционен Diltiazem hydrochloride 5 mg/ml
Sodium chloride 0,9% 198
съвместим
Инжекция/Инжекционен Amikacin sulfate 5 mg/ml
Инжекция/Инжекционен Docetaxel 0.9 mg/ml
Glucose 5% 1754
съвместим
Инжекция/Инжекционен Amikacin sulfate 5 mg/ml
Инжекция/Инжекционен Doripenem 5 mg/ml
Sodium chloride 0,9% 2262
съвместим
Инжекция/Инжекционен Amikacin sulfate 5 mg/ml
Инжекция/Инжекционен Doripenem 5 mg/ml
Glucose 5% 2262
Химическа нестабилност Несъвместим
Инжекция/Инжекционен Amikacin sulfate
Инжекция/Инжекционен Doripenem
3549
съвместим
Инжекция/Инжекционен Amikacin sulfate 2 mg/ml
Инжекция/Инжекционен Enalaprilate 0.05 mg/ml
Sodium chloride 0,9% 1315
Химическа нестабилност Несъвместим
Инжекция/Инжекционен Amikacin sulfate
Инжекция/Инжекционен Ertapenem
3549
Неопределена несъвместимост Несъвместим
Инжекция/Инжекционен Amikacin sulfate
Инжекция/Инжекционен Erythromycin lactobionate
3674
съвместим
Инжекция/Инжекционен Amikacin sulfate 5 mg/ml
Инжекция/Инжекционен Esmolol hydrochloride 10 mg/ml
Glucose 5% 384
съвместим
Инжекция/Инжекционен Amikacin sulfate 5 mg/ml
Инжекция/Инжекционен Etoposide phosphate 5 mg/ml
Glucose 5% 1410
съвместим
Инжекция/Инжекционен Amikacin sulfate 5 mg/ml
Инжекция/Инжекционен Fenoldopam mesylate 80 µg/ml
Sodium chloride 0,9% 1803
съвместим
Инжекция/Инжекционен Amikacin sulfate 5 mg/ml
Инжекция/Инжекционен Filgrastim 30 µg/ml
Glucose 5% 244
съвместим
Инжекция/Инжекционен Amikacin sulfate 0.487 >> 0.667 mg/ml
Парентерално хранене (с липиди) 1868
съвместим
Инжекция/Инжекционен Amikacin sulfate 250 mg/ml
Ринтер лактат 4603
Нестабилност на емулсията след 1 час Несъвместим
Инжекция/Инжекционен Amikacin sulfate 250 mg/ml
Парентерално хранене (с липиди) 673
съвместим
Инжекция/Инжекционен Amikacin sulfate 5 mg/ml
Инжекция/Инжекционен Filgrastim 40 µg/ml
Glucose 5% 104
Непосредствена нестабилност на емулсията Несъвместим
Инжекция/Инжекционен Amikacin sulfate 50 mg/ml
Парентерално хранене (с липиди) 132
съвместим
Инжекция/Инжекционен Amikacin sulfate 5 mg/ml
Парентерално хранене (с липиди) 1415
Незабавни валежи Несъвместим
Инжекция/Инжекционен Amikacin sulfate
Инжекция/Инжекционен Flucloxacillin sodium
3522
съвместим
Инжекция/Инжекционен Amikacin sulfate 20 mg/ml
Инжекция/Инжекционен Fluconazole 2 mg/ml
Sodium chloride 0,9% 496
съвместим
Инжекция/Инжекционен Amikacin sulfate 5 mg/ml
Инжекция/Инжекционен Fluconazole 2 mg/ml
Няма 256
съвместим
Инжекция/Инжекционен Amikacin sulfate 5 mg/ml
Инжекция/Инжекционен Fludarabine phosphate 1 mg/ml
Glucose 5% 492
съвместим
Инжекция/Инжекционен Amikacin sulfate 20 mg/ml
Инжекция/Инжекционен Foscarnet sodium 24 mg/ml
Няма 73
съвместим
Инжекция/Инжекционен Amikacin sulfate 5 mg/ml
Инжекция/Инжекционен Fosfomycin 30 mg/ml
Sodium chloride 0,9% 4055
съвместим
Инжекция/Инжекционен Amikacin sulfate 5 mg/ml
Инжекция/Инжекционен Fosfomycin 30 mg/ml
Glucose 5% 4055
Незабавни валежи Несъвместим
Инжекция/Инжекционен Amikacin sulfate 2 mg/ml
Инжекция/Инжекционен Furosemide 0,16 mg/ml
Sodium chloride 0,9% 367
Незабавни валежи Несъвместим
Инжекция/Инжекционен Amikacin sulfate 2 mg/ml
Инжекция/Инжекционен Furosemide 0,16 mg/ml
Glucose 5% 367
съвместим
Инжекция/Инжекционен Amikacin sulfate 5 mg/ml
Инжекция/Инжекционен Gemcitabine hydrochloride 10 mg/ml
Sodium chloride 0,9% 1423
съвместим
Инжекция/Инжекционен Amikacin sulfate 5 mg/ml
Инжекция/Инжекционен Granisetron hydrochloride 0.05 mg/ml
Glucose 5% 182
Неопределена несъвместимост Несъвместим
Инжекция/Инжекционен Amikacin sulfate
Инжекция/Инжекционен Heparin sodium
3549
Неопределена несъвместимост Несъвместим
Инжекция/Инжекционен Amikacin sulfate
Инжекция/Инжекционен Heparin sodium
3540
Незабавни валежи Несъвместим
Инжекция/Инжекционен Amikacin sulfate
Инжекция/Инжекционен Heparin sodium
1022
съвместим
Инжекция/Инжекционен Amikacin sulfate 5 mg/ml
Инжекция/Инжекционен Hetastarch 60 mg/ml
Специфична разтворител 1721
Незабавни валежи Несъвместим
Инжекция/Инжекционен Amikacin sulfate 5 mg/ml
Инжекция/Инжекционен Hetastarch 60 mg/ml
Sodium chloride 0,9% 472
съвместим
Инжекция/Инжекционен Amikacin sulfate 5 mg/ml
Инжекция/Инжекционен Hydromorphone hydrochloride 0.2 mg/ml
Glucose 5% 405
Незабавна мътност Несъвместим
Инжекция/Инжекционен Amikacin sulfate 50 mg/ml
Инжекция/Инжекционен Ibuprofen lysinate 10 mg/ml
Вода за инжекции 4419
Незабавна мътност Несъвместим
Инжекция/Инжекционен Amikacin sulfate 250 mg/ml
Инжекция/Инжекционен Ibuprofen lysinate 10 mg/ml
Вода за инжекции 4419
съвместим
Инжекция/Инжекционен Amikacin sulfate 5 mg/ml
Инжекция/Инжекционен Idarubicin hydrochloride 1 mg/ml
Sodium chloride 0,9% 491
Химическа нестабилност Несъвместим
Инжекция/Инжекционен Amikacin sulfate
Инжекция/Инжекционен Imipenem - cilastatin sodium
3549
съвместим
Инжекция/Инжекционен Amikacin sulfate 5 mg/ml
Инжекция/Инжекционен Isavuconazonium sulfate 1.5 mg/ml
Glucose 5% 3829
съвместим
Инжекция/Инжекционен Amikacin sulfate 5 mg/ml
Инжекция/Инжекционен Isavuconazonium sulfate 1.5 mg/ml
Sodium chloride 0,9% 3829
съвместим
Инжекция/Инжекционен Amikacin sulfate 250 mg/ml
Инжекция/Инжекционен Ketamine hydrochloride 50 mg/ml
2109
съвместим
Инжекция/Инжекционен Amikacin sulfate 5 mg/ml
Инжекция/Инжекционен Labetalol hydrochloride 1 mg/ml
Glucose 5% 386
съвместим
Инжекция/Инжекционен Amikacin sulfate 5 mg/ml
Инжекция/Инжекционен Lansoprazole 0.55 mg/ml
Sodium chloride 0,9% 1625
съвместим
Инжекция/Инжекционен Amikacin sulfate 50 mg/ml
Инжекция/Инжекционен Levofloxacine 5 mg/ml
Glucose 5% 1072
съвместим
Инжекция/Инжекционен Amikacin sulfate 5 mg/ml
Инжекция/Инжекционен Linezolid 2 mg/ml
Няма 1925
съвместим
Инжекция/Инжекционен Amikacin sulfate 5 mg/ml
Инжекция/Инжекционен Lorazepam 0.33 mg/ml
Sodium chloride 0,9% 186
съвместим
Инжекция/Инжекционен Amikacin sulfate 5 mg/ml
Инжекция/Инжекционен Magnesium sulfate 16.67 >> 100 mg/ml
Glucose 5% 1047
съвместим
Инжекция/Инжекционен Amikacin sulfate 5 mg/ml
Инжекция/Инжекционен Melphalan 0.1 mg/ml
Sodium chloride 0,9% 169
съвместим
Инжекция/Инжекционен Amikacin sulfate 250 mg/ml
Инжекция/Инжекционен Meropenem 50 mg/ml
4389
съвместим
Инжекция/Инжекционен Amikacin sulfate 250 mg/ml
Инжекция/Инжекционен Meropenem 50 mg/ml
Вода за инжекции 4319
Химическа нестабилност Несъвместим
Инжекция/Инжекционен Amikacin sulfate
Инжекция/Инжекционен Meropenem
3549
съвместим
Инжекция/Инжекционен Amikacin sulfate
Инжекция/Инжекционен Metronidazole
3594
съвместим
Инжекция/Инжекционен Amikacin sulfate 5 mg/ml
Инжекция/Инжекционен Metronidazole 5 mg/ml
Няма 1035
съвместим
Инжекция/Инжекционен Amikacin sulfate 5 mg/ml
Инжекция/Инжекционен Midazolam hydrochloride 5 mg/ml
Няма 186
съвместим
Инжекция/Инжекционен Amikacin sulfate 5 mg/ml
Инжекция/Инжекционен Morphine sulfate 1 mg/ml
Glucose 5% 405
съвместим
Инжекция/Инжекционен Amikacin sulfate 250 mg/ml
Инжекция/Инжекционен N-acetylcysteine 200 mg/ml
Няма 3766
Химическа нестабилност Несъвместим
Инжекция/Инжекционен Amikacin sulfate
Инжекция/Инжекционен Nafcillin sodium
3549
съвместим
Инжекция/Инжекционен Amikacin sulfate 2,5 mg/ml
Инжекция/Инжекционен Nalbuphine hydrochloride 0,05 >> 0,33 mg/ml
Sodium chloride 0,9% 4867
съвместим
Инжекция/Инжекционен Amikacin sulfate 250 mg/ml
Инжекция/Инжекционен Naloxone hydrochloride 0.4 mg/ml
Няма 3408
съвместим
Инжекция/Инжекционен Amikacin sulfate 2 mg/ml
Инжекция/Инжекционен Nicardipine hydrochloride 0.1 mg/ml
Glucose 5% 1490
съвместим
Инжекция/Инжекционен Amikacin sulfate 2 mg/ml
Инжекция/Инжекционен Nicardipine hydrochloride 0.1 mg/ml
Sodium chloride 0,9% 1490
съвместим
Инжекция/Инжекционен Amikacin sulfate 5 mg/ml
Инжекция/Инжекционен Ondansetron hydrochloride 1 mg/ml
Sodium chloride 0,9% 334
Химическа нестабилност Несъвместим
Инжекция/Инжекционен Amikacin sulfate
Инжекция/Инжекционен Oxacillin sodium
3549
съвместим
Инжекция/Инжекционен Amikacin sulfate 5 mg/ml
Инжекция/Инжекционен Paclitaxel 1.2 mg/ml
Glucose 5% 248
Незабавни валежи Несъвместим
Инжекция/Инжекционен Amikacin sulfate
Инжекция/Инжекционен Pantoprazole sodium
2090
съвместим
Инжекция/Инжекционен Amikacin sulfate 250 mg/ml
Инжекция/Инжекционен Paracetamol 10 mg/ml
4742
съвместим
Инжекция/Инжекционен Amikacin sulfate 5 mg/ml
Инжекция/Инжекционен Pemetrexed disodium 20 mg/ml
Sodium chloride 0,9% 1953
Химическа нестабилност Несъвместим
Инжекция/Инжекционен Amikacin sulfate
Инжекция/Инжекционен Penicillin G potassium
3549
Химическа нестабилност Несъвместим
Инжекция/Инжекционен Amikacin sulfate
Инжекция/Инжекционен Penicillin G sodium
3549
съвместим
Инжекция/Инжекционен Amikacin sulfate 50 mg/ml
Инжекция/Инжекционен Pethidine hydrochloride 100 mg/ml
Sodium chloride 0,45% 132
съвместим
Инжекция/Инжекционен Amikacin sulfate 5 mg/ml
Инжекция/Инжекционен Pethidine hydrochloride 10 mg/ml
Glucose 5% 405
Неопределена несъвместимост Несъвместим
Инжекция/Инжекционен Amikacin sulfate
Инжекция/Инжекционен Phenytoin sodium
3549
съвместим
Инжекция/Инжекционен Amikacin sulfate 40 mg/ml
Инжекция/Инжекционен Phloroglucinol 2,5 mg/ml
3791
Химическа нестабилност Несъвместим
Инжекция/Инжекционен Amikacin sulfate
Инжекция/Инжекционен Piperacillin sodium
3549
Химическа нестабилност Несъвместим
Инжекция/Инжекционен Amikacin sulfate
Инжекция/Инжекционен Piperacillin sodium / tazobactam
3549
Химическа нестабилност Несъвместим
Инжекция/Инжекционен Amikacin sulfate
Инжекция/Инжекционен Piperacillin sodium / tazobactam
3586
съвместим
Инжекция/Инжекционен Amikacin sulfate
Инжекция/Инжекционен Posaconazole
4380
Незабавни валежи Несъвместим
Инжекция/Инжекционен Amikacin sulfate 5 mg/ml
Инжекция/Инжекционен Propofol 10 mg/ml
Няма 300
Неопределена несъвместимост Несъвместим
Инжекция/Инжекционен Amikacin sulfate
Инжекция/Инжекционен Pyridoxine hydrochloride
3549
съвместим
Инжекция/Инжекционен Amikacin sulfate 5 mg/ml
Инжекция/Инжекционен Remifentanil hydrochloride 25 & 250 µg/ml
Sodium chloride 0,9% 59
Незабавни валежи Несъвместим
Инжекция/Инжекционен Amikacin sulfate 250 mg/ml
Инжекция/Инжекционен Salbutamol sulfate 1 mg/ml
Няма 3216
съвместим
Инжекция/Инжекционен Amikacin sulfate 5 mg/ml
Инжекция/Инжекционен Sargramostim 10 µg/ml
Sodium chloride 0,9% 335
съвместим
Инжекция/Инжекционен Amikacin sulfate 10 mg/ml
Инжекция/Инжекционен Sulbactam/durlobactam 15/15 mg/ml
Sodium chloride 0,9% 4801
съвместим
Инжекция/Инжекционен Amikacin sulfate 5 mg/ml
Инжекция/Инжекционен Tedizolid phosphate 0.8 mg/ml
Sodium chloride 0,9% 3827
Неопределена несъвместимост Несъвместим
Инжекция/Инжекционен Amikacin sulfate
Инжекция/Инжекционен Teicoplanine
3656
съвместим
Инжекция/Инжекционен Amikacin sulfate
Sodium chloride 0,9% 5076
Неопределена несъвместимост Несъвместим
Инжекция/Инжекционен Amikacin sulfate 50 mg/ml
Инжекция/Инжекционен Propofol
4524
Неопределена несъвместимост Несъвместим
Инжекция/Инжекционен Amikacin sulfate
Инжекция/Инжекционен Temocilline
2296
съвместим
Инжекция/Инжекционен Amikacin sulfate 15 mg/ml
Инжекция/Инжекционен Temocilline 83.33 mg/ml
Вода за инжекции 2231
Химическа нестабилност Несъвместим
Инжекция/Инжекционен Amikacin sulfate
Инжекция/Инжекционен Temocilline
3549
съвместим
Инжекция/Инжекционен Amikacin sulfate 5 mg/ml
Инжекция/Инжекционен Teniposide 0.1 mg/ml
Glucose 5% 905
Неопределена несъвместимост Несъвместим
Инжекция/Инжекционен Amikacin sulfate
Инжекция/Инжекционен Thiamine hydrochloride
3549
Незабавни валежи Несъвместим
Инжекция/Инжекционен Amikacin sulfate 250 mg/ml
Инжекция/Инжекционен Thiopental sodium 25 mg/ml
Sodium chloride 0,9% 3767
Неопределена несъвместимост Несъвместим
Инжекция/Инжекционен Amikacin sulfate
Инжекция/Инжекционен Thiopental sodium
3549
съвместим
Инжекция/Инжекционен Amikacin sulfate 5 mg/ml
Инжекция/Инжекционен Thiotepa 1 mg/ml
Glucose 5% 249
Химическа нестабилност Несъвместим
Инжекция/Инжекционен Amikacin sulfate
Инжекция/Инжекционен Ticarcillin / clavulanic acid
3587
Химическа нестабилност Несъвместим
Инжекция/Инжекционен Amikacin sulfate
Инжекция/Инжекционен Ticarcillin / clavulanic acid
3549
съвместим
Инжекция/Инжекционен Amikacin sulfate
Инжекция/Инжекционен Tigecycline
Sodium chloride 0,9% 3332
съвместим
Инжекция/Инжекционен Amikacin sulfate 15 mg/ml
Инжекция/Инжекционен Vancomycin hydrochloride 10 mg/ml
Glucose 5% 3385
съвместим
Инжекция/Инжекционен Amikacin sulfate 2 mg/ml
Инжекция/Инжекционен Verapamil hydrochloride 0.08 mg/ml
Sodium chloride 0,9% 1057
съвместим
Инжекция/Инжекционен Amikacin sulfate 2 mg/ml
Инжекция/Инжекционен Verapamil hydrochloride 0.08 mg/ml
Glucose 5% 1057
Незабавна мътност Несъвместим
Инжекция/Инжекционен Amikacin sulfate 5 mg/ml
Инжекция/Инжекционен Vinorelbine tartrate 1 mg/ml
Sodium chloride 0,9% 84
съвместим
Инжекция/Инжекционен Amikacin sulfate 5 mg/ml
Инжекция/Инжекционен Warfarin sodium 0.1 & 2 mg/ml
Glucose 5% 552
съвместим
Инжекция/Инжекционен Amikacin sulfate 5 mg/ml
Инжекция/Инжекционен Warfarin sodium 0.1 & 2 mg/ml
Sodium chloride 0,9% 552
съвместим
Инжекция/Инжекционен Amikacin sulfate 4 mg/ml
Инжекция/Инжекционен Zidovudine 4 mg/ml
Glucose 5% 337

  Mentions Légales