Последнее обновление :
27/04/2026
Антибиотик   Amikacin sulfate  
Инъекция
Стабильность растворов Стабильность смесей Факторы, которые влияют на стабильность Совместимость Способы введения Библиография pdf
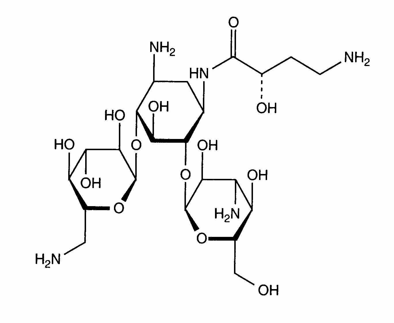
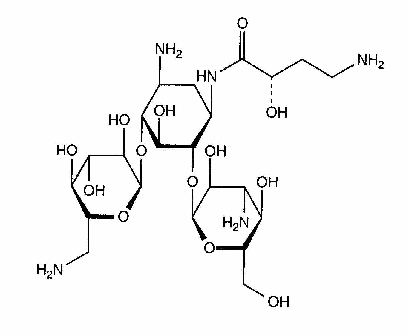
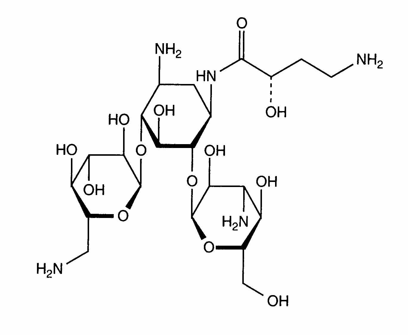
   Химическая структура  

Товарное название   Товарное название     

Trade names are indicative and excipients composition can be different depending on the country and manufacturers

Adnet Индия
Agnicin Мексика
Akamin Эквадор
Akim Эквадор
Amicacil Бразилия
Amicilon Бразилия
Amicin Малайзия
Amicip Венесуэла
Amijeksin Турция
Amikabiot Перу, Эквадор
Amikacin Великобритания, Германия, Египет, Иран, Канада, Малайзия, новая Зеландия, Саудовская Аравия, Соединённые Штаты Америки
Amikacina Аргентина, Венесуэла, Испания, Италия, Колумбия, Мексика, Перу, чили, Эквадор
Amikacine Бельгия, Голландия, Марокко, Франция
Amikafur Мексика
Amikagram Перу
Amikalem Мексика
Amikamed Перу
Amikamek Перу
Amikan Италия
Amikavax Венесуэла
Amikaver Турция
Amikayect Мексика
Amikem Перу
Amiketem Турция
Amikin Австралия, Бразилия, Великобритания, Венгрия, Египет, Ирландия, Колумбия, Мексика, Перу, Польша, Саудовская Аравия, Соединённые Штаты Америки, Тунис, Швейцария, Эквадор
Amiklin Турция, Франция
Amikosit Румыния, Тунис, Турция
Amikram Перу
Amukin Бельгия, Голландия, Люксембург
Apalin Малайзия
Baxi K Мексика, чили
Behcacin Венесуэла, Индия
Belka Индия
Biclin Австрия, Германия, Испания, Мексика, Португалия, Финляндия, Швеция
Biodacyna Польша
Biokacin Мексика
Briklin Греция
Cadicin Индия
Chemacin Италия
Cikabit Индия
Cinamica Индия
Cinas Индия
Consumonit Греция
Domak Индия
Doxocar Аргентина
Elcin Индия
Elmik Индия
Emcin Индия
Emica Индия
Farcyclin Греция
Flexelite Греция
Greini Аргентина
Ipacin Иран
Itukacin Перу
Kancin Греция
Lanomycin Греция
Lukadin Италия
Masmika Индия
Mediamik Италия
Micalpha Греция
Micigen Мексика
Migracin Италия
Mikacin Саудовская Аравия
Nekacin Италия
Novamin Бразилия
Orlobin Греция
Remikin Греция
Rovericlin Греция
Uzix Греция
Совместимость   Инъекция   Совместимость : Amikacin sulfate              
Эта таблица показывает совместимость или несовместимость препаратов, по возможности тип несовместимости (преципитат, смена цвета, разложение эмульсии и др.). Показанные здесь совместимости в основном физические, по возможности указана и химическая стабильность каждой молекулы. Анализ этих смесей произведён для исследования возможности ввести препараты пациенту в Y-соединении систем. Эти данные нельзя использовать, чтобы приготовить лекарства на будущее в мешках или шприцах. Эта информация доступна в разделе "Стабильность смесей".
Молекула Растворитель Ссылки
совместимый
Инъекция Amikacin sulfate 5 mg/ml
Инъекция Aciclovir sodium 5 mg/ml
Глюкоза 5% 336
Осадки через 1 час несовместимый
Инъекция Amikacin sulfate 5 mg/ml
Инъекция Allopurinol sodium 3 mg/ml
Натрия хлорид 0,9% 307
совместимый
Инъекция Amikacin sulfate 5 mg/ml
Инъекция Amifostine 10 mg/ml
Глюкоза 5% 3
совместимый
Инъекция Amikacin sulfate 5 mg/ml
Инъекция Amiodarone hydrochloride 4 mg/ml
Натрия хлорид 0,9% 385
совместимый
Инъекция Amikacin sulfate 5 mg/ml
Инъекция Amiodarone hydrochloride 4 mg/ml
Глюкоза 5% 385
Химическая нестабильность несовместимый
Инъекция Amikacin sulfate
Инъекция Amoxicillin sodium
3527
Химическая нестабильность несовместимый
Инъекция Amikacin sulfate
Инъекция Amoxicillin sodium
3549
совместимый
Инъекция Amikacin sulfate 250 mg/ml
Инъекция Amoxicillin sodium / clavulanic acid 100/10 mg/ml
3824
Химическая нестабильность несовместимый
Инъекция Amikacin sulfate
Инъекция Amoxicillin sodium / clavulanic acid
3549
Неопределенная несовместимость несовместимый
Инъекция Amikacin sulfate
Инъекция Amoxicillin sodium / clavulanic acid
3545
Неопределенная несовместимость несовместимый
Инъекция Amikacin sulfate
Инъекция Amphotericin B
3549
Немедленные осадки несовместимый
Инъекция Amikacin sulfate 5 mg/ml
Инъекция Amphotericin B cholesteryl sulfate complex 0.83 mg/ml
Глюкоза 5% 921
Химическая нестабильность несовместимый
Инъекция Amikacin sulfate
Инъекция Ampicillin sodium
3549
Химическая нестабильность несовместимый
Инъекция Amikacin sulfate
Инъекция Ampicillin sodium - sulbactam sodium
3549
совместимый
Инъекция Amikacin sulfate 5 mg/ml
Инъекция Amsacrine 1 mg/ml
Глюкоза 5% 253
совместимый
Инъекция Amikacin sulfate 5 mg/ml
Инъекция Anidulafungin 0.5 mg/ml
Глюкоза 5% 1982
Неопределенная несовместимость несовместимый
Инъекция Amikacin sulfate
Инъекция Ascorbic acid
3549
Немедленные осадки несовместимый
Инъекция Amikacin sulfate 100 mg/ml
Инъекция Azithromycine 2 mg/ml
Натрия хлорид 0,9% 1800
Химическая нестабильность несовместимый
Инъекция Amikacin sulfate
Инъекция Aztreonam
3549
совместимый
Инъекция Amikacin sulfate 5 mg/ml
Инъекция Aztreonam 40 mg/ml
Глюкоза 5% 99
совместимый
Инъекция Amikacin sulfate 5 mg/ml
Инъекция Bivalirudin 5 mg/ml
Глюкоза 5% 1713
совместимый
Инъекция Amikacin sulfate 250 mg/ml
Инъекция Caffeine 10 mg/ml
Нет 3964
несовместимый
Инъекция Amikacin sulfate
Инъекция Calcium gluconate
4964
Неопределенная несовместимость несовместимый
Инъекция Amikacin sulfate
Инъекция Calcium gluconate
3644
совместимый
Инъекция Amikacin sulfate 5 mg/ml
Инъекция Caspofungin acetate 0,7 mg/ml
Натрия хлорид 0,9% 2247
Химическая нестабильность несовместимый
Инъекция Amikacin sulfate
Инъекция Cefalotin sodium
3549
Химическая нестабильность несовместимый
Инъекция Amikacin sulfate
Инъекция Cefamandole nafate
3549
Неопределенная несовместимость несовместимый
Инъекция Amikacin sulfate
Инъекция Cefamandole nafate
3546
Химическая нестабильность несовместимый
Инъекция Amikacin sulfate
Инъекция Cefazolin sodium
3549
совместимый
Инъекция Amikacin sulfate 6 mg/ml
Инъекция Cefepime dihydrochloride 40 mg/ml
Натрия хлорид 0,9% 3548
совместимый
Инъекция Amikacin sulfate 6 mg/ml
Инъекция Cefepime dihydrochloride 40 mg/ml
Глюкоза 5% 3548
совместимый
Инъекция Amikacin sulfate 15 mg/ml
Инъекция Cefepime dihydrochloride 125 mg/ml
Вода для инъекций 2141
Химическая нестабильность несовместимый
Инъекция Amikacin sulfate
Инъекция Cefepime dihydrochloride
3549
совместимый
Инъекция Amikacin sulfate 5 mg/ml
Инъекция Cefiderocol sulfate tosylate 20 mg/mL
Глюкоза 5% 4528
Химическая нестабильность несовместимый
Инъекция Amikacin sulfate
Инъекция Cefmenoxime
3549
Химическая нестабильность несовместимый
Инъекция Amikacin sulfate
Инъекция Cefmetazole sodium
3549
Химическая нестабильность несовместимый
Инъекция Amikacin sulfate
Инъекция Cefonicid sodium
3549
Химическая нестабильность несовместимый
Инъекция Amikacin sulfate
Инъекция Cefoperazone sodium
3549
Неопределенная несовместимость несовместимый
Инъекция Amikacin sulfate
Инъекция Cefoperazone sodium
3544
Химическая нестабильность несовместимый
Инъекция Amikacin sulfate
Инъекция Ceforanide
3549
Химическая нестабильность несовместимый
Инъекция Amikacin sulfate
Инъекция Cefotaxime sodium
3549
Химическая нестабильность несовместимый
Инъекция Amikacin sulfate
Инъекция Cefoxitin sodium
3549
Неопределенная несовместимость несовместимый
Инъекция Amikacin sulfate
Инъекция Cefpirome sulfate
3677
совместимый
Инъекция Amikacin sulfate 5 mg/ml
Инъекция Cefpirome sulfate 50 mg/ml
Натрия хлорид 0,45% 280
совместимый
Инъекция Amikacin sulfate 5 mg/ml
Инъекция Cefpirome sulfate 50 mg/ml
Глюкоза 5% 280
совместимый
Инъекция Amikacin sulfate 5 mg/ml
Инъекция Cefpirome sulfate 50 mg/ml
Натрия хлорид 0,9% 280
совместимый
Инъекция Amikacin sulfate 5 mg/ml
Инъекция Cefpirome sulfate 50 mg/ml
Раствор Рингера лактата 280
Химическая нестабильность несовместимый
Инъекция Amikacin sulfate
Инъекция Cefpirome sulfate
3549
совместимый
Инъекция Amikacin sulfate 5 mg/ml
Инъекция Ceftaroline fosamil 2,22 mg/ml
Раствор Рингера лактата 3249
совместимый
Инъекция Amikacin sulfate 5 mg/ml
Инъекция Ceftaroline fosamil 2,22 mg/ml
Глюкоза 5% 3249
совместимый
Инъекция Amikacin sulfate 5 mg/ml
Инъекция Ceftaroline fosamil 2,22 mg/ml
Натрия хлорид 0,9% 3249
Неопределенная несовместимость несовместимый
Инъекция Amikacin sulfate
Инъекция Ceftazidime
3883
Неопределенная несовместимость несовместимый
Инъекция Amikacin sulfate
Инъекция Ceftazidime
3543
совместимый
Инъекция Amikacin sulfate 15 mg/ml
Инъекция Ceftazidime 83.3 mg/ml
1759
Химическая нестабильность несовместимый
Инъекция Amikacin sulfate
Инъекция Ceftazidime Avibactam
3549
Немедленные осадки несовместимый
Инъекция Amikacin sulfate 5 mg/ml
Инъекция Ceftobiprole medocaril sodium 2 mg/ml
Натрия хлорид 0,9% 2269
Неопределенная несовместимость несовместимый
Инъекция Amikacin sulfate
Инъекция Ceftobiprole medocaril sodium
4650
совместимый
Инъекция Amikacin sulfate
Глюкоза 5% 5076
Химическая нестабильность несовместимый
Инъекция Amikacin sulfate
Инъекция Ceftaroline fosamil
3549
Химическая нестабильность несовместимый
Инъекция Amikacin sulfate
Инъекция Ceftazidime
3549
совместимый
Инъекция Amikacin sulfate 15 mg/ml
Инъекция Ceftazidime 125 mg/ml
Вода для инъекций 2141
Химическая нестабильность несовместимый
Инъекция Amikacin sulfate
Инъекция Ceftizoxime sodium
3549
Немедленные осадки несовместимый
Инъекция Amikacin sulfate 5 mg/ml
Инъекция Ceftobiprole medocaril sodium 2 mg/ml
Глюкоза 5% 2269
Химическая нестабильность несовместимый
Инъекция Amikacin sulfate
Инъекция Ceftobiprole medocaril sodium
3549
Немедленные осадки несовместимый
Инъекция Amikacin sulfate 5 mg/ml
Инъекция Ceftobiprole medocaril sodium 2 mg/ml
Раствор Рингера лактата 2269
совместимый
Инъекция Amikacin sulfate 5 mg/ml
Инъекция Ceftolozane / tazobactam 10/5 mg/ml
Глюкоза 5% 3828
совместимый
Инъекция Amikacin sulfate 5 mg/ml
Инъекция Ceftolozane / tazobactam 10/5 mg/ml
Натрия хлорид 0,9% 3828
Химическая нестабильность несовместимый
Инъекция Amikacin sulfate
Инъекция Ceftolozane / tazobactam
3549
Неопределенная несовместимость несовместимый
Инъекция Amikacin sulfate
Инъекция Ceftriaxone disodium
3523
Химическая нестабильность несовместимый
Инъекция Amikacin sulfate
Инъекция Ceftriaxone disodium
3549
Химическая нестабильность несовместимый
Инъекция Amikacin sulfate
Инъекция Cefuroxime sodium
3549
Неопределенная несовместимость несовместимый
Инъекция Amikacin sulfate
Инъекция Cefuroxime sodium
3687
Химическая нестабильность несовместимый
Инъекция Amikacin sulfate
Инъекция Cefuzonam
3549
Неопределенная несовместимость несовместимый
Инъекция Amikacin sulfate
Инъекция Chlorothiazide sodium
3549
совместимый
Инъекция Amikacin sulfate 2.5 mg/ml
Инъекция Cimetidine hydrochloride 1.5 mg/ml
Глюкоза 5% 1201
Химическая нестабильность несовместимый
Инъекция Amikacin sulfate 4 mg/ml
Инъекция Ciprofloxacin lactate 1.5 mg/ml
Натрия хлорид 0,9% 434
Химическая нестабильность несовместимый
Инъекция Amikacin sulfate 4 mg/ml
Инъекция Ciprofloxacin lactate 1.5 mg/ml
Глюкоза 5% 434
совместимый
Инъекция Amikacin sulfate 5 mg/ml
Инъекция Cisatracurium besylate 0.1 >> 5 mg/ml
Глюкоза 5% 299
совместимый
Инъекция Amikacin sulfate 4 mg/ml
Инъекция Clindamycin phosphate 9 mg/ml
Натрия хлорид 0,9% 565
совместимый
Инъекция Amikacin sulfate 250 mg/ml
Парентеральное питание (бинарная смесь) 999
совместимый
Инъекция Amikacin sulfate 5 mg/ml
Инъекция Ciprofloxacin lactate 2 mg/ml
Глюкоза 5% 285
Химическая нестабильность несовместимый
Инъекция Amikacin sulfate
Инъекция Cisplatin
3578
совместимый
Инъекция Amikacin sulfate 75 mg/ml
Инъекция Clindamycin phosphate 90 mg/ml
Натрия хлорид 0,9% 639
совместимый
Инъекция Amikacin sulfate
Инъекция Clindamycin phosphate
Натрия хлорид 0,9% 3526
Субвизуальная несовместимость несовместимый
Инъекция Amikacin sulfate 250 mg/ml
Инъекция Cloxacillin sodium 100 mg/ml
Вода для инъекций 3012
Неопределенная несовместимость несовместимый
Инъекция Amikacin sulfate
Инъекция Daunorubicin/cytarabine liposomale
4354
совместимый
Инъекция Amikacin sulfate 5 mg/ml
Парентеральное питание (бинарная смесь) 316
совместимый
Инъекция Amikacin sulfate 4 mg/ml
Инъекция Clindamycin phosphate 9 mg/ml
Глюкоза 5% 565
совместимый
Инъекция Amikacin sulfate
Инъекция Clindamycin phosphate
Глюкоза 5% 3526
Химическая нестабильность несовместимый
Инъекция Amikacin sulfate
Инъекция Cloxacillin sodium
3549
Неопределенная несовместимость несовместимый
Инъекция Amikacin sulfate
Инъекция Cyanocobalamine
3549
Немедленная мутность несовместимый
Инъекция Amikacin sulfate
Инъекция Daunorubicin/cytarabine liposomale 0,4 mg/mL
Натрия хлорид 0,9% 4654
Немедленные осадки несовместимый
Инъекция Amikacin sulfate 5 mg/ml
Инъекция Defibrotide 8 mg/ml
Натрия хлорид 0,9% 3728
совместимый
Инъекция Amikacin sulfate 50 mg/ml
Инъекция Dexamethasone sodium phosphate 4 mg/ml
Натрия хлорид 0,45% 132
Неопределенная несовместимость несовместимый
Инъекция Amikacin sulfate
Инъекция Erythromycin lactobionate
3549
совместимый
Инъекция Amikacin sulfate 5 mg/ml
Парентеральное питание (бинарная смесь) 301
совместимый
Инъекция Amikacin sulfate 5 mg/ml
Инъекция Dexmedetomidine 4 µg/ml
Натрия хлорид 0,9% 1712
совместимый
Инъекция Amikacin sulfate 5 & 250 mg/ml
Инъекция Diltiazem hydrochloride 5 mg/ml
Натрия хлорид 0,9% 198
совместимый
Инъекция Amikacin sulfate 5 mg/ml
Инъекция Docetaxel 0.9 mg/ml
Глюкоза 5% 1754
совместимый
Инъекция Amikacin sulfate 5 mg/ml
Инъекция Doripenem 5 mg/ml
Натрия хлорид 0,9% 2262
совместимый
Инъекция Amikacin sulfate 5 mg/ml
Инъекция Doripenem 5 mg/ml
Глюкоза 5% 2262
Химическая нестабильность несовместимый
Инъекция Amikacin sulfate
Инъекция Doripenem
3549
совместимый
Инъекция Amikacin sulfate 2 mg/ml
Инъекция Enalaprilate 0.05 mg/ml
Натрия хлорид 0,9% 1315
Химическая нестабильность несовместимый
Инъекция Amikacin sulfate
Инъекция Ertapenem
3549
Неопределенная несовместимость несовместимый
Инъекция Amikacin sulfate
Инъекция Erythromycin lactobionate
3674
совместимый
Инъекция Amikacin sulfate 5 mg/ml
Инъекция Esmolol hydrochloride 10 mg/ml
Глюкоза 5% 384
совместимый
Инъекция Amikacin sulfate 5 mg/ml
Инъекция Etoposide phosphate 5 mg/ml
Глюкоза 5% 1410
совместимый
Инъекция Amikacin sulfate 5 mg/ml
Инъекция Fenoldopam mesylate 80 µg/ml
Натрия хлорид 0,9% 1803
совместимый
Инъекция Amikacin sulfate 5 mg/ml
Инъекция Filgrastim 30 µg/ml
Глюкоза 5% 244
совместимый
Инъекция Amikacin sulfate 0.487 >> 0.667 mg/ml
Парентеральное питание (с липидами) 1868
совместимый
Инъекция Amikacin sulfate 250 mg/ml
Раствор Рингера лактата 4603
Нестабильность эмульсии через 1 час. несовместимый
Инъекция Amikacin sulfate 250 mg/ml
Парентеральное питание (с липидами) 673
совместимый
Инъекция Amikacin sulfate 5 mg/ml
Инъекция Filgrastim 40 µg/ml
Глюкоза 5% 104
Немедленная нестабильность эмульсии несовместимый
Инъекция Amikacin sulfate 50 mg/ml
Парентеральное питание (с липидами) 132
совместимый
Инъекция Amikacin sulfate 5 mg/ml
Парентеральное питание (с липидами) 1415
Немедленные осадки несовместимый
Инъекция Amikacin sulfate
Инъекция Flucloxacillin sodium
3522
совместимый
Инъекция Amikacin sulfate 20 mg/ml
Инъекция Fluconazole 2 mg/ml
Натрия хлорид 0,9% 496
совместимый
Инъекция Amikacin sulfate 5 mg/ml
Инъекция Fluconazole 2 mg/ml
Нет 256
совместимый
Инъекция Amikacin sulfate 5 mg/ml
Инъекция Fludarabine phosphate 1 mg/ml
Глюкоза 5% 492
совместимый
Инъекция Amikacin sulfate 20 mg/ml
Инъекция Foscarnet sodium 24 mg/ml
Нет 73
совместимый
Инъекция Amikacin sulfate 5 mg/ml
Инъекция Fosfomycin 30 mg/ml
Натрия хлорид 0,9% 4055
совместимый
Инъекция Amikacin sulfate 5 mg/ml
Инъекция Fosfomycin 30 mg/ml
Глюкоза 5% 4055
Немедленные осадки несовместимый
Инъекция Amikacin sulfate 2 mg/ml
Инъекция Furosemide 0,16 mg/ml
Натрия хлорид 0,9% 367
Немедленные осадки несовместимый
Инъекция Amikacin sulfate 2 mg/ml
Инъекция Furosemide 0,16 mg/ml
Глюкоза 5% 367
совместимый
Инъекция Amikacin sulfate 5 mg/ml
Инъекция Gemcitabine hydrochloride 10 mg/ml
Натрия хлорид 0,9% 1423
совместимый
Инъекция Amikacin sulfate 5 mg/ml
Инъекция Granisetron hydrochloride 0.05 mg/ml
Глюкоза 5% 182
Неопределенная несовместимость несовместимый
Инъекция Amikacin sulfate
Инъекция Heparin sodium
3549
Неопределенная несовместимость несовместимый
Инъекция Amikacin sulfate
Инъекция Heparin sodium
3540
Немедленные осадки несовместимый
Инъекция Amikacin sulfate
Инъекция Heparin sodium
1022
совместимый
Инъекция Amikacin sulfate 5 mg/ml
Инъекция Hetastarch 60 mg/ml
Конкретные растворителя 1721
Немедленные осадки несовместимый
Инъекция Amikacin sulfate 5 mg/ml
Инъекция Hetastarch 60 mg/ml
Натрия хлорид 0,9% 472
совместимый
Инъекция Amikacin sulfate 5 mg/ml
Инъекция Hydromorphone hydrochloride 0.2 mg/ml
Глюкоза 5% 405
Немедленная мутность несовместимый
Инъекция Amikacin sulfate 50 mg/ml
Инъекция Ibuprofen lysinate 10 mg/ml
Вода для инъекций 4419
Немедленная мутность несовместимый
Инъекция Amikacin sulfate 250 mg/ml
Инъекция Ibuprofen lysinate 10 mg/ml
Вода для инъекций 4419
совместимый
Инъекция Amikacin sulfate 5 mg/ml
Инъекция Idarubicin hydrochloride 1 mg/ml
Натрия хлорид 0,9% 491
Химическая нестабильность несовместимый
Инъекция Amikacin sulfate
Инъекция Imipenem - cilastatin sodium
3549
совместимый
Инъекция Amikacin sulfate 5 mg/ml
Инъекция Isavuconazonium sulfate 1.5 mg/ml
Глюкоза 5% 3829
совместимый
Инъекция Amikacin sulfate 5 mg/ml
Инъекция Isavuconazonium sulfate 1.5 mg/ml
Натрия хлорид 0,9% 3829
совместимый
Инъекция Amikacin sulfate 250 mg/ml
Инъекция Ketamine hydrochloride 50 mg/ml
2109
совместимый
Инъекция Amikacin sulfate 5 mg/ml
Инъекция Labetalol hydrochloride 1 mg/ml
Глюкоза 5% 386
совместимый
Инъекция Amikacin sulfate 5 mg/ml
Инъекция Lansoprazole 0.55 mg/ml
Натрия хлорид 0,9% 1625
совместимый
Инъекция Amikacin sulfate 50 mg/ml
Инъекция Levofloxacine 5 mg/ml
Глюкоза 5% 1072
совместимый
Инъекция Amikacin sulfate 5 mg/ml
Инъекция Linezolid 2 mg/ml
Нет 1925
совместимый
Инъекция Amikacin sulfate 5 mg/ml
Инъекция Lorazepam 0.33 mg/ml
Натрия хлорид 0,9% 186
совместимый
Инъекция Amikacin sulfate 5 mg/ml
Инъекция Magnesium sulfate 16.67 >> 100 mg/ml
Глюкоза 5% 1047
совместимый
Инъекция Amikacin sulfate 5 mg/ml
Инъекция Melphalan 0.1 mg/ml
Натрия хлорид 0,9% 169
совместимый
Инъекция Amikacin sulfate 250 mg/ml
Инъекция Meropenem 50 mg/ml
4389
совместимый
Инъекция Amikacin sulfate 250 mg/ml
Инъекция Meropenem 50 mg/ml
Вода для инъекций 4319
Химическая нестабильность несовместимый
Инъекция Amikacin sulfate
Инъекция Meropenem
3549
совместимый
Инъекция Amikacin sulfate
Инъекция Metronidazole
3594
совместимый
Инъекция Amikacin sulfate 5 mg/ml
Инъекция Metronidazole 5 mg/ml
Нет 1035
совместимый
Инъекция Amikacin sulfate 5 mg/ml
Инъекция Midazolam hydrochloride 5 mg/ml
Нет 186
совместимый
Инъекция Amikacin sulfate 5 mg/ml
Инъекция Morphine sulfate 1 mg/ml
Глюкоза 5% 405
совместимый
Инъекция Amikacin sulfate 250 mg/ml
Инъекция N-acetylcysteine 200 mg/ml
Нет 3766
Химическая нестабильность несовместимый
Инъекция Amikacin sulfate
Инъекция Nafcillin sodium
3549
совместимый
Инъекция Amikacin sulfate 2,5 mg/ml
Инъекция Nalbuphine hydrochloride 0,05 >> 0,33 mg/ml
Натрия хлорид 0,9% 4867
совместимый
Инъекция Amikacin sulfate 250 mg/ml
Инъекция Naloxone hydrochloride 0.4 mg/ml
Нет 3408
совместимый
Инъекция Amikacin sulfate 2 mg/ml
Инъекция Nicardipine hydrochloride 0.1 mg/ml
Глюкоза 5% 1490
совместимый
Инъекция Amikacin sulfate 2 mg/ml
Инъекция Nicardipine hydrochloride 0.1 mg/ml
Натрия хлорид 0,9% 1490
совместимый
Инъекция Amikacin sulfate 5 mg/ml
Инъекция Ondansetron hydrochloride 1 mg/ml
Натрия хлорид 0,9% 334
Химическая нестабильность несовместимый
Инъекция Amikacin sulfate
Инъекция Oxacillin sodium
3549
совместимый
Инъекция Amikacin sulfate 5 mg/ml
Инъекция Paclitaxel 1.2 mg/ml
Глюкоза 5% 248
Немедленные осадки несовместимый
Инъекция Amikacin sulfate
Инъекция Pantoprazole sodium
2090
совместимый
Инъекция Amikacin sulfate 250 mg/ml
Инъекция Paracetamol 10 mg/ml
4742
совместимый
Инъекция Amikacin sulfate 5 mg/ml
Инъекция Pemetrexed disodium 20 mg/ml
Натрия хлорид 0,9% 1953
Химическая нестабильность несовместимый
Инъекция Amikacin sulfate
Инъекция Penicillin G potassium
3549
Химическая нестабильность несовместимый
Инъекция Amikacin sulfate
Инъекция Penicillin G sodium
3549
совместимый
Инъекция Amikacin sulfate 50 mg/ml
Инъекция Pethidine hydrochloride 100 mg/ml
Натрия хлорид 0,45% 132
совместимый
Инъекция Amikacin sulfate 5 mg/ml
Инъекция Pethidine hydrochloride 10 mg/ml
Глюкоза 5% 405
Неопределенная несовместимость несовместимый
Инъекция Amikacin sulfate
Инъекция Phenytoin sodium
3549
совместимый
Инъекция Amikacin sulfate 40 mg/ml
Инъекция Phloroglucinol 2,5 mg/ml
3791
Химическая нестабильность несовместимый
Инъекция Amikacin sulfate
Инъекция Piperacillin sodium
3549
Химическая нестабильность несовместимый
Инъекция Amikacin sulfate
Инъекция Piperacillin sodium / tazobactam
3549
Химическая нестабильность несовместимый
Инъекция Amikacin sulfate
Инъекция Piperacillin sodium / tazobactam
3586
совместимый
Инъекция Amikacin sulfate
Инъекция Posaconazole
4380
Немедленные осадки несовместимый
Инъекция Amikacin sulfate 5 mg/ml
Инъекция Propofol 10 mg/ml
Нет 300
Неопределенная несовместимость несовместимый
Инъекция Amikacin sulfate
Инъекция Pyridoxine hydrochloride
3549
совместимый
Инъекция Amikacin sulfate 5 mg/ml
Инъекция Remifentanil hydrochloride 25 & 250 µg/ml
Натрия хлорид 0,9% 59
Немедленные осадки несовместимый
Инъекция Amikacin sulfate 250 mg/ml
Инъекция Salbutamol sulfate 1 mg/ml
Нет 3216
совместимый
Инъекция Amikacin sulfate 5 mg/ml
Инъекция Sargramostim 10 µg/ml
Натрия хлорид 0,9% 335
совместимый
Инъекция Amikacin sulfate 10 mg/ml
Инъекция Sulbactam/durlobactam 15/15 mg/ml
Натрия хлорид 0,9% 4801
совместимый
Инъекция Amikacin sulfate 5 mg/ml
Инъекция Tedizolid phosphate 0.8 mg/ml
Натрия хлорид 0,9% 3827
Неопределенная несовместимость несовместимый
Инъекция Amikacin sulfate
Инъекция Teicoplanine
3656
совместимый
Инъекция Amikacin sulfate
Натрия хлорид 0,9% 5076
Неопределенная несовместимость несовместимый
Инъекция Amikacin sulfate 50 mg/ml
Инъекция Propofol
4524
Неопределенная несовместимость несовместимый
Инъекция Amikacin sulfate
Инъекция Temocilline
2296
совместимый
Инъекция Amikacin sulfate 15 mg/ml
Инъекция Temocilline 83.33 mg/ml
Вода для инъекций 2231
Химическая нестабильность несовместимый
Инъекция Amikacin sulfate
Инъекция Temocilline
3549
совместимый
Инъекция Amikacin sulfate 5 mg/ml
Инъекция Teniposide 0.1 mg/ml
Глюкоза 5% 905
Неопределенная несовместимость несовместимый
Инъекция Amikacin sulfate
Инъекция Thiamine hydrochloride
3549
Немедленные осадки несовместимый
Инъекция Amikacin sulfate 250 mg/ml
Инъекция Thiopental sodium 25 mg/ml
Натрия хлорид 0,9% 3767
Неопределенная несовместимость несовместимый
Инъекция Amikacin sulfate
Инъекция Thiopental sodium
3549
совместимый
Инъекция Amikacin sulfate 5 mg/ml
Инъекция Thiotepa 1 mg/ml
Глюкоза 5% 249
Химическая нестабильность несовместимый
Инъекция Amikacin sulfate
Инъекция Ticarcillin / clavulanic acid
3587
Химическая нестабильность несовместимый
Инъекция Amikacin sulfate
Инъекция Ticarcillin / clavulanic acid
3549
совместимый
Инъекция Amikacin sulfate
Инъекция Tigecycline
Натрия хлорид 0,9% 3332
совместимый
Инъекция Amikacin sulfate 15 mg/ml
Инъекция Vancomycin hydrochloride 10 mg/ml
Глюкоза 5% 3385
совместимый
Инъекция Amikacin sulfate 2 mg/ml
Инъекция Verapamil hydrochloride 0.08 mg/ml
Натрия хлорид 0,9% 1057
совместимый
Инъекция Amikacin sulfate 2 mg/ml
Инъекция Verapamil hydrochloride 0.08 mg/ml
Глюкоза 5% 1057
Немедленная мутность несовместимый
Инъекция Amikacin sulfate 5 mg/ml
Инъекция Vinorelbine tartrate 1 mg/ml
Натрия хлорид 0,9% 84
совместимый
Инъекция Amikacin sulfate 5 mg/ml
Инъекция Warfarin sodium 0.1 & 2 mg/ml
Глюкоза 5% 552
совместимый
Инъекция Amikacin sulfate 5 mg/ml
Инъекция Warfarin sodium 0.1 & 2 mg/ml
Натрия хлорид 0,9% 552
совместимый
Инъекция Amikacin sulfate 4 mg/ml
Инъекция Zidovudine 4 mg/ml
Глюкоза 5% 337

  Mentions Légales