Última actualização :
27/04/2026
antibiótico   Amikacin sulfate  
injetável
Estabilidade em soluções simples Estabilidade em misturas Factores que afectam a sua estabilidade Compatibilidade Método de administração Bibliografía pdf
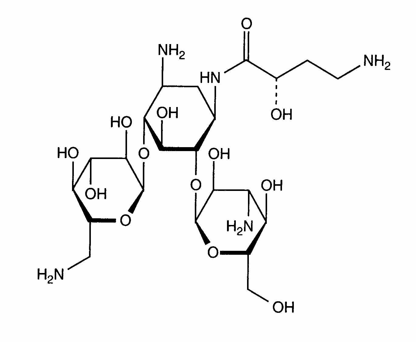
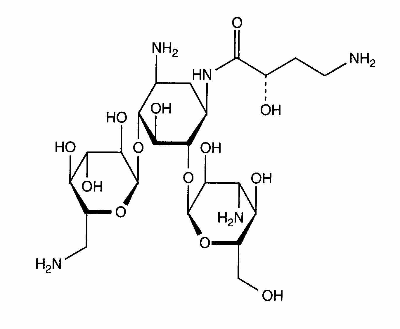
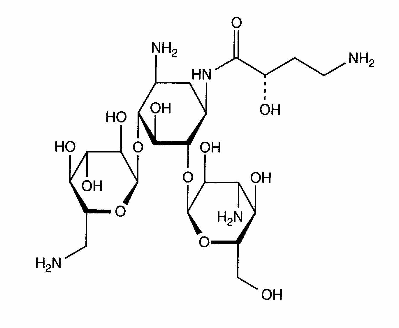
   estrutura química  

Nomes comerciais nos diversos países   Nomes comerciais nos diversos países     

OS NOMES COMERCIAIS SÃO INDICATIVOS E OS EXCIPIENTES DA FORMULAÇÃO PODEM SER DIFERENTES CONFORME O PAÍS E FABRICANTE.

Adnet Índia
Agnicin México
Akamin Equator
Akim Equator
Amicacil Brasil
Amicilon Brasil
Amicin Malásia
Amicip Venezuela
Amijeksin Turquia
Amikabiot Equator, Peru
Amikacin Alemanha, Arábia Saudita, Canadá, Egipto, Estados Unidos de América, Gran-bretanha, Irã, Malásia, nova Zelândia
Amikacina Argentina, Chilli, Colômbia, Equator, Espanha, Itália, México, Peru, Venezuela
Amikacine Bélgica, França, Marrocos, Países Baixos
Amikafur México
Amikagram Peru
Amikalem México
Amikamed Peru
Amikamek Peru
Amikan Itália
Amikavax Venezuela
Amikaver Turquia
Amikayect México
Amikem Peru
Amiketem Turquia
Amikin Arábia Saudita, Australia, Brasil, Colômbia, Egipto, Equator, Estados Unidos de América, Gran-bretanha, Hungria, Irlanda, México, Peru, Polonia, Suicia, Tunísia
Amiklin França, Turquia
Amikosit Romènia, Tunísia, Turquia
Amikram Peru
Amukin Bélgica, Luxemburgo, Países Baixos
Apalin Malásia
Baxi K Chilli, México
Behcacin Índia, Venezuela
Belka Índia
Biclin Alemanha, Austria, Espanha, Finlandia, México, Portugal, Suècia
Biodacyna Polonia
Biokacin México
Briklin Grècia
Cadicin Índia
Chemacin Itália
Cikabit Índia
Cinamica Índia
Cinas Índia
Consumonit Grècia
Domak Índia
Doxocar Argentina
Elcin Índia
Elmik Índia
Emcin Índia
Emica Índia
Farcyclin Grècia
Flexelite Grècia
Greini Argentina
Ipacin Irã
Itukacin Peru
Kancin Grècia
Lanomycin Grècia
Lukadin Itália
Masmika Índia
Mediamik Itália
Micalpha Grècia
Micigen México
Migracin Itália
Mikacin Arábia Saudita
Nekacin Itália
Novamin Brasil
Orlobin Grècia
Remikin Grècia
Rovericlin Grècia
Uzix Grècia
Compatibilidade   injetável   Compatibilidade : Amikacin sulfate              
Este ecrã indica as compatibilidades ou incompatibilidades com, neste caso, o tipo de incompatibilidade (precipitação, mudança de cor, modificação de uma emulsão, etc.). As compatibilidades mostradas aqui são principalmente físicas, com a estabilidade química de cada molécula raramente sendo avaliada. A avaliação dessas misturas foi estudada para considerar a possibilidade de administração do local Y ao paciente. Estes dados não podem ser usados para fazer misturas antecipadamente em sacos ou seringas. Este tipo de informação está disponível na tela “Estabilidade na mistura».
molécula Solvente Bibliografia
Compatível
injetável Amikacin sulfate 5 mg/ml
injetável Aciclovir sodium 5 mg/ml
Glucose 5% 336
Precipitação após 1 hora Incompatível
injetável Amikacin sulfate 5 mg/ml
injetável Allopurinol sodium 3 mg/ml
cloreto de sódio 0,9% 307
Compatível
injetável Amikacin sulfate 5 mg/ml
injetável Amifostine 10 mg/ml
Glucose 5% 3
Compatível
injetável Amikacin sulfate 5 mg/ml
injetável Amiodarone hydrochloride 4 mg/ml
cloreto de sódio 0,9% 385
Compatível
injetável Amikacin sulfate 5 mg/ml
injetável Amiodarone hydrochloride 4 mg/ml
Glucose 5% 385
Instabilidade química Incompatível
injetável Amikacin sulfate
injetável Amoxicillin sodium
3527
Instabilidade química Incompatível
injetável Amikacin sulfate
injetável Amoxicillin sodium
3549
Compatível
injetável Amikacin sulfate 250 mg/ml
injetável Amoxicillin sodium / clavulanic acid 100/10 mg/ml
3824
Instabilidade química Incompatível
injetável Amikacin sulfate
injetável Amoxicillin sodium / clavulanic acid
3549
Incompatibilidade não especificada Incompatível
injetável Amikacin sulfate
injetável Amoxicillin sodium / clavulanic acid
3545
Incompatibilidade não especificada Incompatível
injetável Amikacin sulfate
injetável Amphotericin B
3549
Precipitação imediata Incompatível
injetável Amikacin sulfate 5 mg/ml
injetável Amphotericin B cholesteryl sulfate complex 0.83 mg/ml
Glucose 5% 921
Instabilidade química Incompatível
injetável Amikacin sulfate
injetável Ampicillin sodium
3549
Instabilidade química Incompatível
injetável Amikacin sulfate
injetável Ampicillin sodium - sulbactam sodium
3549
Compatível
injetável Amikacin sulfate 5 mg/ml
injetável Amsacrine 1 mg/ml
Glucose 5% 253
Compatível
injetável Amikacin sulfate 5 mg/ml
injetável Anidulafungin 0.5 mg/ml
Glucose 5% 1982
Incompatibilidade não especificada Incompatível
injetável Amikacin sulfate
injetável Ascorbic acid
3549
Precipitação imediata Incompatível
injetável Amikacin sulfate 100 mg/ml
injetável Azithromycine 2 mg/ml
cloreto de sódio 0,9% 1800
Instabilidade química Incompatível
injetável Amikacin sulfate
injetável Aztreonam
3549
Compatível
injetável Amikacin sulfate 5 mg/ml
injetável Aztreonam 40 mg/ml
Glucose 5% 99
Compatível
injetável Amikacin sulfate 5 mg/ml
injetável Bivalirudin 5 mg/ml
Glucose 5% 1713
Compatível
injetável Amikacin sulfate 250 mg/ml
injetável Caffeine 10 mg/ml
nenhum 3964
Incompatível
injetável Amikacin sulfate
injetável Calcium gluconate
4964
Incompatibilidade não especificada Incompatível
injetável Amikacin sulfate
injetável Calcium gluconate
3644
Compatível
injetável Amikacin sulfate 5 mg/ml
injetável Caspofungin acetate 0,7 mg/ml
cloreto de sódio 0,9% 2247
Instabilidade química Incompatível
injetável Amikacin sulfate
injetável Cefalotin sodium
3549
Instabilidade química Incompatível
injetável Amikacin sulfate
injetável Cefamandole nafate
3549
Incompatibilidade não especificada Incompatível
injetável Amikacin sulfate
injetável Cefamandole nafate
3546
Instabilidade química Incompatível
injetável Amikacin sulfate
injetável Cefazolin sodium
3549
Compatível
injetável Amikacin sulfate 6 mg/ml
injetável Cefepime dihydrochloride 40 mg/ml
cloreto de sódio 0,9% 3548
Compatível
injetável Amikacin sulfate 6 mg/ml
injetável Cefepime dihydrochloride 40 mg/ml
Glucose 5% 3548
Compatível
injetável Amikacin sulfate 15 mg/ml
injetável Cefepime dihydrochloride 125 mg/ml
Agua para injectaveis 2141
Instabilidade química Incompatível
injetável Amikacin sulfate
injetável Cefepime dihydrochloride
3549
Compatível
injetável Amikacin sulfate 5 mg/ml
injetável Cefiderocol sulfate tosylate 20 mg/mL
Glucose 5% 4528
Instabilidade química Incompatível
injetável Amikacin sulfate
injetável Cefmenoxime
3549
Instabilidade química Incompatível
injetável Amikacin sulfate
injetável Cefmetazole sodium
3549
Instabilidade química Incompatível
injetável Amikacin sulfate
injetável Cefonicid sodium
3549
Instabilidade química Incompatível
injetável Amikacin sulfate
injetável Cefoperazone sodium
3549
Incompatibilidade não especificada Incompatível
injetável Amikacin sulfate
injetável Cefoperazone sodium
3544
Instabilidade química Incompatível
injetável Amikacin sulfate
injetável Ceforanide
3549
Instabilidade química Incompatível
injetável Amikacin sulfate
injetável Cefotaxime sodium
3549
Instabilidade química Incompatível
injetável Amikacin sulfate
injetável Cefoxitin sodium
3549
Incompatibilidade não especificada Incompatível
injetável Amikacin sulfate
injetável Cefpirome sulfate
3677
Compatível
injetável Amikacin sulfate 5 mg/ml
injetável Cefpirome sulfate 50 mg/ml
cloreto de sódio 0,45% 280
Compatível
injetável Amikacin sulfate 5 mg/ml
injetável Cefpirome sulfate 50 mg/ml
Glucose 5% 280
Compatível
injetável Amikacin sulfate 5 mg/ml
injetável Cefpirome sulfate 50 mg/ml
cloreto de sódio 0,9% 280
Compatível
injetável Amikacin sulfate 5 mg/ml
injetável Cefpirome sulfate 50 mg/ml
Ringer lactato 280
Instabilidade química Incompatível
injetável Amikacin sulfate
injetável Cefpirome sulfate
3549
Compatível
injetável Amikacin sulfate 5 mg/ml
injetável Ceftaroline fosamil 2,22 mg/ml
Ringer lactato 3249
Compatível
injetável Amikacin sulfate 5 mg/ml
injetável Ceftaroline fosamil 2,22 mg/ml
Glucose 5% 3249
Compatível
injetável Amikacin sulfate 5 mg/ml
injetável Ceftaroline fosamil 2,22 mg/ml
cloreto de sódio 0,9% 3249
Incompatibilidade não especificada Incompatível
injetável Amikacin sulfate
injetável Ceftazidime
3883
Incompatibilidade não especificada Incompatível
injetável Amikacin sulfate
injetável Ceftazidime
3543
Compatível
injetável Amikacin sulfate 15 mg/ml
injetável Ceftazidime 83.3 mg/ml
1759
Instabilidade química Incompatível
injetável Amikacin sulfate
injetável Ceftazidime Avibactam
3549
Precipitação imediata Incompatível
injetável Amikacin sulfate 5 mg/ml
injetável Ceftobiprole medocaril sodium 2 mg/ml
cloreto de sódio 0,9% 2269
Incompatibilidade não especificada Incompatível
injetável Amikacin sulfate
injetável Ceftobiprole medocaril sodium
4650
Compatível
injetável Amikacin sulfate
Glucose 5% 5076
Instabilidade química Incompatível
injetável Amikacin sulfate
injetável Ceftaroline fosamil
3549
Instabilidade química Incompatível
injetável Amikacin sulfate
injetável Ceftazidime
3549
Compatível
injetável Amikacin sulfate 15 mg/ml
injetável Ceftazidime 125 mg/ml
Agua para injectaveis 2141
Instabilidade química Incompatível
injetável Amikacin sulfate
injetável Ceftizoxime sodium
3549
Precipitação imediata Incompatível
injetável Amikacin sulfate 5 mg/ml
injetável Ceftobiprole medocaril sodium 2 mg/ml
Glucose 5% 2269
Instabilidade química Incompatível
injetável Amikacin sulfate
injetável Ceftobiprole medocaril sodium
3549
Precipitação imediata Incompatível
injetável Amikacin sulfate 5 mg/ml
injetável Ceftobiprole medocaril sodium 2 mg/ml
Ringer lactato 2269
Compatível
injetável Amikacin sulfate 5 mg/ml
injetável Ceftolozane / tazobactam 10/5 mg/ml
Glucose 5% 3828
Compatível
injetável Amikacin sulfate 5 mg/ml
injetável Ceftolozane / tazobactam 10/5 mg/ml
cloreto de sódio 0,9% 3828
Instabilidade química Incompatível
injetável Amikacin sulfate
injetável Ceftolozane / tazobactam
3549
Incompatibilidade não especificada Incompatível
injetável Amikacin sulfate
injetável Ceftriaxone disodium
3523
Instabilidade química Incompatível
injetável Amikacin sulfate
injetável Ceftriaxone disodium
3549
Instabilidade química Incompatível
injetável Amikacin sulfate
injetável Cefuroxime sodium
3549
Incompatibilidade não especificada Incompatível
injetável Amikacin sulfate
injetável Cefuroxime sodium
3687
Instabilidade química Incompatível
injetável Amikacin sulfate
injetável Cefuzonam
3549
Incompatibilidade não especificada Incompatível
injetável Amikacin sulfate
injetável Chlorothiazide sodium
3549
Compatível
injetável Amikacin sulfate 2.5 mg/ml
injetável Cimetidine hydrochloride 1.5 mg/ml
Glucose 5% 1201
Instabilidade química Incompatível
injetável Amikacin sulfate 4 mg/ml
injetável Ciprofloxacin lactate 1.5 mg/ml
cloreto de sódio 0,9% 434
Instabilidade química Incompatível
injetável Amikacin sulfate 4 mg/ml
injetável Ciprofloxacin lactate 1.5 mg/ml
Glucose 5% 434
Compatível
injetável Amikacin sulfate 5 mg/ml
injetável Cisatracurium besylate 0.1 >> 5 mg/ml
Glucose 5% 299
Compatível
injetável Amikacin sulfate 4 mg/ml
injetável Clindamycin phosphate 9 mg/ml
cloreto de sódio 0,9% 565
Compatível
injetável Amikacin sulfate 250 mg/ml
Nutrição parenterica (mistura binária) 999
Compatível
injetável Amikacin sulfate 5 mg/ml
injetável Ciprofloxacin lactate 2 mg/ml
Glucose 5% 285
Instabilidade química Incompatível
injetável Amikacin sulfate
injetável Cisplatin
3578
Compatível
injetável Amikacin sulfate 75 mg/ml
injetável Clindamycin phosphate 90 mg/ml
cloreto de sódio 0,9% 639
Compatível
injetável Amikacin sulfate
injetável Clindamycin phosphate
cloreto de sódio 0,9% 3526
Incompatibilidade subvisual Incompatível
injetável Amikacin sulfate 250 mg/ml
injetável Cloxacillin sodium 100 mg/ml
Agua para injectaveis 3012
Incompatibilidade não especificada Incompatível
injetável Amikacin sulfate
injetável Daunorubicin/cytarabine liposomale
4354
Compatível
injetável Amikacin sulfate 5 mg/ml
Nutrição parenterica (mistura binária) 316
Compatível
injetável Amikacin sulfate 4 mg/ml
injetável Clindamycin phosphate 9 mg/ml
Glucose 5% 565
Compatível
injetável Amikacin sulfate
injetável Clindamycin phosphate
Glucose 5% 3526
Instabilidade química Incompatível
injetável Amikacin sulfate
injetável Cloxacillin sodium
3549
Incompatibilidade não especificada Incompatível
injetável Amikacin sulfate
injetável Cyanocobalamine
3549
Turvação imediata Incompatível
injetável Amikacin sulfate
injetável Daunorubicin/cytarabine liposomale 0,4 mg/mL
cloreto de sódio 0,9% 4654
Precipitação imediata Incompatível
injetável Amikacin sulfate 5 mg/ml
injetável Defibrotide 8 mg/ml
cloreto de sódio 0,9% 3728
Compatível
injetável Amikacin sulfate 50 mg/ml
injetável Dexamethasone sodium phosphate 4 mg/ml
cloreto de sódio 0,45% 132
Incompatibilidade não especificada Incompatível
injetável Amikacin sulfate
injetável Erythromycin lactobionate
3549
Compatível
injetável Amikacin sulfate 5 mg/ml
Nutrição parenterica (mistura binária) 301
Compatível
injetável Amikacin sulfate 5 mg/ml
injetável Dexmedetomidine 4 µg/ml
cloreto de sódio 0,9% 1712
Compatível
injetável Amikacin sulfate 5 & 250 mg/ml
injetável Diltiazem hydrochloride 5 mg/ml
cloreto de sódio 0,9% 198
Compatível
injetável Amikacin sulfate 5 mg/ml
injetável Docetaxel 0.9 mg/ml
Glucose 5% 1754
Compatível
injetável Amikacin sulfate 5 mg/ml
injetável Doripenem 5 mg/ml
cloreto de sódio 0,9% 2262
Compatível
injetável Amikacin sulfate 5 mg/ml
injetável Doripenem 5 mg/ml
Glucose 5% 2262
Instabilidade química Incompatível
injetável Amikacin sulfate
injetável Doripenem
3549
Compatível
injetável Amikacin sulfate 2 mg/ml
injetável Enalaprilate 0.05 mg/ml
cloreto de sódio 0,9% 1315
Instabilidade química Incompatível
injetável Amikacin sulfate
injetável Ertapenem
3549
Incompatibilidade não especificada Incompatível
injetável Amikacin sulfate
injetável Erythromycin lactobionate
3674
Compatível
injetável Amikacin sulfate 5 mg/ml
injetável Esmolol hydrochloride 10 mg/ml
Glucose 5% 384
Compatível
injetável Amikacin sulfate 5 mg/ml
injetável Etoposide phosphate 5 mg/ml
Glucose 5% 1410
Compatível
injetável Amikacin sulfate 5 mg/ml
injetável Fenoldopam mesylate 80 µg/ml
cloreto de sódio 0,9% 1803
Compatível
injetável Amikacin sulfate 5 mg/ml
injetável Filgrastim 30 µg/ml
Glucose 5% 244
Compatível
injetável Amikacin sulfate 0.487 >> 0.667 mg/ml
Nutrição parenteral (com lípidos) 1868
Compatível
injetável Amikacin sulfate 250 mg/ml
Ringer lactato 4603
Instabilidade da emulsão após 1 hora Incompatível
injetável Amikacin sulfate 250 mg/ml
Nutrição parenteral (com lípidos) 673
Compatível
injetável Amikacin sulfate 5 mg/ml
injetável Filgrastim 40 µg/ml
Glucose 5% 104
Instabilidade imediata da emulsão Incompatível
injetável Amikacin sulfate 50 mg/ml
Nutrição parenteral (com lípidos) 132
Compatível
injetável Amikacin sulfate 5 mg/ml
Nutrição parenteral (com lípidos) 1415
Precipitação imediata Incompatível
injetável Amikacin sulfate
injetável Flucloxacillin sodium
3522
Compatível
injetável Amikacin sulfate 20 mg/ml
injetável Fluconazole 2 mg/ml
cloreto de sódio 0,9% 496
Compatível
injetável Amikacin sulfate 5 mg/ml
injetável Fluconazole 2 mg/ml
nenhum 256
Compatível
injetável Amikacin sulfate 5 mg/ml
injetável Fludarabine phosphate 1 mg/ml
Glucose 5% 492
Compatível
injetável Amikacin sulfate 20 mg/ml
injetável Foscarnet sodium 24 mg/ml
nenhum 73
Compatível
injetável Amikacin sulfate 5 mg/ml
injetável Fosfomycin 30 mg/ml
cloreto de sódio 0,9% 4055
Compatível
injetável Amikacin sulfate 5 mg/ml
injetável Fosfomycin 30 mg/ml
Glucose 5% 4055
Precipitação imediata Incompatível
injetável Amikacin sulfate 2 mg/ml
injetável Furosemide 0,16 mg/ml
cloreto de sódio 0,9% 367
Precipitação imediata Incompatível
injetável Amikacin sulfate 2 mg/ml
injetável Furosemide 0,16 mg/ml
Glucose 5% 367
Compatível
injetável Amikacin sulfate 5 mg/ml
injetável Gemcitabine hydrochloride 10 mg/ml
cloreto de sódio 0,9% 1423
Compatível
injetável Amikacin sulfate 5 mg/ml
injetável Granisetron hydrochloride 0.05 mg/ml
Glucose 5% 182
Incompatibilidade não especificada Incompatível
injetável Amikacin sulfate
injetável Heparin sodium
3549
Incompatibilidade não especificada Incompatível
injetável Amikacin sulfate
injetável Heparin sodium
3540
Precipitação imediata Incompatível
injetável Amikacin sulfate
injetável Heparin sodium
1022
Compatível
injetável Amikacin sulfate 5 mg/ml
injetável Hetastarch 60 mg/ml
solvente específico 1721
Precipitação imediata Incompatível
injetável Amikacin sulfate 5 mg/ml
injetável Hetastarch 60 mg/ml
cloreto de sódio 0,9% 472
Compatível
injetável Amikacin sulfate 5 mg/ml
injetável Hydromorphone hydrochloride 0.2 mg/ml
Glucose 5% 405
Turvação imediata Incompatível
injetável Amikacin sulfate 50 mg/ml
injetável Ibuprofen lysinate 10 mg/ml
Agua para injectaveis 4419
Turvação imediata Incompatível
injetável Amikacin sulfate 250 mg/ml
injetável Ibuprofen lysinate 10 mg/ml
Agua para injectaveis 4419
Compatível
injetável Amikacin sulfate 5 mg/ml
injetável Idarubicin hydrochloride 1 mg/ml
cloreto de sódio 0,9% 491
Instabilidade química Incompatível
injetável Amikacin sulfate
injetável Imipenem - cilastatin sodium
3549
Compatível
injetável Amikacin sulfate 5 mg/ml
injetável Isavuconazonium sulfate 1.5 mg/ml
Glucose 5% 3829
Compatível
injetável Amikacin sulfate 5 mg/ml
injetável Isavuconazonium sulfate 1.5 mg/ml
cloreto de sódio 0,9% 3829
Compatível
injetável Amikacin sulfate 250 mg/ml
injetável Ketamine hydrochloride 50 mg/ml
2109
Compatível
injetável Amikacin sulfate 5 mg/ml
injetável Labetalol hydrochloride 1 mg/ml
Glucose 5% 386
Compatível
injetável Amikacin sulfate 5 mg/ml
injetável Lansoprazole 0.55 mg/ml
cloreto de sódio 0,9% 1625
Compatível
injetável Amikacin sulfate 50 mg/ml
injetável Levofloxacine 5 mg/ml
Glucose 5% 1072
Compatível
injetável Amikacin sulfate 5 mg/ml
injetável Linezolid 2 mg/ml
nenhum 1925
Compatível
injetável Amikacin sulfate 5 mg/ml
injetável Lorazepam 0.33 mg/ml
cloreto de sódio 0,9% 186
Compatível
injetável Amikacin sulfate 5 mg/ml
injetável Magnesium sulfate 16.67 >> 100 mg/ml
Glucose 5% 1047
Compatível
injetável Amikacin sulfate 5 mg/ml
injetável Melphalan 0.1 mg/ml
cloreto de sódio 0,9% 169
Compatível
injetável Amikacin sulfate 250 mg/ml
injetável Meropenem 50 mg/ml
4389
Compatível
injetável Amikacin sulfate 250 mg/ml
injetável Meropenem 50 mg/ml
Agua para injectaveis 4319
Instabilidade química Incompatível
injetável Amikacin sulfate
injetável Meropenem
3549
Compatível
injetável Amikacin sulfate
injetável Metronidazole
3594
Compatível
injetável Amikacin sulfate 5 mg/ml
injetável Metronidazole 5 mg/ml
nenhum 1035
Compatível
injetável Amikacin sulfate 5 mg/ml
injetável Midazolam hydrochloride 5 mg/ml
nenhum 186
Compatível
injetável Amikacin sulfate 5 mg/ml
injetável Morphine sulfate 1 mg/ml
Glucose 5% 405
Compatível
injetável Amikacin sulfate 250 mg/ml
injetável N-acetylcysteine 200 mg/ml
nenhum 3766
Instabilidade química Incompatível
injetável Amikacin sulfate
injetável Nafcillin sodium
3549
Compatível
injetável Amikacin sulfate 2,5 mg/ml
injetável Nalbuphine hydrochloride 0,05 >> 0,33 mg/ml
cloreto de sódio 0,9% 4867
Compatível
injetável Amikacin sulfate 250 mg/ml
injetável Naloxone hydrochloride 0.4 mg/ml
nenhum 3408
Compatível
injetável Amikacin sulfate 2 mg/ml
injetável Nicardipine hydrochloride 0.1 mg/ml
Glucose 5% 1490
Compatível
injetável Amikacin sulfate 2 mg/ml
injetável Nicardipine hydrochloride 0.1 mg/ml
cloreto de sódio 0,9% 1490
Compatível
injetável Amikacin sulfate 5 mg/ml
injetável Ondansetron hydrochloride 1 mg/ml
cloreto de sódio 0,9% 334
Instabilidade química Incompatível
injetável Amikacin sulfate
injetável Oxacillin sodium
3549
Compatível
injetável Amikacin sulfate 5 mg/ml
injetável Paclitaxel 1.2 mg/ml
Glucose 5% 248
Precipitação imediata Incompatível
injetável Amikacin sulfate
injetável Pantoprazole sodium
2090
Compatível
injetável Amikacin sulfate 250 mg/ml
injetável Paracetamol 10 mg/ml
4742
Compatível
injetável Amikacin sulfate 5 mg/ml
injetável Pemetrexed disodium 20 mg/ml
cloreto de sódio 0,9% 1953
Instabilidade química Incompatível
injetável Amikacin sulfate
injetável Penicillin G potassium
3549
Instabilidade química Incompatível
injetável Amikacin sulfate
injetável Penicillin G sodium
3549
Compatível
injetável Amikacin sulfate 50 mg/ml
injetável Pethidine hydrochloride 100 mg/ml
cloreto de sódio 0,45% 132
Compatível
injetável Amikacin sulfate 5 mg/ml
injetável Pethidine hydrochloride 10 mg/ml
Glucose 5% 405
Incompatibilidade não especificada Incompatível
injetável Amikacin sulfate
injetável Phenytoin sodium
3549
Compatível
injetável Amikacin sulfate 40 mg/ml
injetável Phloroglucinol 2,5 mg/ml
3791
Instabilidade química Incompatível
injetável Amikacin sulfate
injetável Piperacillin sodium
3549
Instabilidade química Incompatível
injetável Amikacin sulfate
injetável Piperacillin sodium / tazobactam
3549
Instabilidade química Incompatível
injetável Amikacin sulfate
injetável Piperacillin sodium / tazobactam
3586
Compatível
injetável Amikacin sulfate
injetável Posaconazole
4380
Precipitação imediata Incompatível
injetável Amikacin sulfate 5 mg/ml
injetável Propofol 10 mg/ml
nenhum 300
Incompatibilidade não especificada Incompatível
injetável Amikacin sulfate
injetável Pyridoxine hydrochloride
3549
Compatível
injetável Amikacin sulfate 5 mg/ml
injetável Remifentanil hydrochloride 25 & 250 µg/ml
cloreto de sódio 0,9% 59
Precipitação imediata Incompatível
injetável Amikacin sulfate 250 mg/ml
injetável Salbutamol sulfate 1 mg/ml
nenhum 3216
Compatível
injetável Amikacin sulfate 5 mg/ml
injetável Sargramostim 10 µg/ml
cloreto de sódio 0,9% 335
Compatível
injetável Amikacin sulfate 10 mg/ml
injetável Sulbactam/durlobactam 15/15 mg/ml
cloreto de sódio 0,9% 4801
Compatível
injetável Amikacin sulfate 5 mg/ml
injetável Tedizolid phosphate 0.8 mg/ml
cloreto de sódio 0,9% 3827
Incompatibilidade não especificada Incompatível
injetável Amikacin sulfate
injetável Teicoplanine
3656
Compatível
injetável Amikacin sulfate
cloreto de sódio 0,9% 5076
Incompatibilidade não especificada Incompatível
injetável Amikacin sulfate 50 mg/ml
injetável Propofol
4524
Incompatibilidade não especificada Incompatível
injetável Amikacin sulfate
injetável Temocilline
2296
Compatível
injetável Amikacin sulfate 15 mg/ml
injetável Temocilline 83.33 mg/ml
Agua para injectaveis 2231
Instabilidade química Incompatível
injetável Amikacin sulfate
injetável Temocilline
3549
Compatível
injetável Amikacin sulfate 5 mg/ml
injetável Teniposide 0.1 mg/ml
Glucose 5% 905
Incompatibilidade não especificada Incompatível
injetável Amikacin sulfate
injetável Thiamine hydrochloride
3549
Precipitação imediata Incompatível
injetável Amikacin sulfate 250 mg/ml
injetável Thiopental sodium 25 mg/ml
cloreto de sódio 0,9% 3767
Incompatibilidade não especificada Incompatível
injetável Amikacin sulfate
injetável Thiopental sodium
3549
Compatível
injetável Amikacin sulfate 5 mg/ml
injetável Thiotepa 1 mg/ml
Glucose 5% 249
Instabilidade química Incompatível
injetável Amikacin sulfate
injetável Ticarcillin / clavulanic acid
3587
Instabilidade química Incompatível
injetável Amikacin sulfate
injetável Ticarcillin / clavulanic acid
3549
Compatível
injetável Amikacin sulfate
injetável Tigecycline
cloreto de sódio 0,9% 3332
Compatível
injetável Amikacin sulfate 15 mg/ml
injetável Vancomycin hydrochloride 10 mg/ml
Glucose 5% 3385
Compatível
injetável Amikacin sulfate 2 mg/ml
injetável Verapamil hydrochloride 0.08 mg/ml
cloreto de sódio 0,9% 1057
Compatível
injetável Amikacin sulfate 2 mg/ml
injetável Verapamil hydrochloride 0.08 mg/ml
Glucose 5% 1057
Turvação imediata Incompatível
injetável Amikacin sulfate 5 mg/ml
injetável Vinorelbine tartrate 1 mg/ml
cloreto de sódio 0,9% 84
Compatível
injetável Amikacin sulfate 5 mg/ml
injetável Warfarin sodium 0.1 & 2 mg/ml
Glucose 5% 552
Compatível
injetável Amikacin sulfate 5 mg/ml
injetável Warfarin sodium 0.1 & 2 mg/ml
cloreto de sódio 0,9% 552
Compatível
injetável Amikacin sulfate 4 mg/ml
injetável Zidovudine 4 mg/ml
Glucose 5% 337

  Mentions Légales