Última actualización :
27/04/2026
Antibiótico   Amikacin sulfate  
Inyectables
Estabilidad en solucion Estabilidad en mezcla Factores que influyen sobre la estabilidad Compatibilidades método de inyección Bibliografía pdf
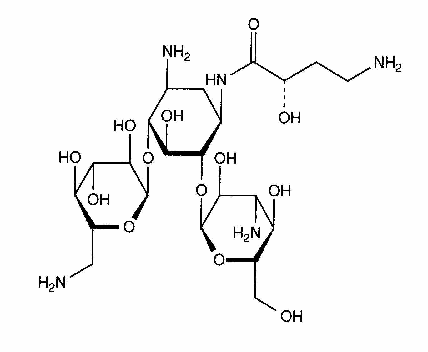
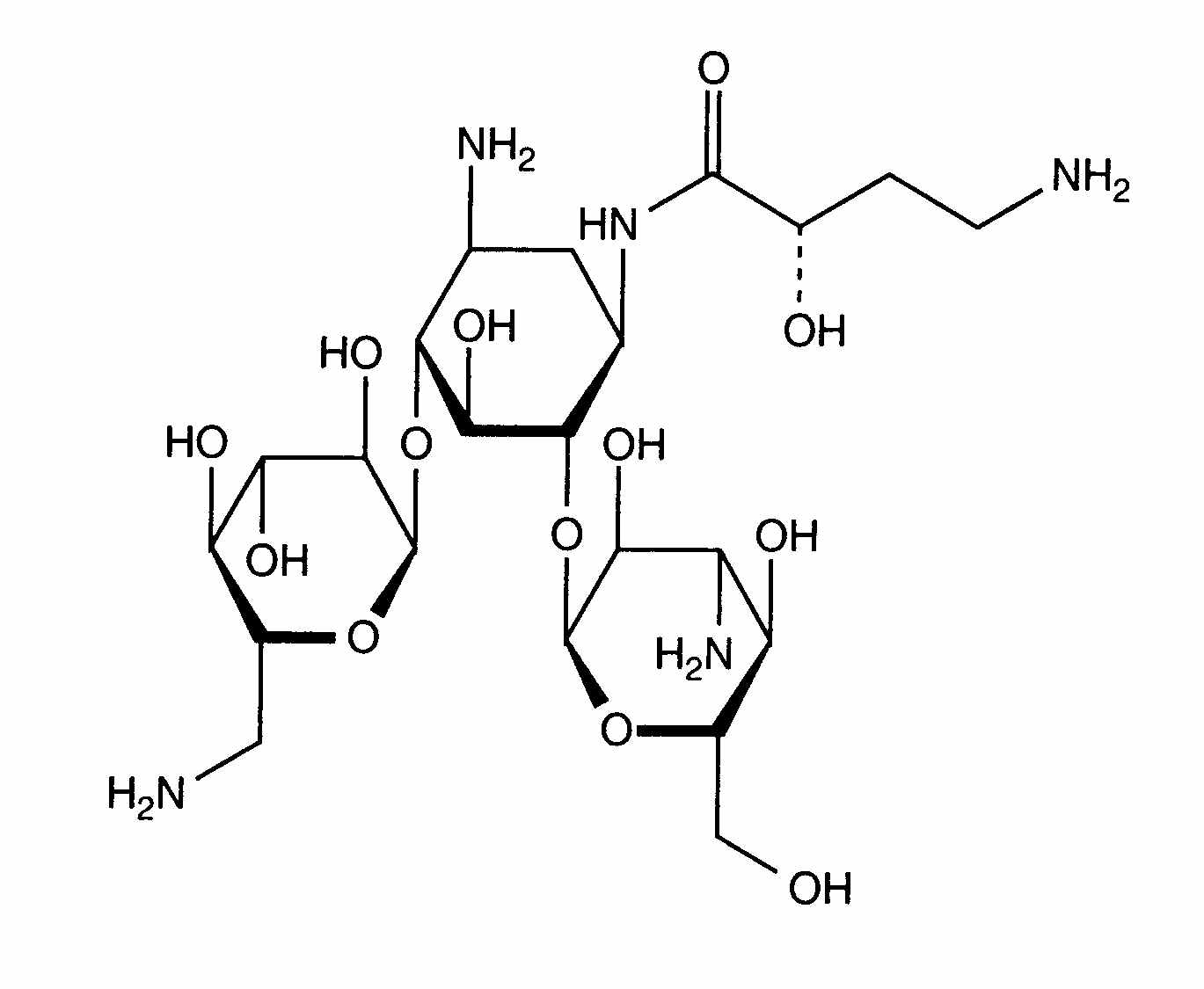
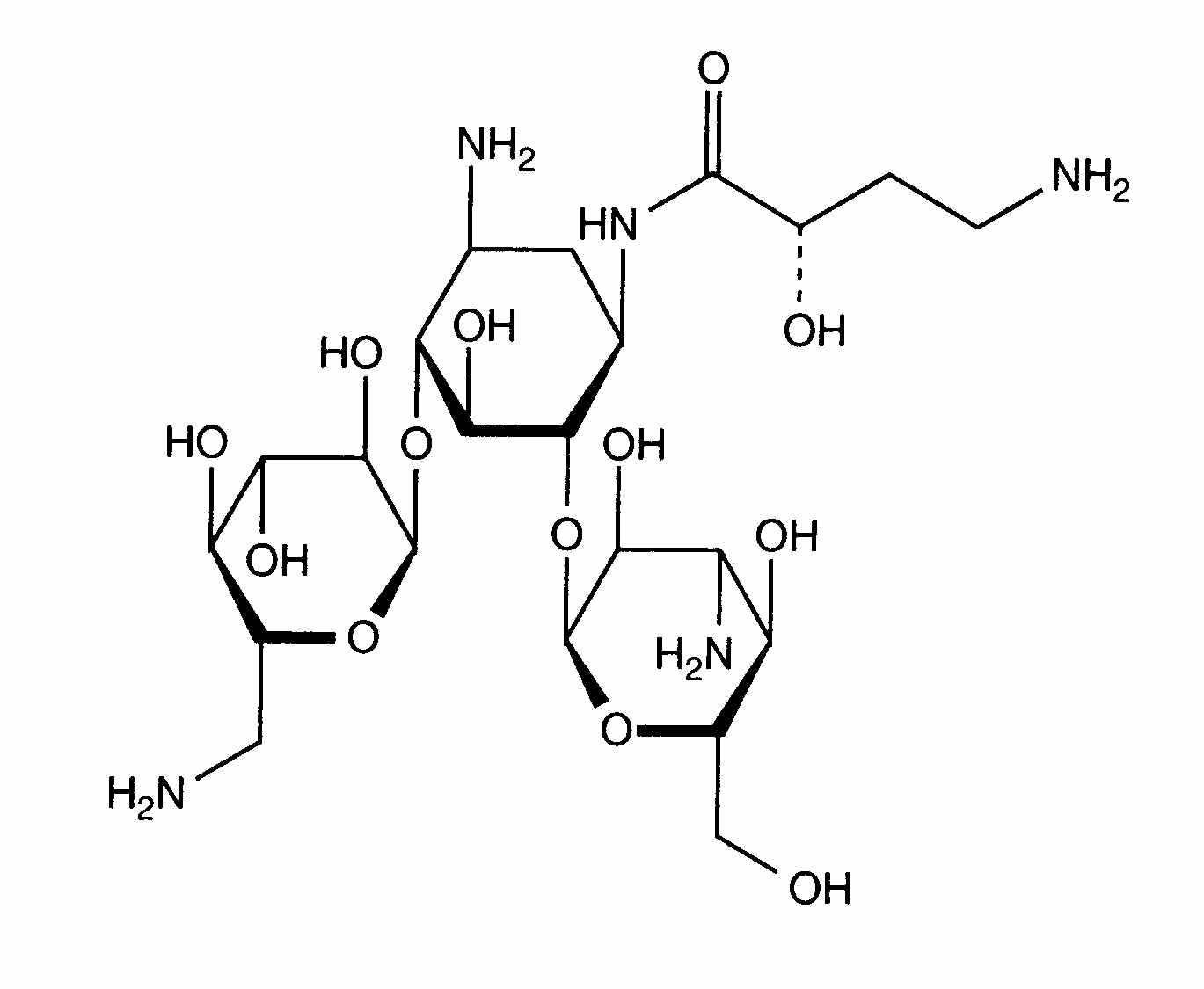
   Estructura química  

Nombre comercial   Nombre comercial     

Los nombres comerciales son orientativos y los excipientes de la formulación pueden ser distintos dependiendo del país y del laboratorio fabricante.

Adnet India
Agnicin México
Akamin Ecuador
Akim Ecuador
Amicacil Brasil
Amicilon Brasil
Amicin Malasia
Amicip Venezuela
Amijeksin Turquía
Amikabiot Ecuador, Marruecos
Amikacin Alemania, Arabia Saudita, Canadá, Egipto, Estados Unidos de América, Gran Bretaña, Irán, Malasia, Nueva Zelanda
Amikacina Argentina, Chile, Colombia, Ecuador, España, Italia, Marruecos, México, Venezuela
Amikacine Bélgica, Francia, Marruecos, Países Bajos
Amikafur México
Amikagram Marruecos
Amikalem México
Amikamed Marruecos
Amikamek Marruecos
Amikan Italia
Amikavax Venezuela
Amikaver Turquía
Amikayect México
Amikem Marruecos
Amiketem Turquía
Amikin Arabia Saudita, Australia, Brasil, Colombia, Ecuador, Egipto, Estados Unidos de América, Gran Bretaña, Hungría, Irlanda, Marruecos, México, Polonia, Suiza, Túnez
Amiklin Francia, Turquía
Amikosit Rumania, Túnez, Turquía
Amikram Marruecos
Amukin Bélgica, Luxemburgo, Países Bajos
Apalin Malasia
Baxi K Chile, México
Behcacin India, Venezuela
Belka India
Biclin Alemania, Austria, España, Finlandia, México, Portugal, Suecia
Biodacyna Polonia
Biokacin México
Briklin Grecia
Cadicin India
Chemacin Italia
Cikabit India
Cinamica India
Cinas India
Consumonit Grecia
Domak India
Doxocar Argentina
Elcin India
Elmik India
Emcin India
Emica India
Farcyclin Grecia
Flexelite Grecia
Greini Argentina
Ipacin Irán
Itukacin Marruecos
Kancin Grecia
Lanomycin Grecia
Lukadin Italia
Masmika India
Mediamik Italia
Micalpha Grecia
Micigen México
Migracin Italia
Mikacin Arabia Saudita
Nekacin Italia
Novamin Brasil
Orlobin Grecia
Remikin Grecia
Rovericlin Grecia
Uzix Grecia
Compatibilidades   Inyectables   Compatibilidades : Amikacin sulfate              
Esta pantalla muestra las compatibilidades o incompatibilidades, así como el tipo de incompatibilidad (precipitación, cambio de color, modificación de una emulsión, etc). Las compatibilidades que se recogen aquí son fundamentalmente físicas, mostrando raramente la estabilidad química de la molécula. La evaluación de estas mezclas se estudió con el fin de de comprobar la posibilidad de administración en Y al paciente. Estos datos no pueden utilizarse en el caso de la preparación de mezclas dentro de bolsas o jeringas. Este tipo de información está disponible en la pantalla “Estabilidad en mezcla”.
Molécula Solvente Bibliografía
Compatible
Inyectables Amikacin sulfate 5 mg/ml
Inyectables Aciclovir sodium 5 mg/ml
Glucosa 5% 336
Precipitación después de 1 hora Incompatible
Inyectables Amikacin sulfate 5 mg/ml
Inyectables Allopurinol sodium 3 mg/ml
Cloruro de sodio 0,9% 307
Compatible
Inyectables Amikacin sulfate 5 mg/ml
Inyectables Amifostine 10 mg/ml
Glucosa 5% 3
Compatible
Inyectables Amikacin sulfate 5 mg/ml
Inyectables Amiodarone hydrochloride 4 mg/ml
Cloruro de sodio 0,9% 385
Compatible
Inyectables Amikacin sulfate 5 mg/ml
Inyectables Amiodarone hydrochloride 4 mg/ml
Glucosa 5% 385
Inestabilidad química Incompatible
Inyectables Amikacin sulfate
Inyectables Amoxicillin sodium
3527
Inestabilidad química Incompatible
Inyectables Amikacin sulfate
Inyectables Amoxicillin sodium
3549
Compatible
Inyectables Amikacin sulfate 250 mg/ml
Inyectables Amoxicillin sodium / clavulanic acid 100/10 mg/ml
3824
Inestabilidad química Incompatible
Inyectables Amikacin sulfate
Inyectables Amoxicillin sodium / clavulanic acid
3549
Incompatibilidad no especificada Incompatible
Inyectables Amikacin sulfate
Inyectables Amoxicillin sodium / clavulanic acid
3545
Incompatibilidad no especificada Incompatible
Inyectables Amikacin sulfate
Inyectables Amphotericin B
3549
Precipitación inmediata Incompatible
Inyectables Amikacin sulfate 5 mg/ml
Inyectables Amphotericin B cholesteryl sulfate complex 0.83 mg/ml
Glucosa 5% 921
Inestabilidad química Incompatible
Inyectables Amikacin sulfate
Inyectables Ampicillin sodium
3549
Inestabilidad química Incompatible
Inyectables Amikacin sulfate
Inyectables Ampicillin sodium - sulbactam sodium
3549
Compatible
Inyectables Amikacin sulfate 5 mg/ml
Inyectables Amsacrine 1 mg/ml
Glucosa 5% 253
Compatible
Inyectables Amikacin sulfate 5 mg/ml
Inyectables Anidulafungin 0.5 mg/ml
Glucosa 5% 1982
Incompatibilidad no especificada Incompatible
Inyectables Amikacin sulfate
Inyectables Ascorbic acid
3549
Precipitación inmediata Incompatible
Inyectables Amikacin sulfate 100 mg/ml
Inyectables Azithromycine 2 mg/ml
Cloruro de sodio 0,9% 1800
Inestabilidad química Incompatible
Inyectables Amikacin sulfate
Inyectables Aztreonam
3549
Compatible
Inyectables Amikacin sulfate 5 mg/ml
Inyectables Aztreonam 40 mg/ml
Glucosa 5% 99
Compatible
Inyectables Amikacin sulfate 5 mg/ml
Inyectables Bivalirudin 5 mg/ml
Glucosa 5% 1713
Compatible
Inyectables Amikacin sulfate 250 mg/ml
Inyectables Caffeine 10 mg/ml
Ninguno 3964
Incompatible
Inyectables Amikacin sulfate
Inyectables Calcium gluconate
4964
Incompatibilidad no especificada Incompatible
Inyectables Amikacin sulfate
Inyectables Calcium gluconate
3644
Compatible
Inyectables Amikacin sulfate 5 mg/ml
Inyectables Caspofungin acetate 0,7 mg/ml
Cloruro de sodio 0,9% 2247
Inestabilidad química Incompatible
Inyectables Amikacin sulfate
Inyectables Cefalotin sodium
3549
Inestabilidad química Incompatible
Inyectables Amikacin sulfate
Inyectables Cefamandole nafate
3549
Incompatibilidad no especificada Incompatible
Inyectables Amikacin sulfate
Inyectables Cefamandole nafate
3546
Inestabilidad química Incompatible
Inyectables Amikacin sulfate
Inyectables Cefazolin sodium
3549
Compatible
Inyectables Amikacin sulfate 6 mg/ml
Inyectables Cefepime dihydrochloride 40 mg/ml
Cloruro de sodio 0,9% 3548
Compatible
Inyectables Amikacin sulfate 6 mg/ml
Inyectables Cefepime dihydrochloride 40 mg/ml
Glucosa 5% 3548
Compatible
Inyectables Amikacin sulfate 15 mg/ml
Inyectables Cefepime dihydrochloride 125 mg/ml
Agua para preparación inyectable 2141
Inestabilidad química Incompatible
Inyectables Amikacin sulfate
Inyectables Cefepime dihydrochloride
3549
Compatible
Inyectables Amikacin sulfate 5 mg/ml
Inyectables Cefiderocol sulfate tosylate 20 mg/mL
Glucosa 5% 4528
Inestabilidad química Incompatible
Inyectables Amikacin sulfate
Inyectables Cefmenoxime
3549
Inestabilidad química Incompatible
Inyectables Amikacin sulfate
Inyectables Cefmetazole sodium
3549
Inestabilidad química Incompatible
Inyectables Amikacin sulfate
Inyectables Cefonicid sodium
3549
Inestabilidad química Incompatible
Inyectables Amikacin sulfate
Inyectables Cefoperazone sodium
3549
Incompatibilidad no especificada Incompatible
Inyectables Amikacin sulfate
Inyectables Cefoperazone sodium
3544
Inestabilidad química Incompatible
Inyectables Amikacin sulfate
Inyectables Ceforanide
3549
Inestabilidad química Incompatible
Inyectables Amikacin sulfate
Inyectables Cefotaxime sodium
3549
Inestabilidad química Incompatible
Inyectables Amikacin sulfate
Inyectables Cefoxitin sodium
3549
Incompatibilidad no especificada Incompatible
Inyectables Amikacin sulfate
Inyectables Cefpirome sulfate
3677
Compatible
Inyectables Amikacin sulfate 5 mg/ml
Inyectables Cefpirome sulfate 50 mg/ml
Cloruro de sodio 0,45% 280
Compatible
Inyectables Amikacin sulfate 5 mg/ml
Inyectables Cefpirome sulfate 50 mg/ml
Glucosa 5% 280
Compatible
Inyectables Amikacin sulfate 5 mg/ml
Inyectables Cefpirome sulfate 50 mg/ml
Cloruro de sodio 0,9% 280
Compatible
Inyectables Amikacin sulfate 5 mg/ml
Inyectables Cefpirome sulfate 50 mg/ml
Ringer lactato 280
Inestabilidad química Incompatible
Inyectables Amikacin sulfate
Inyectables Cefpirome sulfate
3549
Compatible
Inyectables Amikacin sulfate 5 mg/ml
Inyectables Ceftaroline fosamil 2,22 mg/ml
Ringer lactato 3249
Compatible
Inyectables Amikacin sulfate 5 mg/ml
Inyectables Ceftaroline fosamil 2,22 mg/ml
Glucosa 5% 3249
Compatible
Inyectables Amikacin sulfate 5 mg/ml
Inyectables Ceftaroline fosamil 2,22 mg/ml
Cloruro de sodio 0,9% 3249
Incompatibilidad no especificada Incompatible
Inyectables Amikacin sulfate
Inyectables Ceftazidime
3883
Incompatibilidad no especificada Incompatible
Inyectables Amikacin sulfate
Inyectables Ceftazidime
3543
Compatible
Inyectables Amikacin sulfate 15 mg/ml
Inyectables Ceftazidime 83.3 mg/ml
1759
Inestabilidad química Incompatible
Inyectables Amikacin sulfate
Inyectables Ceftazidime Avibactam
3549
Precipitación inmediata Incompatible
Inyectables Amikacin sulfate 5 mg/ml
Inyectables Ceftobiprole medocaril sodium 2 mg/ml
Cloruro de sodio 0,9% 2269
Incompatibilidad no especificada Incompatible
Inyectables Amikacin sulfate
Inyectables Ceftobiprole medocaril sodium
4650
Compatible
Inyectables Amikacin sulfate
Glucosa 5% 5076
Inestabilidad química Incompatible
Inyectables Amikacin sulfate
Inyectables Ceftaroline fosamil
3549
Inestabilidad química Incompatible
Inyectables Amikacin sulfate
Inyectables Ceftazidime
3549
Compatible
Inyectables Amikacin sulfate 15 mg/ml
Inyectables Ceftazidime 125 mg/ml
Agua para preparación inyectable 2141
Inestabilidad química Incompatible
Inyectables Amikacin sulfate
Inyectables Ceftizoxime sodium
3549
Precipitación inmediata Incompatible
Inyectables Amikacin sulfate 5 mg/ml
Inyectables Ceftobiprole medocaril sodium 2 mg/ml
Glucosa 5% 2269
Inestabilidad química Incompatible
Inyectables Amikacin sulfate
Inyectables Ceftobiprole medocaril sodium
3549
Precipitación inmediata Incompatible
Inyectables Amikacin sulfate 5 mg/ml
Inyectables Ceftobiprole medocaril sodium 2 mg/ml
Ringer lactato 2269
Compatible
Inyectables Amikacin sulfate 5 mg/ml
Inyectables Ceftolozane / tazobactam 10/5 mg/ml
Glucosa 5% 3828
Compatible
Inyectables Amikacin sulfate 5 mg/ml
Inyectables Ceftolozane / tazobactam 10/5 mg/ml
Cloruro de sodio 0,9% 3828
Inestabilidad química Incompatible
Inyectables Amikacin sulfate
Inyectables Ceftolozane / tazobactam
3549
Incompatibilidad no especificada Incompatible
Inyectables Amikacin sulfate
Inyectables Ceftriaxone disodium
3523
Inestabilidad química Incompatible
Inyectables Amikacin sulfate
Inyectables Ceftriaxone disodium
3549
Inestabilidad química Incompatible
Inyectables Amikacin sulfate
Inyectables Cefuroxime sodium
3549
Incompatibilidad no especificada Incompatible
Inyectables Amikacin sulfate
Inyectables Cefuroxime sodium
3687
Inestabilidad química Incompatible
Inyectables Amikacin sulfate
Inyectables Cefuzonam
3549
Incompatibilidad no especificada Incompatible
Inyectables Amikacin sulfate
Inyectables Chlorothiazide sodium
3549
Compatible
Inyectables Amikacin sulfate 2.5 mg/ml
Inyectables Cimetidine hydrochloride 1.5 mg/ml
Glucosa 5% 1201
Inestabilidad química Incompatible
Inyectables Amikacin sulfate 4 mg/ml
Inyectables Ciprofloxacin lactate 1.5 mg/ml
Cloruro de sodio 0,9% 434
Inestabilidad química Incompatible
Inyectables Amikacin sulfate 4 mg/ml
Inyectables Ciprofloxacin lactate 1.5 mg/ml
Glucosa 5% 434
Compatible
Inyectables Amikacin sulfate 5 mg/ml
Inyectables Cisatracurium besylate 0.1 >> 5 mg/ml
Glucosa 5% 299
Compatible
Inyectables Amikacin sulfate 4 mg/ml
Inyectables Clindamycin phosphate 9 mg/ml
Cloruro de sodio 0,9% 565
Compatible
Inyectables Amikacin sulfate 250 mg/ml
Nutrición parenteral (libre de lípidos) 999
Compatible
Inyectables Amikacin sulfate 5 mg/ml
Inyectables Ciprofloxacin lactate 2 mg/ml
Glucosa 5% 285
Inestabilidad química Incompatible
Inyectables Amikacin sulfate
Inyectables Cisplatin
3578
Compatible
Inyectables Amikacin sulfate 75 mg/ml
Inyectables Clindamycin phosphate 90 mg/ml
Cloruro de sodio 0,9% 639
Compatible
Inyectables Amikacin sulfate
Inyectables Clindamycin phosphate
Cloruro de sodio 0,9% 3526
Incompatibilidad subvisual Incompatible
Inyectables Amikacin sulfate 250 mg/ml
Inyectables Cloxacillin sodium 100 mg/ml
Agua para preparación inyectable 3012
Incompatibilidad no especificada Incompatible
Inyectables Amikacin sulfate
Inyectables Daunorubicin/cytarabine liposomale
4354
Compatible
Inyectables Amikacin sulfate 5 mg/ml
Nutrición parenteral (libre de lípidos) 316
Compatible
Inyectables Amikacin sulfate 4 mg/ml
Inyectables Clindamycin phosphate 9 mg/ml
Glucosa 5% 565
Compatible
Inyectables Amikacin sulfate
Inyectables Clindamycin phosphate
Glucosa 5% 3526
Inestabilidad química Incompatible
Inyectables Amikacin sulfate
Inyectables Cloxacillin sodium
3549
Incompatibilidad no especificada Incompatible
Inyectables Amikacin sulfate
Inyectables Cyanocobalamine
3549
Turbidez inmediata Incompatible
Inyectables Amikacin sulfate
Inyectables Daunorubicin/cytarabine liposomale 0,4 mg/mL
Cloruro de sodio 0,9% 4654
Precipitación inmediata Incompatible
Inyectables Amikacin sulfate 5 mg/ml
Inyectables Defibrotide 8 mg/ml
Cloruro de sodio 0,9% 3728
Compatible
Inyectables Amikacin sulfate 50 mg/ml
Inyectables Dexamethasone sodium phosphate 4 mg/ml
Cloruro de sodio 0,45% 132
Incompatibilidad no especificada Incompatible
Inyectables Amikacin sulfate
Inyectables Erythromycin lactobionate
3549
Compatible
Inyectables Amikacin sulfate 5 mg/ml
Nutrición parenteral (libre de lípidos) 301
Compatible
Inyectables Amikacin sulfate 5 mg/ml
Inyectables Dexmedetomidine 4 µg/ml
Cloruro de sodio 0,9% 1712
Compatible
Inyectables Amikacin sulfate 5 & 250 mg/ml
Inyectables Diltiazem hydrochloride 5 mg/ml
Cloruro de sodio 0,9% 198
Compatible
Inyectables Amikacin sulfate 5 mg/ml
Inyectables Docetaxel 0.9 mg/ml
Glucosa 5% 1754
Compatible
Inyectables Amikacin sulfate 5 mg/ml
Inyectables Doripenem 5 mg/ml
Cloruro de sodio 0,9% 2262
Compatible
Inyectables Amikacin sulfate 5 mg/ml
Inyectables Doripenem 5 mg/ml
Glucosa 5% 2262
Inestabilidad química Incompatible
Inyectables Amikacin sulfate
Inyectables Doripenem
3549
Compatible
Inyectables Amikacin sulfate 2 mg/ml
Inyectables Enalaprilate 0.05 mg/ml
Cloruro de sodio 0,9% 1315
Inestabilidad química Incompatible
Inyectables Amikacin sulfate
Inyectables Ertapenem
3549
Incompatibilidad no especificada Incompatible
Inyectables Amikacin sulfate
Inyectables Erythromycin lactobionate
3674
Compatible
Inyectables Amikacin sulfate 5 mg/ml
Inyectables Esmolol hydrochloride 10 mg/ml
Glucosa 5% 384
Compatible
Inyectables Amikacin sulfate 5 mg/ml
Inyectables Etoposide phosphate 5 mg/ml
Glucosa 5% 1410
Compatible
Inyectables Amikacin sulfate 5 mg/ml
Inyectables Fenoldopam mesylate 80 µg/ml
Cloruro de sodio 0,9% 1803
Compatible
Inyectables Amikacin sulfate 5 mg/ml
Inyectables Filgrastim 30 µg/ml
Glucosa 5% 244
Compatible
Inyectables Amikacin sulfate 0.487 >> 0.667 mg/ml
Nutrición parenteral (con lípidos) 1868
Compatible
Inyectables Amikacin sulfate 250 mg/ml
Ringer lactato 4603
Inestabilidad de la emulsión después de 1 hora. Incompatible
Inyectables Amikacin sulfate 250 mg/ml
Nutrición parenteral (con lípidos) 673
Compatible
Inyectables Amikacin sulfate 5 mg/ml
Inyectables Filgrastim 40 µg/ml
Glucosa 5% 104
Inestabilidad inmediata de la emulsión Incompatible
Inyectables Amikacin sulfate 50 mg/ml
Nutrición parenteral (con lípidos) 132
Compatible
Inyectables Amikacin sulfate 5 mg/ml
Nutrición parenteral (con lípidos) 1415
Precipitación inmediata Incompatible
Inyectables Amikacin sulfate
Inyectables Flucloxacillin sodium
3522
Compatible
Inyectables Amikacin sulfate 20 mg/ml
Inyectables Fluconazole 2 mg/ml
Cloruro de sodio 0,9% 496
Compatible
Inyectables Amikacin sulfate 5 mg/ml
Inyectables Fluconazole 2 mg/ml
Ninguno 256
Compatible
Inyectables Amikacin sulfate 5 mg/ml
Inyectables Fludarabine phosphate 1 mg/ml
Glucosa 5% 492
Compatible
Inyectables Amikacin sulfate 20 mg/ml
Inyectables Foscarnet sodium 24 mg/ml
Ninguno 73
Compatible
Inyectables Amikacin sulfate 5 mg/ml
Inyectables Fosfomycin 30 mg/ml
Cloruro de sodio 0,9% 4055
Compatible
Inyectables Amikacin sulfate 5 mg/ml
Inyectables Fosfomycin 30 mg/ml
Glucosa 5% 4055
Precipitación inmediata Incompatible
Inyectables Amikacin sulfate 2 mg/ml
Inyectables Furosemide 0,16 mg/ml
Cloruro de sodio 0,9% 367
Precipitación inmediata Incompatible
Inyectables Amikacin sulfate 2 mg/ml
Inyectables Furosemide 0,16 mg/ml
Glucosa 5% 367
Compatible
Inyectables Amikacin sulfate 5 mg/ml
Inyectables Gemcitabine hydrochloride 10 mg/ml
Cloruro de sodio 0,9% 1423
Compatible
Inyectables Amikacin sulfate 5 mg/ml
Inyectables Granisetron hydrochloride 0.05 mg/ml
Glucosa 5% 182
Incompatibilidad no especificada Incompatible
Inyectables Amikacin sulfate
Inyectables Heparin sodium
3549
Incompatibilidad no especificada Incompatible
Inyectables Amikacin sulfate
Inyectables Heparin sodium
3540
Precipitación inmediata Incompatible
Inyectables Amikacin sulfate
Inyectables Heparin sodium
1022
Compatible
Inyectables Amikacin sulfate 5 mg/ml
Inyectables Hetastarch 60 mg/ml
específico disolvente 1721
Precipitación inmediata Incompatible
Inyectables Amikacin sulfate 5 mg/ml
Inyectables Hetastarch 60 mg/ml
Cloruro de sodio 0,9% 472
Compatible
Inyectables Amikacin sulfate 5 mg/ml
Inyectables Hydromorphone hydrochloride 0.2 mg/ml
Glucosa 5% 405
Turbidez inmediata Incompatible
Inyectables Amikacin sulfate 50 mg/ml
Inyectables Ibuprofen lysinate 10 mg/ml
Agua para preparación inyectable 4419
Turbidez inmediata Incompatible
Inyectables Amikacin sulfate 250 mg/ml
Inyectables Ibuprofen lysinate 10 mg/ml
Agua para preparación inyectable 4419
Compatible
Inyectables Amikacin sulfate 5 mg/ml
Inyectables Idarubicin hydrochloride 1 mg/ml
Cloruro de sodio 0,9% 491
Inestabilidad química Incompatible
Inyectables Amikacin sulfate
Inyectables Imipenem - cilastatin sodium
3549
Compatible
Inyectables Amikacin sulfate 5 mg/ml
Inyectables Isavuconazonium sulfate 1.5 mg/ml
Glucosa 5% 3829
Compatible
Inyectables Amikacin sulfate 5 mg/ml
Inyectables Isavuconazonium sulfate 1.5 mg/ml
Cloruro de sodio 0,9% 3829
Compatible
Inyectables Amikacin sulfate 250 mg/ml
Inyectables Ketamine hydrochloride 50 mg/ml
2109
Compatible
Inyectables Amikacin sulfate 5 mg/ml
Inyectables Labetalol hydrochloride 1 mg/ml
Glucosa 5% 386
Compatible
Inyectables Amikacin sulfate 5 mg/ml
Inyectables Lansoprazole 0.55 mg/ml
Cloruro de sodio 0,9% 1625
Compatible
Inyectables Amikacin sulfate 50 mg/ml
Inyectables Levofloxacine 5 mg/ml
Glucosa 5% 1072
Compatible
Inyectables Amikacin sulfate 5 mg/ml
Inyectables Linezolid 2 mg/ml
Ninguno 1925
Compatible
Inyectables Amikacin sulfate 5 mg/ml
Inyectables Lorazepam 0.33 mg/ml
Cloruro de sodio 0,9% 186
Compatible
Inyectables Amikacin sulfate 5 mg/ml
Inyectables Magnesium sulfate 16.67 >> 100 mg/ml
Glucosa 5% 1047
Compatible
Inyectables Amikacin sulfate 5 mg/ml
Inyectables Melphalan 0.1 mg/ml
Cloruro de sodio 0,9% 169
Compatible
Inyectables Amikacin sulfate 250 mg/ml
Inyectables Meropenem 50 mg/ml
4389
Compatible
Inyectables Amikacin sulfate 250 mg/ml
Inyectables Meropenem 50 mg/ml
Agua para preparación inyectable 4319
Inestabilidad química Incompatible
Inyectables Amikacin sulfate
Inyectables Meropenem
3549
Compatible
Inyectables Amikacin sulfate
Inyectables Metronidazole
3594
Compatible
Inyectables Amikacin sulfate 5 mg/ml
Inyectables Metronidazole 5 mg/ml
Ninguno 1035
Compatible
Inyectables Amikacin sulfate 5 mg/ml
Inyectables Midazolam hydrochloride 5 mg/ml
Ninguno 186
Compatible
Inyectables Amikacin sulfate 5 mg/ml
Inyectables Morphine sulfate 1 mg/ml
Glucosa 5% 405
Compatible
Inyectables Amikacin sulfate 250 mg/ml
Inyectables N-acetylcysteine 200 mg/ml
Ninguno 3766
Inestabilidad química Incompatible
Inyectables Amikacin sulfate
Inyectables Nafcillin sodium
3549
Compatible
Inyectables Amikacin sulfate 2,5 mg/ml
Inyectables Nalbuphine hydrochloride 0,05 >> 0,33 mg/ml
Cloruro de sodio 0,9% 4867
Compatible
Inyectables Amikacin sulfate 250 mg/ml
Inyectables Naloxone hydrochloride 0.4 mg/ml
Ninguno 3408
Compatible
Inyectables Amikacin sulfate 2 mg/ml
Inyectables Nicardipine hydrochloride 0.1 mg/ml
Glucosa 5% 1490
Compatible
Inyectables Amikacin sulfate 2 mg/ml
Inyectables Nicardipine hydrochloride 0.1 mg/ml
Cloruro de sodio 0,9% 1490
Compatible
Inyectables Amikacin sulfate 5 mg/ml
Inyectables Ondansetron hydrochloride 1 mg/ml
Cloruro de sodio 0,9% 334
Inestabilidad química Incompatible
Inyectables Amikacin sulfate
Inyectables Oxacillin sodium
3549
Compatible
Inyectables Amikacin sulfate 5 mg/ml
Inyectables Paclitaxel 1.2 mg/ml
Glucosa 5% 248
Precipitación inmediata Incompatible
Inyectables Amikacin sulfate
Inyectables Pantoprazole sodium
2090
Compatible
Inyectables Amikacin sulfate 250 mg/ml
Inyectables Paracetamol 10 mg/ml
4742
Compatible
Inyectables Amikacin sulfate 5 mg/ml
Inyectables Pemetrexed disodium 20 mg/ml
Cloruro de sodio 0,9% 1953
Inestabilidad química Incompatible
Inyectables Amikacin sulfate
Inyectables Penicillin G potassium
3549
Inestabilidad química Incompatible
Inyectables Amikacin sulfate
Inyectables Penicillin G sodium
3549
Compatible
Inyectables Amikacin sulfate 50 mg/ml
Inyectables Pethidine hydrochloride 100 mg/ml
Cloruro de sodio 0,45% 132
Compatible
Inyectables Amikacin sulfate 5 mg/ml
Inyectables Pethidine hydrochloride 10 mg/ml
Glucosa 5% 405
Incompatibilidad no especificada Incompatible
Inyectables Amikacin sulfate
Inyectables Phenytoin sodium
3549
Compatible
Inyectables Amikacin sulfate 40 mg/ml
Inyectables Phloroglucinol 2,5 mg/ml
3791
Inestabilidad química Incompatible
Inyectables Amikacin sulfate
Inyectables Piperacillin sodium
3549
Inestabilidad química Incompatible
Inyectables Amikacin sulfate
Inyectables Piperacillin sodium / tazobactam
3549
Inestabilidad química Incompatible
Inyectables Amikacin sulfate
Inyectables Piperacillin sodium / tazobactam
3586
Compatible
Inyectables Amikacin sulfate
Inyectables Posaconazole
4380
Precipitación inmediata Incompatible
Inyectables Amikacin sulfate 5 mg/ml
Inyectables Propofol 10 mg/ml
Ninguno 300
Incompatibilidad no especificada Incompatible
Inyectables Amikacin sulfate
Inyectables Pyridoxine hydrochloride
3549
Compatible
Inyectables Amikacin sulfate 5 mg/ml
Inyectables Remifentanil hydrochloride 25 & 250 µg/ml
Cloruro de sodio 0,9% 59
Precipitación inmediata Incompatible
Inyectables Amikacin sulfate 250 mg/ml
Inyectables Salbutamol sulfate 1 mg/ml
Ninguno 3216
Compatible
Inyectables Amikacin sulfate 5 mg/ml
Inyectables Sargramostim 10 µg/ml
Cloruro de sodio 0,9% 335
Compatible
Inyectables Amikacin sulfate 10 mg/ml
Inyectables Sulbactam/durlobactam 15/15 mg/ml
Cloruro de sodio 0,9% 4801
Compatible
Inyectables Amikacin sulfate 5 mg/ml
Inyectables Tedizolid phosphate 0.8 mg/ml
Cloruro de sodio 0,9% 3827
Incompatibilidad no especificada Incompatible
Inyectables Amikacin sulfate
Inyectables Teicoplanine
3656
Compatible
Inyectables Amikacin sulfate
Cloruro de sodio 0,9% 5076
Incompatibilidad no especificada Incompatible
Inyectables Amikacin sulfate 50 mg/ml
Inyectables Propofol
4524
Incompatibilidad no especificada Incompatible
Inyectables Amikacin sulfate
Inyectables Temocilline
2296
Compatible
Inyectables Amikacin sulfate 15 mg/ml
Inyectables Temocilline 83.33 mg/ml
Agua para preparación inyectable 2231
Inestabilidad química Incompatible
Inyectables Amikacin sulfate
Inyectables Temocilline
3549
Compatible
Inyectables Amikacin sulfate 5 mg/ml
Inyectables Teniposide 0.1 mg/ml
Glucosa 5% 905
Incompatibilidad no especificada Incompatible
Inyectables Amikacin sulfate
Inyectables Thiamine hydrochloride
3549
Precipitación inmediata Incompatible
Inyectables Amikacin sulfate 250 mg/ml
Inyectables Thiopental sodium 25 mg/ml
Cloruro de sodio 0,9% 3767
Incompatibilidad no especificada Incompatible
Inyectables Amikacin sulfate
Inyectables Thiopental sodium
3549
Compatible
Inyectables Amikacin sulfate 5 mg/ml
Inyectables Thiotepa 1 mg/ml
Glucosa 5% 249
Inestabilidad química Incompatible
Inyectables Amikacin sulfate
Inyectables Ticarcillin / clavulanic acid
3587
Inestabilidad química Incompatible
Inyectables Amikacin sulfate
Inyectables Ticarcillin / clavulanic acid
3549
Compatible
Inyectables Amikacin sulfate
Inyectables Tigecycline
Cloruro de sodio 0,9% 3332
Compatible
Inyectables Amikacin sulfate 15 mg/ml
Inyectables Vancomycin hydrochloride 10 mg/ml
Glucosa 5% 3385
Compatible
Inyectables Amikacin sulfate 2 mg/ml
Inyectables Verapamil hydrochloride 0.08 mg/ml
Cloruro de sodio 0,9% 1057
Compatible
Inyectables Amikacin sulfate 2 mg/ml
Inyectables Verapamil hydrochloride 0.08 mg/ml
Glucosa 5% 1057
Turbidez inmediata Incompatible
Inyectables Amikacin sulfate 5 mg/ml
Inyectables Vinorelbine tartrate 1 mg/ml
Cloruro de sodio 0,9% 84
Compatible
Inyectables Amikacin sulfate 5 mg/ml
Inyectables Warfarin sodium 0.1 & 2 mg/ml
Glucosa 5% 552
Compatible
Inyectables Amikacin sulfate 5 mg/ml
Inyectables Warfarin sodium 0.1 & 2 mg/ml
Cloruro de sodio 0,9% 552
Compatible
Inyectables Amikacin sulfate 4 mg/ml
Inyectables Zidovudine 4 mg/ml
Glucosa 5% 337

  Mentions Légales